Seaweed as Basis of Eco-Sustainable Plastic Materials: Focus on Alginate
Abstract
1. Introduction
1.1. Macroalgae Composition

| Pigmentation | Seaweed | Lipids | Carbohydrates | Protein | Ashes | Moisture | Reference |
|---|---|---|---|---|---|---|---|
| Green | Undaria pinnatifida | 0.9 ± 0.1 | 32.4 | 23.8 ± 0.6 | 30.62 ± 0.25 | 11.77 ± 0.01 | [27] |
| Green | Codium tormentosum | 3.6 ± 0.2 | 32.8 | 18.8 ± 0.1 | 35.99 ± 0.48 | 9.0 ± 0.2 | [27] |
| Red | Gracilaria gracilis | 0.60 ± 0.01 | 46.6 | 20.2 ± 0.6 | 24.8 ± 0.03 | 7.99 ± 0.02 | [27] |
| Red | Grateloupia turuturu | 2.2 ± 0.1 | 43.2 | 22.5 ± 0.3 | 20.52 ± 0.01 | 11.68 ± 0.05 | [27] |
| Red | Crassiphycus corneus | 1.74 ± 0.05– 1.93 ± 0.03 | 24.02 ± 2.23– 23.55 ± 3.01 | 22.93 ± 0.16– 21.27 ± 0.21 | 26.11 ± 0.06– 34.16 ± 0.06 | 5.24 ± 0.12– 4.30 ± 0.06 | [37] |
| Green | Ulva fasciata | 2.76 ± 0.34– 2.37 ± 0.09 | 42.24 ± 0.70– 40.91 ± 0.28 | 17.97 ± 0.15– 11.42 ± 0.16 | 16.51 ± 0.85– 20.89 ± 0.76 | 7.28 ± 0.34– 10.29 ± 0.33 | [37] |
| Brown | Sargassum vulgare | 4.11 ± 0.03– 4.02 ± 0.19 | 28.30 ± 0.32– 39.07 ± 1.34 | 14.02 ± 0.24– 10.32 ± 0.04 | 36.79 ± 0.76– 30.09 ± 0.33 | 6.76 ± 0.06– 4.53 ± 0.08 | [37] |
| Brown | Alaria esculenta | 1.30 ± 0.05 | - | 9.11 ± 0.57 | 24.56 ± 0.56 | 5.39 ± 0.05 | [38] |
| Brown | Laminaria digitata | 1.13 ± 0.05 | - | 5.31 ± 0.34 | 24.43 ± 0.03 | 6.81 ± 0.06 | [38] |
| Brown | Rugulopteryx okamurae | 11.63 ± 0.22 | 38.87 ± 0.40 | 9.93 ± 0.16 | 18.47 ± 0.35 | 13.48 ± 0.26 | [39] |
| Brown | Dictyota dichotoma | 4.70 ± 0.10 | 11.02 ± 0.09 | 4.32 ± 0.12 | - | - | [40] |
1.2. Macroalgae-Based Alternatives for Environmentally Friendly Packaging
1.3. Research Status
1.4. Current State of Bioplastics Market
2. Extraction and Application of Seaweed Components
2.1. Biorefinery
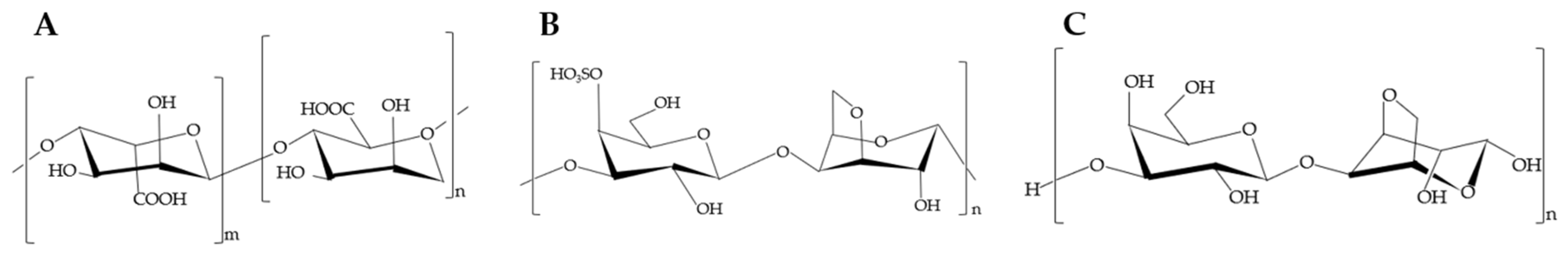
- Alginate
- Carrageenan
- Agar
2.2. Industrial Applications of Seaweed
- Pharmaceutics
- Food
- Bioplastics
- Fertilizer
- Biofuel
3. The Processing of Seaweed for the Manufacture of Materials
3.1. Processing Techniques for Alginate Bioplastics
3.1.1. Solvent Casting
3.1.2. Injection Moulding
3.1.3. Extrusion
3.2. Manufacture of Alginate Gels
Applications of Alginate Gels in Industry
4. Conclusions
Author Contributions
Funding
Data Availability Statement
Acknowledgments
Conflicts of Interest
References
- Yermak, I.M.; Sokolova, E.V.; Davydova, V.N.; Solov’eva, T.F.; Aminin, D.L.; Reunov, A.V.; Lapshina, L.A. Influence of Red Algal Polysaccharides on Biological Activities and Supramolecular Structure of Bacterial Lipopolysaccharide. J. Appl. Phycol. 2016, 28, 619–627. [Google Scholar] [CrossRef]
- Macroalgae|Knowledge for Policy. Available online: https://knowledge4policy.ec.europa.eu/glossary-item/macroalgae_en (accessed on 20 September 2022).
