Abstract
This review provides a current status report of the various n-type polymer acceptors for use as active materials in organic photovoltaic cells (OPVs). The polymer acceptors are divided into four categories. The first section of this review focuses on rylene diimide-based polymers, including perylene diimide, naphthalene diimide, and dithienocoronene diimide-based polymers. The high electron mobility and good stability of rylene diimides make them suitable for use as polymer acceptors in OPVs. The second section deals with fluorene and benzothiadiazole-based polymers such as poly(9,9’-dioctylfluorene-co-benzothiadiazole), and the ensuing section focuses on the cyano-substituted polymer acceptors. Cyano-poly(phenylenevinylene) and poly(3-cyano-4-hexylthiophene) have been used as acceptors in OPVs and exhibit high electron affinity arising from the electron-withdrawing cyano groups in the vinylene group of poly(phenylenevinylene) or the thiophene ring of polythiophene. Lastly, a number of other electron-deficient groups such as thiazole, diketopyrrolopyrrole, and oxadiazole have also been introduced onto polymer backbones to induce n-type characteristics in the polymer. Since the first report on all-polymer solar cells in 1995, the best power conversion efficiency obtained with these devices to date has been 3.45%. The overall trend in the development of n-type polymer acceptors is presented in this review.
1. Introduction
The thrust towards energy conservation has fuelled intensive research into the development of alternative energy sources. Solar energy offers the advantages of being renewable and clean, thus making solar cells attractive as a prospective alternative energy source. Photovoltaic (PV) cells based on inorganic materials are currently the main commercially used devices because of their relatively high efficiencies (e.g., 15%–20% for silicon-based PVs); nevertheless, these devices are limited by the high fabrication cost and related environmental issues [1,2,3,4]. Consequently, organic photovoltaic cells (OPVs) which offer the advantages of relatively low fabrication cost, easy processing, and flexibility, have gained focus despite their relatively low efficiencies [5]. The development of OPVs has progressed rapidly with the synthesis of new organic materials, control of processing condition such as annealing and the use of additive [6], as well as the introduction of various device structures such as the tandem and inverted structure [7,8,9]. In addition, control of morphology of active layers [10] and the development of purification by removing residual catalysts in conjugated polymers [11] have also been considered as important issues to achieve consistent, high-performance OPVs. Currently, the highest power conversion efficiency (PCE) of 12% has been announced by Heliatek [12]. Despite the relatively low PCEs of OPVs compared to those of inorganic-based solar cells, the development of OPVs is nevertheless rapid based on the anticipation that the numerous advantages can outweigh the low PCE of OPVs.
OPVs comprise an active layer consisting of organic materials that is sandwiched between two electrodes with different work functions (e.g., indium tin oxide (ITO) and Al as anode and cathode, respectively), and interfacial (hole/electron transporting) layers can be added between both electrodes and the active layer. The active layers in OPVs are normally composed of two electron donor (D) and electron acceptor (A) materials for the generation of the Coulomb-bound electron-hole pair (exciton) by photoexcitation of the donor. The diffused excitons are separated into charges of electrons and holes on the D–A surface, followed by free charge transportation and collection at electrodes. The appropriate highest occupied molecular orbital (HOMO), lowest unoccupied molecular orbital (LUMO) energy level of the donors and acceptors, and low band-gap are known to be important for high OPV performance, as well as good film-forming properties, strong absorption ability, and high charge mobility. OPV cells have been fabricated in bi-layer and bulk-heterojuncton (BHJ) solar cells according to the configuration of the active layer. Bi-layer OPVs containing separate donor and acceptor layers were first reported by Tang in 1986 [13]; their performance is known to be limited by the small charge-generating interfacial area between the donor and acceptor layers [14,15]. The BHJ solar cells, developed by Yu and Heeger et al., can be fabricated by simple spin-coating of a blended solution of donor and acceptor, and have an interpenetrating network with a large D–A interfacial area [16]. BHJ solar cells have been extensively used in the fabrication of high efficiency OPVs, and various processing techniques have been developed to achieve good film morphology of the BHJ solar cells, such as thermal annealing and the use of small amounts of additives [17].
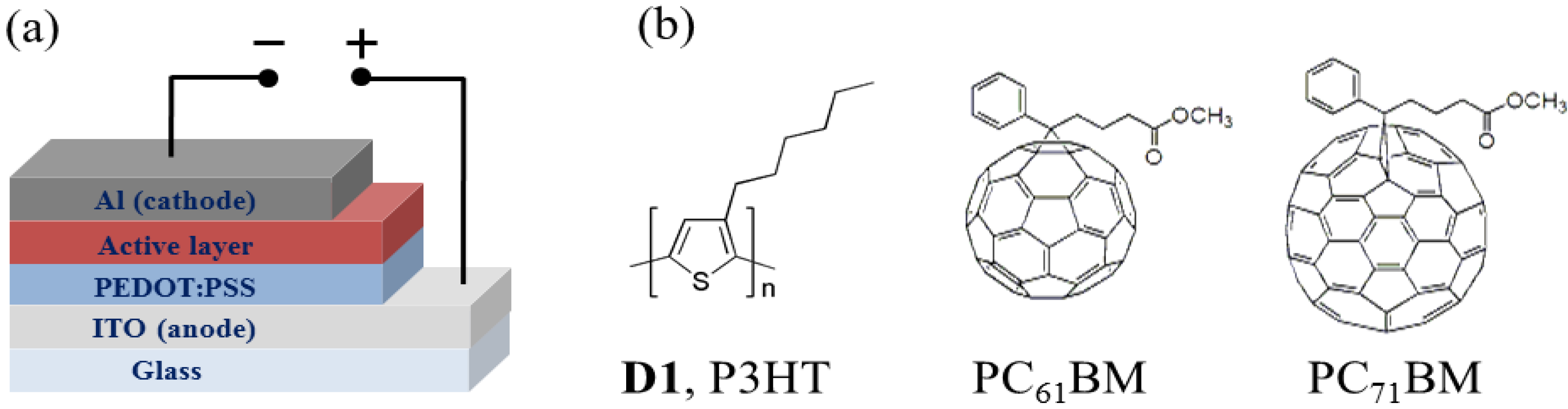
The material system comprising poly(3-hexylthiophene) (P3HT, D1) and [6,6]-phenyl-C61 butyric acid methylester (PC61BM) as respective electron donor and acceptor is archetypal of the active layer in OPVs (Figure 1). In recent decades, various polymeric and small-molecule electron donor and acceptor materials have been synthesized and developed to achieve high-efficiency OPV cells, with specific focus on the development of polymer donors with an extended conjugated system for solution-processable OPVs. At the present stage, high PCEs of up to 9.2% have been achieved by using the polymeric donor thieno[3,4-b]thiophene/benzodithiophene (PTB7) with an inverted device structure [18]. The development of donor materials for OPVs has mainly focused on the syntheses of low-band-gap conjugated materials composed of electron-rich and electron-deficient repeating units (e.g., D–A type) for efficient absorption of the solar spectrum. Based on this synthetic design rule, a number of low-band-gap conjugated polymers (optical energy band-gap, Eg <1.8 eV) have been synthesized and employed as donors in polymer photovoltaic cells. Most building blocks for electron-rich units are based on thiophene and/or phenylene in the fused form or with bridging atoms for increased planarity of the polymer backbone and consequently enhanced short circuit current (JSC) and PCE [19]. Examples of electron-rich units include cyclopenta[2,1-b:3,4-b′]dithiophene (CPDT) [20], dithieno[3,2-b:2′,3′-d]silole [21] and 5H-dithieno[3,2-b:2′,3′-d]pyran (DTP) [22]. Various electron-deficient units have been copolymerized, and examples of building blocks for electron-deficient units are presented below. The development of high efficiency small-molecule donors has been the focus in more recent studies, and a high PCE of 8.12% has been achieved using D–A type oligothiophenes with strong electron-withdrawing dye units at both ends [23]. To enhance the PCE, various polymeric and small-molecule donors have also been synthesized and developed.
Figure 1.
(a) Representative device configuration of organic photovoltaic cells (OPVs) and (b) molecular structures of P3HT (D1), PC61BM, and PC71BM.
Figure 1.
(a) Representative device configuration of organic photovoltaic cells (OPVs) and (b) molecular structures of P3HT (D1), PC61BM, and PC71BM.

On the other hand, fullerene derivatives such as PC61BM and PC71BM have been widely used as representative acceptor materials for obtaining high PCEs in OPVs because of their good electron mobility as n-type materials, adequate band-gaps, and good interaction with donor materials in OPVs. Recently, non-fullerene small-molecule acceptor materials based on strong electron-withdrawing units, which exhibited high electron mobility in organic field-effect transistor (OFET) applications, have also been reported and are discussed in other review papers [24,25,26,27]. Examples include rylene imide, metallophthalocyanins, vinazene, and diketopyrrolopyrrole (DPP) units. PCEs of 3.45% [28] and 4.03% [29] have respectively been achieved for OPV devices employing polymer acceptors and small-molecule acceptors. Despite their relatively low efficiencies, the polymer acceptors have some unique advantages such as high absorption coefficients in the visible spectral region and easily tunable energy levels, compared to fullerenes and non-fullerene small-molecule acceptors [30]. Furthermore, the concept of conjugated block copolymers (BCPs) has been recently introduced to combine a donor and acceptor block into a single macromolecular platform and emerged as a promising class of materials for OPVs [31,32,33,34]. A large scale macroscopic phase separation is impeded in the BCP due to the covalent connectivity of the two blocks and the self-assembly of BCPs into mesoscale (5−500 nm) well-ordered morphologies is ideal for the active layer of OPVs [35,36,37]. The performance of up to 3.1% was achieved at the present stage [38].
Herein, we focus on various polymer acceptors for all-polymer solar cells, which have been rarely reported compared to small-molecule acceptors. The polymer acceptors are categorized into four classes on the basis of their structures, i.e., rylene diimide-based polymers, fluorene- and benzothiadiazole (BT)-based polymers, cyano (CN)-substituted polymers, and other polymer acceptors containing various electron-withdrawing units.
2. Rylene Diimide-Based Polymer Acceptors
In addition to their good thermal, chemical, and photochemical stability, rylene diimide-based polymers also exhibit high electron affinity and good electron mobility derived from the electron accepting imide groups, thus making the polymers suitable for use in various electronic fields [24,39,40]. In this section, we summarize the rylene diimide-based polymers used as acceptors in OPVs. These include perylene diimide (PDI)-, naphthalene diimide (NDI)-, and dithienocoronene diimide (DTCDI)-based polymer acceptors.
