A Comparative Study on the Properties of Rosin-Based Epoxy Resins with Different Flexible Chains
Abstract
:1. Introduction
2. Experimental
2.1. Materials
2.2. Preparation of Epoxy Monomers
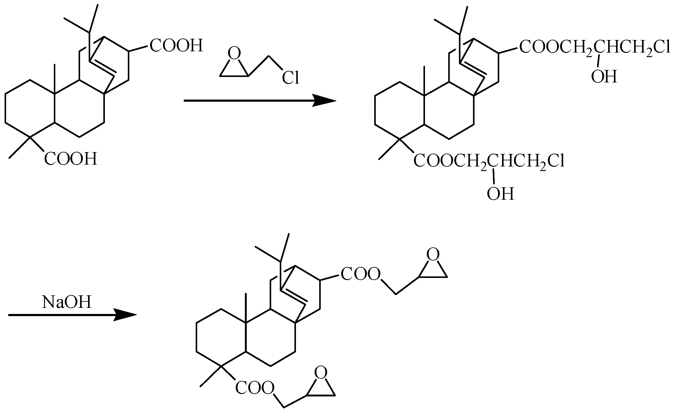
2.2.1. ARE, Diglycidyl Ester from ARA (Figure 1)

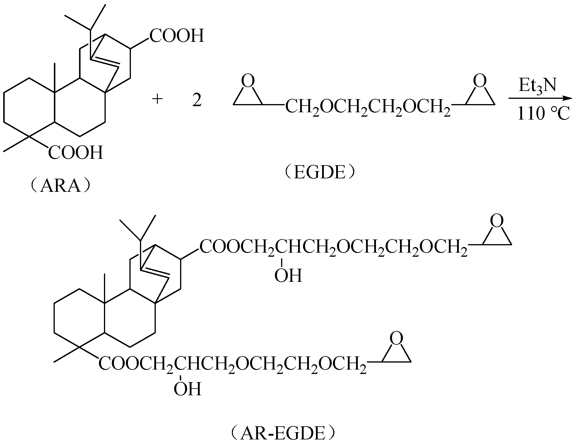
2.2.2. AR-EGDE, the Copolymers of Ethylene Glycol Diglycidyl Ether-Modified ARA (Figure 2)

2.3. Preparation of Test Samples
2.4. Characterization
3. Results
3.1. Characterization of Epoxy Resin Monomers
3.2. Film Properties of the Rosin-Based Epoxy Resins with Different Flexible Chains
3.2.1. The Effects of Epoxy Monomer Flexible Chain on the Film Properties of Rosin-Based Epoxy Resin
3.2.2. The Effects of Curing Agent Flexible Chains on the Film Properties of Rosin-Based Epoxy Resin
3.2.3. A Comparison of Film Properties between the Rosin-Based Epoxy Resin and Bisphenol A Epoxy Resin
3.3. Water Resistance Tests of the Rosin-Based Epoxy Resin with Different Flexible Chain Lengths
3.4. Heat Resistance of the Rosin-Based Epoxy Resin with Different Flexible Chain Lengths
3.5. Weather Resistance of Rosin-Based Epoxy Resin Using Monomers and Curing Agents Containing Different Amounts of Flexible Chains
3.6. Effects of Flexible Chains on Properties of Rosin-Based Cured EPOXY Coating
4. Conclusions
Author Contributions
Funding
Institutional Review Board Statement
Data Availability Statement
Conflicts of Interest
References
- Thakur, T.; Jaswal, S.; Parihar, S.; Gaur, B.; Singha, A.S. Bio-based epoxy thermosets with rosin derived imidoamine curing agents and their structure-property relationships. Express Polym. Lett. 2020, 14, 512–529. [Google Scholar] [CrossRef]
- Ding, C.; Matharu, A.S. Recent Developments on Biobased Curing Agents: A Review of Their Preparation and Use. ACS Sustain. Chem. Eng. 2014, 2, 2217–2236. [Google Scholar] [CrossRef]
- Kumar, S.; Samal, S.K.; Mohanty, S.; Nayak, S.K. Recent Development of Biobased Epoxy Resins: A Review. Polym. Technol. Eng. 2016, 57, 133–155. [Google Scholar] [CrossRef]
- Liu, J.; Zhang, L.; Shun, W.; Dai, J.; Peng, Y.; Liu, X. Recent development on bio-based thermosetting resins. J. Polym. Sci. 2021, 59, 1474–1490. [Google Scholar] [CrossRef]
- Gonçalves, F.A.M.M.; Santos, M.; Cernadas, T.; Ferreira, P.; Alves, P. Advances in the development of biobased epoxy resins: Insight into more sustainable materials and future applications. Int. Mater. Rev. 2021, 67, 119–149. [Google Scholar] [CrossRef]
- Liu, H.; Liu, X.; Liu, Y.; Guo, Z.; Guo, Q.; Sun, Z. The curing characteristics and properties of bisphenol A epoxy res-in/maleopimaric acid curing system. J. Mater. Res. Technol. 2022, 21, 1655–1665. [Google Scholar] [CrossRef]
