Electromagnetic Interference Shielding Properties of Highly Flexible Poly(styrene-co-butyl acrylate)/PEDOT:PSS Films Fabricated by Latex Technology
Abstract
1. Introduction
2. Experimental Section
2.1. Materials
2.2. Preparation of p(St-co-BA) Latex
2.3. Fabrication of p(St-co-BA)/PEDOT:PSS Film
2.4. Characterization
3. Results and Discussion
3.1. Morphology and Rheological Properties of p(St-co-BA) Copolymer
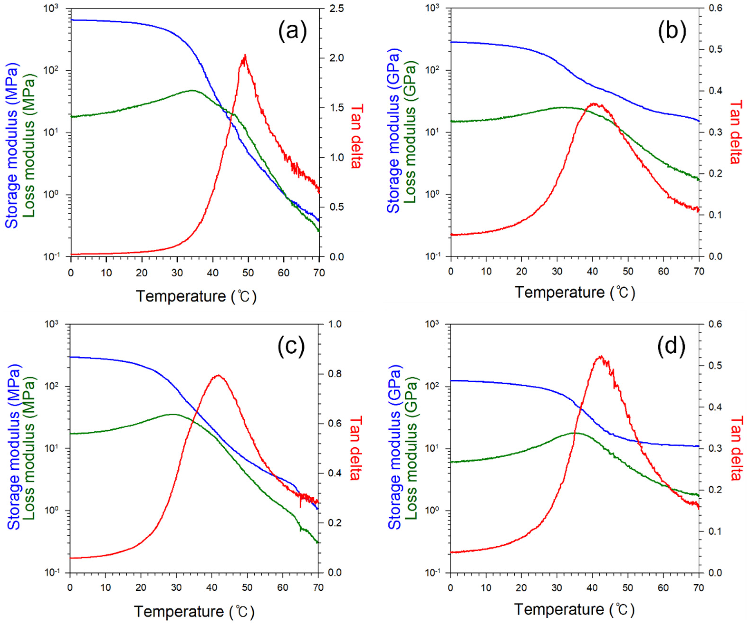
3.2. Thermomechanical Properties of p(St-co-BA)/PEDOT:PSS Blend
3.3. Mechanical Properties of p(St-co-BA)/PEDOT:PSS Blend
3.4. EMI Shielding Performance of p(St-co-BA)/PEDOT:PSS Blend Film
4. Conclusions
Author Contributions
Funding
Institutional Review Board Statement
Data Availability Statement
Acknowledgments
Conflicts of Interest
References
- Huang, J.-C. EMI shielding plastics: A review. Adv. Polym. Technol. 1995, 14, 137–150. [Google Scholar] [CrossRef]
- Sankaran, S.; Deshmukh, K.; Ahamed, M.B.; Pasha, S.K.K. Recent advances in electromagnetic interference shielding properties of metal and carbon filler reinforced flexible polymer composites: A review. Compos. A Appl. Sci. Manuf. 2018, 114, 49–71. [Google Scholar] [CrossRef]
- Song, P.; Liu, B.; Qiu, H.; Shi, X.; Cao, D.; Gu, J. MXenes for polymer matrix electromagnetic interference shielding composites: A review. Compos. Commun. 2021, 24, 100653. [Google Scholar] [CrossRef]
- Wang, C.; Murugadoss, V.; Kong, J.; He, Z.; Mai, X.; Shao, Q.; Chen, Y.; Guo, L.; Liu, C.; Angaiah, S.; et al. Overview of carbon nanostructures and nanocomposites for electromagnetic wave shielding. Carbon 2018, 140, 696–733. [Google Scholar] [CrossRef]
- Kim, Y.J.; Lee, S.C.; Park, H.H.; Jang, K.S.; Lee, S.J. Electromagnetic interference shielding performance of poly(styrene-co-butyl acrylate)/carbon nanotube nanocomposites fabricated by latex technology. Ind. Eng. Chem. Res. 2023, 62, 5015–5023. [Google Scholar] [CrossRef]
- Al-Saleh, M.H.; Sundararaj, U. Electromagnetic interference shielding mechanisms of CNT/polymer composites. Carbon 2009, 47, 1738–1746. [Google Scholar] [CrossRef]
- Joseph, J.; Munda, P.R.; John, D.A.; Sidpara, A.M.; Paul, J. Graphene and CNT filled hybrid thermoplastic composites for enhanced EMI shielding effectiveness. Mater. Res. Express 2019, 6, 085617. [Google Scholar] [CrossRef]
- Cheng, H.; Pan, Y.; Chen, Q.; Che, R.; Zheng, G.; Liu, C.; Shen, C.; Liu, X. Ultrathin flexible poly(vinylidene fluoride)/MXene/silver nanowire film with outstanding specific EMI shielding and high heat dissipation. Adv. Compos. Hybrid Mater. 2021, 4, 505–513. [Google Scholar] [CrossRef]
- Li, P.; Du, D.; Guo, L.; Guo, Y.; Ouyang, J. Stretchable and conductive polymer films for high-performance electromagnetic interference shielding. J. Mater. Chem. C 2016, 4, 6525–6532. [Google Scholar] [CrossRef]
- Pradhan, S.S.; Unnikrishnan, L.; Mohanty, S.; Nayak, S.K. Thermally conducting polymer composites with EMI shielding: A review. J. Electron. Mater. 2020, 49, 1749–1764. [Google Scholar] [CrossRef]