- Stengel, D.B.; Connan, S. Marine Algae: A Source of Biomass for Biotechnological Applications. Methods Mol. Biol. 2015, 1308, 1–37. [Google Scholar] [CrossRef] [PubMed]
- Gade, R.; Siva Tulasi, M.; Aruna Bhai, V. Seaweeds: A Novel Biomaterial. Int. J. Pharm. Pharm. Sci. 2013, 5, 40–44. [Google Scholar]
- Lyu, M.; Wang, Y.F.; Fan, G.W.; Wang, X.Y.; Xu, S.Y.; Zhu, Y. Balancing Herbal Medicine and Functional Food for Prevention and Treatment of Cardiometabolic Diseases through Modulating Gut Microbiota. Front. Microbiol. 2017, 8, 2146. [Google Scholar] [CrossRef] [PubMed]
- Mo’o, F.R.C.; Wilar, G.; Devkota, H.P.; Wathoni, N.; Ratu Cindana Mo, F.; Wilar, G.; Prasad Devkota, H.; Wathoni, N. Ulvan, a Polysaccharide from Macroalga Ulva Sp.: A Review of Chemistry, Biological Activities and Potential for Food and Biomedical Applications. Appl. Sci. 2020, 10, 5488. [Google Scholar] [CrossRef]
- Xie, C.; Lee, Z.J.; Ye, S.; Barrow, C.J.; Dunshea, F.R.; Suleria, H.A.R. A Review on Seaweeds and Seaweed-Derived Polysaccharides: Nutrition, Chemistry, Bioactivities, and Applications. Food Rev. Int. 2023, 40, 1312–1347. [Google Scholar] [CrossRef]
- Brown, E.M.; Allsopp, P.J.; Magee, P.J.; Gill, C.I.; Nitecki, S.; Strain, C.R.; Mcsorley, E.M. Seaweed and Human Health. Nutr. Rev. 2014, 72, 205–216. [Google Scholar] [CrossRef] [PubMed]
- Harnedy, P.A.; Fitzgerald, R.J. Bioactive Proteins, Peptides, and Amino Acids from Macroalgae. J. Phycol. 2011, 47, 218–232. [Google Scholar] [CrossRef]
- Lim, C.; Yusoff, S.; Ng, C.G.; Lim, P.E.; Ching, Y.C. Bioplastic Made from Seaweed Polysaccharides with Green Production Methods. J. Environ. Chem. Eng. 2021, 9, 105895. [Google Scholar] [CrossRef]
- Smit, A.J. Medicinal and Pharmaceutical Uses of Seaweed Natural Products: A Review. J. Appl. Phycol. 2004, 16, 245–262. [Google Scholar] [CrossRef]
- García-Gómez, J.C.; Florido, M.; Olaya-Ponzone, L.; Rey Díaz de Rada, J.; Donázar-Aramendía, I.; Chacón, M.; Quintero, J.J.; Magariño, S.; Megina, C. Monitoring Extreme Impacts of Rugulopteryx Okamurae (Dictyotales, Ochrophyta) in El Estrecho Natural Park (Biosphere Reserve). Showing Radical Changes in the Underwater Seascape. Front. Ecol. Evol. 2021, 9, 639161. [Google Scholar] [CrossRef]
- Santana, I.; Felix, M.; Bengoechea, C. Feasibility of Invasive Brown Seaweed Rugulopteryx Okamurae as Source of Alginate: Characterization of Products and Evaluation of Derived Gels. Polymers 2024, 16, 702. [Google Scholar] [CrossRef] [PubMed]
- Circular Economy: Definition, Importance and Benefits|Topics|European Parliament. Available online: https://www.europarl.europa.eu/topics/en/article/20151201STO05603/circular-economy-definition-importance-and-benefits (accessed on 22 May 2024).
- Khan, W.; Rayirath, U.P.; Subramanian, S.; Jithesh, M.N.; Rayorath, P.; Hodges, D.M.; Critchley, A.T.; Craigie, J.S.; Norrie, J.; Prithiviraj, B. Seaweed Extracts as Biostimulants of Plant Growth and Development. J. Plant Growth Regul. 2009, 28, 386–399. [Google Scholar] [CrossRef]
- Chojnacka, K. Biologically Active Compounds in Seaweed Extracts—The Prospects for the Application. Open Conf. Proc. J. 2012, 3, 20–28. [Google Scholar] [CrossRef]
- O’ Brien, R.; Hayes, M.; Sheldrake, G.; Tiwari, B.; Walsh, P. Macroalgal Proteins: A Review. Foods 2022, 11, 571. [Google Scholar] [CrossRef] [PubMed]
- Holdt, S.L.; Kraan, S. Bioactive Compounds in Seaweed: Functional Food Applications and Legislation. J. Appl. Phycol. 2011, 23, 543–597. [Google Scholar] [CrossRef]
- Salehi, B.; Sharifi-rad, J.; Seca, A.M.L.; Pinto, D.C.G.A. Current Trends on Seaweeds: Looking at Chemical. Molecules 2019, 24, 4182. [Google Scholar] [CrossRef] [PubMed]
- Rhein-Knudsen, N.; Ale, M.; Meyer, A. Seaweed Hydrocolloid Production: An Update on Enzyme Assisted Extraction and Modification Technologies. Mar. Drugs 2015, 13, 3340–3359. [Google Scholar] [CrossRef]
- World Bank Group. Seaweed Aquaculture for Food Security, Income Generation and Environmental Health in Tropical Developing Countries; World Bank: Washington, DC, USA, 2016. [Google Scholar]
- Rasmussen, R.S.; Morrissey, M.T. Marine Biotechnology for Production of Food Ingredients. Adv. Food Nutr. Res. 2007, 52, 237–292. [Google Scholar] [CrossRef]
