Abstract
N-alkoxybenzyl aromatic polyamides were synthesized by polycondensation of N-alkoxybenzyl aromatic diamine with equimolar dicarboxylic acid chloride in the presence of 2.2 equiv. of pyridine at room temperature for 2 days. The obtained polyamides were mainly cyclic polymers, as determined by means of matrix-assisted laser desorption ionization time-of-flight (MALDI-TOF) mass spectrometry, and showed higher solubility in organic solvents than unprotected aromatic polyamides. Photodeprotection of N-alkoxybenzyl aromatic polyamide film containing photo acid generator (PAG) proceeded well under UV irradiation (5 J/cm2), followed by heating at 130 °C for 15 min. The nature of the polymer end groups of N-alkoxybenzyl aromatic polyamides was found to be crucial for photodeprotection reactivity. These polymers are promising candidates for photosensitive heat-resistant materials for fine Cu wiring formation by electroless Cu plating of high-density semiconductor packaging substrates.
1. Introduction
Electronic devices, such as mobile phones, tablets, and personal computers, are becoming dramatically smaller and more functionalized. Thus, there is a continuing requirement for packaging structures for semiconductors to be made smaller and thinner, and consequently further scaling-down of Cu wiring and vias in packaging substrates is needed [1]. The semi-additive process (SAP) is currently a cutting-edge technology for Cu wiring and via formation in packaging substrate manufacturing. In this process, electroless Cu plating is applied to form patterned Cu wires on the substrate. To obtain fine Cu wiring below 5 μm, sputtering Ti/Cu has been investigated [2]. CO2 lasers have been used for via formation to non-photosensitive heat-resistant material, while UV-YAG and excimer lasers have been studied to open vias below 50 μm in diameter [3]. However, these techniques present difficulties in removal of residues on Cu, and there is a risk of damage to Cu wiring due to ablation by the laser.
Photosensitive heat-resistant materials, such as polyimides (PI) or polybenzoxazole (PBO), exhibit excellent mechanical properties and are used in microelectronics application [4,5] to simplify via formation processing by photolithography. We have developed film-type photosensitive heat-resistant materials for high-density packaging, such as phenolic-resin-based negative tone resist containing cross-linkers and photo acid generator (PAG), and these materials provide high resolution (10 μm via for 25 μm-thick film), high adhesion to Ti/Cu sputtering seed layer, and capability to fabricate Cu wiring of less than 5 μm [6]. The sputtering method can enhance adhesion strength, but it is difficult to increase throughput and production cost is high.
Polyamides derived from diamine and dicarboxylic acid exhibit high heat-resistance, and are mainly used in high-temperature environments [7,8,9,10]. It is well known that amide linkage structure interacts with metal and metal salts such as Cu and Mn [11,12]. The adhesion strength of diallyl phthalate resin for Cu is improved by addition of polyamide [13]. Accordingly, we considered that polyamides would be promising materials to enhance adhesion strength in electroless Cu plating. However, conventional aromatic polyamides are insoluble in organic solvents because of strong intermolecular interactions based on the rigid structure and hydrogen bonding of the amide linkages.
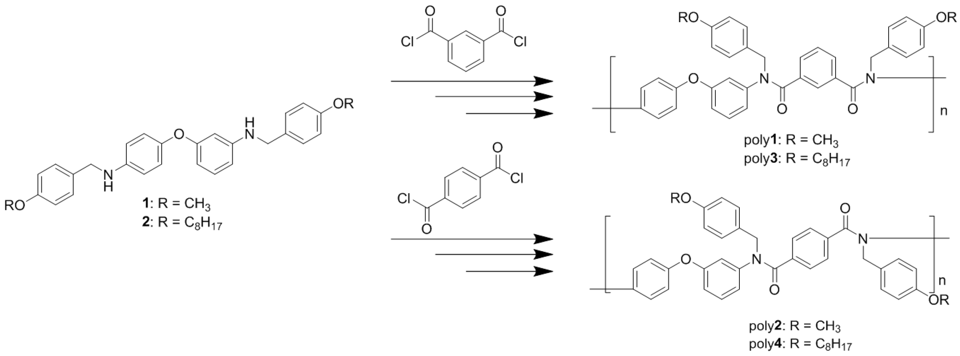
We have reported synthesis of aromatic polyamides having an N-alkoxybenzyl group as a protecting group of the amide linkage [14,15]. These polyamides are soluble in several organic solvents and are converted to N-H polyamides by treatment with trifluoroacetic acid (TFA) at room temperature. If photodeprotection of N-alkoxybenzyl aromatic polyamide with PAG proceeds under UV irradiation, we could obtain promising photosensitive heat-resistant materials applicable for fine Cu wiring formation with electroless Cu plating for high-density packaging substrates. In other words, the photosensitive N-alkoxybenzyl aromatic polyamide would be converted to aromatic polyamide having a high adhesion property in the UV-irradiated area. In this article, we describe the synthesis of a series of N-alkoxybenzyl aromatic polyamides, poly1–poly4, derived from N-alkoxybenzyldiamines 1 and 2 and dicarboxylic acid dichlorides (Scheme 1). We further examined photodeprotection of the obtained polyamides with PAG (Scheme 2).
