The Application of an Eco-Friendly Synthetic Polymer as a Sandy Soil Stabilizer
Abstract
:1. Introduction
2. Materials and Methods
2.1. Soil and Composites 2.5% and 5%
2.2. Proctor Compaction Tests
2.3. Direct Shear Test
2.4. Mineralogical Characterization
3. Results and Analysis
3.1. Soil
3.2. Proctor Compaction Tests
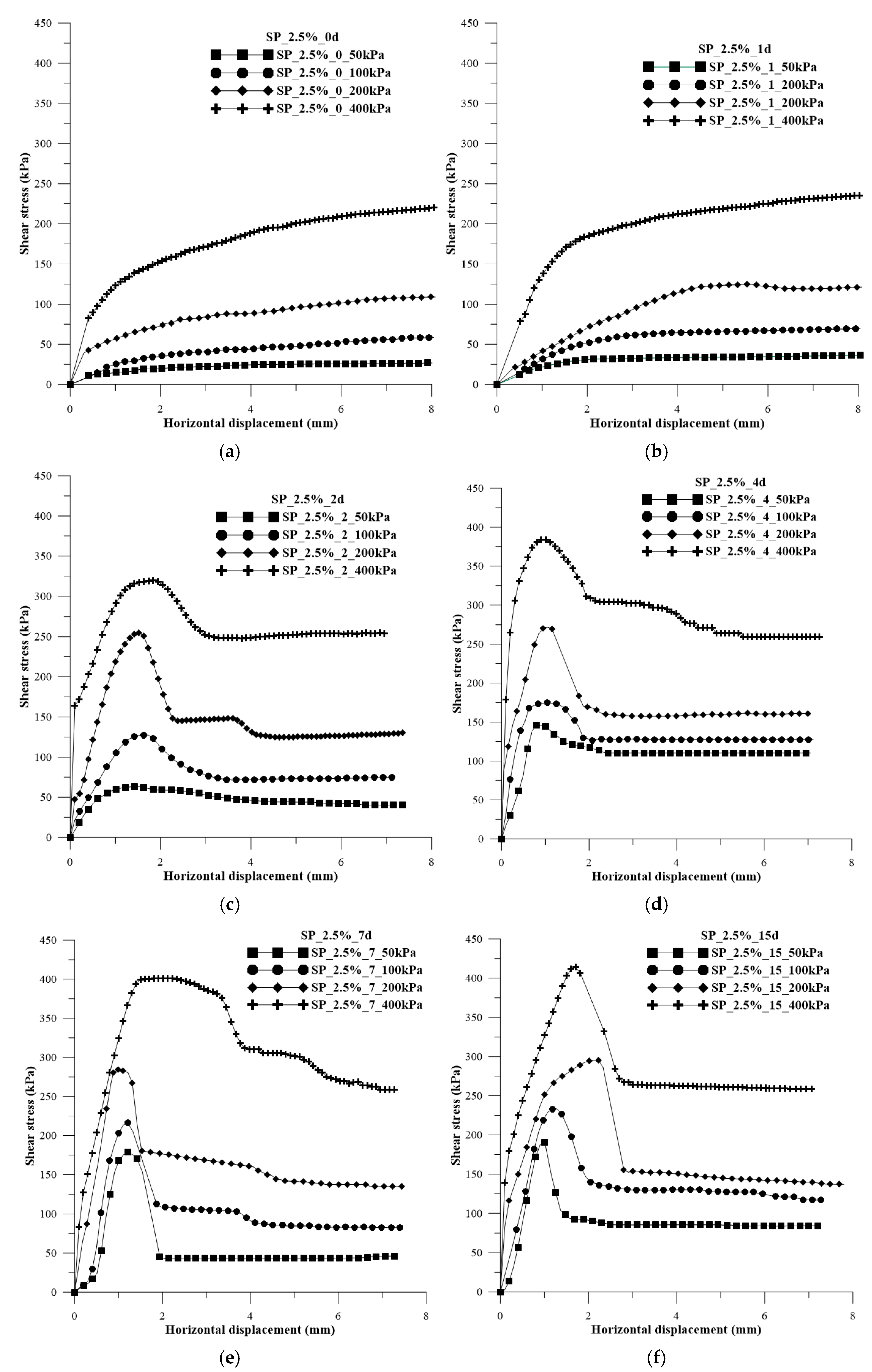
3.3. 2.5% Polymer Composite
3.4. 5% Polymer Composite
3.5. Mineralogical Characterization
3.5.1. X-ray Diffraction (XRD)
3.5.2. X-ray Fluorescence Spectrometry (XRF/EDX) Tests
3.5.3. Optical Microscopy (OM) and Scanning Electron Microscopy (SEM) Images
4. Conclusions
- The studied soil comes from an environmentally protected area where large-scale construction is restricted, making access to the region challenging. The soil is sandy, classified as A-3 by HRB classification, non-plastic (NP), and SP by SUCS classification. Based on these characteristics and microstructural analysis, it can be affirmed that it is a soil without natural cementing elements, exhibiting granular soil behavior;
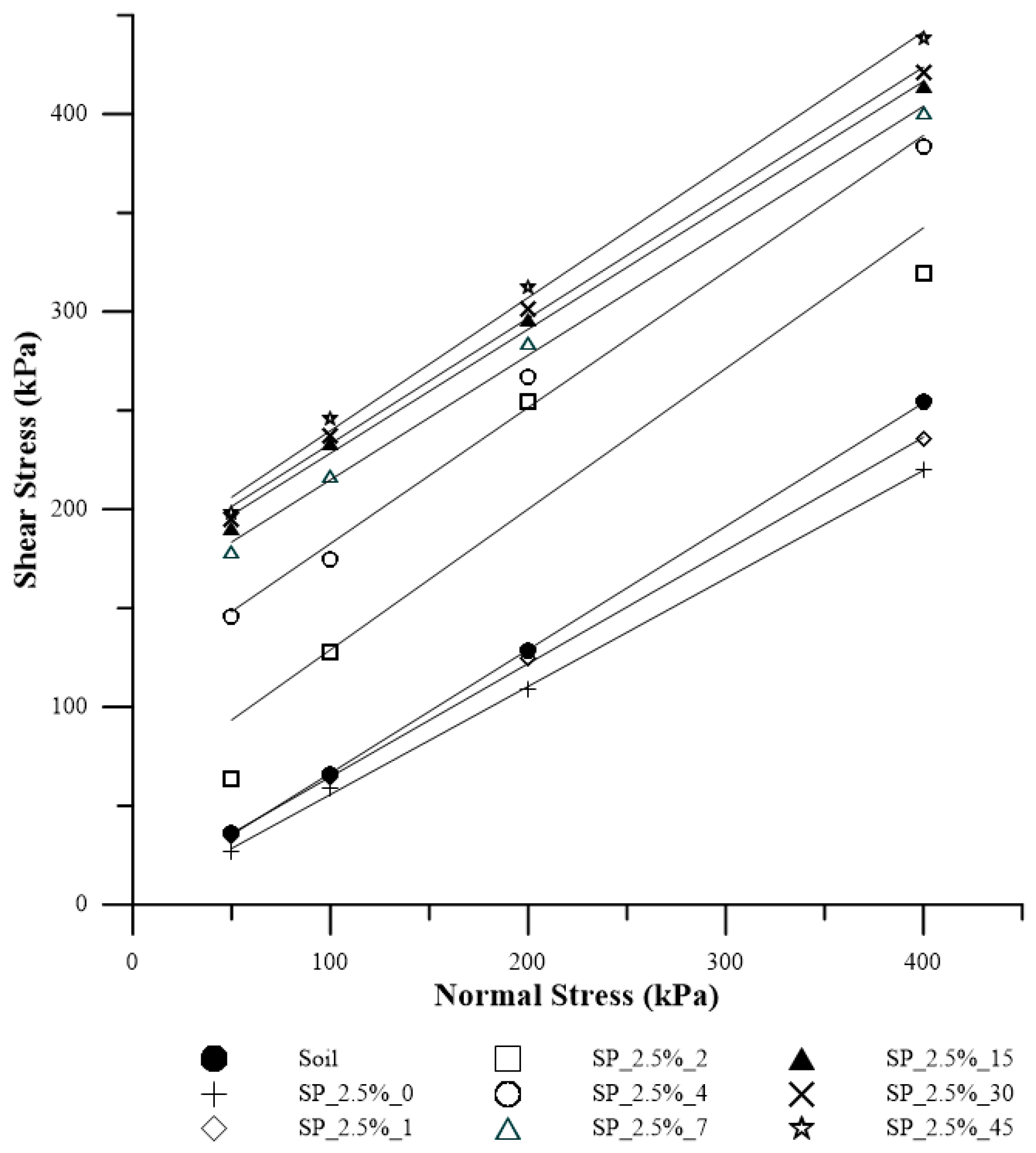
- Overall, the addition of polymer to the studied soil was positive for all the studied applications. The addition of the polymer solution to the soil, in two concentrations of 2.5% and 5%, provided gains in cementation and cohesion to the substrate;
- The compaction results showed a change in the behavior of the curves with the polymer insertion in both concentrations, along with an increase in dry density, but a slight reduction in the optimum moisture content. However, working with a polymer solution leads to a reduction in the total amount of added water;
- Analysis of the direct shear results for both studied concentrations showed that an increase in curing time improves the strength parameters, both cohesive intercept and friction angle;
- Permeability was reduced for both composites compared with pure sandy soil, attributed to the polymer solution occupying the void spaces between grains;
- From an environmental perspective, the leachate analysis did not reveal excessive chemical elements that could contaminate groundwater, fauna, flora, or the local population;
- The action of the polymer increases the rigidity of the composite upon exposure to air, as this is a common chemical reaction in any type of adhesive, where oxygen acts as a catalyst for material hardening;
- Microstructural characterization visibly shows the action of the polymer as a cementing agent for grains, forming a film on the grains and binding them. With the increase in curing time in mechanical tests, this grain union led to an improvement in the strength values of the composites;
- Through the analyses and studies conducted in the research, it can be concluded that there is technical feasibility for the application of the polymer solution, for both concentrations, in geotechnical projects. In general, the 5% content yielded better results, although for applications in embankments and slopes, the 2.5% content produced satisfactory results.