- El-Ghazawy, R.A.; El-Saeed, A.M.; Al-Shafey, H.I.; Abdul-Raheim, A.R.M.; El-Sockary, M.A. Rosin based epoxy coating: Synthesis, identification and characterization. Eur. Polym. J. 2015, 69, 403–415. [Google Scholar] [CrossRef]
- Kugler, S.; Ossowicz, P.; Malarczyk-Matusiak, K.; Wierzbicka, E. Advances in Rosin-Based Chemicals: The Latest Recipes, Applications and Future Trends. Molecules 2019, 24, 1651. [Google Scholar] [CrossRef]
- Mandal, M.; Borgohain, P.; Begum, P.; Deka, R.C.; Maji, T.K. Property enhancement and DFT study of wood polymer composites using rosin derivatives as co-monomers. New J. Chem. 2018, 42, 2260–2269. [Google Scholar] [CrossRef]
- Zhang, H.; Yang, Y.; Shen, M.; Shang, S.; Song, J.; Jiang, J.; Song, Z. Soybean oil-based thermoset reinforced with rosin-based monomer. Iran. Polym. J. 2018, 27, 405–411. [Google Scholar] [CrossRef]
- Mirabedini, S.M.; Zareanshahraki, F.; Mannari, V. Enhancing thermoplastic road-marking paints performance using sus-tainable rosin ester. Prog. Org. Coat. 2020, 139, 105454. [Google Scholar] [CrossRef]
- Zhou, W.; Wang, Y.; Ni, C.; Yu, L. Preparation and evaluation of natural rosin-based zinc resins for marine antifouling. Prog. Org. Coat. 2021, 157, 106270. [Google Scholar] [CrossRef]
- Frances, M.; Gardere, Y.; Rubini, M.; Duret, E.; Leroyer, L.; Cabaret, T.; Athomo, A.B.B.; Charrier, B. Effect of heat treatment on Pinus pinaster rosin: A study of physico chemical changes and influence on the quality of rosin linseed oil varnish. Ind. Crop. Prod. 2020, 155, 112789. [Google Scholar] [CrossRef]
- Dizman, C.; Ozman, E. Preparation of rapid (chain-stopped) alkyds by incorporation of gum rosin and investigation of coating properties. Turk. J. Chem. 2020, 44, 932–940. [Google Scholar] [CrossRef]
- Nakanishi, E.Y.; Cabral, M.R.; Fiorelli, J.; Christoforo, A.L.; Gonçalves, P.d.S.; Junior, H.S. Latex and rosin films as alternative waterproofing coatings for 3-layer sugarcane-bamboo-based particleboards. Polym. Test. 2019, 75, 284–290. [Google Scholar] [CrossRef]
- Li, Z.; Yang, X.; Liu, H.; Yang, X.; Shan, Y.; Xu, X.; Shang, S.; Song, Z. Dual-functional antimicrobial coating based on a qua-ternary ammonium salt from rosin acid with in vitro and in vivo antimicrobial and antifouling properties. Chem. Eng. J. 2019, 374, 564–575. [Google Scholar] [CrossRef]
- Saat, A.M.; Yaakup, S.; Alaauldin, S.; Johor, H.; Azaim, F.Z.Z.; Isa, M.D.M.; Kamil, M.S.; Samsudin, S.; Lokman, M.I. Performance of rosin modified antifouling coated on mild steel surface at various immersion orientation. Int. J. Innov. Technol. Explor. Eng. 2019, 8, 5562–5565. [Google Scholar] [CrossRef]
