Abstract
Naturally infertile soils require large amounts of mineral fertilizers to obtain the desired crop yield. In the Cerrado region of Brazil, there is a need to investigate the potential of organic fertilizers to sustainably increase crop productivity and food security. A field study was conducted over two experimental seasons to evaluate the agronomic effectiveness of composted sewage sludge (CSS) as a fertilizer for soybean cultivation in infertile tropical soils. A 4 × 2 + 2 factorial randomized complete block design was applied with the following treatments: (i) CSS: 5.0, 7.5, 10.0, and 12.5 Mg ha−1 on a wet basis applied according to two different methods: whole area (WA) or between rows (BR); (ii) comparison with two alternative treatments: a control with no CSS and mineral fertilizer application, and an area treated with conventional fertilizers only. All the treatments were compared in terms of micronutrient concentrations in surface soil and plant leaves, plant development, crop productivity, and yield. Bi- (ANOVA, correlation matrix, and polynomial regression analysis) and multivariate (PCA, principal factor analysis) statistics were applied to determine statistical differences and relationships/observed variability among the treatments. Results showed that at higher CSS-WA rates: (i) soil and leaf micronutrient concentrations increased; (ii) there was an increase in soybean yield by 12 and 20%, respectively, as compared to control and conventional fertilization; (iii) soybean yield was 67% higher than the mean soybean yields for Brazil. Research outcomes confirm the benefits of CSS application on infertile agricultural soils in the Cerrado region, representing a strong alternative source of micronutrients in the CSS with respect to conventional fertilizers.
1. Introduction
Sewage sludge (SS) is an organic byproduct derived from wastewater treatment plants (WWTP) that may contain a large amount of organic matter (OM) and plant nutrients, including nitrogen (N), phosphorus (P), and micronutrients [1,2,3]. While SS is often discarded in landfills [4], it has enormous potential as a fertilizer to improve soil fertility in both agricultural [5] and agroforestry operations [6].
The use of SS as a fertilizer or soil amendment is becoming increasingly popular worldwide. Matos [7] reported that the USA and several European countries utilized more than 50% of SS in agriculture. In Brazil, the National Council of the Environment (Conselho Nacional do Meio Ambiente—CONAMA) regulates agricultural and forestry use of SS—CONAMA Resolution 498/2020 [8]. While CONAMA encourages SS use in agriculture, there are concerns that have limited SS adoption in Brazil, as evidenced by the fact that less than 3% of SS in Brazil is currently used in agriculture [7]. Such low SS adoption is also attributed to the scarcity of research into SS use as a fertilizer or soil amendment in Brazil. However, the prominent role of Brazil as a major agricultural commodity producer in the global markets [9] warrants that fertilizers such as SS must receive further research attention. Recently, the Brazilian government approved a revision of the aforementioned Resolution [10], clarifying there are no further restrictions in the use of composted sewage sludge (CSS) as an organic fertilizer.
Despite having potentially toxic elements and pathogens, including helminth eggs, protozoan cysts, and Escherichia coli [11], CSS can be a valuable fertilizer option in both agricultural and forestry operations [12]. Indeed, composting processes substantially reduced pathogenic loads [13], which has also proven to be a relatively low-cost technique for providing stabilization in terms of organic matter, nutrients, and general physical-chemical characteristics [14,15]. Composting results in a product that can be used safely and classified by national and international regulations as organic fertilizers [16]. As a matter of fact, when CSS is applied at agronomic rates, both Guerrini et al. [16] and Jakubus and Graczyk [17] found that potentially toxic element concentrations did not increase over natural background concentrations (NBC) or quality reference values in soils. The large consumption and high cost of fertilizers in the agricultural sector necessitates the use of alternative micronutrient sources to reduce demand for mineral fertilizers and increase profitability [18].
Apart from CSS, several other mineral and organic materials have been investigated as soil fertilizers in infertile soils as potential alternatives to synthetic fertilizers. Examples include biochar (alone or in composted mixtures), livestock manures, woody residues (sugarcane bagasse, food processing biproducts), and minerals [19,20,21]. Mixtures that include both organic and mineral materials, such as lake-dredged materials [22,23], or a combination of the previous mineral-organic materials, have also been explored. The primary problems in their re-use, in comparison with CSS, as fertilizers in infertile soils include: (i) higher market cost (zeolite, struvite, clay minerals); (ii) poor market availability and environmental accessibility (lake-dredged materials); (iii) requiring complex and expensive technologies for amendment/fertilizer formulation (biochar, biochar-composted mixtures, struvite); (iv) restrictions imposed on their re-use (fly ash, slag, lake-dredged materials, livestock manure, food processing biproducts); and (v) low effectiveness when used alone (limestone, wood residues) [20,21,22,23].
Additional advantages of CSS re-use in agriculture relate to: (i) its accessibility as it is produced in great amounts at WWTP; (ii) its costs, mainly related to its transport that can be substantially reduced by using CSS in areas close to WWTP [15,16]; (iii) satisfaction of the circular economy perspective [24], i.e., waste recyclable materials are re-used by reintroducing it into the economy as new raw materials, thus ensuring and increasing the security of supply [17]. Indeed, as argued by Barros et al. [25], byproducts re-use in agriculture must guarantee not only adequate amounts of high-quality food production but also avoid natural resources deterioration. In other words, it must be both environmentally safe and profitable [17].
Naturally infertile soils are widespread throughout the world, often constraining crop productivity unless large amounts of lime and mineral fertilizers are used. Considering that the global human population is expected to exceed 9.8 billion people by 2050 [26], the proper use of these infertile soils represents a pivotal issue requiring appropriate scientific and technical efforts.