2.1. PDI-Based Polymer Acceptors
The electron-withdrawing PDI cores can be substituted in the bay or imide position when copolymerized with various electron-rich units such as dithienothiophene (DTT) and DTP to form electron-accepting polymers [26]. PDI-based polymers substituted in the bay position may exhibit good solubility because of the long branched alkyl chain on the imide N-atom. Imide-substitution results in polymers containing the PDI unit in the backbone or in polymers with pendant PDIs. The photophysical properties and device performance parameters of PDI-based polymer acceptors (1–12) are summarized in Table 1.
Marder and co-workers first developed polymer acceptors having the bay-substituted PDI unit. Good solubility was achieved by introducing long and/or branched alkyl chains onto the imide N-atom. In 2007, they synthesized a new conjugated polymer (PPDI-DTT, 1, Figure 2) with alternating DTT and PDI units that exhibited high electron mobility of 1.3 × 10−2 cm2 V−1 s−1, excellent thermal stability (up to 410 °C), and high electron affinity, with a LUMO energy level of –3.9 eV. The weight average-molecular weight (Mw) of 1 was 15,000 with a narrow polydispersity index of 1.5 [41]. All-polymer solar cells were fabricated by using polymer acceptor 1 and a polymer donor of polythiophene derivative (D2, Figure 3). The BHJ device exhibited an average PCE of 1% with an open circuit voltage (VOC) of 0.63 V, a JSC of 4.2 mA/cm2, and a fill factor (FF) of 0.39 under white-light illumination (AM 1.5 solar simulator, 100 mW/cm2). Subsequently, they modified the polymer structures by adding more DTT moieties in the polymer backbones, resulting in the polymer acceptors 2 and 3 (Figure 2) in which the PDI cores were bay substituted with two and three DTT units, respectively [42,43]. The highest PCE was achieved with the polymer acceptor 2 having two DTT units in the polymer repeating unit when using D3 (Figure 3) as a donor, mainly because of the high JSC. The devices were optimized at a blend ratio of 3:1 (D:A, w/w) and exhibited a VOC of 0.69 V, a JSC of 5.02 mA/cm2, a FF of 0.43, and a PCE of 1.48% under simulated AM 1.5 illumination at 100 mW/cm2.
Recently, Zheng and co-workers introduced longer alkyl side chain into the polymer acceptor 1, resulting in the polymer 4 (Figure 2). They fabricated BHJ solar cells with two different donors based on conjugated side-chain isolated polythiophene derivatives (PT4TV (D4) and PT4TV-C (D5), Figure 3) [44]. Despite the structural similarity of the donors, D4 produced a better PCE of 0.99% than achieved with D5 (0.57%). The higher PCE of D4 was mainly attributed to the good FF (above 0.50) which was attributed to the high and balanced hole/electron mobility of the D4:4 blend with rapid transfer of the generated carriers. After adding 10% of chloronaphthalene as a solvent, the PCE of D4:4 was enhanced from 0.99% to 1.17%.
More recently, Cheng and co-workers fabricated devices with 1 and PBDTTT-C-T (D6) and showed the highest PCE of 3.45% using binary additives which is the best PCE achieved with all-polymer solar cells to date [28]. The nonvolatile additive enhanced miscibility of donor and acceptor suppressing aggregation of 1, and the other additive, 1,8-diiodooctane, increased aggregation and crystallization of D6 resulting in suitable phase separation and balanced charge transport.
Hasimoto and coworkers synthesized several PDI-based electron acceptors including variousco-monomer units of DTP (PDTP-PDI, 5), carbazole (PC-PDI, 6), vinylene, thiophene, fluorene, and dibenzosilole as replacements for the DTT unit in polymer 1 (Figure 2) [45,46]. Devices were fabricated with various donors of polythiophene derivative D7, DPP-based low band-gap polymer D8 (Figure 3), and D1 for comparison. The device performance varied in the range of 0.11%–1.15% based on the moieties juxtaposed to the perylene unit. For example, the BHJ solar cell fabricated with 5:D7 exhibited a PCE of 0.93% under AM 1.5 (100 mW/cm2) illumination, which was higher than achieved with the 5:D1 cells (0.17%). The decreased efficiency obtained with D1 was attributed to the lower JSC due to the rough surface and coarse phase separation morphology related to the poor miscibility of D1 and the PDI-based acceptors. Among the six acceptors, 6 produced the highest PCE of 1.15% with donor D7, using chlorobenzene solvent in the active layer. By changing the solvent to toluene/chloroform, the PCE achieved with D7:6 was improved to 2.23%.
Imide-substituted PDI-based polymers were initially developed by Janssen and co-workers for OPV in 2003 [47]. They synthesized two alternating polymers (7 and 8, Figure 2) consisting of oligo(p-phenylene vinylene) and PDI segments connected via saturated spacers of the flexible unconjugated alkyl or phenyl groups, thus forming a new class of donor-acceptor polymers. Devices with ITO/PEDOT:PSS/7 or 8/LiF/Al configuration exhibited high VOC values (1.20 V and 0.97 V, respectively), whereas the JSC values were extremely low because of fast geminate recombination.
Later, Sharma and co-workers synthesized the alternating phenylenevinylene and PDI copolymer 9 (Figure 2) via Heck coupling for use as an acceptor in BHJ solar cells [48]. Copolymer 9 exhibited broad absorption extending up to about 800 nm with a maximum peak at ca. 500 nm and an optical band gap of 1.66 eV. The solubility of 9 increased upon the introduction of tert-butyl and hexyloxy side groups with respective glass transition (Tg) and decomposition temperatures (Td) of 72 and 370 °C. A PCE of 1.67% was obtained by blending acceptor 9 and a poly(3-phenyl hydrazone thiophene) (PPHT, D9, Figure 3) donor. After annealing, the enhanced PCE (2.32%) was evidenced by an increase in the efficiency of separation of the exciton; this PCE is one of the highest reported values achieved with imide-substituted PDI-based polymer acceptors.
Table 1.
Perylene diimide (PDI)-based polymer acceptors a.
| Acceptor [Ref] | Mn Mw | Mobility, μe [cm2V−1s−1] | HOMO/LUMO (Eg [eV]) | VOC [V] | JSC [mA/cm2] | FF | PCE [%] | |
|---|---|---|---|---|---|---|---|---|
| 1 | [41] | 10,000 15,000 | 1.3 × 10−2 b | −5.9/−3.9 (2.0) | 0.63 | 4.2 | 0.39 | 1 |
| (ITO/PEDOT:PSS/D2:1(1:1)/Al) | ||||||||
| [28] | – | 3.37 × 10−5 c | −5.9/−3.9 (2.0) | 0.75 | 8.55 | 0.52 | 3.45 | |
| (ITO/PEDOT:PSS/D6:1(1:1)/Ca/Al) | ||||||||
| 2 | [42] | 20,000 43,000 | – | −5.7/−3.8 (1.9) | 0.69 | 5.02 | 0.43 | 1.48 |
| (ITO/PEDOT:PSS/D3:2(3:1)/Ca/Al) | ||||||||
| 3 | [43] | 15,000 27,000 | – | −5.4/−4.0 (1.4) | 0.69 | 2.80 | 0.40 | 0.77 |
| (ITO/PEDOT:PSS/D3:3(1:1)/Ca/Al) | ||||||||
| 4 | [44] | – | – | −5.7/−3.8 (1.9) | 0.67 | 3.24 | 0.51 | 1.17 |
| (ITO/PEDOT:PSS/D4:4(2:1)/Ca/Al) | ||||||||
| 0.75 | 1.60 | 0.45 | 0.57 | |||||
| (ITO/PEDOT:PSS/D5:4(3:1)/Ca/Al) | ||||||||
| 5 | [45] | 6,300 8,500 | – | −5.49/−3.83 (1.66) | 0.66 | 3.05 | 0.46 | 0.93 |
| (ITO/PEDOT:PSS/D7:5(2:1)/Ca/Al) | ||||||||
| 0.42 | 1.86 | 0.53 | 0.41 | |||||
| (ITO/PEDOT:PSS/D8:5(1:1)/Ca/Al) | ||||||||
| [46] | 6,300 8,500 | 2.3 × 10−4 b | −5.49/−3.83 (1.67) | 0.46 | 0.76 | 0.50 | 0.17 | |
| (ITO/PEDOT:PSS/D1:5(2:1)/Ca/Al) | ||||||||
| 6 | [46] | 12,100 19,600 | 1.7 × 10−4 b | −5.83/−3.66 (2.17) | 0.70 | 6.35 | 0.50 | 2.23 |
| (ITO/PEDOT:PSS/D7:6(2:1)/Ca/Al) | ||||||||
| 0.58 | 0.91 | 0.55 | 0.29 | |||||
| (ITO/PEDOT:PSS/D1:6(2:1)/Ca/Al) | ||||||||
| 9 | [48] | 7,800 19,000 | 8.5 × 10−3 c | −5.75/−3.95 (1.76) | 0.6 | 2.98 | 0.39 | 2.32 |
| (ITO/D9:9(1:1)/Al) e | ||||||||
| 10 | [49] | 6,000 – | 5 × 10−4 d | – | 0.33 | 0.60 | 0.46 | 0.1 |
| (ITO/PEDOT:PSS/D1:10(2:1)/Al) | ||||||||
| 11 | [35] | 13,600 – | – | – | 0.51 | 2.57 | 0.37 | 0.49 |
| (ITO/PEDOT:PSS/11/LiF/Al) | ||||||||
| 12 | [36] | 29,500 33,900 | – | – (1.93) | 0.44 | 1.5 | 0.25 | 0.2 |
| (ITO/PEDOT:PSS/12/LiF/Al) | ||||||||
Notes: a Measured at AM 1.5G 100mW/cm2 unless indicated; By b OFET, c space charge limited current (SCLC), and d the time-of-flight (TOF) measurements; e Measured at 30 mW/cm2
Figure 2.
Molecular structures of perylene diimide (PDI)-based polymer acceptors (1–12).
Figure 2.
Molecular structures of perylene diimide (PDI)-based polymer acceptors (1–12).

Figure 3.
Molecular structures of polymer donors (D2–D9).
Figure 3.
Molecular structures of polymer donors (D2–D9).

In 2011, Liang also reported an imide-substituted PDI-based polymer 10 (Figure 2) having a poly(ethylene glycol) spacer [49]. The flexible spacer resulted in increased solubility, promoting π-π interactions between the perylene cores. However, a low PCE of 0.1% was obtained because of the large-scale phase-separation of 10 and D1 with a VOC of 0.33 V, a JSC of 0.6 mA/cm2, and a FF of 0.46.
