Kinetic Study of the Diels–Alder Reaction between Maleimide and Furan-Containing Polystyrene Using Infrared Spectroscopy
Abstract
1. Introduction
2. Experiment
2.1. Materials
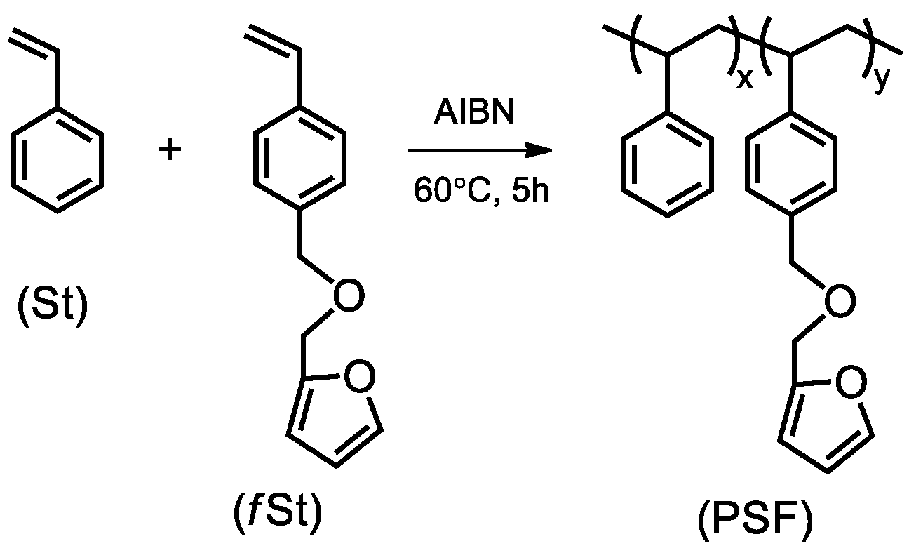
2.2. Synthesis of Furan-Functionalized Polystyrene (PSF)
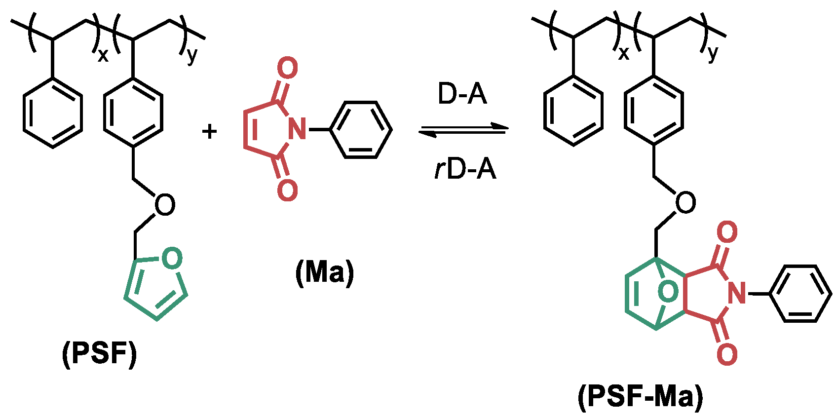
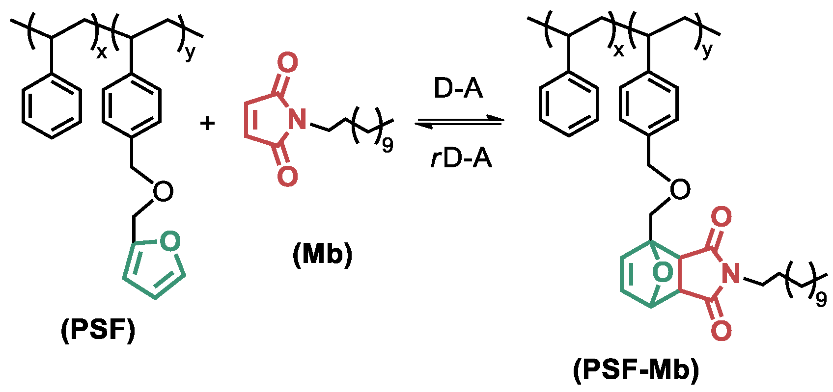
2.3. Diels–Alder Reaction of PSF with Maleimides
2.4. Characterization
3. Results and Discussion
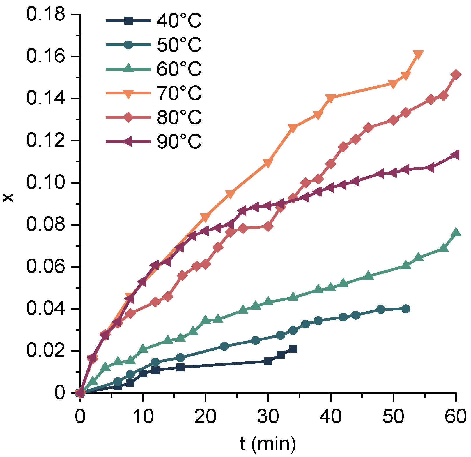
3.1. Diels–Alder Reaction between PSF and Ma
3.2. Diels–Alder Reaction between PSF and Mb
4. Conclusions
Supplementary Materials
Author Contributions
Funding
Institutional Review Board Statement
Data Availability Statement
Conflicts of Interest
References
- Kolb, H.C.; Finn, M.G.; Sharpless, K.B. Click Chemistry: Diverse Chemical Function from a Few Good Reactions. Angew. Chem. Int. Ed. 2001, 32, 2004–2021. [Google Scholar] [CrossRef]
- Sauer, J.; Sustmanm, R. Mechanistic Aspects of Diels-Alder Reactions: A Critical Survey. Angew. Chem. Int. Ed. 1980, 19, 779–807. [Google Scholar] [CrossRef]
- Nicolaou, K.C.; Snyder, S.A.; Montagnon, T.; Vassilikogiannakis, G. The Diels-Alder reaction in total synthesis. Angew. Chem. Int. Ed. 2002, 41, 1668–1698. [Google Scholar] [CrossRef]
- Watanabe, M.; Yoshie, N. Synthesis and properties of readily recyclable polymers from bisfuranic terminated poly(ethylene adipate) and multi-maleimide linkers. Polymer 2006, 47, 4946–4952. [Google Scholar] [CrossRef]
- Kloxin, C.J.; Bowman, C.N. Covalent adaptable networks: Smart, reconfigurable and responsive network systems. Chem. Soc. Rev. 2013, 42, 7161–7173. [Google Scholar] [CrossRef]
- Rao, V.; Navath, S.; Kottur, M.; McElhanon, J.R.; McGrath, D.V. An efficient reverse Diels-Alder approach for the synthesis of N-alkyl bismaleimides. Tetrahedron Lett. 2013, 54, 5011–5013. [Google Scholar] [CrossRef]
- Franc, G.; Kakkar, A.K. Diels-Alder “Click” Chemistry in Designing Dendritic Macromolecules. Chem. A Eur. J. 2009, 15, 5630–5639. [Google Scholar] [CrossRef]
- Gheneim, R.; Perez-Berumen, C.; Gandini, A. Diels-Alder Reactions with Novel Polymeric Dienes and Dienophiles: Synthesis of Reversibly Cross-Linked Elastomers. Macromolecules 2002, 35, 7246–7253. [Google Scholar] [CrossRef]
