Chloride Permeability Coefficient Prediction of Rubber Concrete Based on the Improved Machine Learning Technical: Modelling and Performance Evaluation
Abstract
1. Introduction
2. Database Description and Analysis of Variables
3. Method
3.1. Whale Optimization Algorithm
3.1.1. Encirclement Predation
3.1.2. Prey Predation
3.1.3. Prey Search
3.2. Improved Whale Optimization Algorithm
3.2.1. Tent Chaotic Mapping Initializes Populations
3.2.2. Adaptive Adjustment of Weight
3.2.3. Adaptive Adjustment of the Search Strategy
3.2.4. Adaptive t-Distribution Dimension-by-Dimensional Variation Strategy
3.3. Machine Learning Models
3.3.1. Extreme Learning Machine
3.3.2. Random Forest Model
3.3.3. ELMAN Neural Network
4. Evaluation Indicators for the Three Models
5. Results of the Three Models
5.1. MWOA-ELM Model Result
5.2. MWOA-RF Model Result
5.3. MWOA-ELMAN Model Result
6. Discussion
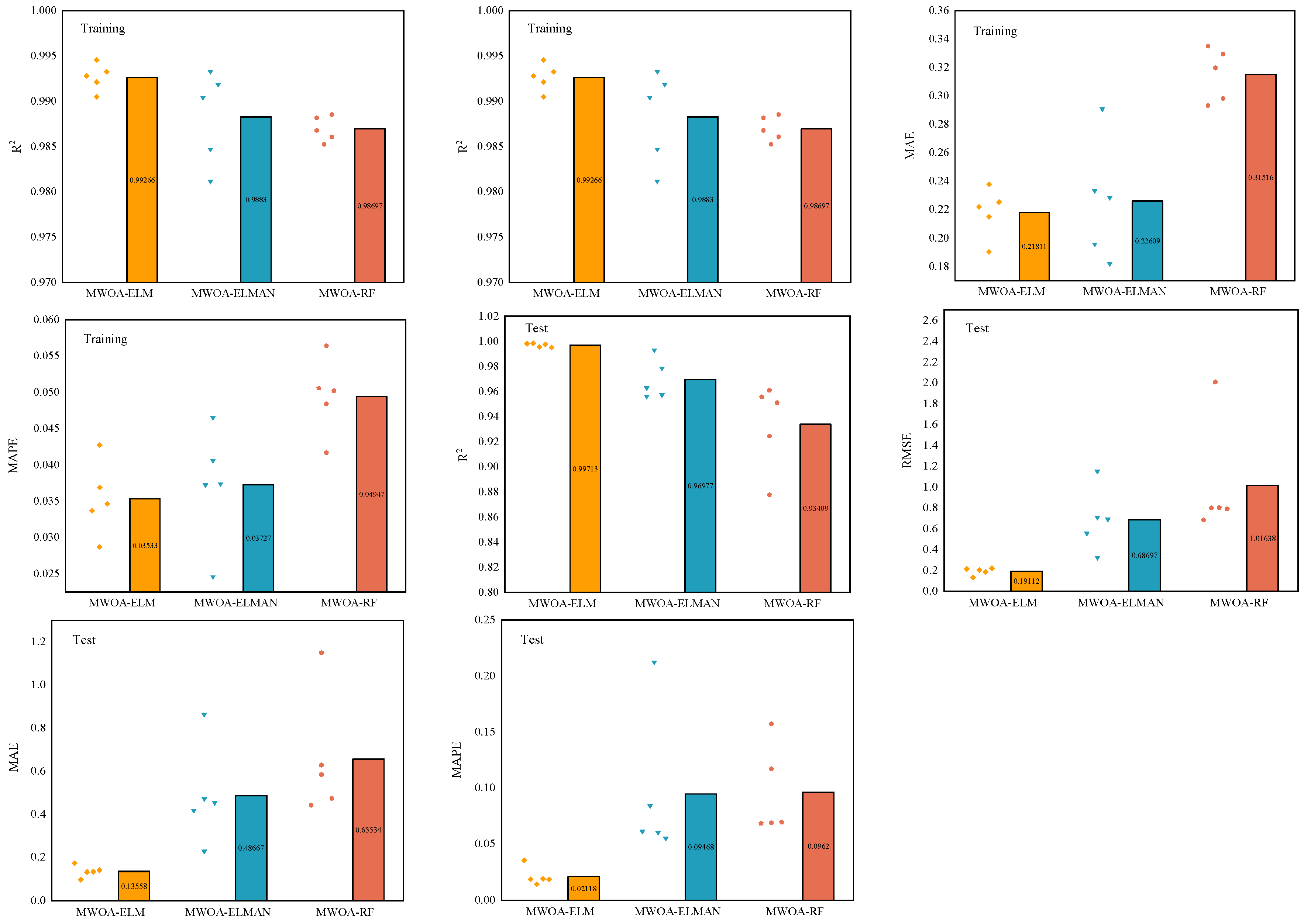
6.1. Comparative Analysis of the Three Models
6.2. Sensitivity Analysis
6.3. Prediction of Typical Machine Learning Model
6.4. Forecast Comparison
6.5. Comparative Analysis with Other Models
7. Conclusions and Future Prospect
Author Contributions
Funding
Institutional Review Board Statement
Informed Consent Statement
Data Availability Statement
Conflicts of Interest
Appendix A
IW1= ![]() |
| B1= [ 4 ]T |
| LW1= [ +11 ]T |
References
- Asutkar, P.; Shinde, S.; Patel, R. Study on the behaviour of rubber aggregates concrete beams using analytical approach. Eng. Sci. Technol. Int. J. 2017, 20, 151–159. [Google Scholar] [CrossRef]
- Sun, Y.; Li, G.; Zhang, J.; Qian, D. Prediction of the strength of rubberized concrete by an evolved random forest model. Adv. Civ. Eng. 2019, 2019, 5198583. [Google Scholar] [CrossRef]
- Sofi, A. Effect of waste tyre rubber on mechanical and durability properties of concrete—A review. Ain Shams Eng. J. 2018, 9, 2691–2700. [Google Scholar] [CrossRef]
- Toutanji, H.A. The use of rubber tire particles in concrete to replace mineral aggregates. Cem. Concr. Compos. 1996, 18, 135–139. [Google Scholar] [CrossRef]
- Skripkiūnas, G.; Grinys, A.; Černius, B. Deformation properties of concrete with rubber waste additives. Mater. Sci. 2007, 13, 219–223. [Google Scholar]
- Batayneh, M.K.; Marie, I.; Asi, I. Promoting the use of crumb rubber concrete in developing countries. Waste Manag. 2008, 28, 2171–2176. [Google Scholar] [CrossRef]
- Ganjian, E.; Khorami, M.; Maghsoudi, A.A. Scrap-tyre-rubber replacement for aggregate and filler in concrete. Constr. Build. Mater. 2009, 23, 1828–1836. [Google Scholar] [CrossRef]
- Mohammed, B.S.; Azmi, N. Strength reduction factors for structural rubbercrete. Front. Struct. Civ. Eng. 2014, 8, 270–281. [Google Scholar] [CrossRef]
- El-Khoja, A.; Ashour, A.; Abdalhmid, J.; Dai, X.; Khan, A. Prediction of rubberised concrete strength by using artificial neural networks. Int. J. Struct. Constr. Eng. 2018, 12, 1068–1073. [Google Scholar]
- Hadzima-Nyarko, M.; Nyarko, E.K.; Ademović, N.; Miličević, I.; Kalman Šipoš, T. Modelling the influence of waste rubber on compressive strength of concrete by artificial neural networks. Materials 2019, 12, 561. [Google Scholar] [CrossRef]