Another approach in the development of imide-substituted PDI-based polymers involves the attachment of PDI to a polymeric scaffold. Zhang and Sommer reported achieving PCEs of 0.49% and 0.20% with acceptors 11 and 12, respectively, in single component devices using the BCPs containing PDI moieties as side chains (Figure 2) [35,36].
2.2. NDI-Based Polymer Acceptors
In the initial studies, NDI-based small molecules were reported to show relatively poor features as acceptors in OPVs compared to the PDI-based counterparts, attributed to the small fused-ring unit, large band-gap, and minor absorption of the former in the visible region [24]. In later studies, polymerization of NDI units was employed to increase the conjugation length and enhance the PCE [40]. The photophysical properties and device performance parameters of NDI-based polymer acceptors (13–24) are summarized in Table 2.
The first NDI-based polymer was a ladder-type poly(benzimidazobenzophenanthroline ladder) (BBL, 13, Figure 4) synthesized via a one-step condensation of naphthalene tetracarboxylic acid and tetra-aminobenzene in polyphosphoric acid by Jenekhe et al [14]. The spin-coated bi-layer BHJ cells were fabricated with a poly(phenylenevinylene) (PPV, D10, Figure 5) donor using the ITO/D10/13/Al device configuration. The estimated PCE value of 0.7% was obtained using 10 mW/cm2 illumination. After annealing at 100 °C, the PCE increased up to 1.5% [50].
Table 2.
Naphthalene diimide (NDI)- and dithienocoronene diimide (DTCDI)-based polymer acceptors a.
| Acceptor [Ref] | Mn Mw | Mobility, μe [cm2V−1s−1] b | HOMO/LUMO (Eg [eV]) | VOC [V] | JSC [mA/cm2] | FF | PCE [%] | |
|---|---|---|---|---|---|---|---|---|
| 13 | [14] | – | – | – | 1.2 | 1.2 | 0.43 | 0.7 |
| (ITO/D10(50nm)/13(50nm)/Al) | ||||||||
| [50] | – | – | – | 1.10 | 2.15 | 0.50 | 1.5 | |
| (ITO/D10(60nm)/13(60nm)/Al) c | ||||||||
| 14 | [51] | 50,000250,000 | ~5 × 10−3 | −5.6/−4.0(1.6) | 0.48 | 2.39 | 0.54 | 0.62 |
| (ITO/PEDOT:PSS/D1:14(1:2)/LiF/Al) | ||||||||
| [52] | – | 0.8 | −5.45/−4(1.45) | 0.52 | 1.41 | 0.29 | 0.21 | |
| (ITO/PEDOT:PSS/D1:14(1:1)/Al) | ||||||||
| [53] | 26,20085,200 | 0.85 | −5.8/−4.35(1.45) | 0.56 | 3.77 | 0.65 | 1.4 | |
| (ITO/PEDOT:PSS/D1:14(4:3)/Sm/Al) | ||||||||
| 15 | [53] | 36,60059,300 | – | −5.35/−4.15(1.2) | 0.63 | 2.43 | 0.70 | 1.1 |
| (ITO/PEDOT:PSS/D1:14(4:3)/Sm/Al) | ||||||||
| 16 | [54] | 22,20040,300 | 0.07 | −5.95/−4.55(1.4) | 0.53 | 3.79 | 0.44 | 0.9 |
| (ITO/PEDOT:PSS/D1:16(1:3)/LiF/Al) | ||||||||
| 17 | [55] | 23,90031,500 | 2 × 10−4 | −5.77/−4.0(1.77) | 0.61 | 3.80 | 0.56 | 1.30 |
| (ITO/ZnO/D11:17(1:1)/MoO3/Ag) | ||||||||
| 18 | [55] | 26,10031,600 | 2 × 10−3 | −5.70/−4.0(1.70) | 0.75 | 6.53 | 0.60 | 2.96 |
| (ITO/ZnO/D11:18(1:1)/MoO3/Ag) | ||||||||
| 19 | [55] | 79,000177,900 | 7 × 10−3 | −5.65/−4.0(1.65) | 0.76 | 7.78 | 0.55 | 3.26 |
| (ITO/ZnO/D11:19(1:1)/ MoO3/Ag) | ||||||||
| 20 | [37] | 26,00041,600 | – | −5.60/−4.22(1.38) | 0.56 | 4.57 | 0.50 | 1.28 |
| (ITO/PEDOT:PSS/D1:20(1:1)/Ca/Al) | ||||||||
| 21 | [56] | 62,500206,300 | 7.0 × 10−3 | −5.45/−3.88(1.57) | 0.51 | 0.46 | 0.39 | 0.11 |
| (ITO/PEDOT:PSS/ D1:21(1:1)/Al) | ||||||||
| 22 | [56] | 21,30061,800 | 4.8 × 10−3 | −5.31/−3.91(1.40) | 0.48 | 0.19 | 0.48 | 0.045 |
| (ITO/PEDOT:PSS/ D1:22(1:1)/Al) | ||||||||
| 23 | [56] | 92,400332,600 | 1.2 × 10−2 | −5.29/−3.92(1.37) | 0.47 | 0.57 | 0.55 | 0.13 |
| (ITO/PEDOT:PSS/ D1:23(1:1)/Al) | ||||||||
| 24 | [57] | 18,70033,600 | 2.15 × 10−6 | −5.98/−3.77(2.21) | 0.82 | 1.09 | 0.36 | 0.32 |
| (ITO/PEDOT:PSS/ D1:24(1:1)/Al) | ||||||||
| 25 | [39] | 9,80016,500 | – | −5.70/−3.51(2.19) | 0.92 | 2.14 | 0.43 | 0.84 |
| (ITO/PEDOT:PSS/D12:25(1:1)/Ca/Al) | ||||||||
Notes: a Measured at AM 1.5G 100mW/cm2 unless indicated; b By OFET measurement; c Measured at 80 mW/cm2
Figure 4.
Molecular structures of naphthalene diimide (NDI)-based polymer acceptors (13–25).
Figure 4.
Molecular structures of naphthalene diimide (NDI)-based polymer acceptors (13–25).

Figure 5.
Molecular structures of polymer donors (D10–D12).
Figure 5.
Molecular structures of polymer donors (D10–D12).

In 2011, Loi and co-workers presented all-polymer BHJ solar cells composed of the NDI-based polymer acceptor, P(NDI2OD-T2) (14, Figure 4) and a polymer donor, D1. A PCE of 0.16% was achieved using chlorobenzene and o-dichlorobenzene [51]. Polymer 14 was synthesized via the Stille coupling reaction between N,N’-dialkyl-2,6-dibromonaphthalene-1,4,5,8-bis(dicarboximide) and 5,5’-bis(trimethylstannyl)-2,2’-dithiophene. The narrow band-gap of 14 (ca. 1.6 eV) resulted in UV absorption up to 850 nm, thus the absorption was complementary to the visible spectral range in the case of the blend film. A FF value of 0.67 was obtained for these devices, suggesting compatible charge transfer and free carrier generation in the interface of the D1:14 blend. Despite the excellent charge transport, the devices employing chlorobenzene or o-dichlorobenzene as a solvent exhibited low JSC values. Blending the donor and acceptor using xylene as a solvent resulted in a PCE of 0.62% that was attributed to improved phase separation of D1:14, resulting in a two-fold increase of the JSC. Sirringhaus and co-workers also used 14 as an electron acceptor [52]. Despite the high electron mobility (0.8 cm2 V−1s−1), near-infrared absorption band, and compatible energy levels of 14, the PCE of BHJ solar cells fabricated with 14 and D1 using chloroform as a solvent was only 0.21%. This low efficiency was explained in terms of the coarse phase separation of the D1:14 blends with domains in the range of 0.2 to 1 micrometer and the rapid, initial geminate recombination of the charge population within 200 ps of excitation. In 2012, an improved PCE of 1.4% was reported by Neher et al. using the same donor and acceptor materials by changing the solvent to p-xylene and chloronaphthalene [53]. The enhanced PCE was mainly attributed to the large increase of the JSC with the use of a proper solvent (p-xylene:chloronaphthalene = 50:50). They also synthesized another NDI-based polymer acceptor, P(NDI-TCPDTT) (15, Figure 4), having an additional CPDT moiety. A PCE of 1.1% and a FF of up to 0.70 were obtained in D1:15 cells using tetralin as a solvent, which produced a higher JSC than other solvents such as chloroform, p-xylene, and a blend of p-xylene and chloronaphthalene.
Jenekhe et al. introduced selenophene into polymer 14 instead of thiophene as a structural modification. The newly synthesized crystalline copolymer acceptor (PNDIBS, 16, Figure 4) exhibited high electron mobility (0.07 cm2 V−1 s−1) and a broad visible-near infrared absorption band with an optical band gap of 1.4 eV [54]. All-polymer BHJ solar cells comprised of 16 as an acceptor and D1 as a donor showed a PCE of 0.9%. Later, they also developed three other acceptors; PNDIT (17), PNDIS (18), and PNDIS-HD (19, Figure 4) which have one thiophene or selenophene next to the NDI unit in the repeating unit [55]. The three acceptors were blended with a thiazolothiazole copolymer donor (PSEHTT, D11, Figure 5). The NDI-thiophene-based polymer 17 produced a lower PCE (1.3%) than the NDI-selenophene-based congeners, 18 (2.96%) and 19 (3.26%). The high PCE of 19 was explained in terms of the lamellar crystalline morphology, which makes it a good alternative to PC60BM.
Nakabayashi and co-workers reported the fully conjugated D–A BCPs composed of poly(naphthalene bisimide) (PNBI)-based electron-accepting and regioregular P3HT-based electron-donating segments P3HT-PNBI-P3HT (20, Figure 4) [37]. The BCPs were synthesized using quasi-living Grignard metathesis polymerization and the Yamamoto coupling reaction and had molecular weights in the range of 21,800–26,000. The polymer acceptors showed a broad absorption in the range of 350–850 nm and had an optical band gap of 1.46 eV. Furthermore, thermal annealing extended the light absorption band to 893 nm, which helped to decrease the optical band gap to 1.38 eV. The D1:20 device achieved a PCE of 1.28% with a VOC of 0.56 V, a JSC of 4.57 mA/cm2, and a FF of 0.50. The absorption of a blend film with a 1:1 (D:A, w/w) blend ratio also exhibited broad absorption up to 950 nm.