- Magana, S.; Zerroukhi, A.; Jegat, C.; Mignard, N. Thermally reversible crosslinked polyethylene using Diels-Alder reaction in molten state. React. Funct. Polym. 2010, 70, 442–448. [Google Scholar] [CrossRef]
- Polgar, L.M.; Duin, M.V.; Broekhuis, A.A.; Picchioni, F. Use Diels-Alder Chem. Thermoreversible Cross-Link. Rubbers: Next Step Towar. Recycl. Rubber Products? Macromolecules 2015, 48, 7096–7105. [Google Scholar] [CrossRef]
- Ahmadi, M.; Hanifpour, A.; Ghiassinejad, S.; Ruymbeke, E.V. Polyolefins vitrimers: Design principles and applications. Chem. Mater. 2022, 34, 10249–10271. [Google Scholar] [CrossRef]
- Gandini, A. The furan/maleimide Diels-Alder reaction: A versatile click-unclick tool in macromolecular synthesis. Prog. Polym. Sci. 2013, 38, 1–29. [Google Scholar] [CrossRef]
- Yang, S.; Du, X.; Du, Z.; Zhou, M.; Cheng, X.; Wang, H.; Yan, B. Robust, stretchable and photothermal self-healing polyurethane elastomer based on furan-modified polydopamine nanoparticles. Polymer 2020, 190, 122219. [Google Scholar] [CrossRef]
- Yasuda, K.; Sugane, K.; Shibata, M. Self-healing high-performance thermosets utilizing the furan/maleimide Diels-Alder and amine/maleimide Michael reactions. J. Polym. Res. 2020, 27, 18. [Google Scholar] [CrossRef]
- Tang, Z.; Lyu, X.; Xiao, A.; Shen, Z.; Fan, X. High-Performance Double-Network Ion Gels with Fast Thermal Healing Capability via Dynamic Covalent Bonds. Chem. Mater. 2018, 30, 7752–7759. [Google Scholar] [CrossRef]
- Sandra, S.; Guido, K. Double Reversible Networks: Improvement of Self-Healing in Hybrid Materials via Combination of Diels-Alder Cross-Linking and Hydrogen Bonds. Macromolecules 2018, 51, 6099–6110. [Google Scholar]
- Patil, S.S.; Torris, A.; Wadgaonkar, P.P. Healable network polymers bearing flexible poly(lauryl methacrylate) chains via thermo-reversible furan-maleimide Diels-Alder reaction. J. Polym. Sci. Part A Polym. Chem. 2017, 55, 2700–2712. [Google Scholar] [CrossRef]
- Chen, X.; Wudl, F.; Mal, A.K.; Shen, H.; Nutt, S.R. New Thermally Remendable Highly Cross-Linked Polymeric Materials. Macromolecules 2003, 36, 1802–1807. [Google Scholar] [CrossRef]
- Min, Y.; Huang, S.; Wang, Y.; Zhang, Z.; Du, B.; Zhang, X.; Fan, Z. Sonochemical Transformation of EpoxyAmine Thermoset into Soluble and Reusable Polymers. Macromolecules 2015, 48, 316–322. [Google Scholar] [CrossRef]