Scheme 1.
Synthesis of N-alkoxybenzyl aromatic polyamides, poly1–poly4, from 1 or 2 with dicarboxylic dichloride.
Scheme 2.
Photo-deprotection of N-alkoxybenzyl aromatic polyamides, poly1–poly4, with PAG.
2. Materials and Methods
2.1. Measurement
1H NMR spectra were obtained on JEOL ECA-600 and ECA-500 (JEOL RESONANCE Inc., Tokyo, Japan) instruments operating in the pulsed Fourier-transfer (FT) mode, with tetramethylsilane (TMS, 0.00 ppm) as an internal standard. IR spectra were recorded on a JASCO FT/IR-410 (JASCO Corporation, Tokyo, Japan). Diamond attenuated total reflection (ATR) spectra were recorded on DIGLAB FTX3000MX (Bio-Rad Labo-ratories, Inc., Hercules, CA, USA). The Mn and Mw/Mn values of polymers were measured on a Shodex GPC-101 (eluent: THF; calibration, polystyrene standards, SHOWA DENKO K.K., Tokyo, Japan) equipped with Shodex UV-41, Shodex RI-71S, and two Shodex KF-804-L columns (SHOWA DENKO K.K., Tokyo, Japan). MALDI-TOF mass spectra were recorded on a Shimadzu/Kratos AXIMA-CFR plus (Shimadzu/Kratos, Manchester, UK) in the reflectron ion mode by use of a laser (λ = 337 nm). Dithranol (1,8-dihydroxy-9[10H]-anthracenone) was used as the matrix for the MALDI-TOF mass measurements.
2.2. Materials
Isophthaloyl chloride (IPC), terephthaloyl chloride (TPC), 3,4′-diaminodiphenyl ether (DDE), 4-methoxybenzaldehyde, and 4-octyloxybenzaldehyde were purchased from Tokyo Chemical Industry (TCI, Tokyo, Japan). Dehydrated tetrahydrofuran (dry THF, Kanto, Japan) and dehydrated dichloromethane (dry CH2Cl2, Kanto, Japan) were used as received, without purification. PAG, CPI-110A, was purchased from Sanyo Chemical Industries, Ltd, Tokyo, Japan. Other reagents were purchased from TCI or Wako Pure Chemical Industries (Wako, Japan) and used as received. Aromatic polyamides, poly5 and poly6 were prepared by polycondensation of 3,4′-DDE with IPC and TPC, respectively.
2.3. Synthesis of N-Alkoxybenzyl Aromatic Diamines 1 and 2
2.3.1. Diimine 3
A mixture of 3,4′-DDE (4.00 g, 20.0 mmol) and 4-methoxybenzaldehyde (12 mL, 100 mmol) was stirred at 70 °C for 10 min, and then poured into ethanol. The precipitated product was collected by filtration and washed with ethanol. The product was dried under vacuum overnight to give 3 (8.34 g, 96%): 106.5–110.5 °C; 1H NMR (600 MHz, CDCl3) δ 8.41 (s, 1 H), 8.35 (s, 1 H), 7.85 (d, J = 2.8 Hz, 2 H), 7.82 (d, J = 3.1 Hz, 1 H), 7.33 (t, J = 8.0 Hz, 1 H), 7.22 (d, J = 3.0 Hz, 1 H), 7.07 (d, J = 3.2 Hz, 1 H), 6.99–6.96 (m, 4 H), 6.92 (dd, J = 1.0 and 7.0 Hz, 1 H), 6.88 (dd, J = 1.0 and 7.5 Hz, 1 H), 6.84 (d, J = 2.1 Hz, 1 H), 3.87 (s, 3 H), 3.87 (s, 3 H).
