Abstract
The formose reaction is an oligomerization of formaldehyde under basic conditions, which produces a complicated mixture of monosaccharides and sugar alcohols. Selective formation of useful monosaccharides by the formose reaction has been an important challenge. In this study, we have investigated the formose reaction controlled by N,N-dimethylacrylamide/4-vinylphenylboronic acid copolymer (pDMA/VBA) and phenylboronic acid (PBA) because boronic acid compounds form esters with polyols, e.g., monosaccharides and sugar alcohols. We obtained time–conversion data in the presence of these boronic acid compounds, and characterized the products by liquid chromatography-mass spectroscopy and NMR measurements. pDMA/VBA and PBA decelerated the formose reaction because of the formation of boronic acid esters with products. It is noteworthy that the formose reaction in the presence of pDMA/VBA and PBA formed favorably six- and seven-carbon branched monosaccharides and sugar alcohols.
1. Introduction
Carbohydrates are ubiquitous in our life and very important biological materials [1,2]. Carbohydrates can be divided into three categories based on their molecular weight; (1) low molecular weight saccharides, e.g., monosaccharides and disaccharides, (2) oligosaccharides, and (3) polysaccharides. Low molecular weight saccharides are utilized as energy source for living organisms, and oligosaccharides exhibit a number of physiological activities. Two representative polysaccharides are cellulose and starch; the former is utilized as a structural material in plants whereas the latter is employed as energy storage. Carbohydrates used in biological systems are synthesized by enzymatic reactions [1,2]. Synthesis of carbohydrates in a non-enzymatic way has been an important subject of investigation [3,4,5,6]. Especially, synthesis of monosaccharides from starting materials containing one or two carbon atoms is still remaining as a challenging subject because monosaccharides possess a number of chiral centers to be controlled [7,8].
Since monosaccharides, e.g., glyceraldehyde, erythrose, ribose, and glucose have the general formula (CH2O)n, monosaccharides can be formed by oligomerization of formaldehyde. In 1861, Butlerow [9] reported that a sugar-like product called ‘formose’ is obtained from formaldehyde by heating in water under basic conditions. This reaction is called the formose reaction. Detailed studies have revealed that the formose reaction proceeds through three major stages [10,11,12,13]. In the first stage, two formaldehyde molecules couple to form glycolaldehyde. Since this reaction is the rate-determining step, the formose reaction indicates an induction period. As glycolaldehyde acts as a co-catalyst, a variety of monosaccharides are formed dominantly through aldol reaction and aldose–ketose isomerization in the second stage. This stage is called the sugar-forming period. After completion of conversion of formaldehyde, the monosaccharides formed are decomposed mainly through retro-aldol and Cannizzaro reactions in the third stage. This stage is called the sugar-decomposing period. Thus, the formose reaction yields a complicated mixture of monosaccharides and sugar alcohols through these three stages. The formose reaction is considered as the most promising pathway to form monosaccharides under prebiotic conditions [14,15,16,17,18,19].
If the formose reaction proceeds in a controlled manner, it will provide an important pathway for non-enzymatic synthesis of monosaccharides. Some pioneering works on a selective formose reaction were conducted from the 1970s to the 1980s. Shigemasa et al. [20,21,22,23] devoted their remarkable efforts to optimize the conditions. Consequently, they first isolated a branched seven-carbon sugar alcohol from the reaction mixture of the formose reaction catalyzed by barium hydroxide in methanol [24,25]. Matsumoto et al. [26,27] successfully synthesized 1,3-dihydroxyacetone, a three-carbon monosaccharide, using a thiazolium catalyst in ethanol in the presence of triethylamine. After these pioneering works, however, there have been only a few studies on a selective formose reaction [28,29] and, thus, the selective formation of useful monosaccharides by the reaction remains under-examined.
We have been working on the formose reaction controlled by molecular recognition of polymers and molecular assemblies [30,31,32]. We have reported that the reaction is accelerated in reverse micelles of aerosol-OT, an anionic surfactant, and yields ethylene glycol as a major product [31].