- Pradhan, B. Corrosion behavior of steel reinforcement in concrete exposed to composite chloride–sulfate environment. Constr. Build. Mater. 2014, 72, 398–410. [Google Scholar] [CrossRef]
- Yu, Z.; Chen, Y.; Liu, P.; Wang, W. Accelerated simulation of chloride ingress into concrete under drying–wetting alternation condition chloride environment. Constr. Build. Mater. 2015, 93, 205–213. [Google Scholar] [CrossRef]
- Andisheh, K.; Scott, A.; Palermo, A.; Clucas, D. Influence of chloride corrosion on the effective mechanical properties of steel reinforcement. Struct. Infrastruct. Eng. 2019, 15, 1036–1048. [Google Scholar] [CrossRef]
- Lee, H.-S.; Cho, Y.-S. Evaluation of the mechanical properties of steel reinforcement embedded in concrete specimen as a function of the degree of reinforcement corrosion. Int. J. Fract. 2009, 157, 81–88. [Google Scholar] [CrossRef]
- Song, H.-W.; Shim, H.-B.; Petcherdchoo, A.; Park, S.-K. Service life prediction of repaired concrete structures under chloride environment using finite difference method. Cem. Concr. Compos. 2009, 31, 120–127. [Google Scholar] [CrossRef]
- Lu, C.; Yuan, S.; Cheng, P.; Liu, R. Mechanical properties of corroded steel bars in pre-cracked concrete suffering from chloride attack. Constr. Build. Mater. 2016, 123, 649–660. [Google Scholar] [CrossRef]
- Jung, J.-S.; Lee, B.Y.; Lee, K.-S. Experimental study on the structural performance degradation of corrosion-damaged reinforced concrete beams. Adv. Civ. Eng. 2019, 2019, 9562574. [Google Scholar] [CrossRef]
- Thomas, B.S.; Gupta, R.C.; Kalla, P.; Cseteneyi, L. Strength, abrasion and permeation characteristics of cement concrete containing discarded rubber fine aggregates. Constr. Build. Mater. 2014, 59, 204–212. [Google Scholar] [CrossRef]
- Su, H.; Yang, J.; Ling, T.-C.; Ghataora, G.S.; Dirar, S. Properties of concrete prepared with waste tyre rubber particles of uniform and varying sizes. J. Clean. Prod. 2015, 91, 288–296. [Google Scholar] [CrossRef]
- Thomas, B.S.; Gupta, R.C. A comprehensive review on the applications of waste tire rubber in cement concrete. Renew. Sustain. Energy Rev. 2016, 54, 1323–1333. [Google Scholar] [CrossRef]
- Mao, L.-x.; Hu, Z.; Xia, J.; Feng, G.-l.; Azim, I.; Yang, J.; Liu, Q.-f. Multi-phase modelling of electrochemical rehabilitation for ASR and chloride affected concrete composites. Compos. Struct. 2019, 207, 176–189. [Google Scholar] [CrossRef]
- Gupta, T.; Siddique, S.; Sharma, R.K.; Chaudhary, S. Behaviour of waste rubber powder and hybrid rubber concrete in aggressive environment. Constr. Build. Mater. 2019, 217, 283–291. [Google Scholar] [CrossRef]
- Beushausen, H.; Torrent, R.; Alexander, M.G. Performance-based approaches for concrete durability: State of the art and future research needs. Cem. Concr. Res. 2019, 119, 11–20. [Google Scholar] [CrossRef]
- Dierkens, M.; Godart, B.; Mai-Nhu, J.; Rougeau, P.; Linger, L.; Cussigh, F. In French national project ‘PERFDUB’ on performance-based approach: Interest of old structures analysis for the definition of durability indicators criteria. In Proceedings of the 16th fib Symposium, Concrete Innovations in Materials, Design and Structures, Krakow, Poland, 27–29 May 2019; Fédération de l’Industrie du Béton-FIB: Montrouge, France, 2019; p. 8. [Google Scholar]