The Brazilian Cerrado is a tropical region characterized by irregular precipitation and naturally infertile, acidic, and strongly leached soils [1]. These soil features are not conducive to the cultivation of major commodities, such as soybean (Glycine max (L.) Merrill), one of the most important crops cultivated globally for both human and animal consumption [27]. Soybean production in Brazil exceeded 120 million metric tons during the last crop year, thus representing the third most important crop in Brazilian agriculture in terms of production value. As a matter of fact, Brazil is the second largest global producer of this oilseed used as an alternative protein source in plant- and animal-based diets, soymilk, biodiesel, etc. Unfortunately, soybean is highly sensitive to micronutrient deficiencies [28], which necessitates the use of large amounts of mineral fertilizers to make cultivation economically feasible [29]. This dependency on mineral fertilizers has led to concern about the environmental and socio-economic sustainability of Brazilian agriculture. Brazil is a market leader for several other commodities (corn, Zea mays L.; sugarcane, Saccharum officinarum L.; Coffea sp., ethanol, etc.) which are exported worldwide [30] and also uses substantial amounts of mineral fertilizers. Consequently, development of best management practices for Brazilian agricultural soils is of worldwide strategic importance to better ensure food safety and production.
The use of CSS as a micronutrient source on naturally infertile soils, such as those characterizing the Cerrado region, has not been previously investigated. CSS application in agricultural soils in such ecosystems is something new, particularly in terms of micronutrients source. Consequently, this makes the present study quite innovative, current, and very important for the Brazilian agricultural and, as previously observed, worldwide scenario.
The objectives of this study were to evaluate: (i) the agronomic viability of CSS as a soil fertilizer; (ii) the agronomic performance of soybean in the Cerrado region as affected by CSS. We hypothesized that CSS application on the infertile soils of the Cerrado region would improve soil micronutrient availability and crop yield.
2. Materials and Methods
2.1. Experimental Area
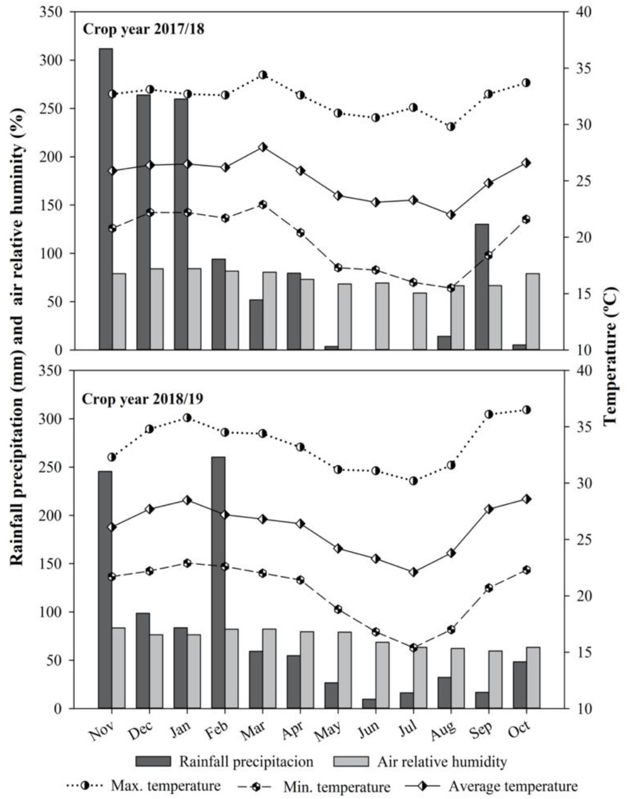
A field study was conducted over two experimental seasons (2017/2018 and 2018/2019, starting from September 2017) in Mato Grosso do Sul, Brazil (20°20′35′′ N, 51°24′04′′ E; 358 m asl, Figure 1a). Investigated soils were acidic and sandy-clayey (Rhodic Hapludox; [31]) with a high cation exchange capacity (CEC) but low organic matter and nutrient content (Table 1). Prior to this study, the experimental site was continuously cropped with maize under conventional tillage and dryland conditions for approximately 10 years. Weather data were collected throughout the study (Figure 2).
Figure 1.
Study area: Selvíria Municipality, Mato Grosso do Sul State—MS, Brazil (a); soybean experimental area: plots (b); soybean experimental area: different field experimental steps (c); schematic representation of the planting configuration (d).
Table 1.
Physical-chemical properties 1 of the soil (surface Ap horizon) in the study area.
Figure 2.
Monthly accumulated rainfall, relative humidity, mean, maximum (max.), and minimum (min.) temperatures recorded during the cultivation of soybean crops. Data were collected from the weather station managed by the School of Engineering at the São Paulo State University, Ilha Solteira, Brazil.
Soybean crops were investigated over two experimental seasons (Figure 1b,c). Soybean was the focus of this study because of its importance in human and animal diets, in addition to its sensitivity to micronutrient deficiency (e.g., B, Cu, Mo, and Zn) when grown in infertile soils such as those characterizing the Cerrado region of Brazil [27].
Soil preparation began in September of the first experimental season, in accordance with Brazilian agronomic operational activities [34]. Soil was tilled to 30 cm in depth, and soybean was sown in 10 different plots according to the number of treatments with four replications (vide supra), resulting in a total of 40 plots. Each plot (Figure 1d) measured 3.15 × 10 m with rows spaced 0.45 m apart, leading to 31.5 m2 plots and a study area of 1260 m2. Within each plot, data were collected from the three central rows (Figure 1d).
2.2. Experimental Design and Treatments
The experiment was set up in a randomized complete block design with four replications. The experimental design in the study followed a 4 × 2 + 2 factorial arrangement: 1. CSS: 5.0, 7.5, 10.0, and 12.5 Mg ha−1 on a wet basis; 2. application method: whole area (WA, hereafter) or between rows (BR) for both crops. The two additional treatments were: (i) a control where neither CSS nor mineral fertilizers were applied; (ii) an area treated with conventional fertilization (CF) only. In CSS and CF treatments, N-P-K mineral fertilizers were applied along the sowing line; only in CF treatments, B and Zn were applied after soybean emergence. In particular, the following nutrients per rates were applied: 16 kg ha−1 of N (as urea, 45% N), 80 kg ha−1 of P2O5 (as triple superphosphate, 40% P2O5), 80 kg ha−1 K2O (KCl, 60% K2O), 1 kg ha−1 of B (as boric acid, 18% B), and 5 kg ha−1 of Zn (as zinc sulphate, 20% Zn).
