Effect of Prestrain on Payne Effect and Hysteresis Loss of Carbon-Black-Filled Rubber Vulcanizates: Measurements and Modeling
Abstract
1. Introduction
2. Materials and Methods
2.1. Hysteresis Loss
2.2. Models
2.2.1. Kraus Model
2.2.2. Huber–Vilgis Model
2.2.3. Maier–Göritz Model
2.3. Materials
2.4. Dynamic Mechanical Analysis
3. Results
3.1. Payne Effect
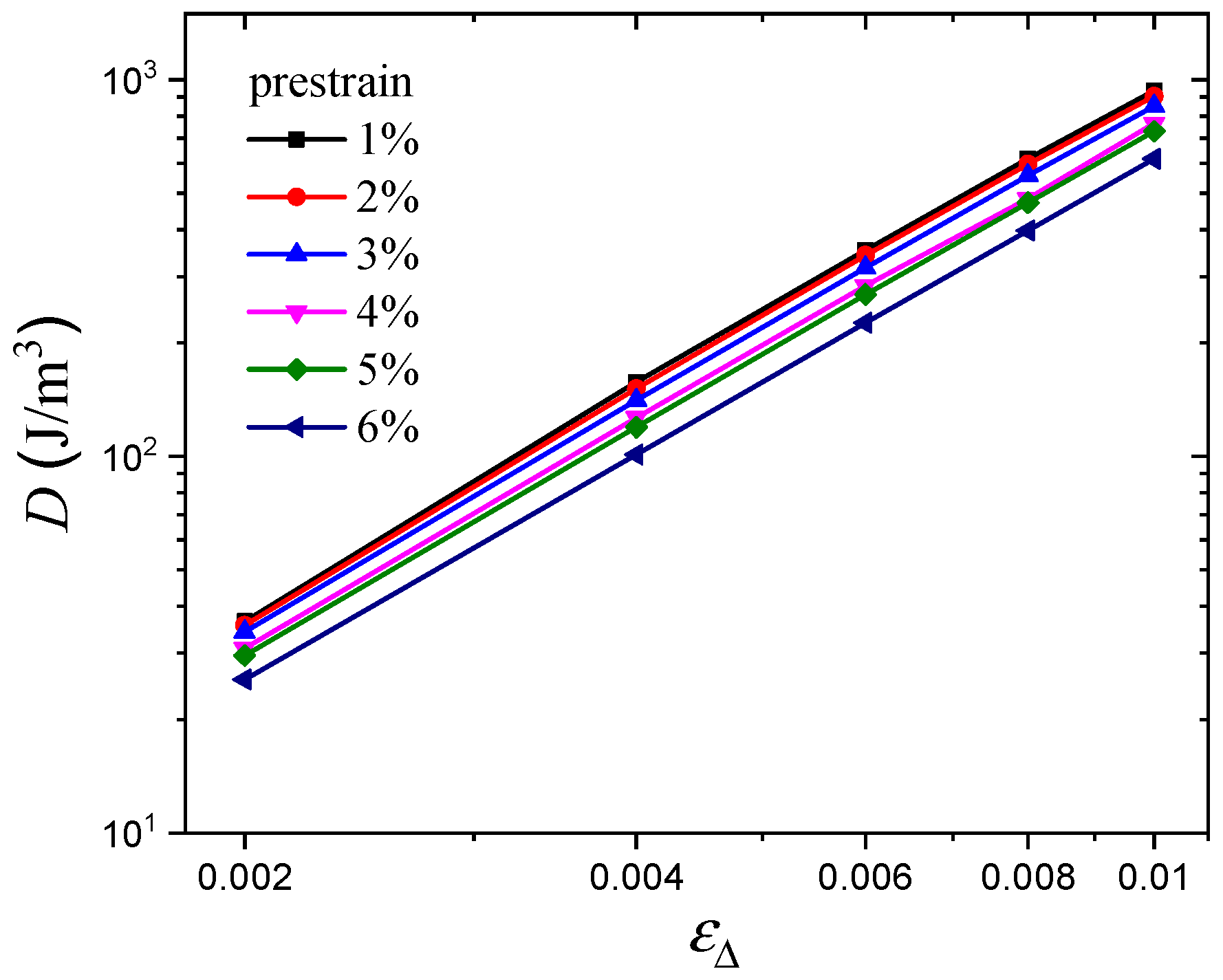
3.2. Hysteresis Loss
4. Conclusions
Author Contributions
Funding
Institutional Review Board Statement
Data Availability Statement
Conflicts of Interest
References
- Rizov, V. Effects of Periodic Loading on Longitudinal Fracture in Viscoelastic Functionally Graded Beam Structures. J. Appl. Comput. Mech. 2022, 8, 370–378. [Google Scholar]
- Shu, Z.; You, R.K.; Zhou, Y. Viscoelastic materials for structural dampers: A review. Constr. Build. Mater. 2022, 342, 127955. [Google Scholar] [CrossRef]
- Losanno, D.; Madera Sierra, I.E.; Spizzuoco, M.; Marulanda, J.; Thomson, P. Experimental assessment and analytical modeling of novel fiber-reinforced isolators in unbounded configuration. Compos. Struct. 2019, 212, 66–82. [Google Scholar] [CrossRef]
- Koupai, S.A.; Bakhshi, A.; Tabrizi, V.V. Experimental investigation on effects of elastomer components on dynamic and mechanical properties in seismic isolator compounds. Constr. Build. Mater. 2017, 135, 267–278. [Google Scholar] [CrossRef]
- Feng, X.X.; Xu, P.J.; Zhang, Y.Q. Filled rubber isolator’s constitutive model and application to vehicle multi-body system simulation: A literature review. SAE Int. J. Veh. Dyn. St. NVH 2018, 2, 101–120. [Google Scholar] [CrossRef]
- Xue, C.; Gao, H.Y.; Hu, G.X. Viscoelastic and fatigue properties of graphene and carbon black hybrid structure filled natural rubber composites under alternating loading. Constr. Build. Mater. 2020, 265, 120299. [Google Scholar] [CrossRef]
- Pan, Y.H.; Zhong, Z. A viscoelastic constitutive modeling of rubber-like materials with the Payne effect. Appl. Math. Model. 2017, 50, 621–632. [Google Scholar] [CrossRef]
- Yin, B.Y.; Wen, H.B.; Luo, W.B. Effect of thermo-oxidative aging on the Payne effect and hysteresis loss of carbon-black filled rubber vulcanizates. NPJ Mat. Degrad. 2022, 6, 94. [Google Scholar] [CrossRef]
- Shi, X.Y.; Sun, S.H.; Zhao, A.; Zhang, H.M.; Zuo, M.; Song, Y.H.; Zheng, Q. Influence of carbon black on the Payne effect of filled natural rubber compounds. Compos. Sci. Technol. 2021, 203, 108586. [Google Scholar] [CrossRef]
- Zhao, A.; Shi, X.Y.; Sun, S.H.; Zhang, H.M.; Zuo, M.; Song, Y.H.; Zheng, Q. Insights into the Payne effect of carbon black filled styrene-butadiene rubber compounds. Chinese J. Polym. Sci. 2021, 39, 81–90. [Google Scholar] [CrossRef]
