Abstract
Chlorophyll fluorescence (CF), growth parameters, phytochemical contents [proline, chlorophyll, ascorbic acid, total phenol content (TPC), total flavonoid content (TFC)], and antioxidant activities were investigated in lettuce (Lactuca sativa L.) seedlings grown under different sodium chloride (NaCl) concentrations (0, 50, 100, 200, 300, and 400 mM) in a controlled environment for eight days. The parameters were evaluated at two days intervals. Almost of the CF and growth parameters as well as phytochemicals were significantly affected by both NaCl concentrations and progressive treatment schedule. The maximum quantum yield (Fv/Fm), effective quantum yield of photochemical energy conversion in PSII [Y(PSII)], coefficient of photochemical quenching (qP), coefficient of non-photochemical quenching (qN), and ratio of fluorescence decline (Rfd) showed decrements only at the highest saline concentration (400 mM), whereas the quantum yield of non-regulated energy dissipation in PSII [Y(NO)] exhibited a dissipation trend. All the growth parameters decreased with increasing NaCl concentrations, showing the highest decrease (~8 fold) in shoot fresh weight, compared to control seedlings. Proline significantly increased with increasing NaCl concentration and treatment time. Other phytochemicals decreased with the increase in NaCl concentration and reached their lowest at 400 mM. Overall, the results showed major changes in all parameters when the seedlings were grown at a NaCl concentration of 400 mM. The present findings will be useful for understanding the differential effect of NaCl concentrations in lettuce seedlings, and also might be useful to optimize the NaCl concentrations in other crops grown in controlled environmental conditions.
1. Introduction
Lettuce (Lactuca sativa L.) is one of the most popular leafy vegetables; grown around the world [1], it is considered to be a healthy source of minerals, fiber, vitamins, and antioxidant compounds [2,3]. Several epidemiological studies have shown that consumption of leafy vegetables such as lettuce is important for reducing the risk of chronic diseases, such as diabetes, cancer, and cardiovascular disease [4,5]. These health benefits have been linked to a range of micro- and macro-nutrients, vitamins, and biological compounds, including carotenoids, anthocyanins, and phenolic compounds. Lettuce is generally grown under controlled environments, including hydroponic systems, greenhouse, and plant factories, with the quality of the produce dependent on several factors such as light quality, nutrient composition, water level, and salt stress [2,6,7,8].
Plants exhibit various physiological, biochemical, and molecular responses to different stresses [9,10,11]. Among these, soil NaCl concentration is considered to be the most important abiotic stress, and it mostly affects plants negatively and in a number of ways, depending on the extent and duration of the stress [9,12,13]. Plants naturally accumulate salt at certain levels, which are not harmful under general conditions, with NaCl concentration at specific levels in fact acting as a eustressor, helping to enhance crop quality [14]. However, excessive NaCl concentration in growing soil or water is a serious problem for horticultural crops and very high NaCl concentration eventually results in mortality [15]. High NaCl concentration is responsible for retardation of plant growth as it alters the photosynthesis process, disrupts osmoregulation, protein synthesis, and mineral supplies, and generates secondary oxidative stress, the extent of which varies with climatic conditions, plant species, light quality, soil conditions, and other factors [9,12,15,16]. This stressor reduces agricultural yield by up to 20% worldwide [13].
Sensitivity to salt stress differs with the various stages of a plant’s development [9,17], with stronger responses during reproductive stages than in early growth [17]. In lettuce, several studies have been performed using chlorophyll fluorescence (CF) to investigate the effect of a range of potentially stressful factors, such as light quality [7] and disease resistance [18], on outcomes such as post-harvest quality [19,20,21]. In addition, the effects of NaCl concentrations on growth and nutritional parameters have also been examined in multiple varieties of lettuce [6,8,19,22,23]. However, much of previous research was performed on older lettuce, and the data available from these studies are at the lower salt levels and at the end of the experiments. The effect of NaCl concentrations on chlorophyll fluorescence parameters in lettuce is limited, and the biochemical composition and antioxidant activities of lettuce seedlings during progressive treatment stages have not yet been studied in detail.
In light of the above, the main objective of this study was to examine the changes in chlorophyll fluorescence parameters, photosynthetic pigments (chlorophyll a and b), stress related compounds (proline), antioxidants [ascorbic acid (vitamin C), total phenolic, and total flavonoid], and antioxidant activities in lettuce seedlings grown under different NaCl concentrations. The results of this study will be useful for understanding the effect of salt stress on photosynthetic parameters, growth conditions, and other biochemical components in lettuce.
2. Materials and Methods
2.1. Plant Materials and Growth Conditions
Seeds of lettuce (Lactuca sativa) cultivar, ‘Cheong Chi Ma’, were obtained from Asia Seed Co. Ltd., Seoul, Korea. The seeds were sown in 50-cell plug trays (54.4 × 28.2 × 5.4 cm) filled with soil and irrigated with tap water every morning for 20 min using the sub-irrigation method, for 12 days. For each NaCl concentration treatment, 25 healthy and uniform seedlings were used. The seedlings were then treated with five different NaCl concentrations for eight days. For this, 500 mM of NaCl solution was prepared, by dissolving NaCl in tap water, and diluted to obtain the six concentrations: 0, 50, 100, 200, 300, and 400 mM, where the solution with 0 mM NaCl solution was used as a control. Three liters of the respective NaCl concentrations were kept in separate trays before irrigation, with the seedlings irrigated with the respective salt treatments once a day every morning, for 20 min, using the sub-irrigation method. During the experiment, the seedlings were grown in a closed light box (65 × 35 × 50 cm) under a fluorescent lamp (Philips, TLD 32W/865RS) with a photosynthetic photon flux density (PPFD) of 150 ± 10 μmol m−2 s−1, at 24/18 °C (day/night), a 14/10-h light/dark photoperiod, and at 50% relative humidity.
2.2. Chemicals and Reagents
Methanol (MeOH) was purchased from Avantor Performance Materials Co. (Center Valley, PA, USA). Acetic acid (C2H4O2), ferric chloride hexahydrate (FeCl3·6H2O), formic acid, gallic acid, Folin and Ciocalteu’s phenol reagent, sodium nitrite (NaNO2), aluminum chloride hexahydrate (AlCl3·6H2O), sodium hydroxide (NaOH), catechin hydrate, L-ascorbic acid, potassium persulfate, sodium carbonate, sodium acetate trihydrate (C2H3NaO2·3H2O), L-proline, sulfosalicyclic acid dihydrate, ninhydrin, toluene, hydrochloric acid (HCl), metaphosphoric acid, (±)-6-hydroxy-2,5,7,8-tetramethylchromane-2-carboxylic acid (Trolox), 2,4,6-Tris(2-pyridyl)-s-triazine (TPTZ), and 2,2-azino-bis(3-ethylbenzothiazoline-6-sulfonic acid) diammonium salt were obtained from Sigma-Aldrich (St. Louis, MO, USA).