2.3.2. N,N′-bis(4-methoxybenzyl)diamine 1
To a solution of 3 (3.01 g, 6.6 mmol) in dry THF (60 mL), methanol (30 mL) and NaBH4 (0.76 g, 27.0 mmol) were added with stirring at 0 °C. The reaction mixture was stirred at 0 °C for 21 h, and methylene chloride (CH2Cl2) was added to it. The organic layer was washed with saturated aqueous NaHCO3, dried over anhydrous MgSO4, and concentrated under reduced pressure. The obtained residue was recrystallized from toluene–hexane (1:3) to give 1 as a colorless solid (2.34 g, 80%): mp 67.5–70.0 °C; 1H NMR (600 MHz, CDCl3) δ 7.30 (d, J = 8.2 Hz, 2 H), 7.24 (d, J = 7.9 Hz, 2 H), 7.04 (t, J = 8.0 Hz, 1 H), 6.89–6.85 (m, 3 H), 6.60 (d, J = 6.0 Hz, 1 H), 6.28 (dd, J = 2.5 and 6.0 Hz, 1 H), 6.25 (dd, J = 2.5 and 6.5 Hz, 1 H), 6.20 (s, 1 H), 4.23 (s, 2 H), 4.18 (s, 2 H), 3.80 (s, 3 H), 3.80 (s, 3 H).
2.3.3. Diimine 4
Diimine 4 was synthesized in the same manner as 3 using 4-octyloxybenzaldehyde instead of 4-methoxybenzaldehyde (yield 92%): mp 96.5–101.0 °C; 1H NMR (600 MHz, CDCl3) δ 8.40 (s, 1 H), 8.30 (s, 1 H), 7.82 (d, J = 8.9 Hz, 2 H), 7.80 (d, J = 8.9 Hz, 2 H), 7.32 (t, J = 8.0 Hz, 1 H), 7.20 (d, J = 3.0 Hz, 2 H), 7.07 (d, J = 3.0 Hz, 2 H), 6.97–6.94 (m, 3 H), 6.92 (d, J = 1.0 Hz, 1 H), 6.87 (d, J = 1.5 Hz, 1 H), 6.84 (s, 1 H).
2.3.4. N,N′-Bis(4-octyloxybenzyl)diamine 2
Diamine 2 was synthesized in the same manner as 1 using ethanol instead of toluene–hexane (1:3) (yield 78%, yellow solid): mp 50.1–55.6 °C; 1H NMR (600 MHz, CDCl3) δ 7.28 (d, J = 8.2 Hz, 2 H), 7.23 (d, J = 8.2 Hz, 2 H), 7.04 (t, J = 8.0 Hz, 1 H), 6.89–6.82 (m, 6 H), 6.60 (d, J = 8.5 Hz, 2 H), 6.28 (d, J = 8.2 Hz, 1 H), 6.24 (d, J = 7.9 Hz, 1 H), 6.22 (s, 1 H), 1.78–1.77 (m, 4 H), 1.45–1.42 (m, 4 H), 1.34–1.25 (m, 16 H), 0.89–0.87 (m, 6 H).
2.4. Synthesis of N-Alkoxybenzyl Aromatic Polyamide
2.4.1. Synthesis of Poly1
A solution of 1 (0.70 g, 1.6 mmol) and pyridine (0.3 mL, 3.5 mmol) in dry NMP (1.4 mL) was placed in a round-bottomed flask equipped with a three-way stopcock under an Ar atmosphere. Into the flask was added IPC (0.32 g, 1.6 mmol) in dry NMP (1.4 mL) via a syringe from the three-way stopcock with a stream of N2 at 0 °C. The reaction mixture was stirred at room temperature for 2 days. A small amount of methanol (0.5 mL) was added to quench the reaction, and the mixture was diluted with NMP (4 mL). The whole mixture was poured into water. The precipitate was collected by filtration and washed with water. The product was dried under vacuum overnight to give poly1 as a colorless solid (0.90 g, 94%): 1H NMR (600 MHz, CDCl3) δ 7.43–7.35 (m, 1 H), 7.21–6.99 (m, 7 H), 6.91–6.82 (m, 1 H), 6.78 (d, J = 7.9 Hz, 2 H), 6.75 (d, J = 7.6 Hz, 2 H), 6.69–6.59 (m, 3 H), 6.45–6.32 (m, 4 H), 5.02–4.87 (m, 4 H), 3.71 (s, 3 H), 3.69 (s, 3 H); IR (KBr) 3449, 2925, 2854, 1648, 1610, 1512, 1485, 1440, 1381, 1302, 923, 814, 762, 725, 702, 546 cm−1.
