Molecular Dynamics Simulation of Silicone Oil Polymerization from Combined QM/MM Modeling
Abstract
1. Introduction
2. Methods
3. Simulation Details
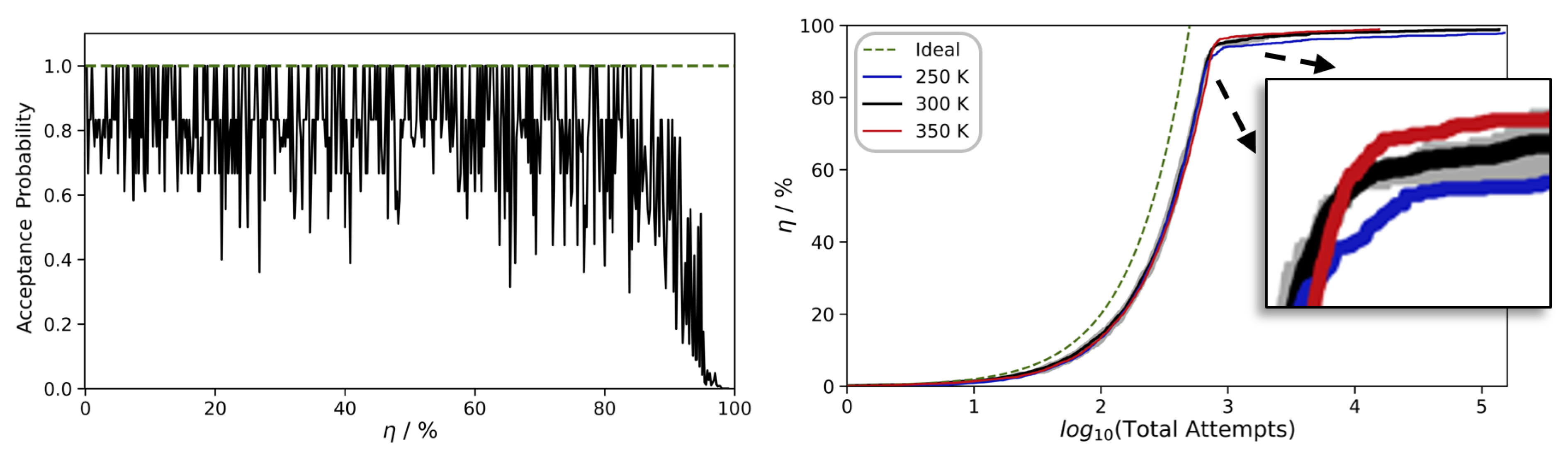
4. Results
5. Conclusions
Author Contributions
Funding
Institutional Review Board Statement
Data Availability Statement
Conflicts of Interest
References
- Moretto, H.-H.; Schulze, M.; Wagner, G. Silicones. In Ullmann’s Encyclopedia of Industrial Chemistry; Wiley: New York, NY, USA, 2000. [Google Scholar]
- Buch, R.R.; Ingebrigtson, D.N. Rearrangement of poly (dimethylsiloxane) fluids on soil. Environ. Sci. Technol. 1979, 13, 676–679. [Google Scholar] [CrossRef]
- Graiver, D.; Farminer, K.W.; Narayan, R. A Review of the Fate and Effects of Silicones in the Environment. J. Polym. Environ. 2003, 11, 129–136. [Google Scholar] [CrossRef]
- Griessbach, E.F.C.; Lehmann, R.G. Degradation of polydimethylsiloxane fluids in the environment—A review. Chemosphere 1999, 38, 1461–1468. [Google Scholar] [CrossRef] [PubMed]
- Bergeron, V.; Cooper, P.; Fischer, C.; Giermanska-Kahn, J.; Langevin, D.; Pouchelon, A. Polydimethylsiloxane (PDMS)-based antifoams. Colloids Surf. A Physicochem. Eng. Asp. 1997, 122, 103–120. [Google Scholar] [CrossRef]
- Blázquez, C.; Dalmazzone, C.; Emond, E.; Schneider, S. Crude Oil Foams: Testing and Ranking of Antifoams with the Depressurization Test. Energy Fuels 2017, 31, 1285–1294. [Google Scholar] [CrossRef]
- Fraga, A.K.; Santos, R.F.; Mansur, C.R.E. Evaluation of the efficiency of silicone polyether additives as antifoams in crude oil. J. Appl. Polym. Sci. 2012, 124, 4149–4156. [Google Scholar] [CrossRef]
- Sawicki, G.C. Silicone polymers as foam control agents. J. Am. Oil Chem. Soc. 1988, 65, 1013–1016. [Google Scholar] [CrossRef]
- Aziz, T.; Fan, H.; Khan, F.U.; Haroon, M.; Cheng, L. Modified silicone oil types, mechanical properties and applications. Polym. Bull. 2019, 76, 2129–2145. [Google Scholar] [CrossRef]
- Yoo, S.-S.; Kim, D.-E. Minimum lubrication technique using silicone oil for friction reduction of stainless steel. Int. J. Precis. Eng. Manuf. 2013, 14, 875–880. [Google Scholar] [CrossRef]
- Bahar, I.; Zuniga, I.; Dodge, R.; Mattice, W.L. Conformational statistics of poly (dimethylsiloxane). 1. Probability distribution of rotational isomers from molecular dynamics simulations. Macromolecules 1991, 24, 2986–2992. [Google Scholar] [CrossRef]
- Sun, H. Ab initio calculations and force field development for computer simulation of polysilanes. Macromolecules 1995, 28, 701–712. [Google Scholar] [CrossRef]
- Sun, H.; Rigby, D. Polysiloxanes: Ab initio force field and structural, conformational and thermophysical properties. Spectrochim. Acta Part A Mol. Biomol. Spectrosc. 1997, 53, 1301–1323. [Google Scholar] [CrossRef]
- Frischknecht, A.L.; Curro, J.G. Improved United Atom Force Field for Poly(dimethylsiloxane). Macromolecules 2003, 36, 2122–2129. [Google Scholar] [CrossRef]
- Smith, J.S.; Borodin, O.; Smith, G.D. A Quantum Chemistry Based Force Field for Poly(dimethylsiloxane). J. Phys. Chem. B 2004, 108, 20340–20350. [Google Scholar] [CrossRef]