- Shi, S.; Jiang, Y.; Ren, H.; Deng, S.; Sun, J.; Cheng, F.; Jing, J.; Chen, Y. 3D-printed carbon-based conformal electromagnetic interference shielding module for integrated electronics. Nano-Micro Lett. 2023, 16, 85. [Google Scholar] [CrossRef]
- Vosgueritchian, M.; Lipomi, D.J.; Bao, Z. Highly conductive and transparent PEDOT:PSS films with a fluorosurfactant for stretchable and flexible transparent electrodes. Adv. Funct. Mater. 2012, 22, 421–428. [Google Scholar] [CrossRef]
- Ouyang, J. “Secondary doping” methods to significantly enhance the conductivity of PEDOT:PSS for its application as transparent electrode of optoelectronic devices. Displays 2013, 34, 423–436. [Google Scholar] [CrossRef]
- Shi, H.; Liu, C.; Jiang, Q.; Xu, J. Effective approaches to improve the electrical conductivity of PEDOT:PSS: A review. Adv. Electron. Mater. 2015, 1, 1500017. [Google Scholar] [CrossRef]
- Song, J.P.; Choi, S.H.; Chung, D.-W.; Lee, S.J. Latex-based polystyrene nanocomposites with non-covalently modified carbon nanotubes. Polymers 2021, 13, 1168. [Google Scholar] [CrossRef] [PubMed]
- Saha, A.; Ohori, D.; Sasaki, T.; Itoh, K.; Oshima, R.; Samukawa, S. Effect of film morphology on electrical conductivity of PEDOT:PSS. Nanomaterials 2024, 14, 95. [Google Scholar] [CrossRef] [PubMed]
- Tadesse, M.G.; Mengistie, D.A.; Chen, Y.; Wang, L.; Loghin, C.; Nierstrasz, V. Electrically conductive highly elastic polyamide/lycra fabric treated with PEDOT:PSS and polyurethane. J. Mater. Sci. 2019, 54, 9591–9602. [Google Scholar] [CrossRef]
- Keshmiri, N.; Hoseini, A.H.A.; Najmi, P.; Liu, J.; Milani, A.S.; Arjmand, M. Highly conductive polystyrene/carbon nanotube/PEDOT:PSS nanocomposite with segregated structure for electromagnetic interference shielding. Carbon 2023, 212, 118104. [Google Scholar] [CrossRef]
- Qin, F.; Yan, Z.; Fan, J.; Cai, J.; Zhu, X.; Zhang, X. Highly uniform and stable transparent electromagnetic interference shielding film based on silver nanowire–PEDOT:PSS composite for high power microwave shielding. Macromol. Mater. Eng. 2021, 306, 1–10. [Google Scholar] [CrossRef]
- Lipomi, D.J.; Lee, J.A.; Vosgueritchian, M.; Tee, B.C.K.; Bolander, J.A.; Bao, Z. Electronic properties of transparent conductive films of PEDOT:PSS on stretchable substrates. Chem. Mater. 2012, 24, 373–382. [Google Scholar] [CrossRef]
- Kayser, L.V.; Lipomi, D.J. Stretchable conductive polymers and composites based on PEDOT and PEDOT:PSS. Adv. Mater. 2019, 31, 1806133. [Google Scholar] [CrossRef] [PubMed]
- Fan, X.; Nie, W.; Tsai, H.; Wang, N.; Huang, H.; Cheng, Y.; Wen, R.; Ma, L.; Yan, F.; Xia, Y. PEDOT:PSS for flexible and stretchable electronics: Modifications, strategies, and applications. Adv. Sci. 2019, 6, 1900813. [Google Scholar] [CrossRef]
- Wen, Y.; Xu, J. Scientific importance of water-processable PEDOT–PSS and preparation, challenge and new application in sensors of its film electrode: A review. J. Polym. Sci. Part A Polym. Chem. 2017, 55, 1121–1150. [Google Scholar] [CrossRef]