2.3. Sewage Sludge Characterization
Composted sewage sludge (CSS) was produced from thermophilic composting of urban organic waste from the municipal WWTP (Tera Ambiental Ltd.a®) in São Paulo State, Brazil. Techniques used for CSS preparation along with its main chemical and biological features are presented in Table 2.
Table 2.
Chemical and biological characteristics of composted sewage sludge (mean ± SE, n = 3).
Sewage sludge was generated in a biological system composed of a sequence of aerated, mixing, and sedimentation ponds for a period of approximately one year. In order to reduce the presence of pathogenic agents and to obtain material containing up to 25% solids, sewage sludge was further treated with raw wood chips (representing the main C source) and polymers. It was then centrifuged, and air dried for three months, with or without periodic mechanical turnover of the piles through a system of forced aeration. During the processing stage, limestone and plaster were added at <5% (on dry mass basis). After cleaning and reaching the ideal moisture content (about 40%), the SS was sieved and piled for maturation for an additional 15 days, prior to the final CSS production.
2.4. Soil Preparation
Prior to this study, soil was limed using 2.2 Mg ha−1 with the aim of increasing base saturation (BS) to 70%. Additionally, gypsum was applied at a rate of 1.8 Mg ha−1 in accordance with recommendations by Raij et al. [35].
For weed management, glyphosate and 2,4-Dichlorophenoxyacetic acid were applied at rates of 1.8 kg ha−1 of a.i. and 0.67 kg ha−1 of a.i., respectively, two weeks before sowing and CSS application. Following herbicide application, CSS was manually spread out on the soil surface one week before (in WA plots) and after (in BR plots) sowing, considering the moisture content of the material (45% for I experimental season and 36% for II experimental season).
Before sowing, seed was treated with both fungicides (thiophanate-methyl + pyraclostrobin, i.e., 5 g + 45 g of a.i. per 100 kg of seed, respectively) and insecticides (fipronil—50 g of a.i. per 100 kg of seed). Soybean (cultivar BMX Potência RR) was sown in November at approximately 400,000 plants per ha and was mechanically harvested in April of the two experimental seasons.
Plots receiving CSS also were supplemented by mineral fertilizer because soil testing indicated initial nutrient deficiencies based on recommendations by Raij et al. [35]. Specifically, plots received 16 kg ha−1 of N (as urea), 80 kg ha−1 of P2O5 (as triple superphosphate), and 80 kg ha−1 of K2O (as potassium chloride, [36]). Soybean seed was inoculated at sowing with Bradyrhizobium japonicum strain SEMIA 5079 (2 mL per kg of seed containing 5 × 109 CFU g−1) to better supply the crop with N and to reduce the use of mineral fertilization. Based on soil test results and micronutrient recommendations for soybean by the State of Sao Paulo [35], during the I two experimental season, in plots treated with conventional mineral fertilizers (CF), 1.0 kg ha−1 of B (H3BO3) and 5.0 kg ha−1 of Zn (ZnSO4) were applied immediately after seedling emergence. During the II experimental season, it was not necessary to apply Zn, but the same amount and source of B was applied.
All CF were applied on the soil surface, without incorporation, at approximately 0.08 m away from sowing lines to avoid direct contact with plants. Plots were irrigated through an automatized system with irrigation starting immediately after the first fertilizer application to minimize nutrient losses through volatilization. Irrigation was managed according to crop needs and weather conditions, with a mean water depth of 14 mm of irrigation when necessary.
2.5. Chemical Analysis
2.5.1. Soil Analysis
At the end of each crop cycle five samples were randomly collected in the Ap horizon (0–0.2 m) of each plot, in both BR and WA areas. Samples were bulked and a random subsample was collected and used to determine nutrient concentrations. Copper, Fe, Mn, Ni, and Zn (bio)available concentrations were evaluated according to DTPA-TEA extraction methods [33]. Micronutrient concentrations in the extracts were then analyzed by inductively coupled plasma atomic emission spectroscopy (ICP–OES, Model Varian Vista-MPX, Varian, CA, USA). Boron content was evaluated by extraction with barium chloride and then quantified using a UV-VIS spectrophotometer (Model Varian Cary-50, Varian, Victoria, Australia).
All analyses were conducted in triplicate and blank samples were analyzed simultaneously. In order to ensure very low limits of detection, all acids, reagents, and water were instrument-compatible grade. Standard reference material (SRM 2709a—San Joaquim) was used to ensure the accuracy and precision of the analytical methods.
2.5.2. Plant Analysis
Soybean leaves were collected to determine nutrient concentrations. The third completely developed leaf, starting from the apex of the main stem to the base, was collected with 30 leaves randomly collected from each soybean plot at the flowering growth stage (R2) [37].
After a wet digestion of the dry material, with nitric (HNO3) and perchloric acid (HClO4), the leaf micronutrient concentration was determined using the methods described by Malavolta et al. [38]. Briefly, the azomethine-H colorimetric method was used for B, while atomic absorption spectrometry was used for Cu, Fe, Mn, and Ni determination.
2.6. Plant Development and Productivity
Several plant parameters were evaluated for each crop. Plant height (PH), height of the first pod (HFP), number of pods per plant (NPP), number of grains per pod (NGP), 1000 seed weight (SW), were all measured in 10 randomly selected plants per each of the investigated treatment. Final plant population (FPP) was measured for the entire plot. All these measurements were made during the physiological maturation period (R8).