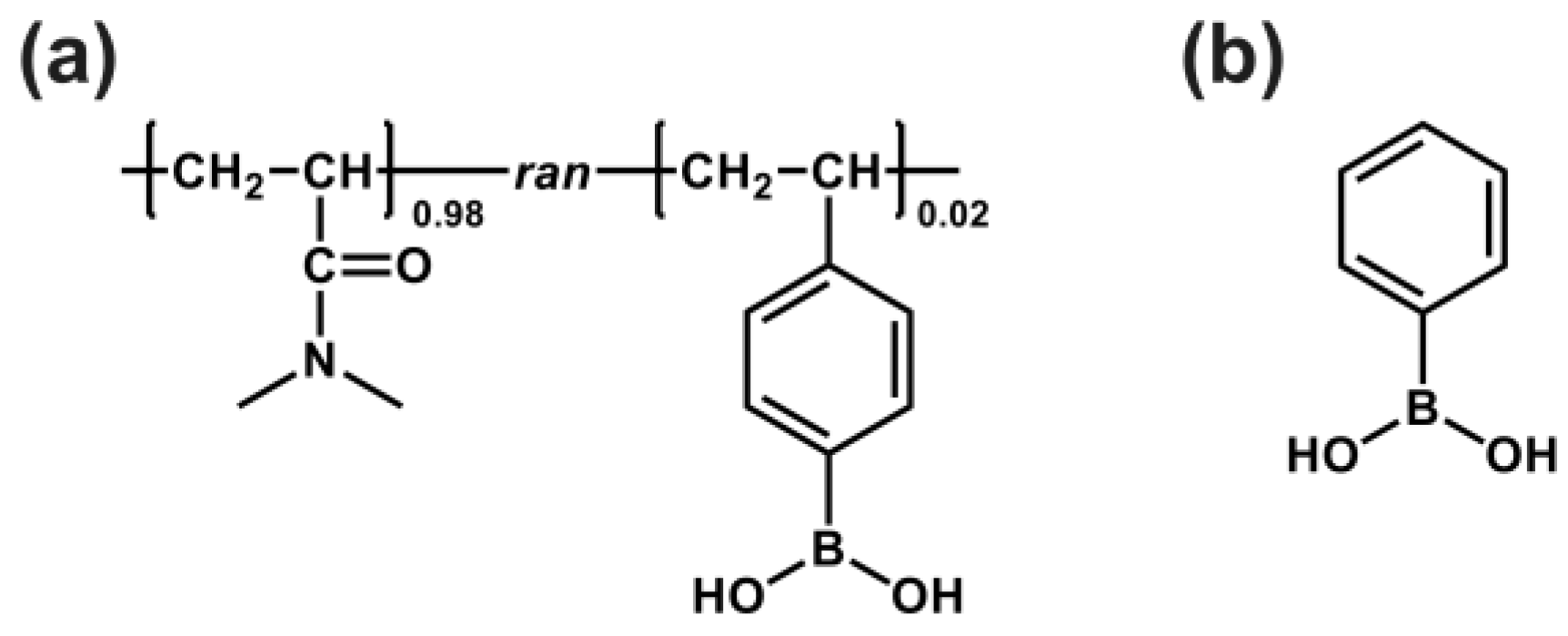
Recently, we have also utilized boronic acid compounds to control the formose reaction because boronic acid compounds form esters with polyols, e.g., monosaccharides or sugar alcohols. This phenomenon has been utilized as artificial molecular sensors for saccharides [33,34,35,36] and as polymeric materials responsive to saccharides [37]. When the formose reaction is carried out in the presence of boronic acid compounds, boronic acid esters may be formed to stabilize the products, leading to an enhanced selectivity. We have, thus, studied the formose reaction in the presence of sodium phenylboronate (NaPB) and an anionic copolymer (pNaSS/NaVB) of sodium 4-styrenesulfonate (NaSS) and sodium 4-vinylphenylboronate (NaVB) [32]. We observed that NaPB and pNaSS/NaVB decelerated the reaction. More importantly, we exhibited that the formose reaction produced three- to five-carbon monosaccharides preferably in the presence of NaPB and four- to eight-carbon sugar alcohols favorably in the presence of pNaSS/NaVB. However, we also observed that NaSS polymer decelerated the formose reaction. We have, thus, been motivated to use other boronic acid polymers. In this article, we describe the formose reaction carried out in the presence of a copolymer of non-ionic N,N-dimethylacrylamide and 4-vinylphenylboronic acid (pDMA/VBA, Scheme 1).
Scheme 1.
Chemical structures of pDMA/VBA (a) and PBA (b).
2. Materials and Methods
2.1. Materials
Methanol-d4 (>99.8%, Merck, Darmstadt, Germany), deuterium oxide (D2O, 99.9atom%D, Sigma Aldrich, St. Louis, MO, USA), dimethyl sulfoxide-d6 (DMSO-d6, 99.5 atm%, Sigma-Aldrich), acetonitrile (>99.8%, HPLC grade, Kishida Chemical, Osaka, Japan), and dimethyl solfoxide (DMSO, >98.0%, Nacalai Tesque, Kyoto, Japan) were purchased and used as received. 4-Vinylbenzyltrimethylammonium chloride (VTAC, 99%, Sigma Aldrich), 4,4′-azobis(4-cyanovaleric acid) (ACVA, 98.0+%, Wako, Osaka, Japan), 4-vinylphenylboronic acid (VBA, >97%, TCI, Tokyo, Japan), calcium hydroxide (Ca(OH)2, >95.0%, Sigma Aldrich), phenylboronic acid (PBA, >97.0%, TCI), lithium bromide (>98.0%, Nacalai Tesque), poly(sodium 4-styrenesulfonate) (pNaSS, average Mw~1,000,000, Sigma Aldrich), and Amberlite® IR120 (hydrogen form, Sigma Aldrich) were purchased and used as received. Acetylacetone (99.0+%, Wako), acetic acid (>99.0%, Nacalai Tesque), ammonium acetate (>97.0%, Nacalai Tesque), and ethanol (>99.5%, Shinwa Alcohol) were used for the acetylacetone method as received. N,N-Dimethylformamide (DMF, >99.5%, Kanto Chemical) was purified using a Glass Contour solvent dispensing system. N,N-Dimethylacrylamide (DMA) (>99.0%, KJ Chemicals, Tokyo, Japan) was used after treatment with a short alumina column. Water was purified with a Millipore Elix 5 system. Formaldehyde solution (36.0–38.0%, Wako) was diluted with water to adjust 1/12 vol% and used for the formose reaction. Amberlite® IRA410 (chloride form, Sigma Aldrich) was used after treatment with 1 M NaOH, followed by washing with water. Spectra/Por 5 dialysis tubing, 12–14 kD MWCO (Spectrum Laboratories) was used for dialysis. Other reagents were used as received.