2.3. Measurement of Chlorophyll Fluorescence Parameters
The CF parameters from the upper surface of all leaves on intact seedlings were obtained using an open FluorCam 800-O/1010 (Photon System Instruments, Drasow, Czech Republic), according to Shin et al. [24]. Five seedlings (from the 25 uniform plants/treatment) were randomly selected and used to measure the CF parameters, which were independently measured at 0, 2, 4, 6, and 8 days after the initiation of NaCl concentrations treatment, after 4 h of light illumination. Detailed information on the CF parameters evaluated in this study is presented in Table 1, which was assessed using the automatic mode of quenching act 2 of the FlourCam machine. After the measurement of CF parameters, the seedlings were collected and freeze-dried for biochemical analysis. These samples were ground into fine powder and stored at −80 °C for analysis of proline, chlorophylls, ascorbic acid, total phenol, total flavonoid content, and antioxidant activity.
Table 1.
The chlorophyll fluorescence parameters used in this study.
2.4. Measurement of Growth Parameters
Growth parameters such as shoot fresh and dry weights, leaf number, leaf length and width, and epicotyl length of seedlings were measured only at the end of the experiment (eight days after treatment). After measuring the CF parameters, leaf length, leaf width, and epicotyl length of each seedling were measured using a digital caliper (CD-20APX; Mitutoyo Corporation, Kanagawa, Japan). The shoot fresh weight was directly measured using a digital weighing machine (UX420H; Shimadzu Corporation, Kyoto, Japan), while the dry weight was measured after drying the shoot in an oven for 72 h at 70 °C.
2.5. Analysis of Chlorophyll (Chl) Content
Chl a and Chl b were measured according to Warren [25] using a microplate reader (Multiskan Go; Thermo Fisher Scientific Oy, Vantaa, Finland). Freeze-dried and powdered samples (0.02 g) were extracted in 5 mL of methanol at 150 rpm for 2 h at room temperature in a shaker. The aliquot was centrifuged at 2400× g for 10 min, and the absorbance was measured at 652 and 665 nm. Chl a and b contents were calculated according to a 1-cm corrected path length formula.
2.6. Analysis of Proline Content
Proline content was measured according to the modified method of Bates et al. [26]. Lettuce sample (0.02 g) was mixed in 1.5 mL of 3% sulfosalicyclic acid dihydrate, extracted for 30 min by shaking at 150 rpm, centrifuged at 2400× g for 10 min, and filtered. The supernatant (500 μL), acetic acid (500 μL), and acid ninhydrin (500 μL) were mixed in a 15-mL tube simultaneously, kept at 95 °C for 1 h, and cooled rapidly on ice for 10 min. After adding 1 mL of toluene to the supernatant, the mixture was vortexed and centrifuged at 3500 rpm for 10 min. The toluene phase (200 μL) was kept in a 96-well plate, the absorbance was measured using a microplate reader at 520 nm and quantified using a commercial L-proline standard with a linear range of 0–100 μg mL−1.
2.7. Analysis of Ascorbic Acid Content
Freeze-dried and powdered lettuce samples (0.02 mg) were extracted with 1.5 mL of 5% metaphosphoric acid solution, centrifuged at 12,000 rpm for 10 min, filtered with 0.22 μm syringe filter, with the aliquot analyzed using a 1260 HPLC system, according to Spinola et al. [27] but with modifications. The peak was separated on an Acquity UPLC® HSS T3 (100 mm × 2.1 mm, 1.8 μm) column and a diode array detector at 254 nm. The mobile phase used was 1% methanol and 99% distilled water with a 0.1% formic acid solution, at a flow rate of 0.3 mL min−1. The authentic standard of L-ascorbic acid at 5–100 µg mL−1 was used for identification and quantification of the peak, and the ascorbic acid content was expressed as milligrams per gram (mg g−1) of dry weight.
2.8. Analysis of Total Phenol and Total Flavonoid Content
Freeze-dried and powdered lettuce samples (0.05 g) were extracted with 80% methanol (1.5 mL) in a water bath (50 °C) at 150 rpm for 1 h. The extract was centrifuged at 12,000 rpm for 10 min, and the supernatant was filtered through a 0.45 μm syringe filter, with the total phenol content measured according to Bhandari and Lee [28]. Briefly, 200 μL of supernatant was mixed with 600 µL distilled water in a 1.5 mL Eppendorf tube. The solutions were incubated in a water bath at 27 °C for 5 min after the addition of 200 μL Folin’s reagent, followed by the addition of 200 μL of sodium carbonate (7%). The tubes were centrifuged at 12,000 rpm for 10 min at 4 °C after 1 h incubation in dark and the absorbance was measured at 760 nm using a microplate reader. Gallic acid at varying concentrations (5–200 μL mL−1) was used to calculate the standard curve, and the results were expressed as mg gallic acid equivalents per gram of dry weight (mg GAE g−1 DW).
The same extract obtained from the total phenol analysis was used to measure total flavonoid content. Total flavonoid content was analyzed using the colorimetric method described by Jo et al. [29]. First, 200 μL extract was mixed with 800 μL water, and 60 μL NaNO2 (5%) was added. Then, 60 μL of AlCl3.6H2O and 400 μL of NaOH (1 M) were added simultaneously after 5 min, and the absorbance was measured using a microplate reader at 510 nm. Catechin hydrate (10–100 μL mL−1) was used to calculate the standard curve, and the results were expressed as mg of catechin hydrate equivalent per gram on a dry weight (mg CE g−1, DW).
2.9. Measurement of Antioxidant Activities
Antioxidant activity was measured using two different methods: ferric reducing antioxidant power (FRAP) assay and 2,2′-azino-bis (3-ethylbenzothiazoline-6-sulfonic acid) (ABTS) assay. The FRAP assay was performed using the method of Benzie and Strain [30] with some modifications. First, stock solutions of 300 mM acetate buffer (3.1 g C2H3NaO2·3H2O, 16 mL C2H4O2), pH 3.6; 10 mM TPTZ in 40 mM HCl; and 20 mM FeCl3·6H2O were prepared and mixed in a 10:1:1 (v/v/v) ratio to obtain a fresh solution. Fifty microliters of lettuce extract (50 mg in 1.5 mL 80% MeOH) was reacted with 950 μL of the FRAP working solution for 10 min at 37 °C, and the absorbance of the reaction mixture (200 μL) was measured at 593 nm using a microplate reader. Trolox was used as a standard compound at different concentrations (0–1000 μM) and the results were expressed as μM trolox equivalent antioxidant capacity per gram of dry weight (μM TE g−1 DW).