- Tran, V.Q. Machine learning approach for investigating chloride diffusion coefficient of concrete containing supplementary cementitious materials. Constr. Build. Mater. 2022, 328, 127103. [Google Scholar] [CrossRef]
- Saeki, T.; Sasaki, K.; Shinada, K. Estimation of chloride diffusion coefficent of concrete using mineral admixtures. J. Adv. Concr. Technol. 2006, 4, 385–394. [Google Scholar] [CrossRef]
- Jasielec, J.J.; Stec, J.; Szyszkiewicz-Warzecha, K.; Łagosz, A.; Deja, J.; Lewenstam, A.; Filipek, R. Effective and apparent diffusion coefficients of chloride ions and chloride binding kinetics parameters in mortars: Non-stationary diffusion–reaction model and the inverse problem. Materials 2020, 13, 5522. [Google Scholar] [CrossRef]
- Liu, Q.-f.; Iqbal, M.F.; Yang, J.; Lu, X.-y.; Zhang, P.; Rauf, M. Prediction of chloride diffusivity in concrete using artificial neural network: Modelling and performance evaluation. Constr. Build. Mater. 2021, 268, 121082. [Google Scholar] [CrossRef]
- Van Noort, R.; Hunger, M.; Spiesz, P. Long-term chloride migration coefficient in slag cement-based concrete and resistivity as an alternative test method. Constr. Build. Mater. 2016, 115, 746–759. [Google Scholar] [CrossRef]
- Wang, H.-L.; Dai, J.-G.; Sun, X.-Y.; Zhang, X.-L. Time-dependent and stress-dependent chloride diffusivity of concrete subjected to sustained compressive loading. J. Mater. Civ. Eng. 2016, 28, 04016059. [Google Scholar] [CrossRef]
- Huang, X.-Y.; Wu, K.-Y.; Wang, S.; Lu, T.; Lu, Y.-F.; Deng, W.-C.; Li, H.-M. Compressive Strength Prediction of Rubber Concrete Based on Artificial Neural Network Model with Hybrid Particle Swarm Optimization Algorithm. Materials 2022, 15, 3934. [Google Scholar] [CrossRef]
- Gupta, T.; Patel, K.; Siddique, S.; Sharma, R.K.; Chaudhary, S. Prediction of mechanical properties of rubberised concrete exposed to elevated temperature using ANN. Measurement 2019, 147, 106870. [Google Scholar] [CrossRef]
- Zhang, J.; Zhang, M.; Dong, B.; Ma, H. Quantitative evaluation of steel corrosion induced deterioration in rubber concrete by integrating ultrasonic testing, machine learning and mesoscale simulation. Cem. Concr. Compos. 2022, 128, 104426. [Google Scholar] [CrossRef]
- Huang, G.-B.; Zhou, H.; Ding, X.; Zhang, R. Extreme learning machine for regression and multiclass classification. IEEE Trans. Syst. Man Cybern. Part B 2011, 42, 513–529. [Google Scholar] [CrossRef]
- Ding, S.; Zhao, H.; Zhang, Y.; Xu, X.; Nie, R. Extreme learning machine: Algorithm, theory and applications. Artif. Intell. Rev. 2015, 44, 103–115. [Google Scholar] [CrossRef]
- Han, F.; Yao, H.-F.; Ling, Q.-H. An improved evolutionary extreme learning machine based on particle swarm optimization. Neurocomputing 2013, 116, 87–93. [Google Scholar] [CrossRef]
- Li, C.; Tao, Y.; Ao, W.; Yang, S.; Bai, Y. Improving forecasting accuracy of daily enterprise electricity consumption using a random forest based on ensemble empirical mode decomposition. Energy 2018, 165, 1220–1227. [Google Scholar] [CrossRef]