- Sachan, N.K.; Pushkar, S.; Jha, A.; Bhattcharya, A. Sodium Alginate: The Wonder Polymer for Controlled Drug Delivery. J. Pharm. Res. 2009, 2, 1191–1199. [Google Scholar]
- Kumar, C.S.; Ganesan, P.; Suresh, P.V.; Bhaskar, N. Seaweeds as a Source of Nutritionally Beneficial Compounds—A Review. J. Food Sci. Technol. 2008, 45, 1–13. [Google Scholar]
- Jeon, Y.-J.; Athukorala, Y.; Lee, J.-H. Characterization of Agarose Product from Agar Using DMSO. Algae 2005, 20, 61–67. [Google Scholar] [CrossRef]
- Rinaudo, M. Main Properties and Current Applications of Some Polysaccharides as Biomaterials. Polym. Int. 2008, 57, 397–430. [Google Scholar] [CrossRef]
- Rodrigues, D.; Freitas, A.C.; Pereira, L.; Rocha-Santos, T.A.P.; Vasconcelos, M.W.; Roriz, M.; Rodríguez-Alcalá, L.M.; Gomes, A.M.P.; Duarte, A.C. Chemical Composition of Red, Brown and Green Macroalgae from Buarcos Bay in Central West Coast of Portugal. Food Chem. 2015, 183, 197–207. [Google Scholar] [CrossRef] [PubMed]
- Angell, A.R.; Mata, L.; de Nys, R.; Paul, N.A. The Protein Content of Seaweeds: A Universal Nitrogen-to-Protein Conversion Factor of Five. J. Appl. Phycol. 2016, 28, 511–524. [Google Scholar] [CrossRef]
- Thiviya, P.; Gamage, A.; Gama-Arachchige, N.S.; Merah, O.; Madhujith, T. Seaweeds as a Source of Functional Proteins. Phycology 2022, 2, 216–243. [Google Scholar] [CrossRef]
- Ibañez, E.; Cifuentes, A. Benefits of Using Algae as Natural Sources of Functional Ingredients. J. Sci. Food Agric. 2013, 93, 703–709. [Google Scholar] [CrossRef] [PubMed]
- Taboada, M.C.; Millán, R.; Miguez, M.I. Nutritional Value of the Marine Algae Wakame (Undaria Pinnatifida) and Nori (Porphyra Purpurea) as Food Supplements. J. Appl. Phycol. 2013, 25, 1271–1276. [Google Scholar] [CrossRef]
- Qiu, X.; Neori, A.; Kim, J.K.; Yarish, C.; Shpigel, M.; Guttman, L.; Ben Ezra, D.; Odintsov, V.; Davis, D.A. Green Seaweed Ulva Sp. as an Alternative Ingredient in Plant-Based Practical Diets for Pacific White Shrimp, Litopenaeus Vannamei. J. Appl. Phycol. 2018, 30, 1317–1333. [Google Scholar] [CrossRef]
- Dawczynski, C.; Schubert, R.; Jahreis, G. Amino Acids, Fatty Acids, and Dietary Fibre in Edible Seaweed Products. Food Chem. 2007, 103, 891–899. [Google Scholar] [CrossRef]
- Nelson, M.M.; Phleger, C.F.; Nichols, P.D. Seasonal Lipid Composition in Macroalgae of the Northeastern Pacific Ocean. Botanica Marina 2002, 45, 58–65. [Google Scholar] [CrossRef]
- Narayan, B.; Miyashita, K.; Hosakawa, M. Comparative Evaluation of Fatty Acid Composition of Different Sargassum (Fucales, Phaeophyta) Species Harvested from Temperate and Tropical Waters. J. Aquat. Food Product. Technol. 2004, 13, 53–70. [Google Scholar] [CrossRef]
- Kayama, M.; Iijima, N.; Kuwahara, M.; Sado, T.; Araki, S.; Sakurai, T. Effect of Water Temperature on the Fatty Acid Composition of Porphyra. Nippon. Suisan Gakkaishi 1985, 51, 687–691. [Google Scholar] [CrossRef]
- de Melo, N.S.M.; Cardoso, L.G.; de Castro Nunes, J.M.; Brito, G.B.; Caires, T.A.; de Souza, C.O.; Portz, L.; Druzian, J.I. Effects of Dry and Rainy Seasons on the Chemical Composition of Ulva Fasciata, Crassiphycus Corneus, and Sargassum Vulgare Seaweeds in Tropical Environment. Rev. Bras. Bot. 2021, 44, 331–344. [Google Scholar] [CrossRef]
- Mæhre, H.K.; Malde, M.K.; Eilertsen, K.E.; Elvevoll, E.O. Characterization of Protein, Lipid and Mineral Contents in Common Norwegian Seaweeds and Evaluation of Their Potential as Food and Feed. J. Sci. Food Agric. 2014, 94, 3281–3290. [Google Scholar] [CrossRef] [PubMed]
- Santana, I.; Félix, M.; Guerrero, A.; Bengoechea, C. Processing and Characterization of Bioplastics from the Invasive Seaweed Rugulopteryx Okamurae. Polymers 2022, 14, 355. [Google Scholar] [CrossRef] [PubMed]
- Deyab, M.A.; El-Katony, T.M.; El-Adl, M.F.; Ward, F.M. Temporal Variation in Chemical Composition of Dictyota Dichotoma (Hudson) J.V. Lamouroux (Dictyotales, Phaeophyceae) from Red Sea Coast, Egypt. J. Coast. Life Med. 2017, 5, 149–155. [Google Scholar] [CrossRef]
- Plastics Europe. The Circular Economy for Plastics—A European Analysis; Plastics Europe: Brussless, Belgium, 2024; Available online: https://plasticseurope.org/knowledge-hub/the-circular-economy-for-plastics-a-european-analysis-2024/ (accessed on 21 May 2024).