Luscombe and co-workers copolymerized fused thiophenes (as electron-rich co-monomer units) with electron-withdrawing NDIs. The copolymers differed in terms of the number of thiophene rings in the fused thiophene systems, resulting in PNDI-2fTh (21), PNDI-3fTh (22), and PNDI-4fTh (23, Figure 4) [56]. The device fabricated with D1:23 showed the highest PCE of 0.13%, which was associated with the highest JSC (0.57 mA/cm2) and FF (0.55) among the evaluated polymers. The values of the charge mobility were enhanced by increasing the number of fused thiophene moieties within the NDI-copolymers, resulting in the increased JSC.
Recently, Zheng et al. designed three angular-shaped naphthalene tetracarboxylic diimide polymers 24 (m = 1–3, Figure 4) as acceptors using the Stille coupling reactions [57]. The best PCE of up to 0.32% was achieved with polymer 24 (m = 1) and D1 donor in BHJ solar cells. The angular-shaped NDI-containing polymers were characterized by a higher VOC (up to 0.94 V) than the linear-shaped NDI-containing polymers (<0.6 V) because of the relatively high-lying LUMO levels.
2.3. DTCDI-Based Polymer Acceptors
Recently, Zhan and co-workers introduced three conjugated polymer acceptors (25, Figure 4) based on DTCDI with thiophene numbers ranging from 0–2 [39]. The size of the 25 core is larger than that of the PDI core, and the coplanar backbone of 25 with negligible dihedral angles may result in enhanced intermolecular π-π interactions. The polymers exhibited good thermal stability and broad absorption spectra ranging from 400–700 nm. The maximum absorption peak was red-shifted and the optical band-gap decreased with increasing numbers of thiophene units in the polymer. An upward shift of the HOMOs with increasing numbers of thiophene units resulted in a decrease of the optical band-gap, whereas the LUMOs were insensitive to the number of thiophene units. The BHJ solar cells fabricated with the polythiophene derivative donor of PT5TPA (D12, Figure 5) achieved a PCE of 0.31–0.84%. The photophysical properties and device performance parameters of DTCDI-based polymer acceptors (25) are summarized in Table 2.
3. Fluorene and BT-Based Polymer Acceptors
The fluorene and BT-based polymers are known as luminescent n-type polymers having high electron affinity due to the strong electron-withdrawing BT unit [58]. Arias and Mackenzie et al. first reported photovoltaic properties derived from polyfluorenes [59]. They used poly(9,9’-dioctylfluorene-co-benzothiadiazole) (F8BT, 26, Figure 6) (also known as P8BT and PF8BT), which has an electron affinity of 3.53 eV, as an acceptor, and a triarylamine-based hole-transporting polymer, poly(9,9’-dioctylfluorene-co-bis-N,N’-(4-butylphenyl)-bis-N,N’-phenyl-1,4-phenylenediamine) (PFB, D13, Figure 6) as a donor in photovoltaic devices employing a 1:1 (D:A, w/w) blend ratio. Respective devices fabricated by spin-coating with chloroform or xylene had external quantum efficiency (EQE) values of 4% and 1.8%. Friend et al. also reported the charge generation kinetics and transport mechanisms of blended films with D13 and 26 with various blend ratios [60]. Kim and Bradley et al. fabricated devices with blends of a D1 donor and a 26 acceptor [61]. The PCEs of the resultant devices were enhanced from 0.02–0.13% after inserting a LiF layer, but the PCE was still low because of the low electron mobility of 26.
Figure 6.
Molecular structures of fluorene and benzothiadiazole (BT)-based polymer acceptors (26–29) together with polymer donor (D13).
Figure 6.
Molecular structures of fluorene and benzothiadiazole (BT)-based polymer acceptors (26–29) together with polymer donor (D13).

McNeill et al. fabricated BHJ solar cells by employing F8TBT (27, Figure 6) as an electron acceptor with a D1 donor [62]. The polymer 27 contains thiophene groups next to the BT unit, compared to 26, and a PCE of 1.8% was obtained with the optimized D1:27 device with a LiF layer. They also investigated the effect of annealing on the D1:27 BHJ solar cells [63,64]. The PCE was enhanced from 0.14%–1.20% by annealing of the completed devices, and the enhancement of the hole mobility after annealing was attributed to increased molecular ordering of the polymers and the red-shifted optical absorption of the blend films. Furthermore, in 2010, Friend and Huck et al. fabricated D1/27 devices using a double nano-imprinting process, achieving a PCE of 1.85% [65].
Ito et al. fabricated all-polymer BHJ solar cells consisting of a D1 donor and a PF12TBT (28, Figure 6) acceptor that possesses longer alkyl side chains in the fluorene unit compared to 27 [66]. The PCE was strongly dependent on the solvent. The higher PCE of 2.0% was achieved in the blend using chloroform, higher than achieved using chlorobenzene or o-dichlorobenzene. Nanoscale-phase-separated domains were observed, which accounts for the highly efficient performance of the devices. In addition, they synthesized polymer 28 with different Mw of 8500, 20,000, and 78,000 [67]. The highest PCE of 2.7% and a FF value of up to 0.55 was achieved with the high-molecular-weight 28 and a D1 donor in BHJ solar cells because of the enhanced electron and hole transport.
Recently, Verduzco and co-workers reported a remarkable PCE of 3.1% in single-component devices using the fully conjugated BCP P3HT-b-PFTBT (29, Figure 6) that self-assembled into meso-scale lamellar morphologies [38]. This high PCE is even higher than that of the device fabricated with D1 and 27 as donor and acceptor, respectively. The use of the BCP produced well-controlled D–A interfaces which resulted in the best performance of BHJ solar cells among the devices employing fluorene and BT-based n-type polymers.
The photophysical properties and device performance parameters of fluorene and BT-based polymers (26–29) are summarized in Table 3.
Table 3.
Fluorene and benzothiadiazole (BT)-based polymer acceptors a.
| Acceptor [Ref] | Mn/Mw | HOMO/LUMO (Eg [eV]) | VOC [V] | JSC [mA/cm2] | FF | PCE [%] | |
|---|---|---|---|---|---|---|---|
| 26 | [61] | – | – | – | – | 0.36 | 0.13 |
| (ITO/PEDOT:PSS/D1:26/LiF/Al) | |||||||
| 27 | [62] | – | −5.37/−3.15 (2.22) | – | – | – | 1.8 |
| (ITO/PEDOT:PSS/D1:27(1:1)/LiF/Al) | |||||||
| [63] | – | −5.37/−3.15 (2.22) | 1.15 | 3.6 | 0.34 | 1.2 | |
| (ITO/PEDOT:PSS/D1:27(1:1)/Al) | |||||||
| [65] | – | −5.4/−3.2 (2.2) | 1.14 | 3.30 | 0.49 | 1.85 | |
| (ITO/PEDOT:PSS/D1/27/Al) | |||||||
| 28 | [66] | 10,000/20,000 | −5.5/−3.5 (2.0) | 1.19 | 3.94 | 0.42 | 2.0 |
| (ITO/PEDOT:PSS/D1:28(1:1)/LiF/Al) | |||||||
| [67] | 28,000/78,000 | – | 1.26 | 3.88 | 0.55 | 2.7 | |
| (ITO/PEDOT:PSS/ D1:28(1:1)/Ca/Al) | |||||||
| 29 | [38] | 22,000/28,500 | – | 1.23 | 5.2 | 0.47 | 3.1 |
| (ITO/PEDOT:PSS/29/Al) b | |||||||
Notes: a Measured at AM 1.5G 100mW/cm2 unless indicated; b Measured at 97 mW/cm2
4. CN-substituted Polymer Acceptors
In earlier studies, PPV derivatives were recognized as good hole-transporting materials in organic light-emitting diode (OLED) devices [68,69]. After introducing electron-withdrawing CN groups into the vinylene moiety of the PPV backbone, the polymers exhibited large electron affinity and were used as light emitters or electron transport layers in OLED devices [24]. The introduction of a CN group into other traditional p-type polymers such as D1 and polyfluorenes also altered the electronic properties of the resulting polymers for use as polymer acceptors in OPVs; a few examples are presented at the end of this section. The photophysical properties and device performance parameters of CN-substituted polymer acceptors (31–38) are summarized in Table 4.
In 1995, Holmes and Friend et al. fabricated all-polymer photovoltaic cells composed of PPV derivatives. CN-substituted PPV, CN-PPV (30, Figure 7), was used as an electron acceptor with a poly(2-methoxy-5-(2’-ethyl-hexyloxy)-1,4-phenylenevinylene) (MEH-PPV, D14, Figure 8) polymer donor. The best performing device had an EQE of 6% with a VOC of 0.6 V [70]. Heeger et al. also introduced a CN-PPV derivative, denoted by MEH-CN-PPV (31, Figure 7), as an acceptor in OPV devices with a D14 donor, achieving PCE of up to 0.9% [71]. Friend and co-workers utilized 31 as a polymer acceptor in laminate bi-layer solar cells using a polymer donor POPT (D15, Figure 8) that had increased spectral breadth, a lower-lying HOMO, and enhanced air stability compared to D1 [15]. Adding a small amount (2–5 wt%) of D15 to the 31 layer increased the efficiency of the devices up to 1.9% compared to the low efficiency achieved with the bi-layer. Frechet et al. also fabricated bi-layer solar cells of D15/31, in which D15 was synthesized using the Grignard metathesis (GRIM) polymerization method, resulting in a high number-average molecular weight (Mn), low polydispersity index, and high regioregularity. Polymer 31 could be spin-coated directly on top of a D15 film using tetrahydrofuran or ethyl acetate as a solvent, neither of which dissolves D15, leading to laminated bi-layer devices [72]. A PCE of 2.0% was achieved with the fabricated device after 2 h of post-annealing at 110 °C. Subsequently, Gunes et al. introduced longer alkyl side chains in the CN-PPV derivatives, resulting in another CN-PPV derivative, DE119 (32, Figure 7). The BHJ solar cells were fabricated with D1 donor using various solvents such as chlorobenzene, toluene, and chloroform [73]. A PCE of 0.3% was achieved using chlorobenzene as a casting solvent by employing a blend ratio of 1:2 (D1:32). Improved device performance (PCE of 0.34%) was achieved in the inverted device structure with a JSC of 0.86 mA/cm2, a VOC of 0.9 V, and a FF of 0.44.