2.2. Measurements
Size exclusion chromatography (SEC) measurements were performed on a TOSOH HLC-8320GPC EcoSEC equipped with a TOSOH TSK gel α-M column using 1.05 g·L−1 lithium bromide in DMSO as the eluent at 40 °C, with a flow rate of 0.4 mL min−1. The number of average molecular weights (Mn) and the ratios of the weigtht to the number average molecular weights (Mw/Mn) were calibrated with polyacrylamide standards (American Polymer Standards).
UV-VIS spectra were recorded on a HITACHI U-4100 spectrophotometer equipped with a cell holder thermostated at 25 °C using a Yamato CF300 circulator for the acetylacetone method.
IR spectra were recorded on a JASCO FT/IR-6100 spectrometer equipped with an ATR PRO410-S carrying a diamond prism.
Liquid chromatography-mass spectroscopy (LC-MS) measurements were performed on a Bruker Daltonics micrOTOF-QIII compact connected with a Shimadzu Prominence UFLC system. In the LC system, Shimadzu LC-20AD pumps and a Shodex 5NH2P-50 4E column were equipped, and a mixed solvent of water and acetonitrile (25/75, v/v) containing 0.1 vol% formic acid was used as an eluent at a flow rate of 0.6 mL min−1.
13C NMR and distortionless enhancement of polarization transfer with a pulse delay adjusted for 3π/4 (DEPT-135) measurements were performed on a JEOL JNM ECA500 spectrometer using D2O as a solvent at 25 °C. Two-dimensional heteronuclear single-quantum correlation (HSQC) and heteronuclear multiple bond correlation (HMBC) spectra were recorded on a Bruker AVANCE700 spectrometer using D2O as a solvent at 25 °C. Acetonitrile was used as an internal standard, and chemical shifts were referenced to the signal due to the methyl carbon of acetonitrile (δ = 1.47 ppm).
2.3. Preparation of Water Soluble Polymers
VTAC (4.23 g, 20.0 mmol) and ACVA (57 mg, 0.21 mmol) were dissolved in a mixed solvent of DMSO and water (9/1, v/v, 10 mL). The solution was deoxygenated by purging with nitrogen gas for 30 min, and then heated with an oil bath thermostated at 60 °C with stirring for 7 h. Subsequently, the reaction mixture was treated with 1 M NaOH (100 mL) at room temperature overnight. The polymer obtained was purified by dialysis against water for 15 days. Yield 3.41 g, 87.0%.
DMA (5.1 mL, 50 mmol) and ACVA (140 mg, 0.498 mmol) were dissolved in water (50 mL). The solution was deoxygenated by purging with nitrogen gas for 30 min, and then heated with an oil bath thermostated at 70 °C with stirring for 18 h. The polymer obtained was purified by dialysis against water for six days. Yield 3.96 g, 77.8%.
2.4. Preparation of N,N-Dimethylacrylamide/4-Vinylphenylboronic Acid Copolymer
DMA (4.1 mL, 40 mmol), VBA (59 mg, 0.40 mmol), and ACVA (112 mg, 0.399 mmol) were dissolved in DMF (40 mL). The solution was deoxygenated by purging with argon gas for 1 h, and then heated with an oil bath thermostated at 70 °C with stirring for 6 h. The polymer obtained was purified by dialysis against water for five days. Yield 3.01 g, 72.5%.
2.5. Formose Reaction in the Presence of Boronic Acid Compounds
A typical procedure of the formose reaction is described below. After pDMA/VBA (10 mg) was dissolved in an aqueous solution of formaldehyde (1 M, 2 mL), calcium hydroxide (18.8 mg, 0.240 mmol) was added to the mixture. The reaction mixture was warmed with a water bath thermostated at 60 °C with stirring. At predetermined reaction times, aliquots of the reaction mixture were taken to determine formaldehyde consumption by the acetylacetone method [38]. After a predetermined time, the reaction was quenched by adding 1 M HCl (0.24 mL). After the reaction mixture was treated with the ion exchenge resins for 30 min, the product was purified by dialysis against water (300 mL) for one day. The outer aqueous solution was concentrated under reduced pressure. After lyophilization of the solution, the product was obtained as pale brown solid. Yield 28 mg, 47%.