- Bora, P.J.; Anil, A.G.; Vinoy, K.J.; Ramamurthy, P.C. Outstanding absolute electromagnetic interference shielding effectiveness of cross-linked PEDOT:PSS film. Adv. Mater. Interfaces 2019, 6, 1901353. [Google Scholar] [CrossRef]
- Li, P.; Sun, K.; Ouyang, J. Stretchable and conductive polymer films prepared by solution blending. ACS Appl. Mater. Interfaces 2015, 7, 18415–18423. [Google Scholar] [CrossRef] [PubMed]
- Lang, U.; Naujoks, N.; Dual, J. Mechanical characterization of PEDOT:PSS thin films. Synth. Met. 2009, 159, 473–479. [Google Scholar] [CrossRef]
- He, H.; Ouyang, J. Enhancements in the mechanical stretchability and thermoelectric properties of PEDOT:PSS for flexible electronics applications. Acc. Mater. Res. 2020, 1, 146–157. [Google Scholar] [CrossRef]
- He, H.; Zhang, L.; Yue, S.; Yu, S.; Wei, J.; Ouyang, J. Enhancement in the mechanical stretchability of PEDOT:PSS films by compounds of multiple hydroxyl groups for their application as transparent stretchable conductors. Macromolecules 2021, 54, 1234–1242. [Google Scholar] [CrossRef]
- Smit, R.J.M.; Brekelmans, W.A.M.; Meijer, H.E.H. Predictive modelling of the properties and toughness of polymeric materials Part I Why is polystyrene brittle and polycarbonate tough? J. Mater. Sci. 2000, 35, 2855–2867. [Google Scholar] [CrossRef]
- Yin, H.E.; Wu, C.H.; Kuo, K.S.; Chiu, W.Y.; Tai, H.J. Innovative elastic and flexible conductive PEDOT:PSS composite films prepared by introducing soft latexes. J. Mater. Chem. 2012, 22, 3800–3810. [Google Scholar] [CrossRef]
- Urzhumtsev, Y.S. Time-temperature superposition for thermorheologically complex materials. Polym. Mech. 1974, 10, 180–185. [Google Scholar] [CrossRef]
- Li, R. Time-temperature superposition method for glass transition temperature of plastic materials. Mater. Sci. Eng. A 2000, 278, 36–45. [Google Scholar] [CrossRef]
- Munalli, D.; Dimitrakis, G.; Chronopoulos, D.; Greedy, S.; Long, A. Electromagnetic shielding effectiveness of carbon fibre reinforced composites. Compos. Part B Eng. 2019, 173, 106906. [Google Scholar] [CrossRef]
- Plazek, D.J.; Ngai, K.L. Correlation of polymer segmental chain dynamics with temperature-dependent time-scale shifts. Macromolecules 1991, 24, 1222–1224. [Google Scholar] [CrossRef]
- Tao, W.; Shen, J.; Chen, Y.; Liu, J.; Gao, Y.; Wu, Y.; Zhang, L.; Tsige, M. Strain rate and temperature dependence of the mechanical properties of polymers: A universal time-temperature superposition principle. J. Chem. Phys. 2018, 149, 044105. [Google Scholar] [CrossRef] [PubMed]
- Hillman, A.R.; Efimov, I.; Skompska, M. Time-temperature superposition for viscoelastic properties of regioregular poly(3-hexylthiophene) films. J. Am. Chem. Soc. 2005, 127, 3817–3824. [Google Scholar] [CrossRef]
- Lundberg, R.D.; Makowski, H.S.; Westerman, L. The dual plasticization of sulfonated polystyrene ionomer. In Ions in Polymers; Eisenberg, A., Ed.; American Chemical Society: Washington, DC, USA, 1980; pp. 67–76. [Google Scholar]