2.4.2. Synthesis of Poly2
Poly2 was synthesized in the same manner as poly1 using TPC instead of IPC (yield 91%): 1H NMR (600 MHz, CDCl3) δ 7.20–6.98 (m, 9 H), 6.87–6.61 (m, 9 H), 6.35–6.19 (m, 2 H), 5.11–4.84 (m, 4 H), 3.78–3.67 (m, 6 H); IR (KBr) 2925, 2854, 1648, 1610, 1512, 1485, 1460, 1379, 1303, 1249, 1212, 1175, 1109, 1033, 973, 922, 849, 761, 724, 700, 610, 543, 448, 436, 404 cm−1.
2.4.3. Synthesis of Poly3
Poly3 was synthesized in the same manner as poly1 using 2 instead of 1 (yield 77%): 1H NMR (600 MHz, CDCl3) δ 7.43–7.31 (m, 1 H), 7.20–6.95 (m, 7 H), 6.93–6.84 (m, 1 H), 6.78 (d, J = 7.9 Hz, 2 H), 6.72 (d, J = 8.2 Hz, 2 H), 6.70–6.56 (m, 3 H), 6.52–6.32 (m, 4 H), 5.06–4.83 (m, 4 H), 3.96–3.81 (m, 4 H), 1.72 (quint, J = 6.9 Hz, 4 H), 1.41 (quint, J = 6.9 Hz, 4 H), 1.36–1.22 (m, 16 H), 0.87 (d, J = 6.9 Hz, 6 H); IR (KBr) 2926, 1648, 1610, 1510, 1381, 1247, 1173, 1109, 1028, 922, 810, 725, 701, 610, 539, 408 cm−1.
2.4.4. Synthesis of Poly4
Poly4 was synthesized in the same manner as poly2 using 2 instead of 1 (yield 77%): 1H NMR (600 MHz, CDCl3) δ 7.19–7.01 (m, 9 H), 6.86–6.51 (m, 9 H), 6.39–6.21 (m, 2 H), 5.07–4.87 (m, 4 H), 3.96–3.81 (m, 4 H), 1.78–1.69 (m, 4 H), 1.47–1.39 (m, 4 H), 1.37–1.21 (m, 16 H), 0.92–0.83 (m, 6 H); IR (KBr) 3855, 3753, 3651, 2926, 2855, 1648, 1610, 1509, 1485, 1638, 1382, 1246, 1174, 1110, 1022, 972, 921, 851, 724, 701, 616, 437, 408 cm−1.
2.5. Synthesis of N-H Aromatic Polyamide
2.5.1. Synthesis of Poly5
A solution of 3,4′-TPA (0.50 g, 2.5 mmol), lithium chloride (0.27 g, 6.4 mmol), and pyridine (0.5 mL, 5.8 mmol) in dry NMP (2.5 mL) was placed in a round-bottomed flask equipped with a three-way stopcock under an Ar atmosphere. Into the flask was added IPC (0.51 g, 2.5 mmol) in dry NMP (2.5 mL) via a syringe from the three-way stopcock with a stream of N2 at 0 °C. The reaction mixture was stirred at room temperature for 2 days. A small amount of methanol (0.5 mL) was added to quench the reaction, and the mixture was diluted with NMP (4 mL). The whole mixture was poured into water. The precipitate was again dissolved with NMP (15 mL) and poured into water. The precipitate was collected by filtration and washed with water. The product was dried under vacuum overnight to give poly5 as a light yellow solid (0.82 g, 81%): 1H NMR (600 MHz, DMSO d6) δ10.47 (d, J =2.0 Hz, 2 H), 8.52 (t, J = 18.6 Hz, 1 H), 8.15 (d, J = 6.7 Hz, 2 H), 7.83 (d, J = 6.9 Hz, 2 H), 7.66 (t, J = 8.9 Hz, 1 H), 7.56 (d, J = 6.5 Hz, 2 H), 7.36–7.33 (m, 2 H), 7.10–7.08 (m, 2 H), 6.76(s, 1H); IR (KBr) 3290, 1663, 1505, 1414, 976, 839, 688, 509, 407, cm−1.