3. Results
3.1. Effect of Water Soluble Polymers on the Formose Reaction
Before investigation on the formose reaction in the presence of polymer-carrying boronic acid moieties, we started this study with an examination on the effect of water soluble polymers. We employed anionic poly(sodium 4-styrenesulfonate) (pNaSS), cationic poly(4-vinylbenzylammonium hydroxide) (pVTAOH), and nonionic poly(N,N-dimethylacrylamide) (pDMA) in this study. Figure 1 shows time–conversion plots for the formose reaction carried out using 0.2 M formaldehyde and 40 mM calcium hydroxide at 60 °C in the absence and presence of these polymers. In the absence of the polymers, the formaldehyde consumption increased up to a quantitative one within 30 min. However, the formose reaction was decelerated significantly in the presence of 10 g·L−1 pNaSS and pVTAOH, and the formaldehyde consumption became quantitative after ca. 40 and 50 min, respectively. In the presence of 10 g·L−1 pDMA, the formose reaction was slowed down only slightly, i.e., the formaldehyde consumption reached a quantitative one within 30 min. This observation indicates that pDMA does not considerably perturb the formose reaction.
Figure 1.
Time–conversion plots for the formose reaction carried out using 0.2 M formaldehyde and 40 mM calcium hydroxide at 60 °C in the absence (black circle, dotted line) and presence of 10 g·L−1 pNaSS (blue triangle), pVTAOH (green square), and pDMA (red circle). The curves are drawn as a guide for the eye.
3.2. Preparation of N,N-Dimethylacrylamide/4-Vinylphenylboronic Acid Copolymer
On the basis of the observations described above, we have chosen a copolymer of DMA and VBA (pDMA/VBA) to study the effect of polymer-carrying boronic acid moieties on formose reaction in this study. The copolymer was prepared by radical copolymerization of DMA and VBA in DMF using ACVA as initiator. The pDMA/VBA copolymer was purified by dialysis against water for five days. The VBA content in the copolymer was determined to be ca. 2 mol% by 1H NMR. The Mn and Mw/Mn values were evaluated to be 3.58 × 105 and 1.58, respectively, by SEC. Thus, a single chain carries ca. 70 boronic acid moieties in average. It is likely that the distribution of VBA units on the polymer chain is practically random.
3.3. Effect of the N,N-Dimethylacrylamide/4-Vinylphenylboronic Acid Copolymer
Since the formose reaction did not proceed in the presence of NaPB or pNaSS/NaVB under the reaction conditions in our previous study, a co-catalyst, i.e., fructose or glyceraldehyde, was necessary for conversion of formaldehyde. In this study, we have used the reaction conditions under which the reaction proceeded without any co-catalyst. We carried out the formose reaction using 1 M formaldehyde and 120 mM calcium hydroxide. Figure 2a indicates the time–conversion plots in the absence and presence of varying concentrations of pDMA/VBA. In the absence of pDMA/VBA, the formaldehyde consumption increased rapidly up to a quantitative one within 20 min. In the presence of 1 g·L−1 pDMA/VBA, the time–conversion plots were the same as those for the conventional formose reaction. In the presence of 5 g·L−1 pDMA/VBA, slight retardation of the reaction was observed, but the formaldehyde consumption became quantitative after 40 min. At 10 g·L−1 pDMA/VBA, significant retardation was not observed, but the formaldehyde consumption leveled off at ca. 80% after 60 min. These observations indicate that polymer-carrying boronic acid moieties retard the formose reaction because DMA units have almost no effect. Similarly, in the case of 0.2 mM PBA, the formose reaction was slightly decelerated, and the formaldehyde consumption increased up to a quantitative one after 40 min. In the presence of 0.5 mM PBA, the formaldehyde consumption leveled off at ca. 80% after 60 min. At 1 and 2 mM PBA, the formaldehyde consumption was saturated at ca. 40%. These observations confirm that PBA retards the formose reaction. A solution of 5 g·L−1 pDMA/VBA contains ca. 1 mM boronic acid moieties. It should be noted here that 1 mM PBA exhibits a stronger effect of retardation than does 5 g·L−1 pDMA/VBA. This observation indicates that low molecular weight boronic acid moieties have a stronger effect of retardation than do polymer-carrying ones presumably because of a lower effective concentration of polymer-carrying moieties.

Figure 2.
Time–conversion plots for the formose reaction carried out using 1 M formaldehyde and 120 mM calcium hydroxide at 60 °C in the presence of 0 (black circle), 0.2 (blue triangle), 0.5 (green inverted triangle), 1 (orange diamond), and 2 mM (red square) PBA (a) and 0 (black circle), 1 (blue triangle), 5 (orange diamond), and 10 g·L−1 (red square) pDMA/VBA (b). The same colors indicate the same concentrations of boronic acid moieties. The curves are drawn as a guide for the eye.