The ABTS assay was performed according to the modified methods described by Re et al. [31]. At first, the ABTS radical cation (ABTS+) was prepared by the reaction between 7 mM ABTS solution and 2.45 mM potassium persulfate solution in the dark for 16 h at room temperature, and diluted with methanol to an absorbance of approximately 0.9 ± 0.02 at 734 nm. The sample extract (50 μL) was then reacted with ABTS+ solution (950 μL) and incubated for 2 h in darkness. The absorbance of the reaction mixture was then measured at 734 nm using a microplate reader. Varying concentrations of trolox (10–300 μM) were used as standards to calculate the standard curve, and the results were then expressed as μM TE g−1 of dry weight.
2.10. Statistical Analysis
The results of growth parameters and CF parameters are reported as a mean of five biological replications, while the other parameters are reported as the mean of three replicates. Statistical analyses were performed using the SPSS software (ver. 20; SPSS Inc., Chicago, IL, USA). Analysis of variance followed by Duncan’s multiple range tests were used to analyze the statistical differences among the mean values at p < 0.05. The effects of NaCl concentrations, treatment schedule, and their interaction were analyzed using the mixed model one-way analysis of variance. The relationships among the parameters were computed using RStudio (ver. 4.0.2; RStudio Desktop, Boston, MA, USA) at p < 0.05.
3. Results and Discussion
3.1. Effect of NaCl Concentration in Plant Growth Parameters
The status of representative lettuce seedlings during the progressive treatment schedule under different NaCl concentrations is presented in Figure 1. Senescence of leaves was observed at higher NaCl concentration during progressive time increment, due to the synthesis of ethylene and abscisic acid and a decrease in indole-3 acetic acid and cytokinin [9]. Similar results were also observed by Qin et al. [32] in lettuce grown under various NaCl concentrations. Plant growth parameters retarded with the increase in NaCl concentrations, as shown in Table 2; we found a significantly negative effect of salt level on agronomic parameters in the lettuce seedlings, which started to appear at salt treatments above 100 mM. The highest and lowest reductions were observed in shoot fresh weight (~7 fold) and leaf width (~2 fold), respectively, relative to the control plants. A similar reduction in growth parameters under high NaCl concentration was also observed in a number of other plants, including lettuce [6,9,24,33,34,35,36]. Qin et al. [32] also found a significant reduction in lettuce fresh weight, grown under higher saline concentrations than controls. The decrease in plant height under higher NaCl concentrations is probably due to decreases in photosynthesis rates, disrupted mineral supplies, and the high presence of sodium and chloride ions [12]. The overall reduction in growth characteristics might be due to changes in photosynthesis, which can be attributed to suppression of mesophyll conductance and stomata closure [37].
Figure 1.
Changes in visual appearance of lettuce seedlings grown under different NaCl concentrations during the progressive treatment schedule.
Table 2.
Growth parameters of lettuce seedling as affected by different NaCl concentrations at eight days after the experiment.
3.2. Effect of NaCl Concentration in Chlorophyll Fluorescence (CF) Parameters
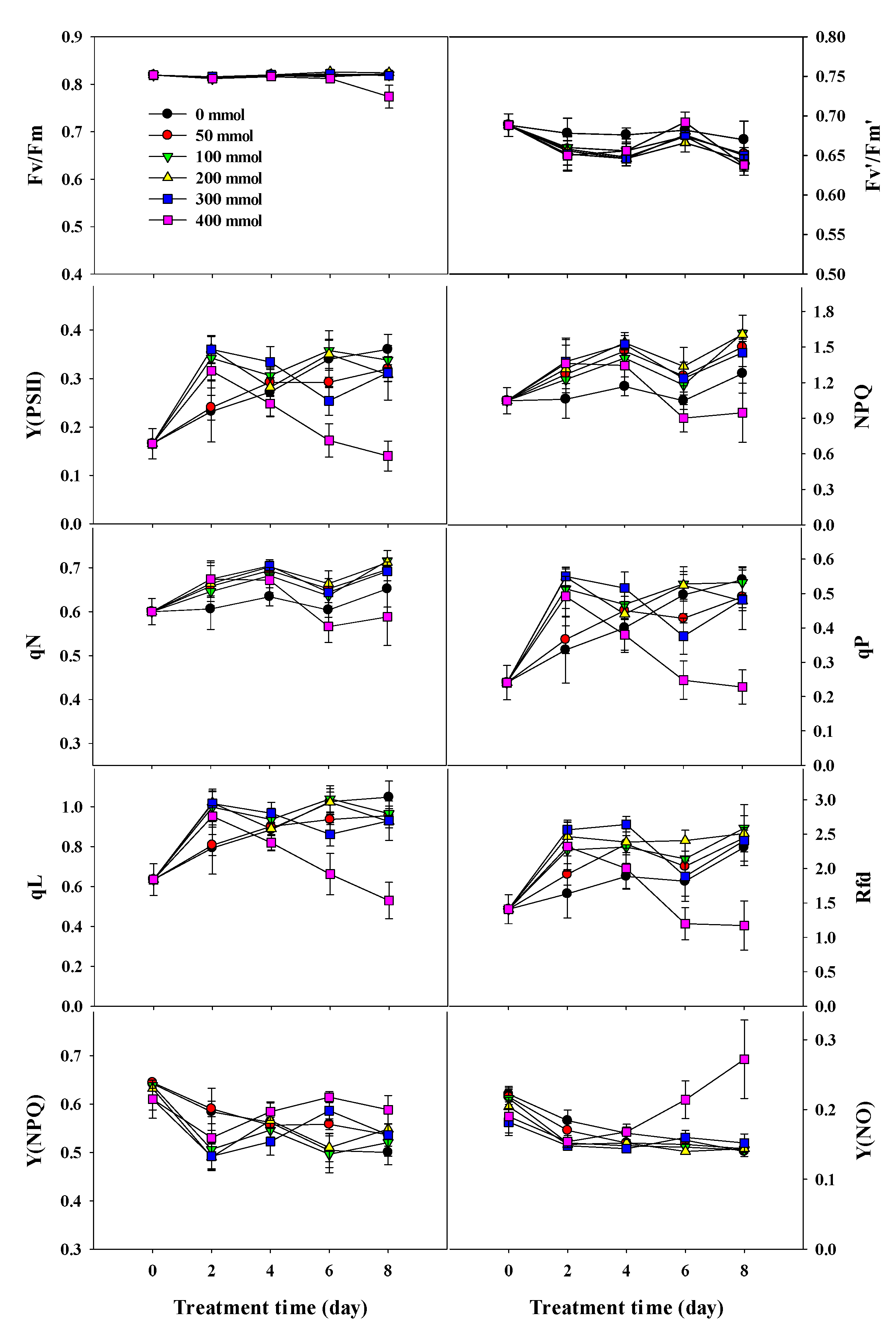
CF analysis can detect small changes in photosynthetic activity and has been used as a powerful tool for studying plant stress response in a range of species [9,18,24,38,39,40]. The present study showed that NaCl concentration affected CF parameters differentially, depending on the treatment schedule and NaCl concentrations (Table S1). In general, an increase in NaCl concentration decreased PSII efficiency and photochemical quenching parameters and increased non-photochemical quenching parameters [9]. Throughout the experiment, the experimental controls showed an Fv/Fm of ~0.82, consistent with a large number of other reports studying unstressed plants [24,41,42]. With the exception of a decrement for the highest NaCl concentration (400 mM) after the sixth day of treatment, Fv/Fm exhibited no significant difference between all NaCl concentrations over the experimental period (Figure 2). This indicates that PSII reaction centers were only deactivated due to salt stress when NaCl concentration was at the highest treatment concentration; consistent with the findings of Stepien and Johnson [43], where a significant reduction in Fv/Fm was observed in Arabidopsis thaliana grown under higher NaCl concentration. However, Xu and Mou [34] found non-significant changes in Fv/Fm while analyzing 178 genotypes of lettuce grown subjected to salt stress. Such discrepancies might be due to physiological differences between plant species, as each plant species is differentially susceptible to various NaCl concentrations [9].