Author Contributions
Funding
Institutional Review Board Statement
Data Availability Statement
Conflicts of Interest
References
- Barreto, T.M.; Repsold, L.M.; e Silva, N.A.B.d.S.; Casagrande, M.D.T. Influence of Addition of Butadiene Copolymer and Modified Styrene on the Mechanical Behavior of a Sand. Soils Rocks 2022, 45, e2022074521. [Google Scholar] [CrossRef]
- Silva, N.A.B.S. Performance of a Soil-Polymer Composite for Application in Geotechnical and Paving Works. Master’s Thesis, University of Brasília, Brasilia, Brazil, 2020. [Google Scholar]
- Carneiro, A.d.A.; Casagrande, M.D.T. Mechanical and Environmental Performance of Polymer Stabilized Iron Ore Tailings. Soils Rocks 2020, 43, 679–689. [Google Scholar] [CrossRef]
- Bozyigit, I.; Zingil, H.O.; Altun, S. Performance of Eco-Friendly Polymers for Soil Stabilization and Their Resistance to Freeze–Thaw Action. Constr. Build. Mater. 2023, 379, 131133. [Google Scholar] [CrossRef]
- Khodabandeh, M.A.; Nagy, G.; Török, Á. Stabilization of Collapsible Soils with Nanomaterials, Fibers, Polymers, Industrial Waste, and Microbes: Current Trends. Constr. Build. Mater. 2023, 368, 130463. [Google Scholar] [CrossRef]
- Alelvan, G.M.; Ferreira, J.W.d.S.; Casagrande, M.D.T.; Consoli, N.C. Proposal of New Construction Material: Polymer-Stabilized Gold Ore Tailings Composite. Sustainability 2022, 14, 13648. [Google Scholar] [CrossRef]
- Khalaf, A.A.; Kopecskó, K. Proposed Simplified Method of Geopolymer Concrete Mix Design. Concr. Struct. 2020, 21, 31–37. [Google Scholar] [CrossRef]
- Soldo, A.; Miletić, M.; Auad, M.L. Biopolymers as a Sustainable Solution for the Enhancement of Soil Mechanical Properties. Sci. Rep. 2020, 10, 267. [Google Scholar] [CrossRef]
- Samir, A.; Ashour, F.H.; Hakim, A.A.A.; Bassyouni, M. Recent Advances in Biodegradable Polymers for Sustainable Applications. npj Mater. Degrad. 2022, 6, 68. [Google Scholar] [CrossRef]
- Khatami, H.R.; O’Kelly, B.C. Improving Mechanical Properties of Sand Using Biopolymers. J. Geotech. Geoenviron. Eng. 2012, 139, 1402–1406. [Google Scholar] [CrossRef]
- Almajed, A.; Lemboye, K.; Moghal, A.A.B. A Critical Review on the Feasibility of Synthetic Polymers Inclusion in Enhancing the Geotechnical Behavior of Soils. Polymers 2022, 14, 5004. [Google Scholar] [CrossRef] [PubMed]
- Wang, D.; Zheng, Y.; Deng, Q.; Liu, X. Water-Soluble Synthetic Polymers: Their Environmental Emission Relevant Usage, Transport and Transformation, Persistence, and Toxicity. Environ. Sci. Technol. 2023, 57, 6387–6402. [Google Scholar] [CrossRef] [PubMed]
- Huang, J.; Kogbara, R.B.; Hariharan, N.; Masad, E.A.; Little, D.N. A State-of-the-Art Review of Polymers Used in Soil Stabilization. Constr. Build. Mater. 2021, 305, 124685. [Google Scholar] [CrossRef]
- Tingle, J.S.; Newman, J.K.; Larson, S.L.; Weiss, C.A.; Rushing, J.F. Stabilization Mechanisms of Nontraditional Additives. Transp. Res. Rec. 2007, 2, 59–67. [Google Scholar] [CrossRef]