- Fan, G.-F.; Yu, M.; Dong, S.-Q.; Yeh, Y.-H.; Hong, W.-C. Forecasting short-term electricity load using hybrid support vector regression with grey catastrophe and random forest modeling. Util. Policy 2021, 73, 101294. [Google Scholar] [CrossRef]
- Cai, C.; Qian, Q.; Fu, Y. Application of BAS-Elman neural network in prediction of blasting vibration velocity. Procedia Comput. Sci. 2020, 166, 491–495. [Google Scholar] [CrossRef]
- Liu, B.; Zhao, Y.; Wang, W.; Liu, B. Compaction density evaluation model of sand-gravel dam based on Elman neural network with modified particle swarm optimization. Front. Phys. 2022, 9, 806231. [Google Scholar] [CrossRef]
- Kang, F.; Liu, J.; Li, J.; Li, S. Concrete dam deformation prediction model for health monitoring based on extreme learning machine. Struct. Control Health Monit. 2017, 24, e1997. [Google Scholar] [CrossRef]
- Falah, M.W.; Hussein, S.H.; Saad, M.A.; Ali, Z.H.; Tran, T.H.; Ghoniem, R.M.; Ewees, A.A. Compressive Strength Prediction Using Coupled Deep Learning Model with Extreme Gradient Boosting Algorithm: Environmentally Friendly Concrete Incorporating Recycled Aggregate. Complexity 2022, 2022, 5433474. [Google Scholar] [CrossRef]
- Dong, L.; Shu, W.; Sun, D.; Li, X.; Zhang, L. Pre-alarm system based on real-time monitoring and numerical simulation using internet of things and cloud computing for tailings dam in mines. IEEE Access 2017, 5, 21080–21089. [Google Scholar] [CrossRef]
- Hai-Bang, L.; Thuy-Anh, N.; Hai-Van Thi, M.; Van Quan, T. Development of deep neural network model to predict the compressive strength of rubber concrete. Constr. Build. Mater. 2021, 301, 124081. [Google Scholar] [CrossRef]
- Liu, H.; Mi, X.-w.; Li, Y.-f. Wind speed forecasting method based on deep learning strategy using empirical wavelet transform, long short term memory neural network and Elman neural network. Energy Convers. Manag. 2018, 156, 498–514. [Google Scholar] [CrossRef]
- Mirjalili, S.; Lewis, A. The whale optimization algorithm. Adv. Eng. Softw. 2016, 95, 51–67. [Google Scholar] [CrossRef]
- Rathore, N.S.; Singh, V. Whale optimisation algorithm-based controller design for reverse osmosis desalination plants. Int. J. Intell. Eng. Inform. 2019, 7, 77–88. [Google Scholar] [CrossRef]
- Mirjalili, S.; Mirjalili, S.M.; Saremi, S.; Mirjalili, S. Whale optimization algorithm: Theory, literature review, and application in designing photonic crystal filters. In Nature-Inspired Optimizers; Springer: Cham, Switzerland, 2020; pp. 219–238. [Google Scholar]
- Qais, M.H.; Hasanien, H.M.; Alghuwainem, S. Enhanced whale optimization algorithm for maximum power point tracking of variable-speed wind generators. Appl. Soft Comput. 2020, 86, 105937. [Google Scholar] [CrossRef]
- Teng, Z.; Lv, J.; Guo, L.; Yuanyuan, X. An improved hybrid grey wolf optimization algorithm based on Tent mapping. J. Harbin Inst. Technol. 2018, 50, 40–49. [Google Scholar]
- Hang, X.; Zhang, D.; Wang, Y.; Song, T.; Fan, Y. Hybrid strategy to improve whale optimization algorithm. Comput. Eng. Des. 2020, 41, 3397–3404. [Google Scholar] [CrossRef]
- Kong, Z.; Yang, Q.-f.; Zhao, J.; Xiong, J.-j. Adaptive adjustment of weights and search strategies-based whale optimization algorithm. J. Northeast. Univ. 2020, 41, 35. [Google Scholar]