Figure 2.
Changes in the chlorophyll fluorescence (CF) parameters in the seedlings of lettuce grown under different NaCl concentrations during different time period. Each plot point represents the mean ± SD of five biological replicates. Description of each CF parameter is presented in Table 1.
The other photochemical quenching parameters, Fv′/Fm′, Y(PSII), and photochemical quenching (qP) also exhibited differences among the different salt treatments, showing significant differences between all the NaCl concentrations during the treatment schedule (Table S1). The Fv′/Fm′ exhibited uniform changes throughout the experiment during the progressive treatment schedule, suggesting a photo-protective mechanism of lettuce under salt stress conditions (Figure 2). Y(PSII) and qP showed the highest decrement at the highest NaCl concentration at the end of the experiment. Similar results were also previously observed by Acosta-Motos et al. [44] in Myrtus cummunis. However, the photochemical quenching parameter values that Adhikari et al. [19] obtained were dependent on lettuce genotype (resistant/susceptible); the implication being that these parameters are highly dependent on the susceptibility of each genotype to salt stress.
Non-photochemical quenching parameters such as NPQ, Y(NPQ), and non-photochemical quenching (qN) also showed significant changes during the progressive schedule of salt treatments (Table S1; Figure 2). Seedlings grown under 300 mM NaCl concentration exhibited relatively higher NPQ values throughout the experiment, with the highest NaCl concentration showing lower values after six days of treatment. A similar pattern was also observed in another non-photochemical quenching parameter, qN, throughout the experiment. We did not find a consistent trend for Y(NPQ). The decrease in NPQ under higher NaCl concentrations in this experiment might be due to limitations in CO2 assimilation in salt-stressed seedlings, an imbalance in photochemical activity at photosystem II, and suboptimal electron abundance (required for photosynthesis), which led to over-excitation of energy and subsequent photoinhibition [45]. A decrease in the non-photochemical quenching parameters at the highest NaCl concentration (400 mM) implied photo-oxidative damage and that reactive oxygen species (ROS) were being generated in the chloroplasts [46].
The Y(NO), an important parameter for the photo-protective mechanism in plants, only increased under the 400 mM NaCl concentration treatment, six days after treatment was initiated. ratio of fluorescence decline (Rfd), an indicator of plant vitality and photosynthetic rate under a given condition [47], also displayed a significant effect between NaCl concentrations and treatment schedule (Table S1). Although NaCl concentrations, treatment time, and their interactive effects showed significant differences throughout the experiment (Table 3), in most cases the CF parameters did not show uniform changes throughout the experiment. We only found significant and uniform changes in CF parameters under the highest NaCl concentration (400 mM), suggesting that the lettuce genotype used in this experiment is highly resistant to NaCl concentrations up to 300 mM. The overall results showed that none of the CF parameters can be used as index parameters for the detection of salt stress under 300 mM in lettuce seedlings. However, this experiment was relatively short, only lasting eight days; further research on the effect of lower NaCl concentrations on lettuce seedlings over longer periods of time is required for more comprehensive knowledge. In addition, research on net photosynthesis and other photosynthesis parameters is required to confirm these findings in mature lettuce vegetables.
Table 3.
Summary of analysis of variance of chlorophyll florescence (CF) parameters in lettuce seedlings at the NaCl concentration and treatment time.
3.3. Variation in Proline and Chlorophyll Content
Proline, a major compatible solute found in plants, generally accumulates in large amounts under stress conditions [48]. It is one of the most critical compounds in plants affected by salt stress, and its concentration has been correlated with plant salt tolerance by significantly reducing plant Na+ and Cl− [13,49,50]. It helps with ROS detoxification and maintaining membrane integrity by maintaining turgor pressure high enough to sustain growth [51], working as a signaling molecule at low concentrations and an osmolyte/energy source/ROS scavenger by forming stable adducts at high concentrations [46]. Its concentration progressively increased during the experimental period, even in the control condition (Figure 3A). Significantly increases in all NaCl concentrations were recorded from the second day of the treatment, with the highest value in the 400 mM NaCl concentration on day 8; ~32 times higher than the control seedlings (Table S2). This result was consistent with the previous results by Bartha et al. [52], who also found a significant increase in the proline content in all investigated NaCl concentrations in lettuce. Similarly, Ouzounidou et al. [36] found significant increase in proline concentration in broad bean grown under lower NaCl concentration. However, Shin et al. [24] observed higher proline content only at NaCl concentrations above 200 mM in tomato seedlings, which suggests that the accumulation of proline under salt stress conditions is species dependent. The increase in proline content with the increase in NaCl concentration was probably due to the higher inhibitory rate of proline dehydrogenase and proline oxidase [53]. These results showed that lettuce seedlings grown under saline conditions experienced severe stress after salt exposure.
Figure 3.
Effect of NaCl concentration on proline (A), chl a (B), chl b (C), and ascorbic acid content (D) of lettuce seedlings during the progressive treatment schedule. Each plot point represents mean ± SD of three replicates.