- Dispinar, T.; Sanyal, R.; Sanyal, A. A Diels-Alder/Retro diels-alder strategy to synthesize polymers bearing maleimide side chains. J. Polym. Sci. Part A Polym. Chem. 2010, 45, 4545–4551. [Google Scholar] [CrossRef]
- Sun, H.; Kabb, C.P.; Dai, Y.; Hill, M.R.; Ghiviriga, I.; Bapat, A.P.; Sumerlin, B.S. Macromolecular metamorphosis via stimulus-induced transformations of polymer architecture. Nat. Chem. 2017, 9, 817–823. [Google Scholar] [CrossRef] [PubMed]
- Gandini, A.; Coelho, D.; Silvestre, A. Reversible click chemistry at the service of macromolecular materials. Part 1: Kinetics of the Diels-Alder reaction applied to furan-maleimide model compounds and linear polymerizations. Eur. Polym. J. 2008, 44, 4029–4036. [Google Scholar] [CrossRef]
- Thu, T.T.; Tran, N.H.; Ngoc, P.M.; Nguyen, L.T. Study of Diels-Alder reactions between furan and maleimide model compounds and the preparation of a healable thermo-reversible polyurethane. J. Polym. Sci. Part A Polym. Chem. 2018, 56, 1806–1814. [Google Scholar]
- Liu, X.; Du, P.; Liu, L.; Zheng, Z.; Wang, X.; Jonchery, T.; Zhang, Y. Kinetic study of Diels-Alder reaction involving in maleimide-furan compounds and linear polyurethane. Polym. Bulletin. 2013, 70, 2319–2335. [Google Scholar] [CrossRef]
- Polgar, L.M.; Kingma, A.; Roelfs, M.; Essen, M.V.; Duin, M.V.; Picchioni, F. Kinetics of cross-linking and de-cross-linking of EPM rubber with thermoreversible Diels-Alder chemistry. Eur. Polym. J. 2017, 90, 150–161. [Google Scholar] [CrossRef]
- Orozco, F.; Li, J.; Ezekiel, U.; Niyazov, Z.; Floyd, L.; Lima, G.M.R.; Winkelman, J.G.M.; Moreno-Villoslada, I.; Picchioni, F.; Bose, R.K. Diels-Alder-based thermo-reversibly crosslinked polymers: Interplay of crosslinking density, network mobility, kinetics and stereoisomerism. Eur. Polym. J. 2020, 135, 109882. [Google Scholar] [CrossRef]
- Goiti, E.; Heatley, F.; Huglin, M.B.; Rego, J.M. Kinetic aspects of the Diels-Alder reaction between poly(styreneco-furfuryl methacrylate) and bismaleimide. Eur. Polym. J. 2004, 40, 1451–1460. [Google Scholar] [CrossRef]
- Cuvellier, A.; Verhelle, R.; Brancart, J.; Vanderborght, B.; Assche, G.V.; Rahier, H. The influence of stereochemistry on the reactivity of the Diels-Alder cycloaddition and the implications for reversible network polymerization. Polym. Chem. 2019, 10, 473–485. [Google Scholar] [CrossRef]