- Thorin, A.; Azoug, A.; Constantinescu, A. Influence of prestrain on mechanical properties of highly filled elastomers: Measurements and modelling. Polym. Test. 2012, 31, 978–986. [Google Scholar] [CrossRef]
- Cho, J.H.; Youn, S.K. A viscoelastic constitutive model of rubber under small oscillatory load superimposed on large static deformation considering the Payne effect. Arch. Appl. Mech. 2006, 75, 275–288. [Google Scholar] [CrossRef]
- Rendek, M.; Lion, A. Amplitude dependence of filler-reinforced rubber: Experiments, constitutive modelling and FEM–Implementation. Int. J. Solids Struct. 2010, 47, 2918–2936. [Google Scholar] [CrossRef]
- Suphadon, N.; Thomas, A.G.; Busfield, J.J.C. The viscoelastic behavior of rubber under a complex loading. II. The effect large strains and the incorporation of carbon black. J. Appl. Polym. Sci. 2010, 117, 1290–1297. [Google Scholar] [CrossRef]
- Jiang, B.W.; Zhu, L.Q.; Zhao, C.Z.; Chen, Z.R. An investigation on the bound rubber and dynamic mechanical properties of polystyrene particles-filled elastomers. Polym. Composite. 2017, 38, 1112–1117. [Google Scholar] [CrossRef]
- Ma, J.H.; Zhang, L.Q.; Wu, Y.P. Characterization of filler-rubber interaction, filler network structure, and their effects on viscoelasticity for styrene-butadiene rubber filled with different fillers. J. Macromol. Sci. Part B 2013, 52, 1128–1141. [Google Scholar] [CrossRef]
- Ning, N.Y.; Mi, T.; Chu, G.; Zhang, L.Q.; Liu, L.; Tian, M.; Yu, H.T.; Lu, Y.L. A quantitative approach to study the interface of carbon nanotubes/elastomer nanocomposites. Eur. Polym. J. 2018, 102, 10–18. [Google Scholar] [CrossRef]
- Lion, A. On the large deformation behaviour of reinforced rubber at different temperatures. J. Mech. Phys. Solids 1997, 45, 1805–1834. [Google Scholar] [CrossRef]
- Khimi, S.R.; Pickering, K.L. Comparison of dynamic properties of magnetorheological elastomers with existing antivibration rubbers. Compos. Part B Eng. 2015, 83, 175–183. [Google Scholar] [CrossRef]
- Kraus, G. Swelling of filler-reinforced vulcanizates. J. Appl. Polym. Sci. 1963, 7, 861–871. [Google Scholar] [CrossRef]
- Huber, G.; Vilgis, T.A.; Heinrich, G. Universal properties in the dynamical deformation of filled rubbers. J. Phys-Condens. Mat. 1996, 8, L409. [Google Scholar] [CrossRef]
- Höfer, P.; Lion, A. Modelling of frequency-and amplitude-dependent material properties of filler-reinforced rubber. J. Mech. Phys. Solids 2009, 57, 500–520. [Google Scholar] [CrossRef]
- Maier, P.G.; Göritz, D. Molecular interpretation of the Payne effect. Kaut. Gummi. Kunst. 1996, 49, 18–21. [Google Scholar]
- Lion, A. Phenomenological modelling of strain-induced structural changes in filler-reinforced elastomers-a time domain formulation of the Kraus model. Kaut. Gummi. Kunst. 2005, 58, 157–162. [Google Scholar]