Soybean was harvested 126 days after seedling emergence (DSE). Its yield was measured by manually harvesting all plants, inside the data collection area (Figure 1d) of each investigated plot. Harvested plants were then collectively weighed and yield values reported in terms of kg ha−1. Final values were corrected in order to consider an observed 13% in moisture content.
2.7. Statistical Analysis
Univariate and multivariate analyses were conducted using SAS (v. 9.3; SAS Institute, Cary, NC, USA) [39] and RStudio (v. 4.0.3; RStudio Desktop, Boston, MA, USA) [40]. Data were compared using analysis of variance (ANOVA). Where the F-test was significant, differences between mean values according to CSS applied rates (5.0, 7.5, 10.0, and 12.5 Mg ha−1 on a wet basis), application method (WA or BR), and experimental season (I vs. II experimental season) were tested through a Tukey’s post hoc honest significant difference test (p ≤ 0.05). Dunnett test (p ≤ 0.05) was applied for testing significant differences due to CSS applied rates and additional treatments (control and CF) and polynomial regression analysis was performed to evaluate interactions and/or effects of CSS applied rates.
Correlation matrix (CM) and factor analysis (FA) were elaborated to understand bivariate and multivariate relationships among investigated parameters. For CM, Pearson’s product moment correlation coefficient was used from Box-Cox transformed data with statistical significance determined by the Student’s t-test (p ≤ 0.05). Factor analysis (FA) based on the CM was used to explain the variation in a multivariate dataset with as few factors as possible. For the facilitation of the interpretation of the results, varimax rotation was used and its significance fixed at p ≤ 0.05.
3. Results and Discussion
3.1. Soil
There was an interaction between the method and rate of CSS application on soil micronutrient concentrations during both experimental seasons (Table 3). During the first experimental season, application of CSS in WA resulted in a significant linear increase in soil B concentration as well as a positive quadratic adjustment in soil Zn concentration (Table 4). During the second experimental season, there was a linear increase in soil B, Cu, and Fe concentration as well as a positive and negative quadratic adjustment in soil Zn and Mn concentration, respectively (Table 4). Higher CSS application rates (7.5–12.5 Mg ha−1) resulted in the highest soil B, Cu, and Zn concentrations (Table 3) for both investigated experimental seasons when the WA method was applied. Fe and Mn concentrations did not differ among all investigated treatments (Table 3). The increase in soil B, Cu, and Zn concentrations was expected since CSS contained substantial amounts of these elements (Table 2). During the first experimental season, in most cases, the CSS application in BR had no effect on micronutrient concentrations, with the exception of Zn, which presented a negative quadratic adjustment (Table 4). During the second experimental season, the situation was quite similar to that observed with the WA method in terms of both micronutrient behavior (Table 4) and increased concentrations at higher CSS rates (Table 3).
Table 3.
Soil micronutrient concentration (mg kg−3) after two consecutive experimental seasons of soybean cultivation according to application method (AM: WA = whole area; BR = between rows) and treatments (control, conventional fertilization (CF), and CSS increasing rates—Mg ha−1 on a wet basis).
Table 4.
Equation, with relative R2 coefficient, best describing B, Cu, Fe, Mn, and Zn (mg kg−1) behavior as a function of micronutrient concentration in the soil after two years of soybean cultivation vs. CSS application rates.
Comparing experimental seasons, we observed that all investigated micronutrient concentrations in soil, with the exception of Zn, showed a significant time-dependent decrease.
Comparing the observed (bio)available concentrations (diethylenetriaminepentaacetic acid—DTPA extraction method) with the interpretation limits (Table 3) proposed by Raij et al. [35] for these micronutrients in agricultural soils, we noted that for both experimental seasons: (i) B concentrations were low (0.20 mg kg−1) in the control but increased to 0.21–0.60 mg kg−1 in other treatments; (ii) Cu, Fe, and Mn concentrations were relatively high in the control (2.1 mg kg−1) and remained so in all the other treatments (>0.8 mg kg−1); (iii) Zn increased from a low value in the control (0.5 mg kg−1) to medium (0.6–1.2 mg kg−1) and high (>1.2 mg kg−1) with increasing CSS rates, particularly for the WA application method. The most important variation was Zn, which was present at a high concentration in CSS (Table 2). Backes et al. [41] found that increasing CSS rates from 0 to 48 Mg ha−1 on a Rhodic Hapludox, as was investigated in this study, but cultivated with zoysia grass (Zoysia japonica Steud.), resulted in an increase in (bio)available Zn concentrations in soil. Similarly, other studies have shown that application of CSS with similar features as in our study led to increases in (bio)available Cu, Fe, Mn, and Zn concentrations in soil [18,42].
From an environmental management perspective, previously reported results suggest that: (i) application of CSS in soybean cultivation can be successfully conducted, increasing (bio)available concentrations for several micronutrients, following both WA (both first experimental seasons) and BR (second experimental season only) methods; (ii) micronutrient time-dependent behavior was quite different for concentrations of B, Cu, Fe, Mn (decreasing trend), and Zn (increasing trend); and, consequently, (iii) application of CSS following the WA method is preferable. Additionally, operating costs following the WA method should decrease as well.
3.2. Plants
3.2.1. Leaf Micronutrient Concentrations
There were relatively few interactions between method and rate of CSS application on leaf micronutrient concentrations after one experimental season of soybean cultivation. During the second experimental season, such interactions slightly increased (Table 5). When the BR method was used, increasing rates of CSS resulted in a negative quadratic adjustment for Mn during both experimental seasons. Similar results were observed for Zn, but with the WA application method only (Table 6). The WA method also promoted a linear increase and a quadratic adjustment in Fe content during first and second experimental season, respectively, in soybean leaves with increasing CSS rates. A linear increase, during the second experimental season, in leaf B concentration was observed by applying the BR method.
Table 5.