- Hartmann, N.B.; Hüffer, T.; Thompson, R.C.; Hassellöv, M.; Verschoor, A.; Daugaard, A.E.; Rist, S.; Karlsson, T.; Brennholt, N.; Cole, M.; et al. Are We Speaking the Same Language? Recommendations for a Definition and Categorization Framework for Plastic Debris. Environ. Sci. Technol. 2019, 53, 1039–1047. [Google Scholar] [CrossRef]
- Chamas, A.; Moon, H.; Zheng, J.; Qiu, Y.; Tabassum, T.; Jang, J.H.; Abu-Omar, M.; Scott, S.L.; Suh, S. Degradation Rates of Plastics in the Environment. ACS Sustain. Chem. Eng. 2020, 8, 3494–3511. [Google Scholar] [CrossRef]
- Fava, M. Ocean Plastic Pollution an Overview: Data and Statistics. Available online: https://oceanliteracy.unesco.org/plastic-pollution-ocean/ (accessed on 21 May 2024).
- Geyer, R.; Jambeck, J.R.; Law, K.L. Production, Use, and Fate of All Plastics Ever Made. Sci. Adv. 2017, 3, e1700782. [Google Scholar] [CrossRef]
- Kibria, M.G.; Masuk, N.I.; Safayet, R.; Nguyen, H.Q.; Mourshed, M. Plastic Waste: Challenges and Opportunities to Mitigate Pollution and Effective Management; Springer International Publishing: Berlin/Heidelberg, Germany, 2023; Volume 17, ISBN 0123456789. [Google Scholar]
- Borrelle, S.B.; Ringma, J.; Law, K.L.; Monnahan, C.C.; Lebreton, L.; McGivern, A.; Murphy, E.; Jambeck, J.; Leonard, G.H.; Hilleary, M.A.; et al. Predicted Growth in Plastic Waste Exceeds Efforts to Mitigate Plastic Pollution. Science 2020, 369, 1515–1518. [Google Scholar] [CrossRef] [PubMed]
- Walker, T.R.; Fequet, L. Current Trends of Unsustainable Plastic Production and Micro(Nano)Plastic Pollution. Trends Anal. Chem. 2023, 160, 116984. [Google Scholar] [CrossRef]
- Williams, P.A.; Phillips, G.O. Introduction to Food Hydrocolloids. In Handbook of Hydrocolloids; Woodhead Publishing: Sawston, UK, 2021; pp. 3–26. [Google Scholar] [CrossRef]
- Glicksman, M. Utilization of Seaweed Hydrocolloids in the Food Industry. In Twelfth International Seaweed Symposium; Springer Netherlands: Dordrecht, The Netherlands, 1987; pp. 31–47. [Google Scholar]
- Bioplastics–European Bioplastics. Available online: https://www.european-bioplastics.org/bioplastics/ (accessed on 21 May 2024).
- Lomartire, S.; Marques, J.C.; Gonçalves, A.M.M. An Overview of the Alternative Use of Seaweeds to Produce Safe and Sustainable Bio-Packaging. Appl. Sci. 2022, 12, 3123. [Google Scholar] [CrossRef]
- Schmidtchen, L.; Roleda, M.Y.; Majschak, J.-P.; Mayser, M. Processing Technologies for Solid and Flexible Packaging Materials from Macroalgae. Algal Res. 2022, 61, 102300. [Google Scholar] [CrossRef]
- Braeckman, U.; Pasotti, F.; Vázquez, S.; Zacher, K.; Hoffmann, R.; Elvert, M.; Marchant, H.; Buckner, C.; Quartino, M.L.; Mác Cormack, W.; et al. Degradation of Macroalgal Detritus in Shallow Coastal Antarctic Sediments. Limnol. Oceanogr. 2019, 64, 1423–1441. [Google Scholar] [CrossRef]
- Seixas, F.L.; Turbiani, F.R.B.; Salomão, P.G.; Souza, R.P.; Gimenes, M.L. Biofilms Composed of Alginate and Pectin: Effect of Concentration of Crosslinker and Plasticizer Agents. Chem. Eng. Trans. 2013, 32, 1693–1698. [Google Scholar] [CrossRef]
- Carina, D.; Sharma, S.; Jaiswal, A.K.; Jaiswal, S. Seaweeds Polysaccharides in Active Food Packaging: A Review of Recent Progress. Trends Food Sci. Technol. 2021, 110, 559–572. [Google Scholar] [CrossRef]
- Waseem, M.; Khan, M.U.; Majeed, Y.; Ntsefong, G.N.; Kirichenko, I.; Klopova, A.; Trushov, P.; Lodygin, A. Seaweed-Based Films for Sustainable Food Packaging: Properties, Incorporation of Essential Oils, Applications, and Future Directions. Potravin. Slovak. J. Food Sci. 2023, 17, 899–917. [Google Scholar] [CrossRef]
- Ghasemlou, M.; Barrow, C.J.; Adhikari, B. The Future of Bioplastics in Food Packaging: An Industrial Perspective. Food Packag. Shelf Life 2024, 43, 101279. [Google Scholar] [CrossRef]
- Yong, W.T.L.; Thien, V.Y.; Misson, M.; Chin, G.J.W.L.; Said Hussin, S.N.I.; Chong, H.L.H.; Yusof, N.A.; Ma, N.L.; Rodrigues, K.F. Seaweed: A Bioindustrial Game-Changer for the Green Revolution. Biomass Bioenergy 2024, 183, 107122. [Google Scholar] [CrossRef]
- Arnaud-Haond, S.; Arrieta, J.M.; Duarte, C.M. Marine Biodiversity and Gene Patents. Science 2011, 331, 1521–1522. [Google Scholar] [CrossRef] [PubMed]
- Sho, H. History and Characteristics of Okinawan Longevity Food. Asia Pac. J. Clin. Nutr. 2001, 10, 159–164. [Google Scholar] [CrossRef] [PubMed]
- Mazarrasa, I.; Olsen, Y.S.; Mayol, E.; Marbà, N.; Duarte, C.M. Global Unbalance in Seaweed Production, Research Effort and Biotechnology Markets. Biotechnol. Adv. 2014, 32, 1028–1036. [Google Scholar] [CrossRef] [PubMed]
- Scopus Scopus-Document Search|Signed. In Document Search; 2022; Available online: https://www.scopus.com/search/form.uri?display=basic#basic (accessed on 21 May 2024).