- Cambiaso, S.; Rasera, F.; Rossi, G.; Bochicchio, D. Development of a transferable coarse-grained model of polydimethylsiloxane. Soft Matter 2022, 18, 7887–7896. [Google Scholar] [CrossRef] [PubMed]
- Μakrodimitri, Z.A.; Dohrn, R.; Economou, I.G. Atomistic Simulation of Poly(dimethylsiloxane): Force Field Development, Structure, and Thermodynamic Properties of Polymer Melt and Solubility of n-Alkanes, n-Perfluoroalkanes, and Noble and Light Gases. Macromolecules 2007, 40, 1720–1729. [Google Scholar] [CrossRef]
- Gissinger, J.R.; Jensen, B.D.; Wise, K.E. Modeling chemical reactions in classical molecular dynamics simulations. Polymer 2017, 128, 211–217. [Google Scholar] [CrossRef] [PubMed]
- Bhattacharya, S.; Kieffer, J. Molecular Dynamics Simulation Study of Growth Regimes during Polycondensation of Silicic Acid: from Silica Nanoparticles to Porous Gels. J. Phys. Chem. C 2008, 112, 1764–1771. [Google Scholar] [CrossRef]
- Deetz, J.D.; Faller, R. Parallel Optimization of a Reactive Force Field for Polycondensation of Alkoxysilanes. J. Phys. Chem. B 2014, 118, 10966–10978. [Google Scholar] [CrossRef]
- Deetz, J.D.; Faller, R. Reactive modeling of the initial stages of alkoxysilane polycondensation: Effects of precursor molecule structure and solution composition. Soft Matter 2015, 11, 6780–6789. [Google Scholar] [CrossRef]
- Pereira, J.C.G.; Catlow, C.R.A.; Price, G.D. Molecular Dynamics Simulation of Methanolic and Ethanolic Silica-Based Sol−Gel Solutions at Ambient Temperature and Pressure. J. Phys. Chem. A 2002, 106, 130–148. [Google Scholar] [CrossRef]
- Rankin, S.E.; Kasehagen, L.J.; McCormick, A.V.; Macosko, C.W. Dynamic Monte Carlo Simulation of Gelation with Extensive Cyclization. Macromolecules 2000, 33, 7639–7648. [Google Scholar] [CrossRef][Green Version]
- Meißner, R.H.; Konrad, J.; Boll, B.; Fiedler, B.; Zahn, D. Molecular Simulation of Thermosetting Polymer Hardening: Reactive Events Enabled by Controlled Topology Transfer. Macromolecules 2020, 53, 9698–9705. [Google Scholar] [CrossRef]
- Gavrilov, A.A.; Komarov, P.V.; Khalatur, P.G. Thermal Properties and Topology of Epoxy Networks: A Multiscale Simulation Methodology. Macromolecules 2015, 48, 206–212. [Google Scholar] [CrossRef]
- Frisch, M.J.; Trucks, G.W.; Schlegel, H.B.; Scuseria, G.E.; Robb, M.A.; Cheeseman, J.R.; Scalmani, G.; Barone, V.; Petersson, G.A.; Nakatsuji, H.; et al. Gaussian 16 Rev. C.01; Gaussian, Inc.: Wallingford, CT, USA, 2016. [Google Scholar]
- Hanwell, M.D.; Curtis, D.E.; Lonie, D.C.; Vandermeersch, T.; Zurek, E.; Hutchison, G.R. Avogadro: An advanced semantic chemical editor, visualization, and analysis platform. J. Cheminform. 2012, 4, 17. [Google Scholar] [CrossRef] [PubMed]
- Hanwell, M.D.; Curtis, D.E.; Lonie, D.C.; Vandermeersch, T.; Zurek, E.; Hutchison, G.R. Avogadro: An Open-Source Molecular Builder and Visualization Tool, Version 1.20. Available online: https://avogadro.cc/ (accessed on 18 June 2024).