Leaf micronutrient concentrations (mg kg−1) after two consecutive experimental seasons of soybean cultivation crop according to application method (AM: WA = whole area; BR = between rows) and treatments (control, conventional fertilization (CF), and CSS increasing rates—Mg ha−1 on a wet basis).
Table 6.
Equation, with relative R2 coefficient, best describing B, Cu, Fe, Mn, and Zn (mg kg−1) behavior as a function of micronutrient concentration (in leaves after two years of soybean cultivation) vs. CSS application rates.
It was found that in most treatments, CSS application in WA and BR did not lead to a significant increase in soybean leaf micronutrient concentrations, relative to the control and CF, regardless of CSS rate (Table 5). This was true for both experimental seasons. By comparing experimental season one to two, we observed that all leaf micronutrient concentrations showed a significant time-dependent decrease.
Comparing the observed micronutrient concentrations in soybean leaves to the range of concentrations judged as adequate to avoid plant micronutrient deficiencies (under range) or toxicities (over range), we observed that [37]: (i) Zn concentration was slightly over the maximum limit during the first experimental season, but within the optimal range during II experimental season; (ii) Mn concentration was within the optimal range for both experimental seasons; (iii) B, Cu, and Fe concentrations were within the optimal range during the first experimental season, but were slightly under the suitable concentrations during the second experimental season. Higher Zn concentration during the first experimental season or lower B, Cu, and Fe contents in leaves in the second experimental season did not cause visual concerns related to toxicity or deficiency. During both experimental seasons, no visual symptoms of toxicity or deficiency for these micronutrients were observed.
Overall, there were only a few CSS methods by rate interactions on leaf micronutrient concentration observed. Most of the investigated micronutrients were within the adequate ranges, indicating that soybean leaves were not negatively impacted, even at the highest CSS rates. When CSS was applied, micronutrient concentrations in soybean were: (i) over the minimum adequate ranges, thus avoiding micronutrient deficiencies; (ii) mostly under the maximum critical range and, in all the investigated cases, no toxicity issues were observed. Since we did not observe a significant difference between WA and BR methods for both crops, we recommend WA method, as it is less expensive and time-consuming to implement.
3.2.2. Plant Development, Productivity, and Crop Yield
We observed an interaction between CSS application method and rate on NPP, NGP, and crop yield, during the first experimental season only; no interactions were observed during the second experimental season (Table 7). During the first experimental season, increasing CSS rate with the WA method promoted a negative quadratic adjustment for NPP and NGP, while soybean crop yield linearly increased. When CSS was applied with the BR method, a positive quadratic adjustment was observed on NPP, while there was a linear increase in NGP (Table 8).
Table 7.
Effects of treatments on selected soybean plant/crop parameters and yield.
Table 8.
Equation, with R2 coefficient, best describing plant parameters as a function of CSS application rates, after two years of soybean cultivation.
With the exception of crop yield, there was no significant difference in any of the plant parameters between treatments and the control, for both experimental seasons (Table 7). Indeed, PH, HFP, NPP, NGP, SW, and FPP did not show significant increases or decreases compared to the control or CF.
Conversely, crop yield showed a significant increase at higher CSS rates, namely 10.0 and 12.5 Mg ha−1 with the WA method, by: (i) 12 to 20% over the control or CF during the first experimental season; (ii) 12 to 21% over the control or CF during the second experimental season. Vieira et al. [43] evaluated CSS application on soybean and also observed a positive effect on yield. Comparing the higher soybean yields observed in our study (ranging from 5257 to 5549 kg ha−1, during the first experimental season and from 4568 to 5102 kg ha−1 during the second experimental season) with the mean productivity in Brazil (3300 kg ha−1) during the I harvest period [44], we noted that a yield increase of up to 67% could be obtained with CSS application with the WA method. Importantly, investigated plant parameters, productivity, and crop yield mostly showed no significant differences between the two experimental seasons, indicating that application of CSS, even after two consecutive experimental seasons, is still efficient in increasing and/or maintaining soybean crop performances. We must point out that just one application of CSS was made at the beginning of the experiment. Overall, CSS promotes a significant increase in soybean productivity and is, thus, a potential alternative to most utilized conventional fertilizers for supplying micronutrients.
4. Multivariate Statistics
4.1. Correlation Matrix
The correlation matrix (CM), depicting correlations between plant parameters vs. leaf and soil micronutrient concentrations (Table 9), showed several interesting results. For soybean leaf micronutrient concentrations, CM showed that (Table 9, green columns): (i) plant height and final plant population decreased with increasing micronutrient concentrations; (ii) all the other investigated plant parameters increased at increasing micronutrient concentrations. Micronutrient concentrations in soils showed fewer significant correlations with plant parameters. However, even in this case, they showed the same behavior in influencing plant parameters as previously observed for their concentration in leaves. The only exception was for Zn, with its increasing concentration in the soil favoring: (i) a slight decrease in the number of grains per plant and; (ii) a slight increase in final plant population.
Table 9.
Pearson coefficients for correlations between plant parameters vs. leaf micronutrients concentration (_L, green) or soil (_S, orange) for soybean.
Overall, CM for soybean showed that: (i) a few plant parameters (PH and FPP) would be negatively affected by micronutrient concentrations in soil and leaves and, to a limited extent, in terms of statistical significance (especially for PH).
4.2. Factor Analyses
The eigenvalues of the three extracted factors (Table 10) after the matrix rotation were greater than 1 and these factors can, therefore, be grouped into a three-component model that accounts for 73% of all data variation for soybean.
Table 10.
Factor loadings of a factor analysis for soybean; extraction method: principal factor analysis (PFA); rotation method: varimax; bold loadings > 0.4.