- Wang, A.H.; Niu, H.; He, Z.K.; Li, Y. Thermoreversible cross-linking of ethylene/propylene copolymer rubbers. Polym. Chem. 2017, 8, 4494–4502. [Google Scholar] [CrossRef]
- Liu, S.H.; Liu, X.Y.; He, Z.K.; Liu, L.Y.; Niu, H. Thermoreversible cross-linking of ethylene/propylene copolymers based on Diels-Alder chemistry: The cross-linking reaction kinetics. Polym. Chem. 2020, 11, 5851–5860. [Google Scholar] [CrossRef]
- He, Z.K.; Niu, H.; Zheng, N.; Liu, S.H.; Li, Y. Poly(ethylenecopropylene)/poly(ethylene glycol) elastomeric hydrogels with thermoreversibly cross-linked networks. Polym. Chem. 2019, 10, 4789–4800. [Google Scholar] [CrossRef]
- Durand, P.L.; Grau, E.; Cramail, H. Bio-Based Thermo-Reversible Aliphatic Polycarbonate Network. Molecules 2020, 25, 74. [Google Scholar] [CrossRef]
- Orozco, F.; Niyazov, Z.; Garnier, T.; Migliore, N.; Zdvizhkov, A.T.; Raffa, P.; Moreno-Villoslada, I.; Picchioni, F.; Bose, R.K. Maleimide Self-Reaction in Furan/Maleimide-Based Reversibly Crosslinked Polyketones: Processing Limitation or Potential Advantage? Molecules 2021, 26, 2230. [Google Scholar] [CrossRef]
- Adzima, B.J.; Aguirre, H.A.; Kloxin, C.J.; Scott, T.F.; Bowman, C.N. Rheological and chemical analysis of reverse gelation in a covalently crosslinked Diels-Alder polymer network. Macromolecules 2008, 41, 9112–9117. [Google Scholar] [CrossRef] [PubMed]
- Liu, Y.L.; Hsieh, C.Y.; Chen, Y.W. Thermally reversible cross-linked polyamides and thermo-responsive gels by means of Diels-Alder reaction. Polymer 2006, 47, 2581–2586. [Google Scholar] [CrossRef]
- Kavitha, A.A.; Singha, N.K. “Click Chemistry” in Tailor-Made Polymethacrylates Bearing Reactive Furfuryl Functionality: A New Class of Self-Healing Polymeric Material. ACS Appl. Mater. Interfaces 2009, 1, 1427–1436. [Google Scholar] [CrossRef] [PubMed]
- Bose, R.K.; Kötteritzsch, J.; Garcia, S.J.; Hager, M.D.; Schubert, U.S.; Zwaag, S.V.D. A rheological and spectroscopic study on the kinetics of self-healing in a single-component Diels-Alder copolymer and its underlying chemical reaction. J. Polym. Sci. Part A Polym. Chem. 2014, 52, 1669–1675. [Google Scholar] [CrossRef]