- Lion, A.; Kardelky, C.; Haupt, P. On the frequency and amplitude dependence of the Payne effect: Theory and experiments. Rubber Chem. Technol. 2003, 76, 533–547. [Google Scholar] [CrossRef]
- Arruda, E.M.; Boyce, M.C. A three-dimensional constitutive model for the large stretch behavior of rubber elastic materials. J. Mech. Phys. Solids 1993, 41, 389–412. [Google Scholar] [CrossRef]
- Ayoub, G.; Zaïri, F.; Naït-Abdelaziz, M.; Gloaguen, J.M.; Kridli, G. A visco-hyperelastic damage model for cyclic stress-softening, hysteresis and permanent set in rubber using the network alteration theory. Int. J. Plast. 2014, 54, 19–33. [Google Scholar] [CrossRef]
- Khimi, S.R.; Pickering, K.L. The effect of silane coupling agent on the dynamic mechanical properties of iron sand/natural rubber magnetorheological elastomers. Compos. Part B Eng. 2016, 90, 115–125. [Google Scholar] [CrossRef]
- Yin, B.Y.; Wen, H.B.; Luo, W.B.; Li, M. Frequency-and temperature-dependent Payne effect and hysteresis loss of carbon black filled rubbers: Experimental study and model prediction. Mater. Today Commun. 2022, 33, 104920. [Google Scholar] [CrossRef]
- Salaeh, S.; Thitithammawong, A.; Salae, A. Highly enhanced electrical and mechanical properties of methyl methacrylate modified natural rubber filled with multiwalled carbon nanotubes. Polym. Test. 2020, 85, 106417. [Google Scholar] [CrossRef]
- Ponnamma, D.; Sung, S.H.; Hong, J.S.; Ahn, K.H.; Varughese, K.T.; Thomas, S. Influence of non-covalent functionalization of carbon nanotubes on the rheological behavior of natural rubber latex nanocomposites. Eur. Polym. J. 2014, 53, 147–159. [Google Scholar] [CrossRef]
- Montes, H.; Chaussée, T.; Papon, A.; Lequeux, F.; Guy, L. Particles in model filled rubber: Dispersion and mechanical properties. Eur. Phys. J. E 2010, 31, 263–268. [Google Scholar] [CrossRef] [PubMed]
- Candau, N.; Laghmach, R.; Chazeau, L.; Chenal, J.M.; Gauthier, C.; Biben, T.; Munch, E. Strain-induced crystallization of natural rubber and cross-link densities heterogeneities. Macromolecules 2014, 47, 5815–5824. [Google Scholar] [CrossRef]
- Du, Y.Q.; Zheng, J.; Yu, G.B. Influence of thermally-accelerated aging on the dynamic mechanical properties of HTPB coating and crosslinking density-modified model for the Payne effect. Polymers 2020, 12, 403. [Google Scholar] [CrossRef]
- Rahnavard, R.; Thomas, R.J. Numerical evaluation of steel-rubber isolator with single and multiple rubber cores. Eng. Struct. 2019, 198, 109532. [Google Scholar] [CrossRef]
- Nam, T.H.; Petríková, I.; Marvalová, B.; Hdaib, M.Y. Self-heating and dynamic mechanical behavior of silicone rubber composite filled with carbonyl iron particles under cyclic compressive loading. J. Compos. Mater. 2021, 55, 4273–4292. [Google Scholar] [CrossRef]