3.4. Confirmation of the Formation of Boronic Acid Esters in Formose Reaction Mixtures
It is likely that the retardation effect of boronic acid moieties in formose reaction is caused by the formation of boronic acid esters. To confirm the formation of boronic acid esters, IR spectra were recorded for mixtures before and after the reaction (Figure 3). Figure 3a,b contain absorption bands ascribable to calcium hydroxide at 668, 710, 750, and 872 cm−1 (see Figure S1 in Supplementary Materials). In Figure 3a, absorption bands at 1055, 1357, and 1379 cm−1 are assignable to the B–O–H deformation, B–O stretching, and B–O and B–C stretching vibrations, respectively [39,40]. Figure 3a also exhibits an absorption band due to the aromatic C–H deformation vibration at 789 cm−1 and a board absorption band assignable to formaldehyde in the region of 1000–1200 cm−1. In the IR spectrum for the reaction mixture (Figure 3b), absorption bands at 787, 1353, and 1379 cm−1 are assignable to the aromatic C–H deformation, B–O stretching, and B–O and B–C stretching vibrations, respectively. It is noteworthy that Figure 3b does not exhibit any absorption band due to B–O–H deformation at ca. 1055 cm−1 whereas it contains a absorption band due to the B–O–H in quaternized boronic acid esters at 993 cm−1 [41] and a broad absorption band due to the C–O stretching vibration in the region of 950–1100 cm−1. These observations indicate that as the formose reaction proceeds in the presence of PBA, the free boronic acid is consumed to form esters.
Figure 3.
IR spectra for the reaction mixture containing 1 M formaldehyde, 120 mM calcium hydroxide, and 2 mM PBA before (a) and after heating at 60 °C for 60 min (b). The measurements were carried out after evaporation of the solvent by air blowing on a diamond prism loaded in the ATR attachment. Symbols (cross and circle) denote the absorption bands assignable to calcium hydroxide and formaldehyde, respectively.
3.5. Characterization of Formose Reaction Products
The formose reaction products were characterized by LC-MS. The products were purified by treatment of the reaction mixtures with the ion-exchange resins followed by dialysis against pure water. Figure 4a,b display mass chromatograms for the products of the formose reaction carried out in the presence of pDMA/VBA and PBA, respectively. For reference, the mass chromatogram for the product without any boronic acid compound is indicated in Figure 4c. This figure indicates a number of signals in the elution time region of 7–14 min, indicative of the formation of a complicated mixture in the conventional formose reaction. On the other hand, as can be seen in Figure 4a,b, the mass chromatograms for the products of formose reaction in the presence of pDMA/VBA and PBA exhibit four major signals at 7.7, 8.7, 9.3, and 9.6 min. These chromatograms do not contain any signals in the elution time region of 10–14 min, indicating that the selectivity of the formose reaction is somehow enhanced.
Figure 4.
Mass chromatograms for the products of the formose reaction carried out using 1 M formaldehyde and 120 mM calcium hydroxide at 60 °C in the presence of 10 g·L−1 pDMA/VBA (a) and 0.5 mM PBA (b), and in their absence (c). The reaction time was 180 (a,b) or 20 min (c). The m/z range of 60–250 was detected.
Figure 5 compares the mass spectra for the four major signals in Figure 4a,b. As a eference, the mass spectrum for the product of the conventional formose reaction is shown in Figure S3 in the Supplementary Materials. The spectrum indicates a number of signals at m/z = 145.06, 153.09, 175.07, 183.10, 203.10, 213.12, and 232.08 assignable to four- to seven-carbon sugar alcohols, as well as six-carbon monosaccharides (for assignments see Figure S3 in Supplementary Materials). These signals are indicative of the formation of a complicated mixture. Figure 5a,b show the mass spectra at the maxima of four major signals in Figure 4a,b for the products of the formose reaction in the presence of pDMA/VBA and PBA, respectively. Figure 5a,b indicate that the formose reaction yields, selectively, six- and seven-carbon monosaccharides and sugar alcohols in the presence of pDMA/VBA and PBA.
Figure 5.
Mass spectra obtained in the LC-MS measurements for the products of the formose reaction carried out using 1 M formaldehyde and 120 mM calcium hydroxide at 60 °C for 180 min in the presence of 10 g·L−1 pDMA/VBA (a) and 0.5 mM PBA (b). Spectra A–H were recorded at the maxima of signals A–H in Figure 4. Spectra X and Y are the total mass spectra recorded in the region of 7–14 min in Figure 4a,b, respectively. Cn and CnA denote n-carbon monosaccharide and sugar alcohol, respectively.
The structure of products was also characterized by NMR spectroscopy. As an example, Figure 6 shows 13C NMR and DEPT-135 spectra for the product of formose reaction in the presence of pDMA/VBA. The 13C NMR spectrum shows a number of signals, indicating that the product contains some isomers. The DEPT-135 spectrum contains positive and negative signals ascribed to methine and methylene carbons, respectively. It is noteworthy that there are significant signals ascribable to quaternary carbons in the region of 70–90 ppm in the 13C NMR spectrum, which are not observed in the DEPT-135 spectrum. This observation indicates that the products contain branched monosaccharides and sugar alcohols. The formation of branched products was confirmed by HSQC and HMBC spectra (Figures S4 and S5 in Supplementary Materials).
Figure 6.
13C NMR (lower) and DEPT-135 spectra (upper) for the product of the formose reaction carried out using 1 M formaldehyde and 120 mM calcium hydroxide at 60 °C for 60 min in the presence of 5 g·L−1 pDMA/VBA.