- Zhang, W.; Liu, S.; Ren, C. Mixed Strategy Improved Sparrow Search Algorithm. Comput. Eng. Appl. 2021, 57, 74–82. [Google Scholar]
- Gupta, T.; Chaudhary, S.; Sharma, R.K. Assessment of mechanical and durability properties of concrete containing waste rubber tire as fine aggregate. Constr. Build. Mater. 2014, 73, 562–574. [Google Scholar] [CrossRef]
- Noor, N.M.; Yamamoto, D.; Hamada, H.; Sagawa, Y. Study on Chloride Ion Penetration Resistance of Rubberized Concrete Under Steady State Condition. MATEC Web Conf. 2016, 47, 01004. [Google Scholar] [CrossRef]
- Ding, X.C. Study on Durability of Waste Rubber Cement Mortar; Henan Polytechnic University: Jiaozuo, China, 2018. [Google Scholar]
- Amiri, M.; Hatami, F.; Golafshani, E.M. Evaluating the synergic effect of waste rubber powder and recycled concrete aggregate on mechanical properties and durability of concrete. Case Stud. Constr. Mater. 2021, 15, e00639. [Google Scholar] [CrossRef]
- Han, Q.; Wang, N.; Zhang, J.; Yu, J.; Hou, D.; Dong, B. Experimental and computational study on chloride ion transport and corrosion inhibition mechanism of rubber concrete. Constr. Build. Mater. 2021, 268, 121105. [Google Scholar] [CrossRef]
- Nadi, S.; Beheshti Nezhad, H.; Sadeghi, A. Experimental study on the durability and mechanical properties of concrete with crumb rubber. J. Build. Pathol. Rehabil. 2022, 7, 17. [Google Scholar] [CrossRef]
- Smith, G.N. Probability and Statistics in Civil Engineering; Collins Professional and Technical Books: London, UK, 1986; 244p. [Google Scholar]
- Dunlop, P.; Smith, S. Estimating key characteristics of the concrete delivery and placement process using linear regression analysis. Civ. Eng. Environ. Syst. 2003, 20, 273–290. [Google Scholar] [CrossRef]
- Al-Janabi, T.A.; Al-Raweshidy, H.S. Efficient whale optimisation algorithm-based SDN clustering for IoT focused on node density. In Proceedings of the 2017 16th Annual Mediterranean Ad Hoc Networking Workshop (Med-Hoc-Net), Budva, Montenegro, 28–30 June 2017; IEEE: New York, NY, USA, 2017; pp. 1–6. [Google Scholar]
- Cai, D.; Ji, X.; Shi, H.; Pan, J. Method for improving piecewise Logistic chaotic map and its performance analysis. J. Nanjing Univ. 2016, 52, 809–815. [Google Scholar]
- Zhou, F.-j.; Wang, X.-j.; Zhang, M. Evolutionary programming using mutations based on the t probability distribution. Acta Electonica Sin. 2008, 36, 667. [Google Scholar]
- Huang, G.-B.; Zhu, Q.-Y.; Siew, C.-K. Extreme learning machine: A new learning scheme of feedforward neural networks. In Proceedings of the 2004 IEEE international joint conference on neural networks (IEEE Cat. No. 04CH37541), Budapest, Hungary, 25–29 July 2004; IEEE: New York, NY, USA, 2004; pp. 985–990. [Google Scholar] [CrossRef]
- Kahramanli, H.; Allahverdi, N. Rule extraction from trained adaptive neural networks using artificial immune systems. Expert Syst. Appl. 2009, 36, 1513–1522. [Google Scholar] [CrossRef]
- Zhang, D.; Wang, Y. Rough neural network based on bottom-up fuzzy rough data analysis. Neural Process. Lett. 2009, 30, 187–211. [Google Scholar] [CrossRef]
- Ding, S.; Jia, W.; Su, C.; Zhang, L.; Liu, L. Research of neural network algorithm based on factor analysis and cluster analysis. Neural Comput. Appl. 2011, 20, 297–302. [Google Scholar] [CrossRef]