- Atta, A.M.; El-Saeed, A.M.; El-Mahdy, G.M.; Al-Lohedan, H.A. Application of magnetite nano-hybrid epoxy as protective marine coatings for steel. RSC Adv. 2015, 5, 101923–101931. [Google Scholar] [CrossRef]
- Leiteabc, L.S.F.; Bilattob, S.; Paschoalinc, R.T.; Soaresb, A.C.; Moreirad, F.K.V.; Oliveirac, O.N.; Mattosoab, L.H.C.; Brasef, J. Eco-friendly gelatin films with rosin-grafted cellulose nanocrystals for antimicrobial packaging. Int. J. Bio-Log. Macromol. 2020, 165, 2974–2983. [Google Scholar]
- Majeed, Z.; Khurshid, K.; Ajab, Z.; Guan, Q.; Ahmad, B.; Mumtaza, I.; Ahmed, M.N.; Khan, R.A.W.; Andleeb, S. Agronomic evaluation of controlled release of micro urea encapsulated in rosin maleic anhydride adduct. J. Plant Nutr. 2020, 43, 1794–1812. [Google Scholar] [CrossRef]
- Mao, S.; Wu, C.; Gao, Y.; Hao, J.; He, X.; Tao, P.; Li, J.; Shang, S.; Song, Z.; Song, J. Pine Rosin as a Valuable Natural Resource in the Synthesis of Fungicide Candidates for Controlling Fusarium oxysporum on Cucumber. J. Agric. Food Chem. 2021, 69, 6475–6484. [Google Scholar] [CrossRef] [PubMed]
- Li, Z.; Wang, S.; Yang, X.; Liu, H.; Shan, Y.; Xu, X.; Shang, S.; Song, Z. Antimicrobial and antifouling coating constructed using rosin acid-based quaternary ammonium salt and N-vinylpyrrolidone via RAFT polymerization. Appl. Surf. Sci. 2020, 530, 147193. [Google Scholar] [CrossRef]
- Yu, C.; Yan, C.; Shao, J.; Zhang, F. Preparation and properties of rosin-based cationic waterborne polyurethane dispersion. Colloid Polym. Sci. 2021, 299, 1489–1498. [Google Scholar] [CrossRef]
- Rosu, L.; Mustata, F.; Rosu, D.; Varganici, C.D.; Rosca, I.; Rusu, T. Bio-based coatings from epoxy resins crosslinked with a rosin acid derivative for wood thermal and anti–fungal protection. Prog. Org. Coat. 2020, 151, 106008. [Google Scholar] [CrossRef]
- Mahendra, V. Rosin Product Review. Appl. Mech. Mater. 2019, 890, 77–91. [Google Scholar] [CrossRef]
- Popova, L.; Ivanchenko, O.; Pochkaeva, E.; Klotchenko, S.; Plotnikova, M.; Tsyrulnikova, A.; Aronova, E. Rosin Derivatives as a Platform for the Antiviral Drug Design. Molecules 2021, 26, 3836. [Google Scholar] [CrossRef] [PubMed]
- Pan, Y.; Ge, B.; Zhang, Y.; Li, P.; Guo, B.; Zeng, X.; Pan, J.; Lin, S.; Yuan, P.; Hou, L. Surface activity and cleaning performance of Gemini surfactants with rosin groups. J. Mol. Liq. 2021, 336, 116222. [Google Scholar] [CrossRef]