Egbe et al. introduced electron-withdrawing acetylene groups into the CN-PPV derivative, resulting in polymer 33 (Figure 7) [74]. They fabricated blend and bi-layer OPV devices with 33 and poly[2,5-dimethoxy-1,4-phenylene-vinylene-2-methoxy-5-(2-ethylhexyloxy)-1,4-phenylene-vinylene] (M3EH-PPV, D16, Figure 8) as a polymer acceptor and a polymer donor, respectively. The maximal PCE of 0.65% was obtained with the bi-layer 33/D16 device. The rather low FF (0.11–0.27) was ascribed to the low electron mobility induced by the acetylene group adjacent to the phenyl rings.
Another type of CN-PPV, developed by inserting an ether linkage into CN-PPV, denoted by CN-ether-PPV (34, Figure 7), was introduced by Horhold et al. BHJ solar cells with three different electrode configurations were fabricated using D16 and 34 polymer blend (ITO/TiO2/polymer blend/Au, ITO/PEDOT/polymer blend/Al, and ITO/PEDOT/polymer blend/Ca) [75]. The maximal PCE of 1.0% was obtained by using a Ca electrode with low work function. Later, the improved PCE of 1.7% was reported using the same donor and acceptor materials by completing the device with evaporated Ca/Al [76]. Vertical phase separation derived from an excess of 34 at the top and an excess of D16 at the bottom of the blend layer was proposed, which was derived from the lower solubility of D16 in chlorobenzene relative to 34. The device utilizing the blend exhibited a higher PCE than that of bi-layer devices, and the performance of the devices was enhanced by annealing due to increased ordering of the chains in D16. More recently, D16:34 blend films were fabricated using different solvents or a solvent mixture of 1,2,4-trichlorobenzene and chloroform to evaluate the interrelation in polymer-polymer photovoltaic devices [77]. Devices coated with mixtures of 1,2,4-trichlorobenzene and chloroform had a better PCE (1.42%) than that coated with chloroform (0.62%). Compared to chloroform, 1,2,4-trichlorobenzene was a more selective solvent because of its high boiling point.
Subsequent to the synthesis of the CN-substituted polyfluorenes PF1CVTP (35, Figure 7) for use in OLEDs [78], Koetse et al. fabricated BHJ solar cells using a blend of 35 and MDMO-PPV (D17, Figure 8) as an acceptor and a donor, respectively [79]. A PCE of 1.5% was achieved with a JSC of 3.0 mA/cm2, a VOC of 1.40 V, and a FF of 0.37.
Table 4.
CN-substituted polymer acceptors a.
| Acceptor [Ref] | Mn/Mw | HOMO/LUMO (Eg [eV]) | VOC [V] | JSC [mA/cm2] | FF | PCE [%] | |
|---|---|---|---|---|---|---|---|
| 31 | [71] | – | – (~2) | – | – | – | 0.9 |
| (ITO/D14:31(1:1)/Ca) b | |||||||
| [15] | – | – | 2.2 | – | – | 1.9 | |
| (Au/PEDOT:PSS/D15/31/Ca or Al) c | |||||||
| [72] | 16,000/72,000 | −/−3.7– | – | – | – | 2.0 | |
| (ITO/PEDOT:PSS/ D15/31/LiF/Al) | |||||||
| 32 | [73] | 8,000/19,000 | −5.97/−3.48 (2.49) | 0.9 | 0.86 | 0.44 | 0.34 |
| (Inverted structure) | |||||||
| 33 | [74] | 35,100/119,000 | −5.7/−3.35 (2.35) | 1.52 | 1.4 | 0.27 | 0.65 |
| (ITO/PEDOT:PSS/D16/33/Ca/Al) | |||||||
| 34 | [75] | – | – | 1.0 | 3.2 | 0.25 | 1.0 |
| (ITO/PEDOT/D16:34(1:1)/Ca) d | |||||||
| [76] | – | – | 1.36 | 3.57 | 0.35 | 1.7 | |
| (ITO/PEDOT/D16:34(1:1)/Ca/Al) | |||||||
| [77] | –/20,600 | – | 1.31 | 2.5 | 0.44 | 1.42 | |
| (ITO/PEDOT/D16:34(1:1)/Ca/Al) e | |||||||
| 35 | [79] | – | – | 1.40 | 3.0 | 0.37 | 1.5 |
| (ITO/PEDOT:PSS/D17:35/LiF/Al) | |||||||
| 36 | [80] | – | −5.75/−3.65 (2.1) | 0.85 | 3.14 | 0.29 | 0.8 |
| (ITO/PEDOT:PSS/D18:36(1:1)/LiF/Al) | |||||||
| 37 | [81] | 26,900/61,800 | −6.1/−3.6 (2.5) | 0.62 | 0.09 | 0.26 | 0.014 |
| (ITO/PEDOT:PSS/D17:37(1:2)/CsF:Al) | |||||||
| 0.59 | 0.02 | 0.27 | 0.003 | ||||
| (ITO/PEDOT:PSS/D19:37(2:1)/CsF:Al) | |||||||
| 38 | [82] | – | – | 0.74 | 0.28 | 0.33 | 0.07 |
| (ITO/PEDOT:PSS/D1:38(1:1)/Ca/Al) | |||||||
Notes: a Measured at AM 1.5G 100 mW/cm2 unless indicated; b Measured at 430 nm from 20 mW/cm2 to 1 µW/cm2; c Measured at 77 mW/cm2; d Measured at 80 mW/cm2; e Measured at 90 mW/cm2
Figure 7.
Molecular structures of CN-substituted polymer acceptors (30–38).
Figure 7.
Molecular structures of CN-substituted polymer acceptors (30–38).

Figure 8.
Molecular structures of polymer donors (D14–D19).
Figure 8.
Molecular structures of polymer donors (D14–D19).

Another type of CN-PPV derivative acceptor, DOCN-PPV (36, Figure 7), was also reported by Li and co-workers, where 36 was directly CN-substituted on the phenyl rings [80]. Polymer 36 was blended with a PTZV-PT (D18, Figure 8) donor and applied to BHJ solar cells; post-annealing of the devices at 120 °C enhanced the PCE from 0.41–0.8%.
The electron-withdrawing CN group was also introduced into other traditional p-type polymers such as D1 and polyfluorenes. Kallitsis’s group synthesized poly(3-cyano-4-hexylthiophene) (P3CN4HT, 37, Figure 7) by introducing a CN-substituent into the thiophene ring of polymer D1 [81]. The HOMO and LUMO energy levels of 37 (–6.1 and –3.6 eV, respectively) were lowered compared to D1 (–5.2 and –3.0 eV, respectively). The devices were fabricated with two polymer donors, i.e., D17 and poly(3-octylthiophene) (P3OT, D19, Figure 8), giving rise to a low PCE of less than 0.015%.
Recently, Seki et al. introduced three dicyanofluorene-based D–A type copolymers including 38 (Figure 6) [82]. Strong absorption bands were observed for all polymers, and a red-shift of the absorption spectra was induced by increasing the number of thiophene units in the polymer. The optimal PCE of 0.07% was achieved when the polymer acceptor 38 was blended with D1.
5. Other Polymer Acceptors Containing Electron-Withdrawing Units
In addition to the polymer acceptors mentioned above, several other polymer acceptors have been developed that contain other electron-deficient units such as thiazole, DPP, and fullerene in order to induce n-type features in the polymer. Such units are widely used as electron-deficient units in D–A type low band-gap donor materials [83]. The photophysical properties and device performance parameters of other polymer acceptors containing electron-withdrawing units (39–44) are summarized in Table 5.
Table 5.
Other polymer acceptors containing electron-withdrawing units a.
| Acceptor [ref] | Mn Mw | mobility, μe [cm2V−1s−1] | HOMO/LUMO (Eg [eV]) | VOC [V] | JSC [mA/cm2] | FF | PCE [%] | |
|---|---|---|---|---|---|---|---|---|
| 39 | [84] | 14,300 26,000 | 1.1 × 10−2 b | −5.43/−3.45 (1.98) | 1.00 | 2.60 | 0.45 | 1.18 |
| (ITO/ZnO/D1:39(1.5:1)/MoO3/Ag) | ||||||||
| 40 | [84] | 26,100 39,200 | 2.9 × 10−4 b | −5.28/−3.21 (2.07) | 0.9 | 1.5 | 0.43 | 0.58 |
| (ITO/ZnO/D1:40(1.5:1)/MoO3/Ag) | ||||||||
| 41 | [85] | 16,600 41,500 | 3 × 10−9 c | −5.66/−3.61 (2.1) | 0.94 | 0.68 | 0.22 | 0.14 |
| (ITO/PEDOT:PSS/D1:41(1:1)/LiF/Al) | ||||||||
| 42 | [85] | 11,800 23,600 | 1 × 10−11 c | −5.58/−3.58 (2.0) | 0.90 | 0.44 | 0.27 | 0.11 |
| (ITO/PEDOT:PSS/D1:42(1:1)/LiF/Al) | ||||||||
| 43 | [85] | 10,500 23,100 | 5 × 10−10 c | −5.43/−3.71 (1.75) | 0.90 | 1.63 | 0.25 | 0.37 |
| (ITO/PEDOT:PSS/D1:43(1:1)/LiF/Al) | ||||||||
| 44 | [86] | 8,700 12,100 | – | −/−3.67 | 0.63 | 4.45 | 0.54 | 1.5 |
| (ITO/PEDOT:PSS/D1:44(1:0.45)/Ca/Al) | ||||||||
Notes: a Measured at AM 1.5G 100mW/cm2; b By OFET measurement; c By SCLC measurement
Pei and co-workers synthesized a polymer acceptor 39 (Figure 9) based on thiazole-containing, electron-deficient 4,7-di(thiazol-2-yl)-2,1,3-benzothiadiazole (DTABT) [84]. The acceptor 40 (Figure 9) based on 4,7-di(thien-2-yl)-2,1,3-benzothiadiazole (DTBT) was also synthesized for comparison with DTABT. The BHJ solar cells based on 39 achieved a two-fold higher PCE (1.18%) than that of 40 (0.58%) when blended with a D1 donor. The energy of the HOMO and LUMO levels of 39 were lowered by the strong electron withdrawing property of DTABT which facilitated high electron mobility, resulting in increased JSC. Furthermore, the device employing 39 displayed better miscibility with D1, thus exhibiting less surface roughness.
Figure 9.
Molecular structures of polymer acceptors containing electron-withdrawing units (39–44).
Figure 9.
Molecular structures of polymer acceptors containing electron-withdrawing units (39–44).