- Kalia, V.C.; Raizada, N.; Sonakya, V. Bioplastics. J. Sci. Ind. Res. 2000, 59, 433–445. [Google Scholar]
- Nanda, N.; Bharadvaja, N. Algal Bioplastics: Current Market Trends and Technical Aspects. Clean. Technol. Environ. Policy 2022, 24, 2659–2679. [Google Scholar] [CrossRef] [PubMed]
- Iles, A.; Martin, A.N. Expanding Bioplastics Production: Sustainable Business Innovation in the Chemical Industry. J. Clean. Prod. 2013, 45, 38–49. [Google Scholar] [CrossRef]
- Krzan, A.; Hemjinda, S.; Miertus, S.; Corti, A.; Chiellini, E. Standardization and Certification in the Area of Environmentally Degradable Plastics. Polym. Degrad. Stab. 2006, 91, 2819–2833. [Google Scholar] [CrossRef]
- Gross, R.A.; Kalra, B. Biodegradable Polymers for the Environment. Science 2002, 297, 803–807. [Google Scholar] [CrossRef] [PubMed]
- Plastics Europe. Plastics: The Facts 2023; Plastics Europe: Brussels, Belgium, 2023. [Google Scholar]
- Alaerts, L.; Augustinus, M.; Van Acker, K. Impact of Bio-Based Plastics on Current Recycling of Plastics. Sustainability 2018, 10, 1487. [Google Scholar] [CrossRef]
- Market–European Bioplastics e.V. Available online: https://www.european-bioplastics.org/market/ (accessed on 22 May 2024).
- Arrieta, J.M.; Arnaud-Haond, S.; Duarte, C.M. What Lies underneath: Conserving the Oceans’ Genetic Resources. Proc. Natl. Acad. Sci. USA 2010, 107, 18318–18324. [Google Scholar] [CrossRef]
- Lehahn, Y.; Ingle, K.N.; Golberg, A. Global Potential of Offshore and Shallow Waters Macroalgal Biorefineries to Provide for Food, Chemicals and Energy: Feasibility and Sustainability. Algal Res. 2016, 17, 150–160. [Google Scholar] [CrossRef]
- Bhuyan, M.S. Ecological Risks Associated with Seaweed Cultivation and Identifying Risk Minimization Approaches. Algal Res. 2023, 69, 102967. [Google Scholar] [CrossRef]
- Fertah, M. Isolation and Characterization of Alginate from Seaweed. In Seaweed Polysaccharides: Isolation, Biological and Biomedical Applications; Elsevier Inc.: Amsterdam, The Netherlands, 2017; pp. 11–26. ISBN 9780128098172. [Google Scholar]
- Vauchel, P.; Kaas, R.; Arhaliass, A.; Baron, R.; Legrand, J. A New Process for Extracting Alginates from Laminaria Digitata: Reactive Extrusion. Food Bioprocess Technol. 2008, 1, 297–300. [Google Scholar] [CrossRef]
- Martín-del-Campo, A.; Fermín-Jiménez, J.A.; Fernández-Escamilla, V.V.; Escalante-García, Z.Y.; Macías-Rodríguez, M.E.; Estrada-Girón, Y. Improved Extraction of Carrageenan from Red Seaweed (Chondracantus Canaliculatus) Using Ultrasound-Assisted Methods and Evaluation of the Yield, Physicochemical Properties and Functional Groups. Food Sci. Biotechnol. 2021, 30, 901–910. [Google Scholar] [CrossRef]
- Webber, V.; de Carvalho, S.M.; Ogliari, P.J.; Hayashi, L.; Barreto, P.L.M. Optimization of the Extraction of Carrageenan from Kappaphycus Alvarezii Using Response Surface Methodology. Food Sci. Technol. 2012, 32, 812–818. [Google Scholar] [CrossRef]
- Martínez-Sanz, M.; Gómez-Mascaraque, L.G.; Ballester, A.R.; Martínez-Abad, A.; Brodkorb, A.; López-Rubio, A. Production of Unpurified Agar-Based Extracts from Red Seaweed Gelidium Sesquipedale by Means of Simplified Extraction Protocols. Algal Res. 2019, 38, 101420. [Google Scholar] [CrossRef]
- Soares Dias, A.P.; Rijo, B.; Santos, F.; Galhano dos Santos, R.; Frade, T. Overview on Biofuels Production in a Seaweed Biorefinery. Sci. Total Environ. 2023, 884, 163714. [Google Scholar] [CrossRef]
- Kok, J.M.L.; Wong, C.L. Physicochemical Properties of Edible Alginate Film from Malaysian Sargassum Polycystum C. Agardh. Sustain. Chem. Pharm. 2018, 9, 87–94. [Google Scholar] [CrossRef]
- Lopes, M.; Abrahim, B.; Veiga, F.; Seiça, R.; Cabral, L.M.; Arnaud, P.; Andrade, J.C.; Ribeiro, A.J. Preparation Methods and Applications behind Alginate-Based Particles. Expert. Opin. Drug Deliv. 2017, 14, 769–782. [Google Scholar] [CrossRef]
- Ching, S.H.; Bansal, N.; Bhandari, B. Alginate Gel Particles-A Review of Production Techniques and Physical Properties. Crit. Rev. Food Sci. Nutr. 2017, 57, 1133–1152. [Google Scholar] [CrossRef]