2.5.2. Synthesis of Poly6
Poly6 was synthesized in the same manner as poly5 using TPC instead of IPC (yield 110% including small amount of NMP): 1H NMR (600 MHz, DMSO d6) δ10.45 (s, 2 H), 8.11–8.05 (m, 4 H), 7.84 (d, J = 5.8 Hz, 2 H), 7.56 (s, 2 H), 7.36 (s, 1 H), 7.11 (s, 2 H), 6.78 (s, 1 H); IR (KBr) 3855, 3753, 3651, 3294, 2361, 1656, 1601, 1543, 1507, 1422, 1304, 1264, 1212, 1173, 1149, 1115, 1016, 975, 841, 783, 687, cm−1.
2.6. Deprotection of N-Alkoxybenzyl Aromatic Polyamide
A mixture of poly1 (0.01 g, 0.017 mmol) and TFA (1.0 mL) was stirred at room temperature for 2 days, and then neutralized with saturated aqueous NaHCO3. The polymer was collected by filtration on filter paper, and washed with CH2Cl2 and water. The product was dried under vacuum overnight. Deprotection of poly3 was done in the same manner as that of poly1.
2.7. Evaluation of Photosensitivity
2.7.1. Preparation of Photosensitive Film
A solution of N-alkoxybenzyl aromatic polyamide (poly1 to poly4) and CPI-110A in methyl ethyl ketone (MEK) was prepared. The solution (5 wt %) was cast on an aluminum sheet and soft-baked on a hot plate at 80 °C for 5 min to afford 0.5 μm-thick thin film.
2.7.2. Evaluation of Photo-Deprotection
The photosensitive film was exposed with 5 J/cm2 of UV irradiation (USHIO SP-500D, USHIO INC., Tokyo, Japan). The exposed film was heated on a hot plate at 130 °C for 15 min. Deprotection was evaluated by ATR spectroscopy.
3. Results and Discussion
3.1. Synthesis of N-Alkoxybenzyl Aromatic Diamine
We synthesized N-alkoxybenzyl poly(p-benzamide) [14] and poly(m-benzamide) [15] by means of chain-growth condensation polymerization of the corresponding 4-(4-alkoxybenzylamino)benzoic acid ester with a strong base, such as lithium hexamethyldisilazide. From the viewpoint of versatility, however, it would be preferable to synthesize N-alkoxybenzyl-protected aromatic polyamides by polycondensation of aromatic diamines having N-alkoxybenzyl groups with aromatic dicarboxylic acid chloride. The requisite N-alkoxybenzyl aromatic diamines 1 and 2 were prepared by reduction of the corresponding imine with NaBH4 (Scheme 3) [14]. Diamine, 3,4′-DDE, was reacted with 4-methoxy- and 4-octyloxybenzaldehyde at 70 °C for 10 min to give imines 3 and 4, respectively, in quantitative yield. The obtained imines 3 and 4 were then reacted with 4 equiv. of NaBH4 at 0 °C for 21 h to afford the desired N-alkoxybenzyldiamines 1 and 2 in 80 and 39% yield, respectively.
Scheme 3.
Synthesis of N-alkoxybenzyl aromatic diamines 1 and 2.
3.2. Synthesis of N-Alkoxybenzyl Aromatic Polyamide
The polycondensation of N-alkoxybenzyl aromatic diamines 1 and 2 with equimolar IPC and TPC was carried out in the presence of 2.2 equiv. of pyridine in NMP at room temperature for 2 days to afford poly1–poly4 (Scheme 4). Table 1 shows the molecular weight (Mn and Mw) and molecular weight distribution (Mw/Mn) of the obtained polymers. The molecular weights of polymers obtained from diamine 1 (poly1 and poly2) were lower than those of polymers from diamine 2 (poly3 and poly4) (Entry 1 vs. Entry 3; Entry 2 vs. Entry 4). Impurities in 1 might have influenced the Mn of poly1 and poly2. Regarding diacid chlorides, polymer from IPC possessed higher molecular weight than polymer from TPC (Entry 1 vs. Entry 2; Entry 3 vs. Entry 4) We had speculated that polycondensation of diamine with IPC would afford lower-molecular-weight polymer, compared to polycondensation with TPC, because the former polycondensation would involve easy cyclization due to the bent structure of IPC. However, polycondensation of diamine 2 and diacid chlorides only afforded cyclic polymers (poly3 and poly4), irrespective of the use of IPC or TPC; the matrix-assisted laser desorption ionization time-of-flight (MALDI-TOF) mass spectra of poly3 and poly4 showed only one series of peaks due to cyclic polymer (Figure 1C,D). Consequently, it turned out that TPC underwent cyclization more easily, affording lower-molecular-weight polymer, than did IPC, contrary to our expectation.