- Zhu, Z.M.; Jiang, C.K.; Cheng, Q.; Zhang, L.W.; Guo, S.Y.; Xiong, Y.; Fu, B.Q.; Yang, W.L.; Jiang, H. Accelerated aging test of hydrogenated nitrile butadiene rubber using the time-temperature-strain superposition principle. RSC Adv. 2015, 5, 90178–90183. [Google Scholar] [CrossRef]
- Lolage, M.; Parida, P.; Gupta, A.; Rautaray, D. Synergistic effects of silica and nanoclay on curing characteristics, processing behaviour and mechanical properties of solution styrene butadiene rubber (SBR)–based tire tread compounds. Emergent Mater. 2022, 5, 957–966. [Google Scholar] [CrossRef]















| /MPa | /MPa | /MPa | /MPa | c | R | |
|---|---|---|---|---|---|---|
| 1 | 10.083 | 15.429 | 2.151 | 4.095 | 179.96 | 0.999 | 
| 2 | 9.255 | 15.057 | 2.146 | 3.672 | 172.20 | 0.983 | 
| 3 | 8.219 | 14.425 | 2.110 | 3.122 | 165.12 | 0.993 | 
| 4 | 7.877 | 12.995 | 1.856 | 3.044 | 156.18 | 0.990 | 
| 5 | 7.351 | 12.616 | 1.764 | 3.001 | 148.90 | 0.996 | 
| 6 | 7.169 | 10.325 | 1.490 | 2.603 | 140.01 | 0.991 | 
| 1 | 1.1009 | |
| 2 | 1.0656 | |
| 3 | 1.0000 | |
| 4 | 0.8935 | |
| 5 | 0.8537 | |
| 6 | 0.7238 | 
| Disclaimer/Publisher’s Note: The statements, opinions and data contained in all publications are solely those of the individual author(s) and contributor(s) and not of MDPI and/or the editor(s). MDPI and/or the editor(s) disclaim responsibility for any injury to people or property resulting from any ideas, methods, instructions or products referred to in the content. | 
© 2024 by the authors. Licensee MDPI, Basel, Switzerland. This article is an open access article distributed under the terms and conditions of the Creative Commons Attribution (CC BY) license (https://creativecommons.org/licenses/by/4.0/).
Share and Cite
Yin, B.; Jiao, X.; Wen, H.; Li, Y.; Li, M. Effect of Prestrain on Payne Effect and Hysteresis Loss of Carbon-Black-Filled Rubber Vulcanizates: Measurements and Modeling. Polymers 2024, 16, 436. https://doi.org/10.3390/polym16030436
Yin B, Jiao X, Wen H, Li Y, Li M. Effect of Prestrain on Payne Effect and Hysteresis Loss of Carbon-Black-Filled Rubber Vulcanizates: Measurements and Modeling. Polymers. 2024; 16(3):436. https://doi.org/10.3390/polym16030436
Chicago/Turabian StyleYin, Boyuan, Xinyue Jiao, Haibo Wen, Yan Li, and Ming Li. 2024. "Effect of Prestrain on Payne Effect and Hysteresis Loss of Carbon-Black-Filled Rubber Vulcanizates: Measurements and Modeling" Polymers 16, no. 3: 436. https://doi.org/10.3390/polym16030436
APA StyleYin, B., Jiao, X., Wen, H., Li, Y., & Li, M. (2024). Effect of Prestrain on Payne Effect and Hysteresis Loss of Carbon-Black-Filled Rubber Vulcanizates: Measurements and Modeling. Polymers, 16(3), 436. https://doi.org/10.3390/polym16030436
 
        

 
       