- Pereira, L.; Van De Velde, F. Portuguese Carrageenophytes: Carrageenan Composition and Geographic Distribution of Eight Species (Gigartinales, Rhodophyta). Carbohydr. Polym. 2011, 84, 614–623. [Google Scholar] [CrossRef]
- Van De Velde, F.; Knutsen, S.H.; Usov, A.I.; Rollema, H.S.; Cerezo, A.S. 1H and 13C High Resolution NMR Spectroscopy of Carrageenans: Application in Research and Industry. Trends Food Sci. Technol. 2002, 13, 73–92. [Google Scholar] [CrossRef]
- Younes, M.; Aggett, P.; Aguilar, F.; Crebelli, R.; Filipič, M.; Frutos, M.J.; Galtier, P.; Gott, D.; Gundert-Remy, U.; Kuhnle, G.G.; et al. Re-Evaluation of Carrageenan (E 407) and Processed Eucheuma Seaweed (E 407a) as Food Additives. EFSA J. 2018, 16, e05238. [Google Scholar] [CrossRef] [PubMed]
- Wang, W.; Wang, S.X.; Guan, H.S. The Antiviral Activities and Mechanisms of Marine Polysaccharides: An Overview. Mar. Drugs 2012, 10, 2795–2816. [Google Scholar] [CrossRef] [PubMed]
- Araki, C. Structure of Agarose Constituent of Agar-Agar. Bull. Chem. Soc. Jpn. 1956, 29, 543–544. [Google Scholar] [CrossRef]
- Bixler, H.J.; Porse, H. A Decade of Change in the Seaweed Hydrocolloids Industry. J. Appl. Phycol. 2011, 23, 321–335. [Google Scholar] [CrossRef]
- Hafting, J.T.; Craigie, J.S.; Stengel, D.B.; Loureiro, R.R.; Buschmann, A.H.; Yarish, C.; Edwards, M.D.; Critchley, A.T. Prospects and Challenges for Industrial Production of Seaweed Bioactives. J. Phycol. 2015, 51, 821–837. [Google Scholar] [CrossRef] [PubMed]
- Abdul Khalil, H.P.S.; Saurabh, C.K.; Tye, Y.Y.; Lai, T.K.; Easa, A.M.; Rosamah, E.; Fazita, M.R.N.; Syakir, M.I.; Adnan, A.S.; Fizree, H.M.; et al. Seaweed Based Sustainable Films and Composites for Food and Pharmaceutical Applications: A Review. Renew. Sustain. Energy Rev. 2017, 77, 353–362. [Google Scholar] [CrossRef]
- Rajapakse, N.; Kim, S.-K. Nutritional and digestive health benefits of seaweed. Adv. Food Nutr. Res. 2011, 64, 17–28. [Google Scholar]
- Ashter, S.A.; Ali Ashter, S. Introduction to Bioplastics Engineering. In Introduction to Bioplastics Engineering; Elsevier: Amsterdam, The Netherlands, 2016; pp. 1–17. ISBN 9780323393966. [Google Scholar]
- Mohanty, A.K.; Misra, M.; Drzal, L.T. Sustainable bio-composites from renewable resources: Opportunities and challenges in the green materials world. J. Polym. Environ. 2002, 10, 19–26. [Google Scholar] [CrossRef]
- Briassoulis, D. Mechanical Behaviour of Biodegradable Agricultural Films under Real Field Conditions. Polym. Degrad. Stab. 2006, 91, 1256–1272. [Google Scholar] [CrossRef]
- Doh, H.; Dunno, K.D.; Whiteside, W.S. Preparation of Novel Seaweed Nanocomposite Film from Brown Seaweeds Laminaria Japonica and Sargassum Natans. Food Hydrocoll. 2020, 105, 105744. [Google Scholar] [CrossRef]
- Kontominas, M.G. Use of Alginates as Food Packaging Materials. Foods 2020, 9, 1440. [Google Scholar] [CrossRef] [PubMed]
- Sedayu, B.B.; Cran, M.J.; Bigger, S.W. A Review of Property Enhancement Techniques for Carrageenan-Based Films and Coatings. Carbohydr. Polym. 2019, 216, 287–302. [Google Scholar] [CrossRef] [PubMed]
- Gheorghita (Puscaselu), R.; Gutt, G.; Amariei, S. The Use of Edible Films Based on Sodium Alginate in Meat Product Packaging: An Eco-Friendly Alternative to Conventional Plastic Materials. Coatings 2020, 10, 166. [Google Scholar] [CrossRef]
- Gao, C.; Pollet, E.; Avérous, L. Properties of Glycerol-Plasticized Alginate Films Obtained by Thermo-Mechanical Mixing. Food Hydrocoll. 2017, 63, 414–420. [Google Scholar] [CrossRef]
- Gupta, S.; Dixit, M.; Sharma, K.; Saxena, N.S. Mechanical Study of Metallized Polyethylene Terephthalate (PET) Films. Surf. Coat. Technol. 2009, 204, 661–666. [Google Scholar] [CrossRef]
- Horváth, T.; Szabó, T.J.; Marossy, K. Polylactic Acid as a Potential Alternatives of Traditional Plastic Packagings in Food Industry. Int. J. Eng. Manag. Sci. 2020, 5, 123–129. [Google Scholar] [CrossRef]
- Martínez-Sanz, M.; Martínez-Abad, A.; López-Rubio, A. Cost-Efficient Bio-Based Food Packaging Films from Unpurified Agar-Based Extracts. Food Packag. Shelf Life 2019, 21, 100367. [Google Scholar] [CrossRef]