Scheme 4.
Synthesis of N-alkoxybenzyl aromatic polyamides.
Table 1.
Polymerization of N-alkoxybenzyl aromatic diamine with dicarboxylic acid a.
Figure 1.
Matrix-assisted laser desorption ionization time-of-flight (MALDI-TOF) mass spectra of N-alkoxybenzyl aromatic polyamides: (A) poly1, (B) poly2, (C) poly3, and (D) poly4.
On the other hand, the MALDI-TOF mass spectra of poly1 and poly2 showed two series of peaks due to both the cyclic polymer and linear polymer having amino groups at both ends (Figure 1A,B). Kricheldorf et al. reported that many polycondensations afford cyclic polymers if side reactions do not take place [16,17]. Therefore, the formation of cyclic polymer and linear polymer in the polycondensation of 1 with IPC and TPC implies that a small amount of impurity in 1 presumably caused side reactions that consumed IPC and TPC, besides amide bond formation, affording linear polymer formation with amino groups at both ends.
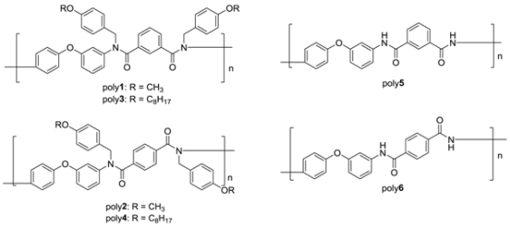
The solubility of N-alkoxybenzyl aromatic polyamides poly1–poly4 was studied compared to that of N-H polyamides poly5 and poly6 (Table 2). Poly5 and poly6 were only soluble in highly polar solvents such as DMF, NMP, and DMSO, whereas poly1–poly4 were soluble in a variety of organic solvents, except for hexane and methanol. The observed differences in solubility can be accounted for by the presence or absence of intermolecular hydrogen bonding of the amide linkages in the polymer backbone. In addition, this distinctive difference in solubility between N-protected polyamide and N-H polyamide indicates that N-protected polyamide can serve as a photosensitive material in the presence of PAG.
Table 2.
Solubility of poly1–6 a.
3.3. Photodeprotection of N-Alkoxybenzyl Aromatic Polyamide
The deprotection of N-alkoxybenzyl aromatic polyamides, poly1 and poly3, was first conducted with TFA in homogeneous solution at room temperature for 2 days (Scheme 5). In the 1H NMR spectra of the product, the signals of alkoxybenzyl group had disappeared, and a broad signal assignable to a NH proton appeared at 10.5 ppm. Furthermore, the spectra of the products from poly1 and poly3 were identical to those of poly5 and poly6, which were prepared from unprotected diamine and IPC or TPC, respectively. Accordingly, it turned out that deprotection of poly1 and poly3 with TFA proceeded quantitatively, and that there was no difference between the methoxybenzyl group and octyloxybenzyl group in regard to removal with TFA in homogeneous solution.
Scheme 5.
Deprotection of N-alkoxybenzyl aromatic polyamide.
The photo-deprotection of poly1–poly4 was next carried out with triarylsulfonium salt CPI-110A as PAG under UV irradiation (5 J/cm2), followed by heating at 130 °C for 15 min. Triarylsulfonium salt decomposes upon UV irradiation to generate a Brønstead acid (HSbF6) (Scheme 6) [18]. Formation of N-H polyamide after removal of the N-alkoxybenzyl group was estimated by ATR spectroscopy. The effect of the PAG dose was first studied with poly1 film. When 10 wt % of PAG was used, no difference in the ATR spectra between before and after UV irradiation and heating was observed (Figure 2A). On the other hand, when 25 and 50 wt % of PAG was introduced into poly1 film, absorption due to amide NH appeared at 3400 cm−1 after UV irradiation and heating (Figure 2B,C). Accordingly, it turned out that more than 25 wt % of PAG was necessary for the removal of the methoxybenzyl group from poly1.
Scheme 6.
Photodeprotection of N-alkoxybenzyl aromatic polyamide using a photo acid generator (PAG).
Figure 2.
Attenuated total reflection (ATR) spectrum of photosensitive film of poly1 and PAG ((A) 10 wt %, (B) 25 wt %, and (C) 50 wt %) before UV irradiation (dotted line), after UV irradiation (5 J/cm2) (dashed line) and after UV irradiation (5 J/cm2) and heating at 130 °C for 15 min (solid line).