4. Discussion
Here we discuss why boronic acid compounds somehow enhance the selectivity of formose reaction products. As described in the introduction part, formose reaction proceeds via some elemental steps, including acyloin condensation, aldol and retro-aldol reactions, aldose–ketose isomerization, and the Cannizzaro reaction. Thus, it is known that formose reaction provides favorably branched monosaccharides and sugar alcohols [24,25,42]. On the other hand, boronic acid compounds form esters with the formose reaction products. Since added boronic acid compounds significantly retard the formose reaction, the formation of boronic acid esters protect the products against further reactions. The stability of boronic acid esters depends on the relative orientation of two hydroxy groups, i.e., the species of monosaccharides and sugar alcohols. It is also known that boronic acid esters of a five- or six-membered ring are rather stable [43]. It is, thus, likely that formose reaction in the boronic acid compounds produces favorably six- and seven-carbon monosaccharides and the corresponding sugar alcohols, which can form rather stable esters of a five- or six-membered ring (Figure 7).
Figure 7.
Conceptual illustration of formose reaction in the presence of a boronic acid polymer, in which the polymer stabilizes the product via ester formation, leading to an enhanced selectivity.
It has been reported that two boronic acid moieties of a specific relative location form ester with monosaccharides showing an enhanced selectivity [36]. Thus, molecularly imprinted polymers [44,45] or cross-linked dendrimers [46], in which two boronic acid moieties are located appropriately, are promising to give a higher selectivity of the formose reaction product.
Supplementary Materials
The following are available online at www.mdpi.com/2073-4360/9/11/549/s1. Figure S1. IR spectra for the standard samples and the reaction mixtures: A mixture of 1 M formaldehyde and 120 mM calcium hydroxide in water (a), a mixture of 120 mM calcium hydroxide and 2 mM PBA in water (b), PBA (c), the mixtures containing 1 M formaldehyde, 120 mM calcium hydroxide, and 2 mM PBA before (d) and after formose reaction at 60 °C for 60 min (e). The measurements were carried out after evaporation of the solvent by air blowing on a diamond prism loaded in the ATR attachment; Figure S2. IR spectrum computationally calculated for the ester of quaternized diphenylboronic acid with fructose using a Gaussian 09W software with the following settings: calculation type, frequency; calculation method, RHF; basis set, 3–21 G (upper panel), and a snapshot of the three-dimensional vibrational structure responsible for the absorption band at 974 nm−1 (lower panel); Figure S3. The mass spectrum recorded in LC-MS measurements for the region of 7–14 min in Figure 4c, corresponding to the products of formose reaction carried out using 1 M formaldehyde and 120 mM calcium hydroxide at 60 °C for 20 min in the absence of the boronic acid compounds; Figure S4. HSQC spectrum for the product of formose reaction carried out using 1 M formaldehyde and 120 mM calcium hydroxide at 60 °C for 60 min in the presence of 5 g·L−1 pDMA/VBA; Figure S5. HMBC spectrum for the product of formose reaction carried out using 1 M formaldehyde and 120 mM calcium hydroxide at 60 °C for 60 min in the presence of 5 g·L−1 pDMA/VBA; Video S1. The three-dimensional vibrational structure responsible for the absorption band at 974 nm−1 in the calculated spectrum (Figure S2).
Acknowledgments
This study was financially supported in part by the Sasakawa Scientific Research Grant from the Japan Science Society and JSPS Kakenhi Grant Numbers JP23550137, JP26288061.
Author Contributions
Tomohiro Michitaka and Akihito Hashidzume conceived and designed the experiments; Tomohiro Michitaka and Toru Imai performed the experiments; Tomohiro Michitaka and Akihito Hashidzume analyzed the data; Tomohiro Michitaka and Akihito Hashidzume wrote the paper.
Conflicts of Interest
The authors declare no conflict of interest.