- Gousse, C.; Gandini, A.; Hodge, P. Application of the Diels-Alder Reaction to Polymers Bearing Furan Moieties. 2. Diels-Alder and Retro-Diels-Alder Reactions Involving Furan Rings in Some Styrene Copolymers. Macromolecules 1998, 31, 314–321. [Google Scholar] [CrossRef]



















| Kinetic Order | Method | kapp (k1/min−1, k2/min−1·mol−1·L, k3/min−1·mol−2·L2) | k0, D–A /min−1·mol1−n·Ln−1 | Ea, D–A /kJ mol−1 | ||||
|---|---|---|---|---|---|---|---|---|
| 40 °C | 50 °C | 60 °C | 70 °C | 80 °C | ||||
| n = 1 | FTIR | 5.44 × 10−4 (R2 = 0.918) | 8.02 × 10−4 (R2 = 0.983) | 1.13 × 10−3 (R2 = 0.981) | 3.08 × 10−3 (R2 = 0.971) | 2.50 × 10−3 (R2 = 0.990) | 7.62 × 104 | 49.17 (R2 = 0.915) | 
| 1H-NMR | 5.21 × 10−4 (R2 = 0.995) | 7.70 × 10−4 (R2 = 0.994) | 1.41 × 10−3 (R2 = 0.995) | 2.86 × 10−3 (R2 = 0.996) | 2.20 × 10−3 (R2 = 0.994) | 1.43 × 105 | 50.84 (R2 = 0.977) | |
| n = 2 | FTIR | 5.50 × 10−4 (R2 = 0.918) | 8.20 × 10−4 (R2 = 0.984) | 1.18 × 10−3 (R2 = 0.982) | 3.38 × 10−3 (R2 = 0.976) | 2.73 × 10−3 (R2 = 0.992) | 1.89 × 105 | 51.54 (R2 = 0.914) | 
| 1H-NMR | 5.38 × 10−4 (R2 = 0.995) | 8.05 × 10−4 (R2 = 0.994) | 1.54 × 10−3 (R2 = 0.995) | 3.45 × 10−3 (R2 = 0.998) | 2.53 × 10−3 (R2 = 0.995) | 8.16 × 105 | 55.35 (R2 = 0.971) | |
| n = 3 | FTIR | 1.11 × 10−3 (R2 = 0.919) | 1.68 × 10−3 (R2 = 0.985) | 2.45 × 10−3 (R2 = 0.983) | 7.43 × 10−3 (R2 = 0.981) | 5.97 × 10−3 (R2 = 0.992) | 9.46 × 105 | 53.92 (R2 = 0.911) | 
| 1H-NMR | 1.11 × 10−3 (R2 = 0.994) | 1.69 × 10−3 (R2 = 0.994) | 3.35 × 10−3 (R2 = 0.993) | 8.37 × 10−3 (R2 = 0.995) | 5.82 × 10−3 (R2 = 0.992) | 9.67 × 106 | 59.96 (R2 = 0.964) | |
| Kinetic Order | Method | kapp (k1/min−1, k2/min−1·mol−1·L, k3/min−1·mol−2·L2) | k0, D–A /min−1·mol1−n·Ln−1 | Ea, D–A /kJ mol−1 | ||||
|---|---|---|---|---|---|---|---|---|
| 40 °C | 50 °C | 60 °C | 70 °C | 80 °C | ||||
| n = 1 | FTIR | 3.01 × 10−3 (R2 = 0.989) | 4.01 × 10−3 (R2 = 0.994) | 1.00 × 10−2 (R2 = 0.993) | 2.16 × 10−2 (R2 = 0.991) | 9.64 × 10−3 (R2 = 0.989) | 3.35 × 107 | 60.68 (R2 = 0.954) | 
| 1H-NMR | 2.65 × 10−4 0.987 | 4.60 × 10−4 0.995 | 8.00 × 10−4 0.993 | 9.78 × 10−4 0.990 | 8.66 × 10−4 0.996 | 1.37 × 103 | 40.11 (R2 = 0.973) | |
| n = 2 | FTIR | 3.32 × 10−3 (R2 = 0.987) | 4.59 × 10−3 (R2 = 0.993) | 1.42 × 10−2 (R2 = 0.996) | 3.09 × 10−2 (R2 = 0.979) | 1.31 × 10−2 (R2 = 0.971) | 1.11 × 109 | 69.59 (R2 = 0.955) | 