To examine whether this was the case for all polyamides, however, photodeprotection of poly2–poly4 was carried out with 10 wt % of PAG under the same conditions. Poly2, having a methoxybenzyl group, gave similar results to poly1 (Figure 3A), whereas poly3 and poly4, having an octyloxybenzyl group, were converted to N-H polyamides (Figure 3B,C). In addition, deprotection of even poly3 and poly4 did not proceed when the films were not heated at 130 °C after irradiation; the Brønstead acid generated from PAG would not diffuse in the film if the film was not heated. It should be noted that photodeprotection of the N-alkoxybenzyl polyamide film with PAG was influenced by the nature of the alkoxy group in the N-protecting group, but not by the dicarboxylic acid moiety: IPC or TPC, although no difference was observed in the deprotection of the polymer solution with TFA. This different photodeprotection behavior of the polyamide film depending upon the difference of the alkoxybenzyl group is presumably accounted for by different polymer topology between polyamide having the methoxybenzyl group (poly1 and poly2) and polyamide having the octyloxybenzyl group (poly3 and poly4). Thus, the former two are linear polymers with an amino group at both ends, whereas the latter two are cyclic polymers, as shown in Figure 1. Accordingly, the amino end groups in poly1 and poly2 might neutralize the acid species generated from PAG, when the concentration of PAG in the polyamide film is low. Thus, control of polymer end structure is important for photodeprotection of N-alkoxybenzyl aromatic polyamide film containing low levels of PAG.
Figure 3.
ATR spectrum of photosensitive film of poly2–poly4 with 10 wt % of PAG before UV irradiation (dashed line), after UV irradiation (5 J/cm2) (dashed line) and after UV irradiation (5 J/cm2) and heating at 130 °C for 15 min (solid line): (A) poly2, (B) poly3, and (C) poly4.
4. Conclusions
We have demonstrated that highly soluble N-alkoxybenzyl aromatic polyamides can serve as photosensitive materials through photodeprotection of the alkoxybenzyl group with PAG, affording N-H polyamides with low solubility. The requisite polyamides were prepared by means of polycondensation of N-alkoxybenzyl aromatic diamine and dicarboxylic acid dichloride in the presence of pyridine at room temperature. Poly1 and poly2, which were prepared from N,N-bis(4-methoxybenzyl)-3,4′-DDE (1) with IPC and TPC, respectively, contained cyclic polymer and linear polymer with an amino group at both ends, whereas poly3 and poly4, which were prepared from N,N-bis(4-octyloxybenzyl)-3,4′-DDE (2) with IPC and TPC, respectively, were all-cyclic polymers. Poly1–poly4 showed high solubility in a variety of organic solvents, in contrast to the corresponding N-H polyamides, poly5 and poly6. Photodeprotection of poly1 and poly2 with 10 wt % of PAG under 5 J/cm2 of UV irradiation, followed by heating at 130 °C for 15 min did not proceed, whereas poly3 and poly4 afforded the corresponding N-H polyamides under the same conditions. The terminal amino groups in poly1 and poly2 presumably suppressed diffusion of Brønstead acid (HSbF6) generated from PAG, although even poly1 underwent photodeprotection with more than 25 wt % of PAG. Our results show that the nature of the polymer end groups is crucial for photodeprotection with a low dose of PAG.
Acknowledgments
This study was supported by collaboration of Hitachi Chemical Co. Ltd. and Kanagawa University. Tsutomu Yokozawa thanks our group member Takeru Kameyama for his additional experiment.
Author Contributions
Kenichi Iwashita and Tsutomu Yokozawa conceived and designed the experiments; Hironobu Katoh performed the experiments; Kenichi Iwashita and Tsutomu Yokozawa analyzed the data; Yoshihiro Ohta contributed reagents/materials/analysis tools; Kenichi Iwashita wrote the paper.
Conflicts of Interest
The authors declare no conflict of interest.