The major photosynthetic pigments Chl a and b were also affected by NaCl concentrations during the progressive treatment schedule. Chlorophyll content showed the differential changes during the progressive treatment schedule (Figure 3B,C). In general, Chl a content was somewhat similar for the first two days of treatment under all salinities, generally starting to fall after the fourth day of treatment, and showing significant changes after the sixth day of treatment, with the lowest value at the highest NaCl concentration (400 mM) at the end of the experiment (Table S2). Our results were also similar to those of Shin et al. [24], who also found the lowest Chl a content at 400 mM of NaCl concentration in tomato seedlings. In contrast, Goussi et al. [33] found a significant increase in both Chl a and Chl b up to 300 mM NaCl concentration in Thellungiella salsuginea, which might be due to the differences in susceptibility to salt stress between species. Chl b exhibited similar trends to Chl a, with the lowest content at the highest NaCl concentration during the progressive treatment schedule. Similarly, lower chlorophyll content under higher salinities was also observed in multi-leaf lettuce [22]. Overall, there was a significant effect of NaCl concentration, treatment time, and their interaction (Table 4). Broadly, the negative trend of chlorophyll content under increasing NaCl concentration level was probably due to the increase in chlorophyllase activity which in turn induced the inhibition of chlorophyll biosynthesis, and other associated adverse effects on membrane stability, due to the salt in the growing media [54,55].
Table 4.
Summary of analysis of variance for total phenol, total flavonoid, ascorbic acid, chlorophyll, proline, ferric reducing antioxidant power (FRAP) assay, and 2,2′-azino-bis(3-ethylbenzothiazoline-6-sulfonic acid) [ABTS] assay in the lettuce seedling at the NaCl concentrations and treatment time.
3.4. Variation in Ascorbic Acid, Total Phenol, Total Flavonoid Content, and Antioxidant Activity
Ascorbic acid, a naturally occurring water-soluble vitamin, significantly decreased with increasing NaCl concentrations during the progressive treatment schedule, with the greatest effect at the 400 mM NaCl concentration (Figure 3D, Table S2). Neocleous et al. [56] also found a similar decrease in ascorbic acid content in two lettuce genotypes under low NaCl concentrations (<20 mM NaCl). The effects of NaCl concentration, treatment time, and their interactions were also significant (Table 3). Total phenol content (TPC) also exhibited NaCl concentration-dependent changes during the progressive treatment schedule. The changes in TPC began on the second day of the treatment, regardless of the NaCl concentration (Table S3). However, the degree of variation observed in TPC was lower than that observed for the proline content. Seedlings treated with the highest NaCl concentration exhibited the highest variation after the sixth day of the treatment (Figure 4A). The salt-stressed seedlings showed significantly lower TPC compared to the control, all with similar TPC at the end of the experiment (Table S3). Chisari et al. [19] and Kim et al. [23] also reported a decrease in TPC with an increase in NaCl concentration in romaine lettuce, while Garrido et al. [22] observed higher TPC with an increase in NaCl concentration in multi-leaf lettuce. In addition, Hand et al. [57] also found higher TPC in pepper grown under high NaCl concentrations. These results suggest that the NaCl concentration affects TPC differently depending on the genotype and plant species.
Figure 4.
Effect of different NaCl concentrations on total phenol content (A), total flavonoid content (B), FRAP assay (C) and ABTS assay (D) in lettuce seedlings during treatment. Each plot point represents mean ± SD of three replicates. FRAP: ferric reducing antioxidant power; ABTS: 2,2′-azino-bis (3-ethylbenzothiazoline-6-sulfonic acid).
Total flavonoid content (TFC) followed a similar accumulation pattern as that of TPC in different NaCl concentrations over longer treatment times. However, a significant decrease in TFC was observed on the second day of the experiment in seedlings grown under all NaCl concentrations, compared to the control. Furthermore, the results also showed a sharp decrease in TFC from the second until the sixth day of treatment, and a statistically lower TFC regardless of stress levels at the end of the experiment (Figure 4B, Table S3). Our results were inconsistent with those of Garrido et al. [22], who found higher total flavonoid content in lettuce as the NaCl concentration increased. However, Hand et al. [57] observed lower total flavonoid content in pepper plants at higher NaCl concentrations, suggesting that the effect of NaCl concentration is highly dependent on plant genotype. Overall, the effect of NaCl concentration, treatment time, and their interaction showed significant changes in TFC (Table 4).
Antioxidant activities were evaluated using both the FRAP and ABTS assays, as one method may not have been sufficient to accurately predict the overall antioxidant capacity. Both assays followed a similar pattern (Figure 4C,D), showing the highest and lowest activity in the control and highly stressed (400 mM) seedlings, respectively. At the end of the experiment, both the antioxidant assays depicted similar trends as in TPC and TFC, showing the highest value in control seedlings and statistically lower values in all NaCl concentrations, compared to the control (Table S3). The effects of NaCl concentration, treatment time, and their interactions were significant in both the FRAP and ABTS assays (Table 4). The changes in FRAP and ABTS assays were similar to those of the TPC and TFC, indicating a higher contribution of these compounds to the antioxidant activities; which was also previously described by multiple authors in a range of plants [28,29].
3.5. Correlation Analysis
To determine the direction and magnitude of correlations between the CF parameters, phytochemical content, and antioxidant activities, correlation analysis was performed regardless of NaCl concentration and treatment time (Figure 5). Fv/Fm only exhibited a significant positive correlation with NPQ, qL, and Rfd, while it showed a non-significant relationship with other CF parameters. All other CF parameters showed either significant positive or negative correlations with each other. Chlorophyll content exhibited a strong positive correlation with Fv/Fm, Y(PSII), qN, and Rfd, which is somewhat similar to previous reports [21]. However, the magnitude of the correlation was different, probably due to the difference in the sensitivity of the lettuce genotype used in this study. Y(PSII) had the highest positive correlation (>0.99) with qP and qL, similar to previous reports on tomato seedlings [58]. Proline content did not show significant correlations to almost any CF parameters, but a significant negative correlation was observed between phytochemicals and antioxidant activities. Among the antioxidants, only ascorbic acid exhibited a significant positive correlation with Fv/Fm. Most of the CF parameters exhibited non-significant or significantly negative correlations with both the antioxidant assays, while TPC showed the greatest positive correlations with both the antioxidant assays, followed by TFC and ascorbic acid (vitamin C). The high correlation between TPC and the antioxidant assays was due to the higher contribution of TPC in total antioxidant activity, as found in other vegetables [28]. Analysis of the correlations for the last day of the experiment revealed that the growth parameters exhibited a significant positive correlation with almost all CF parameters, while a significantly negative correlation was found with most of the phytochemicals (Figure S1).
Figure 5.