References and Notes
- Voet, D.; Voet, J.G. Biochemistry, 4th ed.; Wiley & Sons: New York, NY, USA, 2010. [Google Scholar]
- Alberts, B.; Johnson, A.; Lewis, J.; Morgan, D.; Raff, M.; Roberts, K.; Walter, P. Molecular Biology of the Cell, 6th ed.; Garland Publishing Inc.: New York, NY, USA, 2014. [Google Scholar]
- Ager, D.J.; East, M.B. The synthesis of carbohydrate derivatives from acyclic precursors. Tetrahedron 1993, 49, 5683–5765. [Google Scholar] [CrossRef]
- Bertozzi, C.R.; Kiessling, L.L. Chemical glycobiology. Science 2001, 291, 2357. [Google Scholar] [CrossRef] [PubMed]
- Kinnaert, C.; Daugaard, M.; Nami, F.; Clausen, M.H. Chemical synthesis of oligosaccharides related to the cell walls of plants and algae. Chem. Rev. 2017, 117, 11337–11405. [Google Scholar] [CrossRef] [PubMed]
- Song, W.; Wang, S.; Tang, W. De novo synthesis of mono- and oligosaccharides via dihydropyran intermediates. Chem. Asian J. 2017, 12, 1027–1042. [Google Scholar] [CrossRef] [PubMed]
- Northrup, A.B.; MacMillan, D.W.C. Two-step synthesis of carbohydrates by selective aldol reactions. Science 2004, 305, 1752–1755. [Google Scholar] [CrossRef] [PubMed]
- Northrup, A.B.; Mangion, I.K.; Hettche, F.; MacMillan, D.W.C. Enantioselective organo-catalytic direct aldol reactions of α-oxy-aldehydes: Step one in a two-step synthesis of carbohydrates. Angew. Chem. Int. Ed. 2004, 43, 2152–2154. [Google Scholar] [CrossRef] [PubMed]
- Butlerow, A. Bildung einer zuckerartigen substanz durch synthese. Ann. Chem. 1861, 120, 295–298. [Google Scholar] [CrossRef]
- Breslow, R. Mechanism of the formose reaction. Tetrahedron Lett. 1959, 1, 22–26. [Google Scholar] [CrossRef]
- Mizuno, T.; Weiss, A.H. Synthesis and utilization of formose sugars. Adv. Carbohydr. Chem. Biochem. 1974, 29, 173–227. [Google Scholar] [CrossRef]
- Weiss, A.H.; Socha, R.F.; Likholobov, V.A.; Sakharov, M.M. Formose sugars from formaldehyde. Appl. Cat. 1981, 1, 237–246. [Google Scholar] [CrossRef]
- Delidovich, I.V.; Simonov, A.N.; Taran, O.P.; Parmon, V.N. Catalytic formation of monosaccharides: From the formose reaction towards selective synthesis. ChemSusChem 2014, 7, 1833–1846. [Google Scholar] [CrossRef] [PubMed]
- Kofoed, J.; Reymond, J.-L.; Darbre, T. Prebiotic carbohydrate synthesis: Zinc-proline catalyzes direct aqueous aldol reactions of α-hydroxy aldehydes and ketones. Org. Biomol. Chem. 2005, 3, 1850–1855. [Google Scholar] [CrossRef] [PubMed]
- Jalbout, A.F.; Abrell, L.; Adamowicz, L.; Polt, R.; Apponi, A.J.; Ziurys, L.M. Sugar synthesis from a gas-phase formose reaction. Astrobiology 2007, 7, 433–442. [Google Scholar] [CrossRef] [PubMed]
- Jalbout, A.F. Prebiotic synthesis of simple sugars by an interstellar formose reaction. Orig. Life Evol. Biosph. 2008, 38, 489–497. [Google Scholar] [CrossRef] [PubMed]
- Breslow, R.; Cheng, Z.-L. L-Amino acids catalyze the formation of an excess of D-glyceraldehyde, and thus of other D sugars, under credible prebiotic conditions. Proc. Natl. Acad. Sci. USA 2010, 107, 5723–5725. [Google Scholar] [CrossRef] [PubMed]
- Mauksch, M.; Wei, S.; Freund, M.; Zamfir, A.; Tsogoeva, S.B. Spontaneous mirror symmetry breaking in the aldol reaction and its potential relevance in prebiotic chemistry. Orig. Life Evol. Biosph. 2010, 40, 79–91. [Google Scholar] [CrossRef] [PubMed]
- Kim, H.-J.; Ricardo, A.; Illangkoon, H.I.; Kim, M.J.; Carrigan, M.A.; Frye, F.; Benner, S.A. Synthesis of carbohydrates in mineral-guided prebiotic cycles. J. Am. Chem. Soc. 2011, 133, 9457–9468. [Google Scholar] [CrossRef] [PubMed]
- Matsuura, T.; Shigemasa, Y.; Sakazawa, C. Potentiometric analysis of the formose reaction. Chem. Lett. 1974, 713–714. [Google Scholar] [CrossRef]
- Shigemasa, Y.; Shimao, M.; Sakazawa, C.; Matsuura, T. Potentiometric analysis and fundamental technique. Bull. Chem. Soc. Jpn. 1975, 48, 2099–2102. [Google Scholar] [CrossRef]
- Shigemasa, Y.; Saimoto, H. Formose. Synthesis of saccharides from formaldehyde. Trends Glycosci. Glycotechnol. 1990, 2, 119–123. [Google Scholar] [CrossRef]
- Saimoto, H.; Sugiyama, N.; Sashiwa, H.; Shigemasa, Y. Formation of C2 and C3 sugars in the formose reaction. Chem. Express 1993, 8, 737–740. [Google Scholar]
- Shigemasa, Y.; Nagae, O.; Sakazawa, C.; Nakashima, R.; Matsuura, T. Formose reactions. 5. A selective formose reaction. J. Am. Chem. Soc. 1978, 100, 1309–1310. [Google Scholar] [CrossRef]