References
- Kanki, T.; Ikeda, J.; Kobayashi, Y.; Suda, S.; Nakata, Y.; Nakamura, T. Development of Highly Reliable Cu Wiring of l/s = 1/1mm for Chip to Chip Interconnection. In Proceedings of the 2012 IEEE International Interconnect Technology Conference, San Jose, CA, USA, 4–6 June 2012; pp. 1–3. [Google Scholar]
- Hu, D.-C.; Lin, P.; Chen, Y.H. Fine trace substrate with 2 mm fine line for advanced package. Trans. Jpn. Inst. Electron. Packag. 2015, 8, 18–22. [Google Scholar] [CrossRef]
- Huemoeller, R.; Rusli, S.; Chiang, S.; Chen, T.Y.; Baron, D.; Brandt, L.; Roelfs, B. Unveiling the Next generation in substrate technology. In Proceedings of the Pan Pacific Conference, Bangkok, Thailand, 17–19 October 2007. [Google Scholar]
- Ghosh, M. Polyimides: Fundamentals and Applications; CRC Press: Boca Raton, FL, USA, 1996. [Google Scholar]
- Rubner, R. Photoreactive polymers for electronics. Adv. Mater. 1990, 2, 452–457. [Google Scholar] [CrossRef]
- Iwashita, K.; Katoh, T.; Nakamura, A.; Murakami, Y.; Iwasaki, T.; Sugimasa, Y.; Nunoshige, J.; Nakano, H. Study of adhesion properties of Cu on photosensitive insulation film for next generation packaging. J. Photopolym. Sci. Technol. 2015, 28, 93–97. [Google Scholar] [CrossRef]
- Mark, H.F.; Atlas, S.M.; Ogata, N. Aromatic polyamide. J. Polym. Sci. 1962, 61, S49–S53. [Google Scholar] [CrossRef]
- Dine-Hart, R.A.; Moore, B.J.C.; Wright, W.W. Aromatic polyamides. J. Polym. Sci. B 1964, 2, 369–373. [Google Scholar] [CrossRef]
- Harschnitz, R.; Heather, P.; Derks, W.; van Leeuwendal, R. Polyamide 46—A design material for demanding engineering applications. Kunstst. Ger. Plast. 1990, 80, 1271–1276. [Google Scholar]
- Gijsman, P.; Tummers, D.; Janssen, K. Differences and similarities in the thermooxidative degradation of polyamide 46 and 66. Polym. Degrad. Stab. 1995, 49, 121–125. [Google Scholar] [CrossRef]
- Janssen, K.; Gijsman, P.; Tummers, D. Mechanistic aspects of the stabilization of polyamides by combinations of metal and halogen salts. Polym. Degrad. Stab. 1995, 49, 127–133. [Google Scholar] [CrossRef]
- Arai, T.; Ueno, T.; Kajiya, T.; Ishikawa, T.; Takeda, K. Study on thermal stability and chemical structure of polyamide blended with small amount of Cu. Kobunshi Ronbunshu 2007, 64, 380–386. [Google Scholar] [CrossRef]
- Ohtsuka, K.; Matsumoto, A.; Kimura, H.; Saito, M.; Yamano, K. Improvement of adhesive property of diallyl phthalate resin modified with dimeric acid polyamide. J. Netw. Polym. Jpn. 2008, 29, 86–93. [Google Scholar]
- Yokozawa, T.; Ogawa, M.; Sekino, A.; Sugi, R.; Yokoyama, A. Chain-growth polycondensation for well-defined aramide. Synthesis of unprecedented block copolymer containing aramide with low polydispersity. J. Am. Chem. Soc. 2002, 124, 15158–15159. [Google Scholar] [CrossRef] [PubMed]
- Ohishi, T.; Sugi, R.; Yokoyama, A.; Yokozawa, T. A variety of poly(m-benzamide)s with low polydispersities from inductive effect-assisted chain-growth polycondensation. J. Polym. Sci. A 2006, 44, 4990–5003. [Google Scholar] [CrossRef]
- Kricheldorf, H.R.; Schwarz, G. Cyclic polymers by kinetically controlled step-growth polymerization. Macromol. Rapid Commun. 2003, 24, 359–381. [Google Scholar] [CrossRef]
- Kricheldorf, H.R. Simultaneous chain-growth and step-growth polymerization—A new route to cyclic polymers. Macromol. Rapid Commun. 2009, 30, 1371–1381. [Google Scholar] [CrossRef] [PubMed]
- Tsuda, Y. Surface wettability controllable polyimides by uv light irradiation for printed electronics. J. Photopolym. Sci. Technol. 2016, 29, 383–390. [Google Scholar] [CrossRef]
© 2017 by the authors. Licensee MDPI, Basel, Switzerland. This article is an open access article distributed under the terms and conditions of the Creative Commons Attribution (CC BY) license (http://creativecommons.org/licenses/by/4.0/).