- M’Bareck, C.O.; Nguyen, Q.T.; Metayer, M.; Saiter, J.M.; Garda, M.R. Poly(acrylic acid) and poly(sodium styrenesulfonate) compatibility by Fourier transform infrared and differential scanning calorimetry. Polymer 2004, 45, 4181–4187. [Google Scholar] [CrossRef]
- Al-Saleh, M.H.; Saadeh, W.H.; Sundararaj, U. EMI shielding effectiveness of carbon based nanostructured polymeric materials: A comparative study. Carbon 2013, 60, 146–156. [Google Scholar] [CrossRef]









| Filler Content | 0 wt% | 5 wt% | 10 wt% | 15 wt% |
|---|---|---|---|---|
| E′ onset | 31.9 °C | 27.8 °C | 24.9 °C | 31.5 °C |
| E″ peak | 35.3 °C | 31.4 °C | 29.5 °C | 34.8 °C |
| tan δ peak | 49.6 °C | 41.9 °C | 41.5 °C | 44.6 °C |
| PEDOT:PSS (wt%) | Young’s Modulus (MPa) | Tensile Strength at Yield (MPa) | Elongation at Break (%) | Toughness (MPa) |
|---|---|---|---|---|
| 0 wt% | 1720.3 ± 144.3 | 8.6 ± 0.7 * | 4.5 ± 2.8 | 0.3 ± 0.2 |
| 5 wt% | 506.6 ± 82.8 | 10.6 ± 0.7 | 81.1 ± 27.0 | 6.4 ± 2.4 |
| 7.5 wt% | 427.5 ± 56.0 | 11.2 ± 1.4 | 116.6 ± 13.3 | 10.0 ± 1.5 |
| 10 wt% | 121.0 ± 50.1 | 4.5 ± 0.5 | 305.4 ± 25.2 | 13.3 ± 2.7 |
| 12.5 wt% | 248.4 ± 66.3 | 6.3 ± 0.6 | 161.1 ± 27.9 | 9.7 ± 1.7 |
Disclaimer/Publisher’s Note: The statements, opinions and data contained in all publications are solely those of the individual author(s) and contributor(s) and not of MDPI and/or the editor(s). MDPI and/or the editor(s) disclaim responsibility for any injury to people or property resulting from any ideas, methods, instructions or products referred to in the content. |
© 2024 by the authors. Licensee MDPI, Basel, Switzerland. This article is an open access article distributed under the terms and conditions of the Creative Commons Attribution (CC BY) license (https://creativecommons.org/licenses/by/4.0/).
Share and Cite
Lee, S.C.; Bang, Y.B.; Park, H.H.; Na, H.Y.; Lee, S.J. Electromagnetic Interference Shielding Properties of Highly Flexible Poly(styrene-co-butyl acrylate)/PEDOT:PSS Films Fabricated by Latex Technology. Polymers 2024, 16, 1565. https://doi.org/10.3390/polym16111565
Lee SC, Bang YB, Park HH, Na HY, Lee SJ. Electromagnetic Interference Shielding Properties of Highly Flexible Poly(styrene-co-butyl acrylate)/PEDOT:PSS Films Fabricated by Latex Technology. Polymers. 2024; 16(11):1565. https://doi.org/10.3390/polym16111565
Chicago/Turabian StyleLee, Seung Chang, Yong Bin Bang, Hyun Ho Park, Hyo Yeol Na, and Seong Jae Lee. 2024. "Electromagnetic Interference Shielding Properties of Highly Flexible Poly(styrene-co-butyl acrylate)/PEDOT:PSS Films Fabricated by Latex Technology" Polymers 16, no. 11: 1565. https://doi.org/10.3390/polym16111565
APA StyleLee, S. C., Bang, Y. B., Park, H. H., Na, H. Y., & Lee, S. J. (2024). Electromagnetic Interference Shielding Properties of Highly Flexible Poly(styrene-co-butyl acrylate)/PEDOT:PSS Films Fabricated by Latex Technology. Polymers, 16(11), 1565. https://doi.org/10.3390/polym16111565