Correlation analysis for chlorophyll fluorescence parameters, nutritional compounds and antioxidant activities in lettuce seedlings regardless of treatment length and NaCl concentration. Blue circles represent positive correlations whereas red circles represent negative correlations. Color intensity and circle size are proportional to the correlation coefficients, which are shown in the legend to the right. Chl: chlorophyll, TPC: total phenol content, TFC: total flavonoid content, FRAP: ferric reducing antioxidant power; ABTS: 2,2′-azino-bis (3-ethylbenzothiazoline-6-sulfonic acid). Refer to the Table 1 for detailed information on CF parameters.
4. Conclusions
A significant effect of salt stress on CF and growth parameters, phytochemical contents, and antioxidant activities were observed in lettuce seedlings. Although most of the CF parameters exhibited significant changes over the course of the experiment, these changes were only uniform under the highest NaCl concentration (400 mM); with decreases in Fv/Fm, Y(PSII), qP, and Rfd, and increase in Y(NO). Even in that case, changes were only observed in the later stages of the experiment. Proline was the most influential parameter, with dramatic escalations in concentrations as NaCl concentration increased, while TPC, TFC, ascorbic acid, Chl content, growth parameters, and antioxidant activities decreased; with a greater decrements in growth parameter and chlorophyll content than in other parameters. Overall, the results revealed a significant interactive effect of various parameters under NaCl concentrations in lettuce, which is a major vegetable in plant factory. The information described here will be useful in understanding the effect of NaCl concentrations on photosynthetic efficiency, growth status, and the nutritional properties of lettuce, and can be applied for the elucidation of optimum salt stress ranges in the other crops grown under controlled environmental conditions.
Supplementary Materials
The following are available online at https://www.mdpi.com/2073-4395/10/11/1627/s1. Figure S1: Correlation analysis among chlorophyll fluorescence parameters, growth parameters, nutritional compounds and antioxidant activities in lettuce seedlings at the last day of the experiment (8th day), Table S1: Chlorophyll fluorescence parameters measured for lettuce seedlings as affected by NaCl concentrations during a progressive treatment time, Table S2: Proline, chlorophyll and ascorbic acid content in lettuce seedlings as affected by NaCl concentration and treatment time, Table S3: Total phenol and total flavonoid content, and antioxidant activity in lettuce seedlings as affected by NaCl concentration and treatment time.
Author Contributions
Y.K.S., S.R.B. and J.G.L. conceived and designed the experiments; Y.K.S., J.S.J. and J.W.S. performed the experiments; Y.K.S., M.C.C. and E.Y.Y. analyzed the data; S.R.B. wrote the manuscript; S.R.B. and J.G.L. revised the manuscript. All authors have read and agreed to the published version of the manuscript.
Funding
This research was funded by the Basic Science Research Program through the National Research Foundation of Korea (NRF) by the Ministry of Education (No. 2019R1A6A1A09031717) and the National Institute of Horticultural & Herbal Science, Rural Development Administration, Korea (PJ01356102).
Conflicts of Interest
The authors declare no conflict of interest.
References
- FAO (Food and Agriculture Organization). Agricultural Statistical Database for 2018. Available online: http://www.fao.org/faostat/en/#data/QC (accessed on 26 August 2020).
- Camejo, D.; Frutos, A.; Mestre, T.C.; Pinero, M.D.C.; Rivero, R.M.; Martinez, V. Artificial light impacts the physical and nutritional quality of lettuce. Hortic. Environ. Biotechnol. 2020, 61, 69–82. [Google Scholar] [CrossRef]
- Baslam, M.; Pascual, I.; Sanchez-Diaz, M.; Erro, J.; Garcia-Mina, J.M.; Goicoechea, N. Improvement of nutritional quality of greenhouse-grown lettuce by Arbuscular Mycorrhizal fungi is conditioned by the source of phosphorus nutrition. J. Agric. Food Chem. 2011, 59, 11129–11140. [Google Scholar] [CrossRef] [PubMed]
- Soerjomataram, I.; Oomen, D.; Lemmens, V.; Oenema, A.; Benetou, V.; Trichopoulou, A.; Coebergh, J.W.; Barendregt, J.; de Vries, E. Increased consumption of fruit and vegetables and future cancer incidence in selected European countries. Eur. J. Cancer 2010, 46, 2480–2563. [Google Scholar] [CrossRef] [PubMed]
- Wang, S.; Melnyk, J.P.; Tsao, R.; Marcone, M.F. How natural dietary antioxidants in fruits, vegetables and legumes promote vascular health. Food Res. Int. 2011, 44, 14–22. [Google Scholar] [CrossRef]
- Al-Maskri, A.; Al-Kharusi, L.; Al-Miqbali, H.; Khan, M.M. Effect of salinity stress on growth of lettuce (Lactuca sativa) under closed-recycle nutrient film technique. Int. J. Agric. Biol. 2010, 12, 377–380. [Google Scholar]
- Fu, W.; Li, P.; Wu, Y. Effects of different light intensities on chlorophyll fluorescence characteristics and yield in lettuce. Sci. Hortic. 2012, 135, 45–51. [Google Scholar] [CrossRef]
- Sofo, A.; Lundegardh, B.; Martensson, A.; Manfra, M.; Pepe, G.; Sommella, E.; De Nisco, M.; Tenore, G.C.; Campiglia, P.; Scopa, A. Different agronomic and fertilization systems affect polyphenolic profile, antioxidant capacity and mineral composition of lettuce. Sci. Hortic. 2016, 204, 106–115. [Google Scholar] [CrossRef]
- Acosta-Motos, J.R.; Ortuno, M.F.; Bernal-Vicente, A.; Diaz-Vivancos, P.; Sanchez-Blanco, M.J.; Hernandez, J.A. Plant responses to salt stress: Adaptive mechanisms. Agronomy 2017, 7, 18. [Google Scholar] [CrossRef]