- Shigemasa, Y.; Kawahara, M.; Sakazawa, C.; Nakashima, R.; Matsuura, T. Formose reactions. IX. Selective formation of branched sugar alcohols in a modified formose reaction and factors affecting the selectivity. J. Cat. 1980, 62, 107–116. [Google Scholar] [CrossRef]
- Matsumoto, T.; Inoue, S. Selective formation of triose from formaldehyde catalyzed by ethylbenzothiazolium bromide. J. Chem. Soc. Chem. Commun. 1983, 171–172. [Google Scholar] [CrossRef]
- Matsumoto, T.; Yamamoto, H.; Inoue, S. Selective formation of triose from formaldehyde catalyzed by thiazolium salt. J. Am. Chem. Soc. 1984, 106, 4829–4832. [Google Scholar] [CrossRef]
- Ricardo, A.; Carrigan, M.A.; Olcott, A.N.; Benner, S.A. Borate minerals stabilize ribose. Science 2004, 303, 196. [Google Scholar] [CrossRef] [PubMed]
- Lambert, J.B.; Gurusamy-Thangavelu, S.A.; Ma, K. The silicate-mediated formose reaction: Bottom-up synthesis of sugar silicates. Science 2010, 327, 984–986. [Google Scholar] [CrossRef] [PubMed]
- Hashidzume, A.; Fujimoto, T.; Masaoka, M.; Sanada, Y.; Sato, T. Preparation and catalytic activity of porous alumina by the sol-gel process in the presence of saccharides. Kobunshi Ronbunshu 2010, 67, 312–317. [Google Scholar] [CrossRef]
- Masaoka, M.; Michitaka, T.; Hashidzume, A. Formose reaction accelerated in aerosol-OT reverse micelles. Beilstein J. Org. Chem. 2016, 12, 2663–2667. [Google Scholar] [CrossRef] [PubMed]
- Imai, T.; Michitaka, T.; Hashidzume, A. Formose reaction controlled by boronic acid compounds. Beilstein J. Org. Chem. 2016, 12, 2668–2672. [Google Scholar] [CrossRef] [PubMed]
- James, T.D.; Sandanayake, K.R.A.S.; Shinkai, S. Saccharide sensing with molecular receptors based on boronic acid. Angew. Chem. Int. Ed. Engl. 1996, 35, 1910–1922. [Google Scholar] [CrossRef]
- James, T.D.; Phillips, M.D.; Shinkai, S. Boronic Acids in Saccharide Recognition; The Royal Society of Chemistry: Cambridge, UK, 2006. [Google Scholar]
- Kubo, Y.; Nishiyabu, R.; James, T.D. Hierarchical supramolecules and organization using boronic acid building blocks. Chem. Commun. 2015, 51, 2005–2020. [Google Scholar] [CrossRef] [PubMed]
- Zhai, W.; Sun, X.; James, T.D.; Fossey, J.S. Boronic acid-based carbohydrate sensing. Chem. Asian J. 2015, 10, 1836–1848. [Google Scholar] [CrossRef] [PubMed]
- Brooks, W.L.A.; Sumerlin, B.S. Synthesis and applications of boronic acid-containing polymers: From materials to medicine. Chem. Rev. 2016, 116, 1375–1397. [Google Scholar] [CrossRef] [PubMed]
- Maruo, Y.Y.; Nakamura, J.; Uchiyama, M. Development of formaldehyde sensing element using porous glass impregnated with β-diketone. Talanta 2008, 74, 1141–1147. [Google Scholar] [CrossRef] [PubMed]
- Faniran, J.A.; Shurvell, H.F. Infrared spectra of phenylboronic acid (normal and deuterated) and diphenyl phenylboronate. Can. J. Chem. 1968, 46, 2089–2095. [Google Scholar] [CrossRef]
- Smith, M.K.; Northrop, B.H. Vibrational properties of boroxine anhydride and boronate ester materials: Model systems for the diagnostic characterization of covalent organic frameworks. Chem. Mater. 2014, 26, 3781–3795. [Google Scholar] [CrossRef]
- As can be seen in Figure S2 in Supplementary Materials, the theoretical calculation indicates the absorption band due to the B–O–H in the quaternized boronic acid ester is observed at ca. 974 cm−1.
- Shigemasa, Y.; Akagi, S.; Nakashima, R.; Saito, S. Formose reactions. Part 10. A selective synthesis of 2,4-di-C-(hydroxymethyl)-3-pentulose in the formose reaction. Carbohydr. Res. 1980, 80, C1–C3. [Google Scholar] [CrossRef]
- Hall, D.G. Boronic Acids: Preparation, Application in Organic Synthesis and Medicine; Wiley-VCH: Weinheim, Germany, 2005. [Google Scholar]
- Wulff, G.; Schauhoff, S. Enzyme-analog-built polymers. 27. Racemic resolution of free sugars with macroporous polymers prepared by molecular imprinting. Selectivity dependence on the arrangement of functional groups versus spatial requirements. J. Org. Chem. 1991, 56, 395–400. [Google Scholar] [CrossRef]
- Wulff, G. Enzyme-like catalysis by molecularly imprinted polymers. Chem. Rev. 2002, 102, 1–27. [Google Scholar] [CrossRef] [PubMed]
- Hashidzume, A.; Zimmerman, S.C. Switching the selectivity of a polyglycerol dendrimer monomolecularly imprinted with D-(–)-fructose. Tetrahedron Lett. 2009, 50, 2204–2207. [Google Scholar] [CrossRef] [PubMed]
© 2017 by the authors. Licensee MDPI, Basel, Switzerland. This article is an open access article distributed under the terms and conditions of the Creative Commons Attribution (CC BY) license (http://creativecommons.org/licenses/by/4.0/).