- Mostafavi, F.S.; Zaeim, D. Agar-Based Edible Films for Food Packaging Applications—A Review. Int. J. Biol. Macromol. 2020, 159, 1165–1176. [Google Scholar] [CrossRef]
- Hernández, V.; Ibarra, D.; Triana, J.F.; Martínez-Soto, B.; Faúndez, M.; Vasco, D.A.; Gordillo, L.; Herrera, F.; García-Herrera, C.; Garmulewicz, A. Agar Biopolymer Films for Biodegradable Packaging: A Reference Dataset for Exploring the Limits of Mechanical Performance. Materials 2022, 15, 3954. [Google Scholar] [CrossRef] [PubMed]
- Sible, C.N.; Seebauer, J.R.; Below, F.E. Plant Biostimulants: A Categorical Review, Their Implications for Row Crop Production, and Relation to Soil Health Indicators. Agronomy 2021, 11, 1297. [Google Scholar] [CrossRef]
- Patel, R.; Pandya, K.; Jasrai, R.; Brahmbhatt, N. A review: Scope of utilizing seaweed as a biofertilizer in agriculture. Int. J. Adv. Res. 2017, 5, 2046–2054. [Google Scholar] [CrossRef] [PubMed]
- Ali, O.; Ramsubhag, A.; Jayaraman, J. Biostimulant Properties of Seaweed Extracts in Plants: Implications towards Sustainable Crop Production. Plants 2021, 10, 531. [Google Scholar] [CrossRef] [PubMed]
- Dave, A.; Huang, Y.; Rezvani, S.; McIlveen-Wright, D.; Novaes, M.; Hewitt, N. Techno-Economic Assessment of Biofuel Development by Anaerobic Digestion of European Marine Cold-Water Seaweeds. Bioresour. Technol. 2013, 135, 120–127. [Google Scholar] [CrossRef] [PubMed]
- Chia, S.R.; Chew, K.W.; Show, P.L.; Yap, Y.J.; Ong, H.C.; Ling, T.C.; Chang, J.S. Analysis of Economic and Environmental Aspects of Microalgae Biorefinery for Biofuels Production: A Review. Biotechnol. J. 2018, 13, 1700618. [Google Scholar] [CrossRef]
- González-Gloria, K.D.; Rodríguez-Jasso, R.M.; Shiva; Aparicio, E.; Chávez González, M.L.; Kostas, E.T.; Ruiz, H.A. Macroalgal Biomass in Terms of Third-Generation Biorefinery Concept: Current Status and Techno-Economic Analysis—A Review. Bioresour. Technol. Rep. 2021, 16, 100863. [Google Scholar] [CrossRef]
- Ayala, M.; Thomsen, M.; Pizzol, M. Life Cycle Assessment of Pilot Scale Production of Seaweed-Based Bioplastic. Algal Res. 2023, 71, 103036, Erratum in Algal Res. 2023, 76, 103313. [Google Scholar] [CrossRef]
- Rajendran, N.; Puppala, S.; Sneha, R.M.; Angeeleena, B.; Rajam, C. Seaweeds Can Be a New Source for Bioplastics. J. Pharm. Res. 2012, 5, 1476–1479. [Google Scholar]
- Thiruchelvi, R.; Das, A.; Sikdar, E. Bioplastics as Better Alternative to Petro Plastic. Mater. Today Proc. 2020, 37, 1634–1639. [Google Scholar] [CrossRef]
- Prakoso, F.A.H.; Indiarto, R.; Utama, G.L. Edible Film Casting Techniques and Materials and Their Utilization for Meat-Based Product Packaging. Polymers 2023, 15, 2800. [Google Scholar] [CrossRef] [PubMed]
- Kumar, A.; Hasan, M.; Mangaraj, S.; Pravitha, M.; Verma, D.K.; Srivastav, P.P. Trends in Edible Packaging Films and Its Prospective Future in Food: A Review. Appl. Food Res. 2022, 2, 100118. [Google Scholar] [CrossRef]
- Hii, S.L.; Lim, J.Y.; Ong, W.T.; Wong, C.L. Agar from Malaysian Red Seaweed as Potential Material for Synthesis of Bioplastic Film. J. Eng. Sci. Technol. 2016, 11, 1–15. [Google Scholar]
- Kanagesan, K.; Abdulla, R.; Derman, E.; Sabullah, M.K.; Govindan, N.; Gansau, J.A. A Sustainable Approach to Green Algal Bioplastics Production from Brown Seaweeds of Sabah, Malaysia. J. King Saud. Univ. Sci. 2022, 34, 102268. [Google Scholar] [CrossRef]
- Cho, S.-W.; Gällstedt, M.; Johansson, E.; Hedenqvist, M.S. Injection-Molded Nanocomposites and Materials Based on Wheat Gluten. Int. J. Biol. Macromol. 2011, 48, 146–152. [Google Scholar] [CrossRef] [PubMed]
- Adamy, M.; Verbeek, C.J. Injection-Molding Performance and Mechanical Properties of Blood Meal–Based Thermoplastics. Adv. Polym. Technol. 2013, 32, 21361. [Google Scholar] [CrossRef]
- Mohanty, A.K.; Tummala, P.; Liu, W.; Misra, M.; Mulukutla, P.V.; Drzal, L.T. Injection Molded Biocomposites from Soy Protein Based Bioplastic and Short Industrial Hemp Fiber. J. Polym. Environ. 2005, 13, 279–285. [Google Scholar] [CrossRef]
- Weerapoprasit, C.; Prachayawarakorn, J. Properties of Biodegradable Thermoplastic Cassava Starch/Sodium Alginate Composites Prepared from Injection Molding. Polym. Compos. 2016, 37, 3365–3372. [Google Scholar] [CrossRef]