- Onyejekwe, S.; Ghataora, G.S. Soil Stabilization Using Proprietary Liquid Chemical Stabilizers: Sulphonated Oil and a Polymer. Bull. Eng. Geol. Environ. 2015, 74, 651–665. [Google Scholar] [CrossRef]
- Anastas, P.; Eghbali, N. Green Chemistry: Principles and Practice. Chem. Soc. Rev. 2010, 39, 301–312. [Google Scholar] [CrossRef] [PubMed]
- Derradji, M.; Mehelli, O.; Liu, W.; Fantuzzi, N. Sustainable and Ecofriendly Chemical Design of High Performance Bio-Based Thermosets for Advanced Applications. Front. Chem. 2021, 9, 691117. [Google Scholar] [CrossRef]
- Benhelal, E.; Zahedi, G.; Shamsaei, E.; Bahadori, A. Global Strategies and Potentials to Curb CO2 Emissions in Cement Industry. J. Clean. Prod. 2013, 51, 142–161. [Google Scholar] [CrossRef]
- Derradji, M.; Khiari, K.; Mehelli, O.; Abdous, S.; Habes, A.; Ramdani, N.; Zegaoui, A.; Liu, W.; Daham, A. Mechanical and Thermal Properties of Fully Green Composites from Vanillin-Based Benzoxazine and Silane Surface Modified Chopped Basalt Fibers. High Perform. Polym. 2023, 35, 412–425. [Google Scholar] [CrossRef]
- Derradji, M.; Khiari, K.; Mehelli, O.; Abdous, S.; Amri, B.; Belgacemi, R.; Ramdani, N.; Zegaoui, A.; Liu, W. Green Composites from Vanillin-Based Benzoxazine and Silane Surface Modified Chopped Carbon Fibers. Polym. Renew. Resour. 2023, 14, 16–30. [Google Scholar] [CrossRef]
- Al-Khanbashi, A.; El-Gamal, M. Modification of Sandy Soil Using Water-Borne Polymer. J. Appl. Polym. Sci. 2003, 88, 2484–2491. [Google Scholar] [CrossRef]
- Garcia, N.F.; Valdes, J.R.; Cortes, D.D. Strength Characteristics of Polymer-Bonded Sands. Géotechnique Lett. 2015, 5, 212–215. [Google Scholar] [CrossRef]
- Okonta, F. Pavement Geotechnical Properties of Polymer Modified Weathered Semi-Arid Shale Subgrade. Int. J. Pavement Res. Technol. 2019, 12, 54–63. [Google Scholar] [CrossRef]
- Luan, Y.; Ma, X.; Ma, Y.; Liu, X.; Jiang, S.; Zhang, J. Research on Strength Improvement and Stabilization Mechanism of Organic Polymer Stabilizer for Clay Soil of Subgrade. Case Stud. Constr. Mater. 2023, 19, e02397. [Google Scholar] [CrossRef]
- ABNT NBR 7181; Solo—Análise Granulométrica. ABNT Associação Brasileira de Normas Técnicas: Rio de Janeiro, Brazil, 2018.
- ASTM D7928; Standard Test Method for Particle-Size Distribution (Gradation) of Fine-Grained Soils Using the Sedimentation (Hydrometer) Analysis. ASTM International: West Conshohocken, PA, USA, 2021.
- ASTM D5550; Standard Test Method for Specific Gravity of Soil Solids by Gas Pycnometer. ASTM International: West Conshohocken, PA, USA, 2014.
- ASTM D698-12; Standard Test Methods for Laboratory Compaction Characteristics of Soil Using Standard Effort (12,400 Ft-Lbf/Ft3 (600 kN-m/M3)). ASTM International: West Conshohocken, PA, USA, 2021.
- ABNT NBR 10004/2004; Resíduos Sólidos. Em Seu Anexo F (Normativo) Determina a Concentração Dos Limites Máximos Obtidos No Ensaio de Lixiviação. ABNT Associação Brasileira de Normas Técnicas: Rio de Janeiro, Brazil, 2004.