- Xu, C.A.; Qu, Z.; Lu, M.; Meng, H.; Zhan, Y.; Chen, B.; Wu, K.; Shi, J. Effect of rosin on the antibacterial activity against S.aureus and adhesion properties of UV-curable polyurethane/polysiloxane pressure-sensitive adhesive. Colloids Surf. A Physicochem. Eng. Asp. 2021, 614, 126146. [Google Scholar] [CrossRef]
- Pavon, C.; Aldas, M.; Hernández-Fernández, J.; López-Martínez, J. Comparative characterization of gum rosins for their use as sustainable additives in polymeric matrices. J. Appl. Polym. Sci. 2021, 139, 51734. [Google Scholar] [CrossRef]
- Mantzaridis, C.; Brocas, A.L.; Llevot, A.; Cendejas, G.; Auvergne, R.; Caillol, S.; Carlotti, S.; Cramail, H. Rosin acid oligomers as precursors of DGEBA-free epoxy resins. Green Chem. 2013, 15, 3091–3098. [Google Scholar] [CrossRef]
- Gao, T.Y.; Wang, F.-D.; Xu, Y.; Wei, C.X.; Zhu, S.E.; Yang, W.; Lu, H.D. Luteolin-based epoxy resin with exceptional heat resistance, mechanical and flame retardant properties. Chem. Eng. J. 2021, 428, 131173. [Google Scholar] [CrossRef]
- Zhang, Y.; Zhai, M.; Ma, F.; Li, Y.; Lyu, B.; Liu, T.; Gao, Z.; Wang, L.; Vincent, D.; Kessler, M.R. Fully Eugenol-Based Epoxy Thermosets: Synthesis, Curing, and Properties. Macromol. Mater. Eng. 2021, 307, 2100833. [Google Scholar] [CrossRef]
- Nabipour, H.; Niu, H.; Wang, X.; Batool, S.; Hu, Y. Fully bio-based epoxy resin derived from vanillin with flame retardancy and degradability. React. Funct. Polym. 2021, 168, 105034. [Google Scholar] [CrossRef]
- Brocas, A.L.; Llevot, A.; Mantzaridis, C.; Cendejas, G.; Auvergne, R.; Caillol, S.; Carlotti, S.; Cramail, H. Epoxidized rosin acids as co-precursors for epoxy resins. Des. Monomers Polym. 2013, 17, 301–310. [Google Scholar] [CrossRef]
- Li, C.; Liu, X.; Zhu, J.; Zhang, C.; Guo, J. Synthesis, Characterization of a Rosin-based Epoxy Monomer and its Comparison with a Petroleum-based Counterpart. J. Macromol. Sci. Part A 2013, 50, 321–329. [Google Scholar] [CrossRef]
- Liu, X.Q.; Huang, W.; Jiang, Y.H.; Zhu, J.; Zhang, C.Z. Preparation of a bio-based epoxy with comparable properties to those of petroleum-based counterparts. Express Polym. Lett. 2012, 6, 293–298. [Google Scholar] [CrossRef]
- Liu, X.Q.; Zhang, J.W. High-performance biobased epoxy derived from rosin. Polym. Int. 2010, 59, 607–609. [Google Scholar] [CrossRef]
- Sun, J.; Zhang, Z.; Wang, L.; Liu, H.; Ban, X.; Ye, J. Investigation on the epoxy/polyurethane modified asphalt binder cured with bio-based curing agent: Properties and optimization. Constr. Build. Mater. 2021, 320, 126221. [Google Scholar] [CrossRef]