- Aroca, R.; Ruiz-Lozano, J.M.; Zamarreno, A.M.; Paz, J.A.; Garcia-Mina, J.M.; Pozo, M.J.; Lopez-Raez, J.A. Arbuscular mycorrhizal symbiosis influences strigolactone production under salinity and alleviates salt stress in lettuce plants. J. Plant Physiol. 2013, 170, 47–55. [Google Scholar] [CrossRef]
- Evelin, H.; Giri, B.; Kapoor, R. Ultrastructural evidence for AMF mediated salt stress mitigation in Trigonella foenum-graecum. Mycorrhiza 2013, 23, 71–86. [Google Scholar] [CrossRef]
- Ashraf, M.; Harris, P.J.C. Photosynthesis under stressful environments: An overview. Photosynthetica 2013, 51, 163–190. [Google Scholar] [CrossRef]
- De Oliveira, A.B.; Alencar, N.L.M.; Gomes-Filho, E. Comparison between the water and salt stress effects on plant growth and development. In Responses of Organisms to Water Stress; Akinci, S., Ed.; IntechOpen: London, UK, 2013; pp. 67–94. [Google Scholar] [CrossRef]
- Rouphael, Y.; Petropoulos, S.A.; Cardarelli, M.; Colla, G. Salinity as eustressor for enhancing quality of vegetables. Sci. Hortic. 2018, 234, 361–369. [Google Scholar] [CrossRef]
- Tang, X.; Mu, X.; Shao, H.; Wang, H.; Brestic, M. Global plant-responding mechanisms to salt stress: Physiological and molecular levels and implications in biotechnology. Critic. Rev. Biotechnol. 2015, 35, 425–437. [Google Scholar] [CrossRef]
- Negrao, S.; Schmockel, S.M.; Tester, M. Evaluating physiological responses of plants to salinity stress. Ann. Bot. 2017, 119, 1–11. [Google Scholar] [CrossRef]
- Nemeskeri, E.; Helyes, L. Physiological responses of selected vegetable crop species to water stress. Agronomy 2019, 9, 447. [Google Scholar] [CrossRef]
- Bauriegel, E.; Brabandt, H.; Garber, U.; Herppich, W.B. Chlorophyll fluorescence imaging to facilitate breeding of Bremia lactucae-resistant lettuce cultivars. Comput. Electron. Agric. 2014, 105, 74–82. [Google Scholar] [CrossRef]
- Chisari, M.; Todaro, A.; Barbagallo, R.N.; Spagna, G. Salinity effects on enzymatic browning and antioxidant capacity of fresh-cut baby Romaine lettuce (Lactuca sativa L. cv. Duende). Food Chem. 2010, 119, 1502–1506. [Google Scholar] [CrossRef]
- Simko, I.; Jimenez-Berni, J.A.; Furbank, R.T. Detection of decay in fresh-cut lettuce using hyperspectral imaging and chlorophyll fluorescence imaging. Postharvest Biol. Technol. 2015, 106, 44–52. [Google Scholar] [CrossRef]
- Adhikari, N.D.; Simko, I.; Mou, B. Phenomic and physiological analysis of salinity effects on lettuce. Sensors 2019, 19, 4814. [Google Scholar] [CrossRef]
- Garrido, Y.; Tudela, J.A.; Marin, A.; Mestre, T.; Martinez, V.; Gil, M.I. Physiological, phytochemical and structural changes of multi-leaf lettuce caused by salt stress. J. Sci. Food Agric. 2014, 94, 1592–1599. [Google Scholar] [CrossRef]
- Kim, H.J.; Fonseca, J.M.; Choi, J.H.; Kubota, C.; Kwon, D.Y. Salt in irrigation water affects the nutritional and visual properties of Romaine lettuce (Lactuca sativa L.). J. Agric. Food Chem. 2008, 56, 3772–3776. [Google Scholar] [CrossRef]
- Shin, Y.K.; Bhandari, S.R.; Cho, M.C.; Lee, J.G. Evaluation of chlorophyll fluorescence parameters and proline content in tomato seedlings grown under different salt stress conditions. Hortic. Environ. Biotechnol. 2020, 61, 433–443. [Google Scholar] [CrossRef]
- Warren, C.R. Rapid measurement of chlorophylls with a microplate reader. J. Plant Nutr. 2008, 31, 1321–1332. [Google Scholar] [CrossRef]
- Bates, L.S.; Waldren, R.P.; Teare, I.D. Rapid determination of free proline for water-stress studies. Plant Soil 1973, 39, 205–207. [Google Scholar] [CrossRef]
- Spinola, V.; Mendes, B.; Camara, J.S.; Castilho, P.C. An improved and fast UHPLC-PDA methodology for determination of L-ascorbic and dehydroascorbic acids in fruits and vegetables. Evaluation of degradation rate during storage. Anal. Bioanal. Chem. 2012, 403, 1049–1058. [Google Scholar] [CrossRef]
- Bhandari, S.R.; Lee, J.G. Ripening-dependent changes in antioxidants, color attributes, and antioxidant activity of seven tomato (Solanum lycopersicum L.) cultivars. J. Anal. Method Chem. 2016, 2016, 5498618. [Google Scholar] [CrossRef]
- Jo, J.S.; Bhandari, S.R.; Kang, G.H.; Lee, J.G. Comparative analysis of individual glucosinolates, phytochemicals, and antioxidant activities in broccoli breeding lines. Hortic. Environ. Biotechnol. 2016, 57, 392–403. [Google Scholar] [CrossRef]
- Benzie, I.F.F.; Strain, J.J. The ferric reducing ability of plasma (FRAP) as a measure of “antioxidant power”: The FRAP assay. Anal. Biochem. 1996, 239, 70–76. [Google Scholar] [CrossRef]
- Re, R.; Pellegrini, N.; Proteggente, A.; Pannala, A.; Yang, M.; Rice-Evans, C. Antioxidant activity applying an improved ABTS radical cation decolorization assay. Free Radic. Biol. Med. 1999, 26, 1231–1237. [Google Scholar] [CrossRef]
- Qin, L.; Guo, S.; Ai, W.; Tang, Y.; Cheng, Q.; Chen, G. Effect of salt stress on growth and physiology in amaranth and lettuce: Implications for bio-regenerative life support system. Adv. Space Res. 2013, 51, 476–482. [Google Scholar] [CrossRef]
- Goussi, R.; Manaa, A.; Derbali, W.; Cantamessa, S.; Abdelly, C.; Barbato, R. Comparative analysis of salt stress, duration and intensity, on the chloroplast ultrastructure and photosynthetic apparatus in Thellungiella salsuginea. J. Photochem. Photobiol. B 2018, 183, 275–287. [Google Scholar] [CrossRef] [PubMed]
- Xu, C.; Mou, B. Evaluation of lettuce genotypes for salinity tolerance. HortScience 2015, 50, 1441–1446. [Google Scholar] [CrossRef]
- Ouzounidou, G.; Giannakoula, A.; Ilias, I.; Zamanidis, P. Alleviation of drought and salinity stresses on growth, physiology, bioachemistry and quality of two Cucumis sativus L. cultivars by Si application. Braz. J. Bot. 2016, 39, 531–539. [Google Scholar] [CrossRef]