Janssen et al. synthesized the new DPP-based acceptors, 41, 42, and 43 (Figure 9) [85]. The DPP unit is a strong withdrawing unit and DPP-based D–A type polymeric and small-molecule donor materials have shown promising performance in BHJ solar cells. The three acceptors gave rise to PCEs in the range of 0.11%–0.37% when coupled with a D1 donor in BHJ solar cells. The VOC values were relatively high (≥0.9 V), whereas the low FF and JSC decreased the performance of the devices because of low electron mobility.
Do and co-workers presented novel polynorbornenes (44, Figure 9) with 50 mol% PC61BM as an acceptor that exhibited high thermal stability (Td = 437 °C) [86]. The device fabricated with the D1:44 blend achieved a PCE of 1.5%. The ratio of 1:0.45 (D:A, w/w) was appropriate for the BHJ solar cell and the VOC values were similar despite variation of the ratio of 44. Recently, they also reported the syntheses of polynorbornenes with a pendant PC61BM unit via ring-opening metathesis for use as polymer acceptors in OPVs [87].
In addition, various electron-deficient units such as oxadiazole and quinoxaline could also be used as building blocks for polymer acceptors [50,88,89]. Relatively low PCEs (maximum of 0.07%) were achieved with these species; however, the research is still in progress, and a range of various possibilities for developing new polymer acceptors remains open.
6. Conclusions
This review focused on various n-type polymers for use as acceptors in OPVs. The polymer acceptors have been utilized in all-polymer solar cells with various polymer donors. Herein, the polymer acceptors were classified into four sections depending on the molecular structures. The rylene diimide-based polymer acceptors offer the advantages of good thermal, chemical, and photochemical stability. This group also exhibits high electron affinity and high electron mobility due to the electron accepting imide group in the backbone. The rylene diimide-based polymer acceptors such as PDI, NDI, and DTCDI-based polymer materials were subdivided according to their structures. The solubility and molecular shapes of the PDI-based polymers varied based on the mode of substitution of PDI, i.e., in the bay- or imide-positions. Fluorene and BT-based n-type polymers have also found application as polymer acceptors, having an ambipolar nature of electron donor and acceptor, based on the counterpart materials and are characterized by high electron mobility and broad UV absorption spectra. CN-substitution on the inherently electron-rich polymer backbones of PPVs, polythiophene, and polyfluorene or the introduction of electron-withdrawing moieties such as DPP, thiazole, and fullerene as co-monomer units also resulted in n-type polymer acceptors with high electron affinities.
Many of the reports referenced in this review deal with various strategies for the design and synthesis of new polymer structures as well as optimization of device processing conditions to achieve enhanced device performance. For use as electron acceptors, the polymers should possess the following features: (i) high electron mobility for electron transfer, (ii) good solubility achieved by long and/or branched alkyl side chains, (iii) high Mw to enhance conjugation length, (iv) adequate HOMO and LUMO energy levels modulating the band-gap for effective charge separation, (v) red-shifted UV absorption spectra for maximum absorption of solar energy, and (vi) sufficient aggregation with the use of a proper additive to increase the D/A interface. To date, the best performance achieved with all-polymer solar cells is a PCE of 3.45% using the PDI-based polymer acceptor. We believe continued research effort can reveal means of overcoming the limitations of the device performance based on polymer acceptors that are unresolved at the present stage. The balanced development of donor and acceptor materials may lead to the enhanced performance of solution-processable OPV cells and related applications need to be introduced in the market in the near future. We believe that this review provides a detailed insight for the design of new n-type polymer acceptors in future research.
Acknowledgments
This research was supported by Basic Science Research Program through the National Research Foundation of Korea (NRF) funded by the Ministry of Education, Science and Technology (2012R1A1A3005083).
Conflicts of Interest
The authors declare no conflict of interest.
References
- Parida, B.; Iniyan, S.; Goic, R. A review of solar photovoltaic technologies. Renew. Sust. Energ. Rev. 2011, 15, 1625–1636. [Google Scholar] [CrossRef]
- Dou, L.; You, J.; Hong, Z.; Xu, Z.; Li, G.; Street, R.A.; Yang, Y. 25th Anniversary Article: A Decade of Organic/Polymeric Photovoltaic Research. Adv. Mater. 2013, 25, 6642–6671. [Google Scholar] [CrossRef]
- Yue, D.; Khatav, P.; You, F.; Darling, S.B. Deciphering the uncertainties in life cycle energy and environmental analysis of organic photovoltaics. Energ. Environ. Sci. 2012, 5, 9163–9172. [Google Scholar] [CrossRef]
- Darling, S.B.; You, F. The case for organic photovoltaics. RSC Adv. 2013, 3, 17633–17648. [Google Scholar] [CrossRef]
- Boudreault, P.-L.T.; Najari, A.; Leclerc, M. Processable Low-Bandgap Polymers for Photovoltaic Applications. Chem. Mater. 2010, 23, 456–469. [Google Scholar] [CrossRef]
- Liao, H.-C.; Ho, C.-C.; Chang, C.-Y.; Jao, M.-H.; Darling, S.B.; Su, W.-F. Additives for morphology control in high-efficiency organic solar cells. Mater. Today 2013, 16, 326–336. [Google Scholar] [CrossRef]
- You, J.; Dou, L.; Hong, Z.; Li, G.; Yang, Y. Recent trends in polymer tandem solar cells research. Prog. Polym. Sci. 2013, 38, 1909–1928. [Google Scholar] [CrossRef]
- Chen, L.-M.; Hong, Z.; Li, G.; Yang, Y. Recent Progress in Polymer Solar Cells: Manipulation of Polymer: Fullerene Morphology and the Formation of Efficient Inverted Polymer Solar Cells. Adv. Mater. 2009, 21, 1434–1449. [Google Scholar] [CrossRef]
- Yi, C.; Gong, X. Towards high performance inverted polymer solar cells. Curr. Opin. Chem. Eng. 2013, 2, 125–131. [Google Scholar] [CrossRef]
- Chen, W.; Nikiforov, M.P.; Darling, S.B. Morphology characterization in organic and hybrid solar cells. Energ. Environ. Sci. 2012, 5, 8045–8074. [Google Scholar] [CrossRef]
- Nikiforov, M.P.; Lai, B.; Chen, W.; Chen, S.; Schaller, R.D.; Strzalka, J.; Maser, J.; Darling, S.B. Detection and role of trace impurities in high-performance organic solar cells. Energ. Environ. Sci. 2013, 6, 1513–1520. [Google Scholar] [CrossRef]
- Heliatek. Available online: http://www.heliatek.com/ (accessed on 7 February 2014).
- Tang, C.W. Two-layer organic photovoltaic cell. Appl. Phys. Lett. 1986, 48, 183–185. [Google Scholar] [CrossRef]
- Jenekhe, S.A.; Yi, S. Efficient photovoltaic cells from semiconducting polymer heterojunctions. Appl. Phys. Lett. 2000, 77, 2635–2637. [Google Scholar] [CrossRef]
- Granstrom, M.; Petritsch, K.; Arias, A.C.; Lux, A.; Andersson, M.R.; Friend, R.H. Laminated fabrication of polymeric photovoltaic diodes. Nature 1998, 395, 257–260. [Google Scholar] [CrossRef]
- Yu, G.; Gao, J.; Hummelen, J.C.; Wudl, F.; Heeger, A.J. Polymer Photovoltaic Cells: Enhanced Efficiencies via a Network of Internal Donor-Acceptor Heterojunctions. Science 1995, 270, 1789–1791. [Google Scholar]
- Lee, J.K.; Ma, W.L.; Brabec, C.J.; Yuen, J.; Moon, J.S.; Kim, J.Y.; Lee, K.; Bazan, G.C.; Heeger, A.J. Processing Additives for Improved Efficiency from Bulk Heterojunction Solar Cells. J. Am. Chem. Soc. 2008, 130, 3619–3623. [Google Scholar] [CrossRef]
- Zhicai, H.; Chengmei, Z.; Shijian, S.; Miao, X.; Hongbin, W.; Yong, C. Enhanced power-conversion efficiency in polymer solar cells using an inverted device structure. Nat. Photonics 2012, 6, 591–595. [Google Scholar]
- Guo, X.; Baumgarten, M.; Müllen, K. Designing π-conjugated polymers for organic electronics. Prog. Polym. Sci. 2013, 38, 1832–1908. [Google Scholar] [CrossRef]
- Zhu, Z.; Waller, D.; Gaudiana, R.; Morana, M.; Mühlbacher, D.; Scharber, M.; Brabec, C. Panchromatic Conjugated Polymers Containing Alternating Donor/Acceptor Units for Photovoltaic Applications. Macromolecules 2007, 40, 1981–1986. [Google Scholar] [CrossRef]