- Becit, B.; Duchstein, P.; Zahn, D. Molecular mechanisms of mesoporous silica formation from colloid solution: Ripening-reactions arrest hollow network structures. PLoS ONE 2019, 14, e0212731. [Google Scholar] [CrossRef] [PubMed]
- Thompson, A.P.; Aktulga, H.M.; Berger, R.; Bolintineanu, D.S.; Brown, W.M.; Crozier, P.S.; in’t Veld, P.J.; Kohlmeyer, A.; Moore, S.G.; Nguyen, T.D.; et al. LAMMPS—A flexible simulation tool for particle-based materials modeling at the atomic, meso, and continuum scales. Comput. Phys. Commun. 2022, 271, 108171. [Google Scholar] [CrossRef]
- Tuckerman, M.E.; Alejandre, J.; López-Rendón, R.; Jochim, A.L.; Martyna, G.J. A Liouville-operator derived measure-preserving integrator for molecular dynamics simulations in the isothermal–isobaric ensemble. J. Phys. A Math. Gen. 2006, 39, 5629. [Google Scholar] [CrossRef]
- Hoover, W.G. Canonical dynamics: Equilibrium phase-space distributions. Phys. Rev. A 1985, 31, 1695–1697. [Google Scholar] [CrossRef]
- Darden, T.; York, D.; Pedersen, L. Particle mesh Ewald: An N·log(N) method for Ewald sums in large systems. J. Chem. Phys. 1993, 98, 10089–10092. [Google Scholar] [CrossRef]
- Humphrey, W.; Dalke, A.; Schulten, K. VMD: Visual molecular dynamics. J. Mol. Graph. 1996, 14, 33–38. [Google Scholar] [CrossRef] [PubMed]
- Baldwin, J.C.; Lappert, M.F.; Pedley, J.B.; Treverton, J.A. Bonding studies of organometallic compounds of boron and the group IV elements. Part I. Heats of hydrolysis and bond energies for some trimethylsilyl derivatives. J. Chem. Soc. A Inorg. Phys. Theor. 1967, 1980–1984. [Google Scholar] [CrossRef]
- Jones, R.G.; Ando, W.; Chojnowski, J. Silicon-Containing Polymers: The Science and Technology of Their Synthesis and Applications; Springer Science & Business Media: Berlin/Heidelberg, Germany, 2013. [Google Scholar]







Disclaimer/Publisher’s Note: The statements, opinions and data contained in all publications are solely those of the individual author(s) and contributor(s) and not of MDPI and/or the editor(s). MDPI and/or the editor(s) disclaim responsibility for any injury to people or property resulting from any ideas, methods, instructions or products referred to in the content. |
© 2024 by the authors. Licensee MDPI, Basel, Switzerland. This article is an open access article distributed under the terms and conditions of the Creative Commons Attribution (CC BY) license (https://creativecommons.org/licenses/by/4.0/).
Share and Cite
Puhlmann, P.; Zahn, D. Molecular Dynamics Simulation of Silicone Oil Polymerization from Combined QM/MM Modeling. Polymers 2024, 16, 1755. https://doi.org/10.3390/polym16121755
Puhlmann P, Zahn D. Molecular Dynamics Simulation of Silicone Oil Polymerization from Combined QM/MM Modeling. Polymers. 2024; 16(12):1755. https://doi.org/10.3390/polym16121755
Chicago/Turabian StylePuhlmann, Pascal, and Dirk Zahn. 2024. "Molecular Dynamics Simulation of Silicone Oil Polymerization from Combined QM/MM Modeling" Polymers 16, no. 12: 1755. https://doi.org/10.3390/polym16121755
APA StylePuhlmann, P., & Zahn, D. (2024). Molecular Dynamics Simulation of Silicone Oil Polymerization from Combined QM/MM Modeling. Polymers, 16(12), 1755. https://doi.org/10.3390/polym16121755