- Ding, S.; Xu, L.; Su, C.; Jin, F. An optimizing method of RBF neural network based on genetic algorithm. Neural Comput. Appl. 2012, 21, 333–336. [Google Scholar] [CrossRef]
- Huang, G.-B.; Zhu, Q.-Y.; Siew, C.-K. Extreme learning machine: Theory and applications. Neurocomputing 2006, 70, 489–501. [Google Scholar] [CrossRef]
- Huang, G.-B.; Babri, H.A. Upper bounds on the number of hidden neurons in feedforward networks with arbitrary bounded nonlinear activation functions. IEEE Trans. Neural Netw. 1998, 9, 224–229. [Google Scholar] [CrossRef]
- Huang, G.-B. Learning capability and storage capacity of two-hidden-layer feedforward networks. IEEE Trans. Neural Netw. 2003, 14, 274–281. [Google Scholar] [CrossRef]
- Liang, N.-Y.; Huang, G.-B.; Saratchandran, P.; Sundararajan, N. A fast and accurate online sequential learning algorithm for feedforward networks. IEEE Trans. Neural Netw. 2006, 17, 1411–1423. [Google Scholar] [CrossRef]
- Breiman, L. Random forests. Mach. Learn. 2001, 45, 5–32. [Google Scholar] [CrossRef]
- Amato, L.; Minozzi, S.; Mitrova, Z.; Parmelli, E.; Saulle, R.; Cruciani, F.; Vecchi, S.; Davoli, M. Systematic review of safeness and therapeutic efficacy of cannabis in patients with multiple sclerosis, neuropathic pain, and in oncological patients treated with chemotherapy. Epidemiol. Prev. 2017, 41, 279–293. [Google Scholar] [CrossRef]
- Hou, K.; Yang, H.; Ye, Z.; Wang, Y.; Liu, L.; Cui, X. Effectiveness of pharmacist-led anticoagulation management on clinical outcomes: A systematic review and meta-analysis. J. Pharm. Pharm. Sci. 2017, 20, 378–396. [Google Scholar] [CrossRef]
- Tang, Q.Y.; Zhang, C.X. Data Processing System (DPS) software with experimental design, statistical analysis and data mining developed for use in entomological research. Insect Sci. 2013, 20, 254–260. [Google Scholar] [CrossRef] [PubMed]
- Gao, A. Research on Prediction Model of Tillage DepthBased on an Improved Random Forest; Changchun University of Technology: Changchun, China, 2022. [Google Scholar]
- Elman, J.L. Finding structure in time. Cogn. Sci. 1990, 14, 179–211. [Google Scholar] [CrossRef]
- Mehr, A.D.; Vaheddoost, B.; Mohammadi, B. ENN-SA: A novel neuro-annealing model for multi-station drought prediction. Comput. Geosci. 2020, 145, 104622. [Google Scholar] [CrossRef]
- Yolcu, O.C.; Temel, F.A.; Kuleyin, A. New hybrid predictive modeling principles for ammonium adsorption: The combination of Response Surface Methodology with feed-forward and Elman-Recurrent Neural Networks. J. Clean. Prod. 2021, 311, 127688. [Google Scholar] [CrossRef]
- Cheng, Y.-c.; Qi, W.-M.; Cai, W.-Y. Dynamic properties of Elman and modified Elman neural network. In Proceedings of the International Conference on Machine Learning and Cybernetics, Beijing, China, 4–5 November 2002; IEEE: New York, NY, USA, 2002; pp. 637–640. [Google Scholar]
- Menard, S. Coefficients of determination for multiple logistic regression analysis. Am. Stat. 2000, 54, 17–24. [Google Scholar]