F1, representing an impressive 57% of the variance, showed most of the investigated soil parameters (Cu, Fe, Mn) as positively concordant with all leaf micronutrients and most of the plant parameters (HFP, NPP, NGP, SW). Conversely, soil Zn concentrations were negatively correlated with all the previous reported parameters, with the exception of FPP. This confirmed what we had previously observed in MC, i.e., that a few plant parameters, with low statistical significance, can be negatively influenced by an increasing presence of some elements (with particular reference to Zn) in the soil as a consequence of their increase due to CSS increased application rates. Conversely, an increase in CSS rate, with a concomitant increase in several micronutrient concentrations in the soil, can positively favor an increase in both leaf micronutrient concentrations and plant performance. For this reason, this factor can be interpreted as the improvement in plant performance as a consequence of CSS application to the soil. The other two extracted factors are of minor importance in terms of both eigenvalues and explained variability (Table 10). F2 showed that yield increased as B and Zn concentrations in the soil increased. This does not contradict the previous factor since it merely showed that Zn can exert a negative influence, of statistically minor importance, for very few plant parameters while it can, together with B, positively affect crop yield. For all these reasons, such a factor can be interpreted as the pivotal role played by soil B and Zn in increasing crop yield. F3 showed that as crop yield increased following an increase in SW, plant height and the height of the first pod decreased accordingly. Such observations have previously been reported [45] and show that excessive development in PH can negatively influence crop yield in soybean cultivation. For these reasons, F3 can be interpreted as the influence of PH on soybean yield.
5. Conclusions
The results from the field trial of soybean crop in the infertile tropical soils of the Cerrado region showed that CSS application to the whole area (WA) resulted in higher concentrations of B, Cu, and Zn in soil and plant leaves, which are within their optimal range for crop production, thus avoiding soil deficiencies and/or pollution. Micronutrient concentrations in plant leaves of soybean showed a significant decrease with time without causing micronutrient deficiencies. In a few cases, concentrations of some micronutrients exceeded the maximum critical levels; however, no symptoms of plant toxicity were observed. As CSS application rates increased, crop yield increased accordingly. A yield increase by 67%, in comparison to mean soybean productivity in Brazil, was observed at the higher CSS-WA rates, while the present study accomplished an increase in soybean yield by 12 and 20%, respectively, with CSS-WA higher rates as compared to the control and CF. Multivariate statistics showed that a few plant parameters, with a few statistical magnitudes, can be negatively affected by CSS application. Overall, the results from the present study confirmed that at higher CSS-WA rates, benefits occur in terms of: (i) an increase in soil/leaf micronutrient concentrations; (ii) improved soybean productivity on the infertile soil. From an applicative and practical viewpoint, our results suggest that the reuse of CSS as fertilizer in the areas with naturally infertile soils, such as the Brazilian Cerrado region, should be strongly encouraged. While Brazil is market leader for several commodities, which are exported worldwide, around the 50% of its soils (in term of extension) are considered infertile or not suitable for agriculture. This position in the worldwide market has been reached through the application of new agronomic techniques, the development of advanced genetic material, improvements in the control of pests, diseases, and weeds, and new soil preparation and fertilization practices. Additionally, large amounts of synthetic fertilizers are usually applied to make cultivation economically feasible but create concerns about the environmental and socio-economic sustainability of Brazilian agriculture. From this perspective, our results showed that CSS represents an excellent alternative to CF as a micronutrient source. Its reuse in infertile agricultural soils can achieve multiple objectives, including: (i) limiting unproductive and dangerous disposal of these materials (landfill); (ii) decreasing massive use of mineral fertilizers; and, consequently, (iii) avoiding related environmental and socio-economic issues from both (i) and (ii). Considering CSS production is projected to increase over the next several years in Brazil, there are tremendous opportunities for its reuse for sustainable cropping systems.
Author Contributions
Conceptualization, T.A.R.N., A.R.C., M.M.P.S. and A.M.; methodology, T.A.R.N., A.R.P., A.R.C., and M.C.M.T.F.; software, A.G., B.G.M., and A.M.; validation, O.A., C.H.A.-J., Z.H., and G.F.C.; formal analysis, F.C.O., F.S.G., A.R.P., A.R.C., and G.F.C.; investigation, A.R.P., M.M.P.S., M.C.M.T.F., F.C.O., and O.A.; resources, A.R.P. and T.A.R.N.; data curation, A.G., G.F.C., Z.H., and A.D.J.; writing—original draft preparation, G.F.C., A.G., T.A.R.N, Z.H., C.H.A.-J., and A.D.J.; writing—review and editing, A.G., G.F.C., T.A.R.N. and A.D.J.; visualization, A.G., G.F.C. and T.A.R.N.; supervision, T.A.R.N., B.G.M., F.C.O., A.M., F.S.G., O.A.; project administration, T.A.R.N. and M.C.M.T.F.; funding acquisition, T.A.R.N., A.R.P., and G.F.C. All authors have read and agreed to the published version of the manuscript.
Funding
The APC was funded by “Fondi di Ateneo per la Ricerca 2020” (FAR-Università degli Studi di Sassari, 2020).
Acknowledgments
The São Paulo State Research Support Foundation (FAPESP), for the master’s scholarship (proc. Nº 2018/15152-4) granted to the first author. The GENAFERT (Grupo de Estudo em Nutrição, Adubação e Fertilidade do Solo) for technical support. Biossolo Agricultura e Ambiente Ltd.a and Tera Ambiental, for compost supplying.
Conflicts of Interest
The authors declare no conflict of interest.