- Ashter, S.A. Processing Biodegradable Polymers. In Introduction to Bioplastics Engineering; William Andrew: Norwich, NY, USA, 2016; pp. 179–209. ISBN 9780323393966. [Google Scholar]
- Bulota, M.; Budtova, T. Valorisation of Macroalgae Industrial By-Product as Filler in Thermoplastic Polymer Composites. Compos. Part. A Appl. Sci. Manuf. 2016, 90, 271–277. [Google Scholar] [CrossRef]
- Verbeek, C.J.R.; Van Den Berg, L.E. Extrusion Processing and Properties of Protein-Based Thermoplastics. Macromol. Mater. Eng. 2010, 295, 10–21. [Google Scholar] [CrossRef]
- Makoure, D.; Arhaliass, A.; Echchelh, A.; Baron, R.; Legrand, J. Procédé d’extrusion Réactive et/Ou Enzymatique Pour l’extraction de Phycocolloïdes: Application Aux Produits de La Mer. Sci. Et Technol. Aliment. 2019, 2. [Google Scholar] [CrossRef]
- Mortalò, C.; Russo, P.; Miorin, E.; Zin, V.; Paradisi, E.; Leonelli, C. Extruded Composite Films Based on Polylactic Acid and Sodium Alginate. Polymer 2023, 282, 126162. [Google Scholar] [CrossRef]
- Rech, A.; Siamos, E.; Nicholas, P.; Daugaard, A.E. Recyclable Extrudable Biopolymer Composites from Alginate and Lignocellulosic Biomass Waste. ACS Sustain. Chem. Eng. 2023, 11, 8939–8947. [Google Scholar] [CrossRef]
- Smaniotto, F.; Prosapio, V.; Zafeiri, I.; Spyropoulos, F. Freeze Drying and Rehydration of Alginate Fluid Gels. Food Hydrocoll. 2020, 99, 105352. [Google Scholar] [CrossRef]
- Moresi, M.; Bruno, M.; Parente, E. Viscoelastic Properties of Microbial Alginate Gels by Oscillatory Dynamic Tests. J. Food Eng. 2004, 64, 179–186. [Google Scholar] [CrossRef]
- Smidsrød, O.; Skjåk-Bræk, G. Alginate as Immobilization Matrix for Cells. Trends Biotechnol. 1990, 8, 71–78. [Google Scholar] [CrossRef] [PubMed]
- Zhang, X.; Wang, X.; Fan, W.; Liu, Y.; Wang, Q.; Weng, L. Fabrication, Property and Application of Calcium Alginate Fiber: A Review. Polymers 2022, 14, 3227. [Google Scholar] [CrossRef] [PubMed]
- Donati, I.; Paoletti, S. Material Properties of Alginates. In Alginates: Biology and Applications; Microbiology Monographs; Springer: Berlin/Heidelberg, Germany, 2009; Volume 13. [Google Scholar] [CrossRef]
- Sharma, R.; Malviya, R.; Singh, S.; Prajapati, B. A Critical Review on Classified Excipient Sodium-Alginate-Based Hydrogels: Modification, Characterization, and Application in Soft Tissue Engineering. Gels 2023, 9, 430. [Google Scholar] [CrossRef]
- Parreidt, T.S.; Müller, K.; Schmid, M. Alginate-Based Edible Films and Coatings for Food Packaging Applications. Foods 2018, 7, 170. [Google Scholar] [CrossRef]
- Ooho. Available online: https://www.notpla.com/ooho (accessed on 22 May 2024).



Disclaimer/Publisher’s Note: The statements, opinions and data contained in all publications are solely those of the individual author(s) and contributor(s) and not of MDPI and/or the editor(s). MDPI and/or the editor(s) disclaim responsibility for any injury to people or property resulting from any ideas, methods, instructions or products referred to in the content. |
© 2024 by the authors. Licensee MDPI, Basel, Switzerland. This article is an open access article distributed under the terms and conditions of the Creative Commons Attribution (CC BY) license (https://creativecommons.org/licenses/by/4.0/).
Share and Cite
Santana, I.; Felix, M.; Bengoechea, C. Seaweed as Basis of Eco-Sustainable Plastic Materials: Focus on Alginate. Polymers 2024, 16, 1662. https://doi.org/10.3390/polym16121662
Santana I, Felix M, Bengoechea C. Seaweed as Basis of Eco-Sustainable Plastic Materials: Focus on Alginate. Polymers. 2024; 16(12):1662. https://doi.org/10.3390/polym16121662
Chicago/Turabian StyleSantana, Ismael, Manuel Felix, and Carlos Bengoechea. 2024. "Seaweed as Basis of Eco-Sustainable Plastic Materials: Focus on Alginate" Polymers 16, no. 12: 1662. https://doi.org/10.3390/polym16121662
APA StyleSantana, I., Felix, M., & Bengoechea, C. (2024). Seaweed as Basis of Eco-Sustainable Plastic Materials: Focus on Alginate. Polymers, 16(12), 1662. https://doi.org/10.3390/polym16121662