- Le, L.M.; Ly, H.-B.; Pham, B.T.; Le, V.M.; Pham, T.A.; Nguyen, D.-H.; Tran, X.-T.; Le, T.-T. Hybrid artificial intelligence approaches for predicting buckling damage of steel columns under axial compression. Materials 2019, 12, 1670. [Google Scholar] [CrossRef]
- Ly, H.-B.; Le, L.M.; Phi, L.V.; Phan, V.-H.; Tran, V.Q.; Pham, B.T.; Le, T.-T.; Derrible, S. Development of an AI model to measure traffic air pollution from multisensor and weather data. Sensors 2019, 19, 4941. [Google Scholar] [CrossRef]
- Pham, B.T.; Jaafari, A.; Prakash, I.; Bui, D.T. A novel hybrid intelligent model of support vector machines and the MultiBoost ensemble for landslide susceptibility modeling. Bull. Eng. Geol. Environ. 2019, 78, 2865–2886. [Google Scholar] [CrossRef]
- Taylor, K.E. Summarizing multiple aspects of model performance in a single diagram. J. Geophys. Res. Atmos. 2001, 106, 7183–7192. [Google Scholar] [CrossRef]
- Iqbal, M.F.; Liu, Q.-f.; Azim, I.; Zhu, X.; Yang, J.; Javed, M.F.; Rauf, M. Prediction of mechanical properties of green concrete incorporating waste foundry sand based on gene expression programming. J. Hazard. Mater. 2020, 384, 121322. [Google Scholar] [CrossRef]
- Jahed Armaghani, D.; Hajihassani, M.; Sohaei, H.; Tonnizam Mohamad, E.; Marto, A.; Motaghedi, H.; Moghaddam, M.R. Neuro-fuzzy technique to predict air-overpressure induced by blasting. Arab. J. Geosci. 2015, 8, 10937–10950. [Google Scholar] [CrossRef]
- Hong, F.; Qiao, H.; Wang, P. Predicting the life of BNC-coated reinforced concrete using the Weibull distribution. Emerg. Mater. Res. 2020, 9, 424–434. [Google Scholar] [CrossRef]
- Ye, W.C. Experimental Study on the Durability of Rubber Concrete; Shenyang University: Shenyang, China, 2013. [Google Scholar]






















| Max | Min | Average | Median | Stdd | Stde | |
|---|---|---|---|---|---|---|
| Method | 2.00 | 1.00 | 1.6932 | 2.00 | 0.4612 | 0.4638 |
| C·kg/m3 | 457.00 | 100.00 | 350.69 | 387.50 | 123.16 | 123.87 |
| WR·kg/m3 | 5.82 | 0.00 | 0.62 | 0.00 | 1.34 | 1.35 |
| W·kgm3/ | 272.00 | 35.00 | 157.32 | 161.90 | 65.19 | 65.57 |
| W/C | 0.60 | 0.35 | 0.44 | 0.45 | 0.076 | 0.078 |
| FA·kg/m3 | 1360.00 | 174.00 | 862.76 | 1005.00 | 365.72 | 367.82 |
| CA·kg/m3 | 1124.00 | 0.00 | 504.95 | 607.00 | 410.24 | 412.59 |
| Rubber Size | 5.00 | 0.00 | 1.4773 | 1.00 | 1.215 | 1.222 |
| Rubber Content kg/m3 | 138.40 | 0.00 | 35.89 | 22.00 | 37.55 | 37.77 |
| DCI·10−12m2 | 18.55 | 1.07 | 8.39 | 9.74 | 3.88 | 3.90 |
| Parameter | Setting |
|---|---|
| Popsize | 30 |
| Maxgen | 100 |
| d1, d2 | 1 × 10−4 |
| b | 1 |
| Hiddennum layer | 28 |
| Activation function | Sigmoid |
| R2 | RMSE | MAE | MAPE (%) | ||
|---|---|---|---|---|---|
| ELM | Train | 0.9602 | 0.7691 | 0.6233 | 0.1132 |
| Test | 0.6458 | 2.6232 | 1.4539 | 0.3509 | |
| WOA-ELM | Train | 0.9848 | 0.4518 | 0.3475 | 0.0619 |
| Test | 0.9390 | 0.8810 | 0.6584 | 0.1155 | |
| MWOA-ELM | Train | 0.9927 | 0.3287 | 0.2181 | 0.0353 |
| Test | 0.9971 | 0.1911 | 0.1356 | 0.0212 | |
| Parameter | Setting |
|---|---|
| Popsize | 30 |
| Maxgen | 100 |
| Forest size | 24 |
| Number of leaves | 8 |
| Number of cross-validation | 5 |
| d1, d2 | 1 × 10−4 |
| b | 1 |
| R2 | RMSE | MAE | MAPE (%) | ||
|---|---|---|---|---|---|
| RF | Train | 0.653 | 2.2463 | 1.2972 | 0.2766 |
| Test | 0.5768 | 2.5709 | 1.7408 | 0.4015 | |