- Zeng, Y.; Yang, B.; Luo, Z.; Pan, X.; Ning, Z. Fully rosin-based epoxy vitrimers with high mechanical and thermostability properties, thermo-healing and closed-loop recycling. Eur. Polym. J. 2022, 181, 111643. [Google Scholar] [CrossRef]
- Zeng, Y.; Li, J.; Liu, S.; Yang, B. Rosin-Based Epoxy Vitrimers with Dynamic Boronic Ester Bonds. Polymers 2021, 13, 3386. [Google Scholar] [CrossRef]
- Qin, J.; Liu, H.; Zhang, P.; Wolcott, M.; Zhang, J. Use of eugenol and rosin as feedstocks for biobased epoxy resins and study of curing and performance properties. Polym. Int. 2013, 63, 760–765. [Google Scholar] [CrossRef]
- Zhang, H.; Li, W.; Xu, J.; Shang, S.; Song, Z.Q. Synthesis and characterization of bio-based epoxy thermosets using rosin-based epoxy monomer. Iran. Polym. J. 2021, 30, 643–654. [Google Scholar] [CrossRef]
- Yang, X.; Guo, L.; Xu, X.; Shang, S.; Liu, H. A fully bio-based epoxy vitrimer: Self-healing, triple-shape memory and reprocessing triggered by dynamic covalent bond exchange. Mater. Des. 2019, 186, 108248. [Google Scholar] [CrossRef]
- Huang, X.; Yang, X.; Liu, H.; Shang, S.; Cai, Z.; Wu, K. Bio-based thermosetting epoxy foams from epoxidized soybean oil and rosin with enhanced properties. Ind. Crop. Prod. 2019, 139, 111540. [Google Scholar] [CrossRef]
- Deng, L.; Ha, C.; Sun, C.; Zhou, B.; Yu, J.; Shen, M.; Mo, J. Properties of Bio-based Epoxy Resins from Rosin with Different Flexible Chains. Ind. Eng. Chem. Res. 2013, 52, 13233–13240. [Google Scholar] [CrossRef]
- Huang, K.; Zhang, J.; Li, M.; Xia, J.; Zhou, Y. Exploration of the complementary properties of biobased epoxies derived from rosin diacid and dimer fatty acid for balanced performance. Ind. Crops Prod. 2013, 49, 497–506. [Google Scholar] [CrossRef]
- Li, R.; Zhang, P.; Liu, T.; Muhunthan, B.; Xin, J.N.; Zhang, J.W. Use of Hempseed-Oil-Derived Polyacid and Rosin-Derived Anhydride Acid as Cocuring Agents for Epoxy Materials. ACS Sustain. Chem. Eng. 2018, 6, 4016–4025. [Google Scholar] [CrossRef]
- GB/T 1727-2021; General Methods for Preparation of Coating Films. Standards Press of China: Beijing, China, 2021.
- GB/T 6739−2006; Paints and Varnishes—Determination of Film Hardness by Pencil Test. Standards Press of China: Beijing, China, 2007.
- GB/T 9286−2021; Paints and Varnishes—Cross-Cut Test. Standards Press of China: Beijing, China, 2007.
- GB/T 1732−2020; Determination of Impact Resistance of Coating Films. Standards Press of China: Beijing, China, 2020.
- GB/T 1731−2020; Determination of Flexibility of Coating and Putty Films. Standards Press of China: Beijing, China, 2020.
- GB/T 1735−2009; Paints and Varnishes—Determination of Heat Resistance. Standards Press of China: Beijing, China, 2009.