References
- Abreu-Junior, C.H.; Firme, L.P.; Maldonado, C.A.B.; Moraes Neto, S.P.; Alvez, M.C.; Muraoka, T.; Boaretto, A.E.; Gava, J.L.; He, Z.; Nogueira, T.A.R.; et al. Fertilization using sewage sludge in unfertile tropical soils increased wood production in Eucalyptus plantations. J. Environ. Manag. 2017, 203, 51–58. [Google Scholar] [CrossRef] [PubMed]
- Abreu-Junior, C.H.; Brossi, M.J.L.; Monteiro, R.T.; Cardoso, P.H.S.; Mandu, T.S.; Nogueira, T.A.R.; Ganga, A.; Filzmoser, P.; Oliveira, F.C.; Firme, L.P.; et al. Effects of sewage sludge application on unfertile tropical soils evaluated by multiple approaches: A field experiment in a commercial Eucalyptus plantation. Sci. Total Environ. 2019, 655, 1457–1467. [Google Scholar] [CrossRef] [PubMed]
- Abreu-Junior, C.H.; de Oliveira, M.G.; Silveira Cardoso, P.H.; da Silva Mandu, T.; Florentino, A.L.; Carvalho Oliveira, F.; dos Reis, J.V.; Alcarde Alvares, C.; Stape, J.L.; Nogueira, T.A.R.; et al. Sewage sludge application in Eucalyptus urograndis plantation: Availability of phosphorus in soil and wood production. Front. Environ. Sci. 2020, 18, 1–14. [Google Scholar]
- Gutiérrez-Ginés, M.J.; Robinson, B.H.; Espershuetz, J.; Madejón, E.; Horswell, J.; McLenaghen, R. Potential use of biosolids to reforest degraded areas with New Zealand native vegetation. J. Environ. Qual. 2017, 46, 906–914. [Google Scholar] [CrossRef] [PubMed]
- Tejada, M.; Rodríguez-Morgado, B.; Gómez, I.; Franco-Andreu, L.; Benítez, C.; Parrado, J. Use of biofertilizers obtained from sewage sludges on maize yield. Eur. J. Agron. 2016, 78, 13–19. [Google Scholar] [CrossRef]
- Florentino, A.L.; Ferraz, A.V.; Goncalves, J.L.M.; Asensio, V.; Muraoka, T.; Dias, C.T.S.; Nogueira, T.A.R.; Capra, G.F.; Abreu-Junior, C.H. Long-term effects of residual sewage sludge application in tropical soils under Eucalyptus plantations. J. Clean. Prod. 2019, 220, 177–187. [Google Scholar] [CrossRef]
- Matos, A. Potencialidades e limitações do uso de Lodo de Esgoto em Solo-Aspectos Agronômicos, Controle de Atratividade de Vetores e de Impactos Ambientais. Available online: http://etessustentaveis.org/wpcontent/uploads/2018/05/Palestra-Matos-Workshop-Lodo-2.pdf (accessed on 20 May 2020).
- Conselho Nacional do Meio Ambiente—CONAMA. Resolução nº 498, de 19 de Agosto de 2020. Available online: https://www.in.gov.br/en/web/dou/-/resolucao-n-498-de-19-de-agosto-de-2020-273467970 (accessed on 20 October 2020).
- Nogueira TA, R.; Abreu-Junior, C.H.; Alleoni, L.R.F.; He, Z.; Soares, M.R.; Vieira, C.S.; Capra, G.F. Background concentrations and quality reference values for some potentially toxic elements in soils of São Paulo State, Brazil. J. Environ. Manag. 2018, 221, 10–19. [Google Scholar] [CrossRef]
- Ministério da Agricultura, Pecuária e Abastecimento–MAPA, 2020. Instrução normativa no 61, de 08 de Julho de 2020. Ministério da Agricultura, Pecuária e Abastecimento/Secretaria de Defesa Agropecuária, Diário Oficial da União, Publicado em: 15/07/2020, Edição: 134, Seção: 1, Página: 5, Brasília. Available online: http://www.in.gov.br/web/dou/-/instrucao-normativa-n-61-de-8-de-julho-de-2020-266802148 (accessed on 29 July 2020).
- Nascimento, A.L.; Souza, A.J.; Andrade, P.A.M.; Andreote, F.D.; Coscione, A.R.; Oliveira, F. Sewage Sludge Microbial Structures and Relations to Their Sources, Treatments, and Chemical Attributes. Front. Microbiol. 2018, 9, 1–11. [Google Scholar] [CrossRef]
- Rehman, R.A.; Qayyum, M.F. Co-composts of sewage sludge, farm manure and rock phosphate can substitute phosphorus fertilizers in rice-wheat cropping system. J. Environ. Manag. 2020, 259, 109700. [Google Scholar] [CrossRef]
- Cheng, H.F.; Xu, W.P.; Liu, J.L.; Zhao, Q.J.; He, Y.Q.; Chen, G. Application of composted sewage sludge (CSS) as a soil amendment for turfgrass growth. Ecol. Eng. 2007, 29, 96–104. [Google Scholar] [CrossRef]
- Jakubus, M.; Graczyk, M. Assessment of chemical composition of plants cultivated on two different soils amended with sewage sludge compost using MANOVA. J. Plant. Nutr. 2020, 14, 1–10. [Google Scholar]
- Manca, A.; Silva, M.R.; Guerrini, I.A.; Fernandes, D.M.; Villas Bôas, R.L.; Silva, L.C.; da Fonseca, A.C.; Ruggiu, M.C.; Cruz, C.V.; Sivisaca, D.C.L.; et al. Composted sewage sludge with sugarcane bagasse as a commercial substrate for Eucalyptus urograndis seedling production. J. Clean. Prod. 2020, 269, 122145. [Google Scholar] [CrossRef]
- Guerrini, I.A.; Croce, C.G.G.; Bueno, O.C.; Jacon, C.P.R.P.; Nogueira, T.A.R.; Fernandez, D.M.; Ganga, A.; Capra, G.F. Composted sewage sludge an steel mill slag as potential amendments for urban soils involved in afforestation programs. Urban For. Urban Green. 2017, 22, 93e104. [Google Scholar] [CrossRef]