- Ouzounidou, G.; Ilias, I.F.; Giannakoula, A.; Theocharidou, I. Effect of water stress and NaCl triggered changes on yield, physiology, biochemistry of broad bean (Vicia faba L.) plants and on quality of harvested pods. Biologia 2014, 69, 1010–1017. [Google Scholar] [CrossRef]
- Chaves, M.M.; Flexas, J.; Pinheiro, C. Photosynthesis under drought and salt stress: Regulation mechanisms from whole plant to cell. Ann. Bot. 2009, 103, 551–560. [Google Scholar] [CrossRef]
- Gorbe, E.; Calatayud, A. Applications of chlorophyll fluorescence imaging technique in horticultural research—A review. Sci. Hortic. 2012, 138, 24–35. [Google Scholar] [CrossRef]
- Kim, J.H.; Bhandari, S.R.; Chae, S.Y.; Cho, M.C.; Lee, J.G. Application of maximum quantum yield, a parameter of chlorophyll fluorescence, for early detection of bacterial wilt in tomato seedlings. Hortic. Environ. Biotechnol. 2019, 60, 821–829. [Google Scholar] [CrossRef]
- Woo, N.S.; Badger, M.R.; Pogson, B.J. A rapid, non-invasive procedure for quantitative assessment of drought survival using chlorophyll fluorescence. Plant Methods 2008, 4, 27. [Google Scholar] [CrossRef]
- Bhandari, S.R.; Kim, Y.H.; Lee, J.G. Detection of temperature stress using chlorophyll fluorescence parameters and stress-related chlorophyll and proline content in paprika (Capsicum annuum L.) seedlings. Hortic. Sci. Technol. 2018, 36, 619–629. [Google Scholar] [CrossRef]
- He, Y.; Zhu, Z.; Yang, J.; Ni, X.; Zhu, B. Grafting increases the salt tolerance of tomato by improvement of photosynthesis and enhancement of antioxidant enzymes activity. Environ. Exp. Bot. 2009, 66, 270–278. [Google Scholar] [CrossRef]
- Stepien, P.; Johnson, G.N. Contrasting responses of photosynthesis to salt stress in the glycophyte Arabisopsis and the halophyte Thellungiella: Role of plastid terminal oxidase as an alternative election sink. Plant Physiol. 2009, 149, 1154–1165. [Google Scholar] [CrossRef]
- Acosta-Motos, J.R.; Diaz-Vivancos, P.; Alvarez, S.; Fernandez-Garcia, N.; Sanchez-Blanco, M.J.; Hernandez, J.A. NaCl-induced physiological and bioachemical adaptative mechanisms in the ornamental Myrtus communis L. plants. J. Plant Physiol. 2015, 183, 41–51. [Google Scholar] [CrossRef]
- Song, X.; Zhou, G.; Ma, B.L.; Wu, W.; Ahmad, I.; Zhu, G.; Yan, W.; Jiao, X. Nitrogen application improved photosynthetic productivity, chlorophyll fluorescence, yield and yield components of two oat genotypes under saline conditions. Agronomy 2019, 9, 115. [Google Scholar] [CrossRef]
- Ruban, A.V. Nonphotochemical chlorophyll fluorescence quenching: Mechanism and effectiveness in protecting plants from photodamage. Plant Physiol. 2016, 170, 1903–1916. [Google Scholar] [CrossRef] [PubMed]
- Lichtenthaler, H.K.; Langsdorf, G.; Lenk, S.; Buschmann, C. Chlorophyll fluorescence imaging of photosynthetic activity with the flash-lamp fluorescence imaging system. Photosynthetica 2005, 43, 355–369. [Google Scholar] [CrossRef]
- Trovato, M.; Mattioli, R.; Costantino, P. Multiple roles of proline in plant stress tolerance and development. Rend. Lincei. Sci. Fis. Nat. 2008, 19, 325–346. [Google Scholar] [CrossRef]
- Mansour, M.M.F.; Ali, E.F. Evaluation of proline functions in saline conditions. Phytochemistry 2017, 140, 52–68. [Google Scholar] [CrossRef]
- Chen, Z.; Cuin, T.A.; Zhou, M.; Twomey, A.; Naidu, B.P.; Shabala, S. Compatible solute accumulation and stress-mitigating effects in barley genotypes contrasting in their salt tolerance. J. Exp. Bot. 2007, 58, 4245–4255. [Google Scholar] [CrossRef]
- Gupta, B.; Huang, B. Mechanism of salinity tolerance in plants: Physiological, biochemical, and molecular characterization. Int. J. Genom. 2014, 2014, 701596. [Google Scholar] [CrossRef]
- Bartha, C.; Fodorpataki, L.; Martinez-Ballesta, M.C.; Popescu, O.; Carvajal, M. Sodium accumulation contributes to salt stress tolerance in lettuce cultivars. J. App. Bot. Food Qual. 2015, 88, 42–48. [Google Scholar] [CrossRef]
- Kaur, G.; Asthir, B. Proline: A key player in plant abiotic stress tolerance. Biol. Plant. 2015, 59, 609–619. [Google Scholar] [CrossRef]
- Taffouo, V.D.; Nouck, A.H.; Dibong, S.D.; Amougou, A. Effects of salinity stress on seedling growth, numeral nutrients, and total chlorophyll of some tomato (Lycopersicum esculentum L.) cultivars. Afr. J. Biotechnol. 2010, 9, 5366–5372. [Google Scholar]
- Silveira, J.A.G.; Carvalho, F.E.L. Proteomics, photosynthesis and salt resistance in crops: An integrative view. J. Proteom. 2016, 143, 24–35. [Google Scholar] [CrossRef] [PubMed]
- Neocleous, D.; Koukounaras, A.; Siomos, A.S.; Vasilakakis, M. Assessing the salinity effects on mineral composition and nutritional quality of green and red “baby” lettuce. J. Food Qual. 2014, 37, 1–8. [Google Scholar] [CrossRef]
- Hand, M.J.; Taffouo, V.D.; Nouck, A.E.; Nyemene, K.P.J.; Tonfack, L.B.; Meguekam, T.L.; Youmbi, E. Effects of salt stress on plant growth, nutrient partitioning, chlorophyll content, leaf relative water content, accumulation of osmolytes and antioxidant compounds in pepper (Capsicum annuum L.) cultivars. Not. Bot. Horti Agrobo. 2017, 45, 481–490. [Google Scholar] [CrossRef]
- Zribi, L.; Fatma, G.; Fatma, R.; Salwa, R.; Hassan, N.; Neejib, R.M. Application of chlorophyll fluorescence for the diagnosis of salt stress in tomato “Solanum lycopersicum (variety Rio Grande)”. Sci. Hortic. 2009, 120, 367–372. [Google Scholar] [CrossRef]
Publisher’s Note: MDPI stays neutral with regard to jurisdictional claims in published maps and institutional affiliations. |
© 2020 by the authors. Licensee MDPI, Basel, Switzerland. This article is an open access article distributed under the terms and conditions of the Creative Commons Attribution (CC BY) license (http://creativecommons.org/licenses/by/4.0/).