- Atta, A.M.; El-Saeed, S.M.; Farag, R.K. New vinyl ester resins based on rosin for coating applications. React. Funct. Polym. 2006, 66, 1596–1608. [Google Scholar] [CrossRef]
- Liu, G.; Wu, G.; Chen, J.; Kong, Z. Synthesis, modification and properties of rosin-based non-isocyanate polyurethanes coatings. Prog. Org. Coat. 2016, 101, 461–467. [Google Scholar] [CrossRef]








| Epoxy Resins | Epoxy Monomer | Curing Agent |
|---|---|---|
| ARED | ARE | DETA |
| ARET | ARE | TETA |
| AREP | ARE | TEPA |
| AR-EGDED | AR-EGDE | DETA |
| AR-EGDET | AR-EGDE | TETA |
| E20D | E20 | DETA |
| E20T | E20 | TETA |
| Coating Sample | Pencil Hardness | Grading of Cross-Cut Tests | Flexibility | Impact Resistance |
|---|---|---|---|---|
| ARED | 3H | 3 | Destroyed | Cracks and spalling |
| ARET | 3H | 3 | Destroyed | Cracks and spalling |
| AREP | - | 3 | - | Cracks and spalling |
| AR-EGDED | 2H | 0 | Not affected | No cracks and spalling |
| AR-EGDET | 2H | 0 | Not affected | No cracks and spalling |
| E20D | 3H | 5 | Not affected | No cracks and spalling, slight wrinkles and stress whitening phenomenon. |
| E20T | 3H | 5 | Not affected |
| Epoxy Resins | 16 h | 24 h | 48 h |
|---|---|---|---|
| ARED | 0.24% | 0.40% | 0.57% |
| ARET | 0.18% | 0.39% | 0.60% |
| AR-EGDED | 5.78% | 6.54% | 9.35% |
| AR-EGDET | 6.37% | 7.30% | 10.26% |
| E20D | 0.26% | 0.54% | 1.34% |
| E20T | 0.25% | 1.14% | 1.76% |
| Cured Resins | T5% | Tmax | Residue at 700 °C (%) |
|---|---|---|---|
| ARED | 259.93 | 350.27, 423.73 | 16.883 |
| ARET | 249.9 | 340.69, 419.88 | 26.248 |
| AR-EGDED | 287.1 | 343.21, 418.98 | 8.549 |
| AR-EGDET | 268.41 | 346.11, 413.81 | 8.612 |
| E20D | 203.94 | 193.69, 434.1 | 16.254 |
| E20T | 208.8 | 188.83, 433.94 | 20.368 |
| Coating Sample | Observations |
|---|---|
| ARED | unchanged |
| ARET | unchanged |
| AR-EGDED | unchanged |
| AR-EGDET | unchanged |
| E20D | wrinkling, flaking, and pulverized |
| E20T | wrinkling, flaking, and pulverized |
Disclaimer/Publisher’s Note: The statements, opinions and data contained in all publications are solely those of the individual author(s) and contributor(s) and not of MDPI and/or the editor(s). MDPI and/or the editor(s) disclaim responsibility for any injury to people or property resulting from any ideas, methods, instructions or products referred to in the content. |
© 2023 by the authors. Licensee MDPI, Basel, Switzerland. This article is an open access article distributed under the terms and conditions of the Creative Commons Attribution (CC BY) license (https://creativecommons.org/licenses/by/4.0/).
Share and Cite
Deng, L.; Wang, Z.; Qu, B.; Liu, Y.; Qiu, W.; Qi, S. A Comparative Study on the Properties of Rosin-Based Epoxy Resins with Different Flexible Chains. Polymers 2023, 15, 4246. https://doi.org/10.3390/polym15214246
Deng L, Wang Z, Qu B, Liu Y, Qiu W, Qi S. A Comparative Study on the Properties of Rosin-Based Epoxy Resins with Different Flexible Chains. Polymers. 2023; 15(21):4246. https://doi.org/10.3390/polym15214246
Chicago/Turabian StyleDeng, Lianli, Zehua Wang, Bailu Qu, Ying Liu, Wei Qiu, and Shaohe Qi. 2023. "A Comparative Study on the Properties of Rosin-Based Epoxy Resins with Different Flexible Chains" Polymers 15, no. 21: 4246. https://doi.org/10.3390/polym15214246
APA StyleDeng, L., Wang, Z., Qu, B., Liu, Y., Qiu, W., & Qi, S. (2023). A Comparative Study on the Properties of Rosin-Based Epoxy Resins with Different Flexible Chains. Polymers, 15(21), 4246. https://doi.org/10.3390/polym15214246