- Hou, J.; Chen, H.-Y.; Zhang, S.; Li, G.; Yang, Y. Synthesis, Characterization, and Photovoltaic Properties of a Low Band Gap Polymer Based on Silole-Containing Polythiophenes and 2,1,3-Benzothiadiazole. J. Am. Chem. Soc. 2008, 130, 16144–16145. [Google Scholar] [CrossRef]
- Dou, L.; Chen, C.-C.; Yoshimura, K.; Ohya, K.; Chang, W.-H.; Gao, J.; Liu, Y.; Richard, E.; Yang, Y. Synthesis of 5H-Dithieno[3,2-b:2′,3′-d]pyran as an Electron-Rich Building Block for Donor–Acceptor Type Low-Bandgap Polymers. Macromolecules 2013, 46, 3384–3390. [Google Scholar]
- Zhou, J.; Zuo, Y.; Wan, X.; Long, G.; Zhang, Q.; Ni, W.; Liu, Y.; Li, Z.; He, G.; Li, C.; Kan, B.; Li, M.; Chen, Y. Solution-Processed and High-Performance Organic Solar Cells Using Small Molecules with a Benzodithiophene Unit. J. Am. Chem. Soc. 2013, 135, 8484–8487. [Google Scholar]
- Sonar, P.; Fong Lim, J.P.; Chan, K.L. Organic non-fullerene acceptors for organic photovoltaics. Energ. Environ. Sci. 2011, 4, 1558–1574. [Google Scholar]
- Lin, Y.; Li, Y.; Zhan, X. Small molecule semiconductors for high-efficiency organic photovoltaics. Chem. Soc. Rev. 2012, 41, 4245–4272. [Google Scholar]
- Kozma, E.; Catellani, M. Perylene diimides based materials for organic solar cells. Dyes Pigm. 2013, 98, 160–179. [Google Scholar]
- Qu, S.; Tian, H. Diketopyrrolopyrrole (DPP)-based materials for organic photovoltaics. Chem. Commun. 2012, 48, 3039–3051. [Google Scholar]
- Cheng, P.; Ye, L.; Zhao, X.; Hou, J.; Li, Y.; Zhan, X. Binary additives synergistically boost the efficiency of all-polymer solar cells up to 3.45%. Energ. Environ. Sci. 2014. [Google Scholar] [CrossRef]
- Zhang, X.; Lu, Z.; Ye, L.; Zhan, C.; Hou, J.; Zhang, S.; Jiang, B.; Zhao, Y.; Huang, J.; Zhang, S.; Liu, Y.; Shi, Q.; Liu, Y.; Yao, J. A Potential Perylene Diimide Dimer-Based Acceptor Material for Highly Efficient Solution-Processed Non-Fullerene Organic Solar Cells with 4.03% Efficiency. Adv. Mater. 2013, 25, 5791–5797. [Google Scholar] [CrossRef]
- Facchetti, A. Polymer donor–polymer acceptor (all-polymer) solar cells. Mater. Today 2013, 16, 123–132. [Google Scholar] [CrossRef]
- Darling, S.B. Block copolymers for photovoltaics. Energ. Environ. Sci. 2009, 2, 1266–1273. [Google Scholar] [CrossRef]
- Segalman, R.A.; McCulloch, B.; Kirmayer, S.; Urban, J.J. Block Copolymers for Organic Optoelectronics. Macromolecules 2009, 42, 9205–9216. [Google Scholar] [CrossRef]
- Bang, J.; Jeong, U.; Ryu, D.Y.; Russell, T.P.; Hawker, C.J. Block Copolymer Nanolithography: Translation of Molecular Level Control to Nanoscale Patterns. Adv. Mater. 2009, 21, 4769–4792. [Google Scholar] [CrossRef]
- Sommer, M.; Huettner, S.; Thelakkat, M. Donor-acceptor block copolymers for photovoltaic applications. J. Mater. Chem. 2010, 20, 10788–10797. [Google Scholar] [CrossRef]
- Zhang, Q.; Cirpan, A.; Russell, T.P.; Emrick, T. Donor−Acceptor Poly(thiophene-block-perylene diimide) Copolymers: Synthesis and Solar Cell Fabrication. Macromolecules 2009, 42, 1079–1082. [Google Scholar] [CrossRef]
- Sommer, M.; Hüttner, S.; Steiner, U.; Thelakkat, M. Influence of molecular weight on the solar cell performance of double-crystalline donor-acceptor block copolymers. Appl. Phys. Lett. 2009, 95, 183308:1–183308:3. [Google Scholar]
- Nakabayashi, K.; Mori, H. All-Polymer Solar Cells Based on Fully Conjugated Block Copolymers Composed of Poly(3-hexylthiophene) and Poly(naphthalene bisimide) Segments. Macromolecules 2012, 45, 9618–9625. [Google Scholar] [CrossRef]
- Guo, C.; Lin, Y.-H.; Witman, M.D.; Smith, K.A.; Wang, C.; Hexemer, A.; Strzalka, J.; Gomez, E.D.; Verduzco, R. Conjugated Block Copolymer Photovoltaics with near 3% Efficiency through Microphase Separation. Nano Lett. 2013, 13, 2957–2963. [Google Scholar] [CrossRef]
- Zhou, W.; Zhang, Z.-G.; Ma, L.; Li, Y.; Zhan, X. Dithienocoronene diimide based conjugated polymers as electron acceptors for all-polymer solar cells. Sol. Energ. Mat. Sol. C. 2013, 112, 13–19. [Google Scholar] [CrossRef]
- Sommer, M. Conjugated polymers based on naphthalene diimide for organic electronics. J. Mater. Chem. C 2014. [Google Scholar] [CrossRef]
- Zhan, X.; Tan, Z.; Domercq, B.; An, Z.; Zhang, X.; Barlow, S.; Li, Y.; Zhu, D.; Kippelen, B.; Marder, S.R. A High-Mobility Electron-Transport Polymer with Broad Absorption and Its Use in Field-Effect Transistors and All-Polymer Solar Cells. J. Am. Chem. Soc. 2007, 129, 7246–7247. [Google Scholar] [CrossRef]
- Tan, Z.; Zhou, E.; Zhan, X.; Wang, X.; Li, Y.; Barlow, S.; Marder, S.R. Efficient all-polymer solar cells based on blend of tris(thienylenevinylene)-substituted polythiophene and poly[perylene diimide-alt-bis(dithienothiophene)]. Appl. Phys. Lett. 2008, 93, 073309:1–073309:3. [Google Scholar]
- Zhan, X.; Tan, Z.; Zhou, E.; Li, Y.; Misra, R.; Grant, A.; Domercq, B.; Zhang, X.-H.; An, Z.; Zhang, X.; Barlow, S.; Kippelen, B.; Marder, S.R. Copolymers of perylene diimide with dithienothiophene and dithienopyrrole as electron-transport materials for all-polymer solar cells and field-effect transistors. J. Mater. Chem. 2009, 19, 5794–5803. [Google Scholar] [CrossRef]
- Liao, X.-X.; Zhao, X.; Zhang, Z.-G.; Wang, H.-Q.; Zhan, X.; Li, Y.; Wang, J.; Zheng, J.-C. All-polymer solar cells based on side-chain-isolated polythiophenes and poly(perylene diimide-alt-dithienothiophene). Sol. Energ. Mat. Sol. C. 2013, 117, 336–342. [Google Scholar]
- Zhou, E.; Tajima, K.; Yang, C.; Hashimoto, K. Band gap and molecular energy level control of perylene diimide-based donor-acceptor copolymers for all-polymer solar cells. J. Mater. Chem. 2010, 20, 2362–2368. [Google Scholar] [CrossRef]
- Zhou, E.; Cong, J.; Wei, Q.; Tajima, K.; Yang, C.; Hashimoto, K. All-Polymer Solar Cells from Perylene Diimide Based Copolymers: Material Design and Phase Separation Control. Angew. Chem. Int. Ed. 2011, 50, 2799–2803. [Google Scholar] [CrossRef]
- Neuteboom, E.E.; Meskers, S.C.; van Hal, P.A.; van Duren, J.K.; Meijer, E.W.; Janssen, R.A.; Dupin, H.; Pourtois, G.; Cornil, J.; Lazzaroni, R.; Brédas, J.-L.; Beljonne, D. Alternating Oligo(p-phenylene vinylene)—Perylene Bisimide Copolymers: Synthesis, Photophysics, and Photovoltaic Properties of a New Class of Donor—Acceptor Materials. J. Am. Chem. Soc. 2003, 125, 8625–8638. [Google Scholar] [CrossRef]
- Mikroyannidis, J.A.; Stylianakis, M.M.; Sharma, G.D.; Balraju, P.; Roy, M.S. A Novel Alternating Phenylenevinylene Copolymer with Perylene Bisimide Units: Synthesis, Photophysical, Electrochemical, and Photovoltaic Properties. J. Phys. Chem. C 2009, 113, 7904–7912. [Google Scholar] [CrossRef]
- Liang, Z.; Cormier, R.A.; Nardes, A.M.; Gregg, B.A. Developing perylene diimide based acceptor polymers for organic photovoltaics. Synt. Met. 2011, 161, 1014–1021. [Google Scholar]
- Alam, M.M.; Jenekhe, S.A. Efficient Solar Cells from Layered Nanostructures of Donor and Acceptor Conjugated Polymers. Chem. Mater. 2004, 16, 4647–4656. [Google Scholar] [CrossRef]
- Fabiano, S.; Chen, Z.; Vahedi, S.; Facchetti, A.; Pignataro, B.; Loi, M.A. Role of photoactive layer morphology in high fill factor all-polymer bulk heterojunction solar cells. J. Mater. Chem. 2011, 21, 5891–5896. [Google Scholar]
- Moore, J.R.; Albert-Seifried, S.; Rao, A.; Massip, S.; Watts, B.; Morgan, D.J.; Friend, R.H.; McNeill, C.R.; Sirringhaus, H. Polymer Blend Solar Cells Based on a High-Mobility Naphthalenediimide-Based Polymer Acceptor: Device Physics, Photophysics and Morphology. Adv. Energy Mater. 2011, 1, 230–240. [Google Scholar]
- Schubert, M.; Dolfen, D.; Frisch, J.; Roland, S.; Steyrleuthner, R.; Stiller, B.; Chen, Z.; Scherf, U.; Koch, N.; Facchetti, A.; Neher, D. Influence of Aggregation on the Performance of All-Polymer Solar Cells Containing Low-Bandgap Naphthalenediimide Copolymers. Adv. Energy Mater. 2012, 2, 369–380. [Google Scholar]
- Hwang, Y.-J.; Ren, G.; Murari, N.M.; Jenekhe, S.A. n-Type Naphthalene Diimide–Biselenophene Copolymer for All-Polymer Bulk Heterojunction Solar Cells. Macromolecules 2012, 45, 9056–9062. [Google Scholar] [CrossRef]
- Earmme, T.; Hwang, Y.-J.; Murari, N.M.; Subramaniyan, S.; Jenekhe, S.A. All-Polymer Solar Cells with 3.3% Efficiency Based on Naphthalene Diimide-Selenophene Copolymer Acceptor. J. Am. Chem. Soc. 2013, 135, 14960–14963. [Google Scholar]
- Yuan, M.; Durban, M.M.; Kazarinoff, P.D.; Zeigler, D.F.; Rice, A.H.; Segawa, Y.; Luscombe, C.K. Synthesis and characterization of fused-thiophene containing naphthalene diimide n-type copolymers for organic thin film transistor and all-polymer solar cell applications. J. Polym. Sci. A Polym. Chem. 2013, 51, 4061–4069. [Google Scholar]