| 1H-NMR | 2.69 × 10−4 (R2 = 0.988) | 4.73 × 10−4 (R2 = 0.996) | 8.39 × 10−4 (R2 = 0.993) | 1.04 × 10−3 (R2 = 0.991) | 9.13 × 10−4 (R2 = 0.997) | 2.40 × 103 | 41.53 (R2 = 0.975) | |
| n = 3 | FTIR | 7.35 × 10−3 (R2 = 0.983) | 1.05 × 10−2 (R2 = 0.989) | 4.08 × 10−2 (R2 = 0.984) | 9.07 × 10−2 (R2 = 0.949) | 3.61 × 10−2 (R2 = 0.939) | 9.62 × 1010 | 79.18 (R2 = 0.952) | 
| 1H-NMR | 5.47×10−4 (R2 = 0.988) | 9.73×10−4 (R2 = 0.996) | 1.76×10−3 (R2 = 0.991) | 2.23×10−3 (R2 = 0.991) | 1.93×10−3 (R2 = 0.996) | 8.95×103 | 43.12 (R2 = 0.978) | |
| Disclaimer/Publisher’s Note: The statements, opinions and data contained in all publications are solely those of the individual author(s) and contributor(s) and not of MDPI and/or the editor(s). MDPI and/or the editor(s) disclaim responsibility for any injury to people or property resulting from any ideas, methods, instructions or products referred to in the content. | 
© 2024 by the authors. Licensee MDPI, Basel, Switzerland. This article is an open access article distributed under the terms and conditions of the Creative Commons Attribution (CC BY) license (https://creativecommons.org/licenses/by/4.0/).
Share and Cite
Wang, T.; Gao, D.; Yin, H.; Zhao, J.; Wang, X.; Niu, H. Kinetic Study of the Diels–Alder Reaction between Maleimide and Furan-Containing Polystyrene Using Infrared Spectroscopy. Polymers 2024, 16, 441. https://doi.org/10.3390/polym16030441
Wang T, Gao D, Yin H, Zhao J, Wang X, Niu H. Kinetic Study of the Diels–Alder Reaction between Maleimide and Furan-Containing Polystyrene Using Infrared Spectroscopy. Polymers. 2024; 16(3):441. https://doi.org/10.3390/polym16030441
Chicago/Turabian StyleWang, Tongtong, Dali Gao, Hua Yin, Jiawei Zhao, Xingguo Wang, and Hui Niu. 2024. "Kinetic Study of the Diels–Alder Reaction between Maleimide and Furan-Containing Polystyrene Using Infrared Spectroscopy" Polymers 16, no. 3: 441. https://doi.org/10.3390/polym16030441
APA StyleWang, T., Gao, D., Yin, H., Zhao, J., Wang, X., & Niu, H. (2024). Kinetic Study of the Diels–Alder Reaction between Maleimide and Furan-Containing Polystyrene Using Infrared Spectroscopy. Polymers, 16(3), 441. https://doi.org/10.3390/polym16030441
 
        


 
       