| WOA-RF | Train | 0.9661 | 0.7709 | 0.5698 | 0.1009 |
| Test | 0.8776 | 1.4409 | 1.0027 | 0.1941 | |
| MWOA-RF | Train | 0.9870 | 0.4520 | 0.3152 | 0.0495 |
| Test | 0.9341 | 1.0164 | 0.6553 | 0.0962 | |
| Parameter | Setting |
|---|---|
| Popsize | 30 |
| Maxgen | 100 |
| Hiddennum_best | 13 |
| Number of cross-validation | 5 |
| Activation function | tansig, purelin |
| Training function | trainlm |
| d1, d2 | 1 × 10−4 |
| b | 1 |
| R2 | RMSE | MAE | MAPE (%) | ||
|---|---|---|---|---|---|
| ELMAN | Train | 0.8275 | 1.6528 | 1.0820 | 0.1938 |
| Test | 0.7108 | 2.1198 | 1.3609 | 0.2590 | |
| MWOA-ELMAN | Train | 0.9783 | 0.5704 | 0.3207 | 0.0523 |
| Test | 0.9390 | 0.8810 | 0.6584 | 0.1155 | |
| MWOA-ELMAN | Train | 0.9883 | 0.4140 | 0.2261 | 0.0373 |
| R2 | RMSE | MAE | MAPE (%) | ||
|---|---|---|---|---|---|
| MWOA-ELM | Train | 0.9927 | 0.3287 | 0.2281 | 0.0353 |
| Test | 0.9971 | 0.1911 | 0.1356 | 0.0212 | |
| MWOA-RF | Train | 0.9870 | 0.4520 | 0.3152 | 0.0495 |
| Test | 0.9341 | 1.0163 | 0.6553 | 0.0962 | |
| MWOA-ELMAN | Train | 0.9883 | 0.4141 | 0.2261 | 0.0373 |
| Test | 0.9698 | 0.6870 | 0.4867 | 0.0947 | |
| R2 | RMSE | MAE | MAPE (%) | |
|---|---|---|---|---|
| MWOA-ELM | 0.9937 | 0.3064 | 0.2096 | 0.0325 |
| MLR | 0.8715 | 1.3905 | 1.088 | 0.2163 |
| R2 | RMSE | MAE | MAPE (%) | |
|---|---|---|---|---|
| MWOA-ELM | 0.9991 | 0.0590 | 0.0277 | 0.0109 |
| Ye [91] | 0.8503 | 2.5326 | 2.2127 | 0.5486 |
Disclaimer/Publisher’s Note: The statements, opinions and data contained in all publications are solely those of the individual author(s) and contributor(s) and not of MDPI and/or the editor(s). MDPI and/or the editor(s) disclaim responsibility for any injury to people or property resulting from any ideas, methods, instructions or products referred to in the content. |
© 2023 by the authors. Licensee MDPI, Basel, Switzerland. This article is an open access article distributed under the terms and conditions of the Creative Commons Attribution (CC BY) license (https://creativecommons.org/licenses/by/4.0/).
Share and Cite
Huang, X.; Wang, S.; Lu, T.; Li, H.; Wu, K.; Deng, W. Chloride Permeability Coefficient Prediction of Rubber Concrete Based on the Improved Machine Learning Technical: Modelling and Performance Evaluation. Polymers 2023, 15, 308. https://doi.org/10.3390/polym15020308
Huang X, Wang S, Lu T, Li H, Wu K, Deng W. Chloride Permeability Coefficient Prediction of Rubber Concrete Based on the Improved Machine Learning Technical: Modelling and Performance Evaluation. Polymers. 2023; 15(2):308. https://doi.org/10.3390/polym15020308
Chicago/Turabian StyleHuang, Xiaoyu, Shuai Wang, Tong Lu, Houmin Li, Keyang Wu, and Weichao Deng. 2023. "Chloride Permeability Coefficient Prediction of Rubber Concrete Based on the Improved Machine Learning Technical: Modelling and Performance Evaluation" Polymers 15, no. 2: 308. https://doi.org/10.3390/polym15020308
APA StyleHuang, X., Wang, S., Lu, T., Li, H., Wu, K., & Deng, W. (2023). Chloride Permeability Coefficient Prediction of Rubber Concrete Based on the Improved Machine Learning Technical: Modelling and Performance Evaluation. Polymers, 15(2), 308. https://doi.org/10.3390/polym15020308