- Chen, S.-C.; Zheng, Q.; Zhang, Q.; Cai, D.; Wang, J.; Yin, Z.; Tang, C. Tuning the frontier molecular orbital energy levels of n-type conjugated copolymers by using angular-shaped naphthalene tetracarboxylic diimides, and their use in all-polymer solar cells with high open-circuit voltages. J. Polym. Sci. A Polym. Chem. 2013, 51, 1999–2005. [Google Scholar]
- He, Y.; Gong, S.; Hattori, R.; Kanicki, J. High performance organic polymer light-emitting heterostructure devices. Appl. Phys. Lett. 1999, 74, 2265–2267. [Google Scholar]
- Arias, A.C.; MacKenzie, J.D.; Stevenson, R.; Halls, J.J.M.; Inbasekaran, M.; Woo, E.P.; Richards, D.; Friend, R.H. Photovoltaic Performance and Morphology of Polyfluorene Blends: A Combined Microscopic and Photovoltaic Investigation. Macromolecules 2001, 34, 6005–6013. [Google Scholar]
- Snaith, H.J.; Arias, A.C.; Morteani, A.C.; Silva, C.; Friend, R.H. Charge Generation Kinetics and Transport Mechanisms in Blended Polyfluorene Photovoltaic Devices. Nano Lett. 2002, 2, 1353–1357. [Google Scholar]
- Kim, Y.; Cook, S.; Choulis, S.A.; Nelson, J.; Durrant, J.R.; Bradley, D.D.C. Organic Photovoltaic Devices Based on Blends of Regioregular Poly(3-hexylthiophene) and Poly(9,9-dioctylfluorene-co-benzothiadiazole). Chem. Mater. 2004, 16, 4812–4818. [Google Scholar] [CrossRef]
- McNeill, C.R.; Abrusci, A.; Zaumseil, J.; Wilson, R.; McKiernan, M.J.; Burroughes, J.H.; Halls, J.J.M.; Greenham, N.C.; Friend, R.H. Dual electron donor/electron acceptor character of a conjugated polymer in efficient photovoltaic diodes. Appl. Phys. Lett. 2007, 90, 193506:1–193506:3. [Google Scholar]
- McNeill, C.R.; Halls, J.J.M.; Wilson, R.; Whiting, G.L.; Berkebile, S.; Ramsey, M.G.; Friend, R.H.; Greenham, N.C. Efficient Polythiophene/Polyfluorene Copolymer Bulk Heterojunction Photovoltaic Devices: Device Physics and Annealing Effects. Adv. Funct. Mater. 2008, 18, 2309–2321. [Google Scholar]
- McNeill, C.R.; Abrusci, A.; Hwang, I.; Ruderer, M.A.; Müller-Buschbaum, P.; Greenham, N.C. Photophysics and Photocurrent Generation in Polythiophene/Polyfluorene Copolymer Blends. Adv. Funct. Mater. 2009, 19, 3103–3111. [Google Scholar]
- He, X.; Gao, F.; Tu, G.; Hasko, D.; Hüttner, S.; Steiner, U.; Greenham, N.C.; Friend, R.H.; Huck, W.T.S. Formation of Nanopatterned Polymer Blends in Photovoltaic Devices. Nano Lett. 2010, 10, 1302–1307. [Google Scholar] [CrossRef]
- Mori, D.; Benten, H.; Kosaka, J.; Ohkita, H.; Ito, S.; Miyake, K. Polymer/Polymer Blend Solar Cells with 2.0% Efficiency Developed by Thermal Purification of Nanoscale-Phase-Separated Morphology. ACS Appl. Mater. Inter. 2011, 3, 2924–2927. [Google Scholar]
- Mori, D.; Benten, H.; Ohkita, H.; Ito, S.; Miyake, K. Polymer/Polymer Blend Solar Cells Improved by Using High-Molecular-Weight Fluorene-Based Copolymer as Electron Acceptor. ACS Appl. Mater. Inter. 2012, 4, 3325–3329. [Google Scholar]
- Moratti, S.C.; Cervini, R.; Holmes, A.B.; Baigent, D.R.; Friend, R.H.; Greenham, N.C.; Grüner, J.; Hamer, P.J. High electron affinity polymers for LEDs. Synt. Met. 1995, 71, 2117–2120. [Google Scholar]
- Greenham, N.C.; Moratti, S.C.; Bradley, D.D.C.; Friend, R.H.; Holmes, A.B. Efficient light-emitting diodes based on polymers with high electron affinities. Nature 1993, 365, 628–630. [Google Scholar]
- Halls, J.J.M.; Walsh, C.A.; Greenham, N.C.; Marseglia, E.A.; Friend, R.H.; Moratti, S.C.; Holmes, A.B. Efficient photodiodes from interpenetrating polymer networks. Nature 1995, 376, 498–500. [Google Scholar] [CrossRef]
- Yu, G.; Heeger, A.J. Charge separation and photovoltaic conversion in polymer composites with internal donor/acceptor heterojunctions. J. Appl. Phys. 1995, 78, 4510–4515. [Google Scholar] [CrossRef]
- Holcombe, T.W.; Woo, C.H.; Kavulak, D.F.J.; Thompson, B.C.; Fréchet, J.M.J. All-Polymer Photovoltaic Devices of Poly(3-(4-n-octyl)-phenylthiophene) from Grignard Metathesis (GRIM) Polymerization. J. Am. Chem. Soc. 2009, 131, 14160–14161. [Google Scholar]
- Cevik, E.; İlicali, D.; Egbe, D.A.M.; Günes, S. Bulk heterojunction and inverted type solar cells using a CN-PPV derivative. Sol. Energ. Mat. Sol. C. 2012, 98, 94–102. [Google Scholar]
- Egbe, D.A.M.; Kietzke, T.; Carbonnier, B.; Mühlbacher, D.; Hörhold, H.-H.; Neher, D.; Pakula, T. Synthesis, Characterization, and Photophysical, Electrochemical, Electroluminescent, and Photovoltaic Properties of Yne-Containing CN−PPVs. Macromolecules 2004, 37, 8863–8873. [Google Scholar] [CrossRef]
- Breeze, A.J.; Schlesinger, Z.; Carter, S.A.; Tillmann, H.; Hörhold, H.H. Improving power efficiencies in polymer—polymer blend photovoltaics. Solar Sol. Energ. Mat. Sol. C. 2004, 83, 263–271. [Google Scholar] [CrossRef]
- Kietzke, T.; Hörhold, H.-H.; Neher, D. Efficient Polymer Solar Cells Based on M3EH−PPV. Chem. Mater. 2005, 17, 6532–6537. [Google Scholar] [CrossRef]
- Yin, C.; Schubert, M.; Bange, S.; Stiller, B.; Castellani, M.; Neher, D.; Kumke, M.; Hörhold, H.-H. Tuning of the Excited-State Properties and Photovoltaic Performance in PPV-Based Polymer Blends. J. Phys. Chem. C 2008, 112, 14607–14617. [Google Scholar] [CrossRef]
- Cho, N.S.; Hwang, D.-H.; Jung, B.-J.; Lim, E.; Lee, J.; Shim, H.-K. Synthesis, Characterization, and Electroluminescene of New Conjugated Polyfluorene Derivatives Containing Various Dyes as Comonomers. Macromolecules 2004, 37, 5265–5273. [Google Scholar]
- Koetse, M.M.; Sweelssen, J.; Hoekerd, K.T.; Schoo, H.F.M.; Veenstra, S.C.; Kroon, J.M.; Yang, X.; Loos, J. Efficient polymer:polymer bulk heterojunction solar cells. Appl. Phys. Lett. 2006, 88, 83504:1–83504:3. [Google Scholar]
- Sang, G.; Zou, Y.; Huang, Y.; Zhao, G.; Yang, Y.; Li, Y. All-polymer solar cells based on a blend of poly 3-(10-n-octyl-3-phenothiazine-vinylene)thiophene-co-2,5-thiophene and poly 1,4-dioctyloxyl-p-2,5-dicyanophenylenevinylene. Appl. Phys. Lett. 2009, 94, 193302:1–193302:3. [Google Scholar]
- Chochos, C.L.; Economopoulos, S.P.; Deimede, V.; Gregoriou, V.G.; Lloyd, M.T.; Malliaras, G.G.; Kallitsis, J.K. Synthesis of a Soluble n-Type Cyano Substituted Polythiophene Derivative: A Potential Electron Acceptor in Polymeric Solar Cells. J. Phys. Chem. C 2007, 111, 10732–10740. [Google Scholar]
- Vijayakumar, C.; Saeki, A.; Seki, S. Optoelectronic Properties of Dicyanofluorene-Based n-Type Polymers. Chem. Asian J. 2012, 7, 1845–1852. [Google Scholar] [CrossRef]
- Cheng, Y.-J.; Yang, S.-H.; Hsu, C.-S. Synthesis of Conjugated Polymers for Organic Solar Cell Applications. Chem. Rev. 2009, 109, 5868–5923. [Google Scholar] [CrossRef]
- Cao, Y.; Lei, T.; Yuan, J.; Wang, J.-Y.; Pei, J. Dithiazolyl-benzothiadiazole-containing polymer acceptors: synthesis, characterization, and all-polymer solar cells. Polym. Chem. 2013, 4, 5228–5236. [Google Scholar] [CrossRef]
- Falzon, M.-F.; Zoombelt, A.P.; Wienk, M.M.; Janssen, R.A. Diketopyrrolopyrrole-based acceptor polymers for photovoltaic application. Phys. Chem. Chem. Phys. 2011, 13, 8931–8939. [Google Scholar] [CrossRef]
- Eo, M.; Lee, S.; Park, M.H.; Lee, M.H.; Yoo, S.; Do, Y. Vinyl-Type Polynorbornenes with Pendant PCBM: A Novel Acceptor for Organic Solar Cells. Macromol. Rapid Commun. 2012, 33, 1119–1125. [Google Scholar] [CrossRef]
- Eo, M.; Han, D.; Park, M.H.; Hong, M.; Do, Y.; Yoo, S.; Lee, M.H. Polynorbornenes with pendant PCBM as an acceptor for OPVs: Ring-opening metathesis versus vinyl-addition polymerization. Eur. Polym. J. 2014, 51, 37–44. [Google Scholar] [CrossRef]
- Chochos, C.L.; Govaris, G.K.; Kakali, F.; Yiannoulis, P.; Kallitsis, J.K.; Gregoriou, V.G. Synthesis, optical and morphological characterization of soluble main chain 1,3,4-oxadiazole copolyarylethers—Potential candidates for solar cells applications as electron acceptors. Polymer 2005, 46, 4654–4663. [Google Scholar] [CrossRef]
- Kymakis, E.; Koudoumas, E.; Franghiadakis, I. Bi-layer photovoltaic devices with PPQ as the electron acceptor layer. Sol. Energ. Mat. Sol. Cells 2006, 90, 1705–1714. [Google Scholar] [CrossRef]
© 2014 by the authors; licensee MDPI, Basel, Switzerland. This article is an open access article distributed under the terms and conditions of the Creative Commons Attribution license (http://creativecommons.org/licenses/by/3.0/).