- ASTM D3080-04; Standard Test Method for Direct Shear Test of Soils under Consolidated Drained Conditions. ASTM International: West Conshohocken, PA, USA, 2012.
- Dedavid, B.A.; Gomes, C.I.; Machado, G. Microscopia Eletrônica de Varredura—Aplicações e Preparações de Amostras—Materiais Poliméricos, Metálicos e Semicondutores; PUCRS: Porto Alegre, Brazil, 2007; pp. 1–60. [Google Scholar]
- Brazil’s National Environment Council CONAMA no 420/2009. 2013. Available online: https://www.ibama.gov.br/component/legislacao/?view=legislacao&force=1&legislacao=115509 (accessed on 25 October 2023).
- Brazil’s National Environment Council CONAMA No 430/2011. 2011. Available online: https://www.ibama.gov.br/component/legislacao/?view=legislacao&legislacao=118583 (accessed on 25 October 2023).




























| Material | c’ (kPa) | Φ’ (°) |
|---|---|---|
| Soil | 4.05 | 31.9 |
| SP_2.5%_0 | 1.06 | 28.9 |
| SP_2.5%_1 | 7.37 | 29.8 |
| SP_2.5%_2 | 57.81 | 36.2 |
| SP_2.5%_4 | 151.95 | 34.2 |
| SP_2.5%_7 | 165.70 | 32.4 |
| SP_2.5%_15 | 167.59 | 32.6 |
| SP_2.5%_30 | 169.67 | 32.9 |
| SP_2.5%_45 | 172.53 | 34.5 |
| Material | c’ (kPa) | Φ’ (°) |
|---|---|---|
| Soil | 4.05 | 31.9 |
| SP_5%_0 | 0.00 | 27.0 |
| SP_5%_1 | 9.68 | 32.5 |
| SP_5%_2 | 123.12 | 38.3 |
| SP_5%_4 | 134.96 | 44.4 |
| SP_5%_7 | 302.48 | 54.2 |
| SP_5%_15 | 521.86 | 60.1 |
| SP_5%_30 | 526.72 | 61.4 |
| SP_5%_45 | 546.72 | 62.2 |
| Chemical Elements | SP_2.5% | SP_5% |
|---|---|---|
| pH | 8.8 | 9.0 |
| Total Nitrogen (mg.L−1) | 2.39 | 3.09 |
| Iron (mg∙L−1) | <0.1004 | <0.1004 |
| Manganese (mg∙L−1) | <0.1004 | <0.1004 |
| Copper (mg∙L−1) | <0.1000 | 0.1091 |
| Aluminum (mg∙L−1) | 0.6110 | 0.6660 |
Disclaimer/Publisher’s Note: The statements, opinions and data contained in all publications are solely those of the individual author(s) and contributor(s) and not of MDPI and/or the editor(s). MDPI and/or the editor(s) disclaim responsibility for any injury to people or property resulting from any ideas, methods, instructions or products referred to in the content. |
© 2023 by the authors. Licensee MDPI, Basel, Switzerland. This article is an open access article distributed under the terms and conditions of the Creative Commons Attribution (CC BY) license (https://creativecommons.org/licenses/by/4.0/).
Share and Cite
Boaventura, N.F.; Sousa, T.F.d.P.; Casagrande, M.D.T. The Application of an Eco-Friendly Synthetic Polymer as a Sandy Soil Stabilizer. Polymers 2023, 15, 4626. https://doi.org/10.3390/polym15244626
Boaventura NF, Sousa TFdP, Casagrande MDT. The Application of an Eco-Friendly Synthetic Polymer as a Sandy Soil Stabilizer. Polymers. 2023; 15(24):4626. https://doi.org/10.3390/polym15244626
Chicago/Turabian StyleBoaventura, Nathália Freitas, Thiago Freitas de Porfírio Sousa, and Michéle Dal Toé Casagrande. 2023. "The Application of an Eco-Friendly Synthetic Polymer as a Sandy Soil Stabilizer" Polymers 15, no. 24: 4626. https://doi.org/10.3390/polym15244626
APA StyleBoaventura, N. F., Sousa, T. F. d. P., & Casagrande, M. D. T. (2023). The Application of an Eco-Friendly Synthetic Polymer as a Sandy Soil Stabilizer. Polymers, 15(24), 4626. https://doi.org/10.3390/polym15244626