- Jakubus, M.; Graczyk, M. Microelement variability in plants as an effect of sewage sludge compost application assessed by different statistical methods. Agronomy 2020, 10, 642. [Google Scholar] [CrossRef]
- Jakubus, M.; Bakinowsk, E. Visualization of long-term quantitative changes of microelements in soils amended with sewage sludge compost evaluated with two extraction solutions. Commun. Soil Sci. Plan. 2018, 49, 1355–1369. [Google Scholar] [CrossRef]
- Agegnehu, G.; Srivastava, A.K.; Bird, M.I. The role of biochar and biochar-compost in improving soil quality and crop performance: A review. Appl. Soil Ecol. 2017, 119, 156–170. [Google Scholar] [CrossRef]
- Larney, F.J.; Angers, D.A. The role of organic amendments in soil reclamation: A review. Can. J. Soil Sci. 2012, 92, 19–38. [Google Scholar] [CrossRef]
- Xu, Y.; Liang, X.F.; Xu, Y.M.; Qin, X.; Huang, Q.Q.; Wang, L.; Sun, Y.B. Remediation of heavy metal-polluted agricultural soils using clay minerals: A review. Pedosphere 2017, 27, 193–204. [Google Scholar] [CrossRef]
- Capra, G.F.; Grilli, E.; Macci, C.; Vacca, S.; Masciandaro, G.; Ceccanti, B.; Bondi, G.; Duras, G.M.; Dessena, M.A.; Marras, G.; et al. Lake-dredged material (LDM) in pedotechnique for the restoration of Mediterranean soils affected by erosion/entisolization processes. J. Soils Sediments 2015, 15, 32–46. [Google Scholar] [CrossRef]
- Bondi, G.; Capra, G.F.; Macci, C.; Ceccanti, B.; Grilli, E.; Vacca, S.; Duras, G.M.; Dessena, M.A.; Marras, G.; Buondonno, A.; et al. Biochemical performance of degraded soil recovered by lake-dredged materials (LDM) as pedotechnomaterials. J. Soils Sediments 2016, 16, 1871–1888. [Google Scholar] [CrossRef]
- Mosquera-Losada, R.; Amador-García, A.; Muñóz-Ferreiro, N.; Santiago-Freijanes, J.J.; Ferreiro-Domínguez, N.; Romero-Franco, R.; Rigueiro-Rodríguez, A. Sustainable use of sewages ludge in acid soils within a circular economy perspective. Catena 2017, 149, 341–348. [Google Scholar] [CrossRef]
- Barros, M.V.; Salvador, R.; de Francisco, A.C.; Piekarski, C.M. Mapping of research lines on circular economy practices in agriculture: From waste to energy. Renew. Sustain. Energy Rev. 2020, 131, 109958. [Google Scholar] [CrossRef]
- ONU. World Population Prospects: The 2017 Revision. Available online: https://www.un.org/development/desa/publications/world-population-prospects-the-2017-revision.html (accessed on 12 July 2020).
- Leite, R.C.; Soares, G.O.S.; Leite, R.C.; Santos, J.G.D.; André, T.B.; Santos, A.C. Cultivo de milho em sistema de plantio direto em pastagem inoculada com Azospirillum brasiliense. Rev. Bras. Agropecu. Sustent. 2017, 7, 43–49. [Google Scholar]
- Fancelli, A.L. Milho. In Boas Práticas Para Uso Eficiente de Fertilizantes: Culturas, 1st ed.; Prochnow, L.I., Casarin, V., Stipp, S.R., Eds.; IPNI: Piracicaba, Brazil, 2010; Volume 3, pp. 39–93. [Google Scholar]
- Moraes, M.F.; Abreu-Junior, C.H.; Lavres-Junior, J.L. Micronutrientes. In Boas Práticas Para Uso Eficiente de Fertilizantes: Nutrientes, 1st ed.; Prochnow, L.I., Casarin, V., Stipp, S.R., Eds.; IPNI: Piracicaba, Brasil, 2010; Volume 2, pp. 205–278. [Google Scholar]
- United States Department of Agriculture—USDA. World Agricultural Production; Circular Series WAP 10–20; Foreign Agricultural Service: Washington, DC, USA. Available online: https://apps.fas.usda.gov/psdonline/circulars/production.pdf (accessed on 21 October 2020).
- Soil Survey Staff. Keys to Soil Taxonomy, 12th ed.; USDA. Natural Resources Conservation Service: Washington, DC, USA, 2014. Available online: https://www.nrcs.usda.gov/wps/portal/nrcs/detail/soils/survey/class/taxonomy/?cid=nrcs142p2_053580 (accessed on 21 October 2020).
- Teixeira, P.C.; Donagemma, G.K.; Fontana, A.; Teixeira, W.G. Manual de Métodos de Análise de Solo, 3rd ed.; Embrapa Informação Tecnológica: Brasília, Brazil, 2017; p. 573. [Google Scholar]
- Raij, B.; van Andrande, J.C.; Cantarella, H.; Guaggio, J.A. Análise Química Para Avaliação da Fertilidade de Solos Tropicais, 1st ed.; Instituto Agronômico: Campinas, Brazil, 2001; p. 285. [Google Scholar]
- Brazil’s National Company of Food Supply–CONAB. 2015; Indicadores. Available online: www.conab.gov.br (accessed on 29 July 2020).
- Raij, B.; van Cantarella, H.; Quaggio, J.A.; Furlani, A.M.C. Recomendações de Adubação e Calagem Para o Estado de São Paulo, 2nd ed.; Instituto Agronômico de Campinas: Campinas, Brazil, 1997; p. 285. [Google Scholar]
- Mascarenhas, H.A.A.; Tanaka, R.T. Soja. In Recomendações de Adubação e Calagem para o Estado de São Paulo, 2nd ed.; Raij, B., van Cantarella, H., Quaggio, J.A., Furlani, A.M.C., Eds.; Instituto Agronômico de Campinas: Campinas, Brazil, 1997; Volume 1, pp. 202–203. [Google Scholar]
- Ambrosano, E.J.; Tanaka, R.T.; Mascarenhas, H.A.A.; Raij, B.; van Quaggio, J.Á.; Cantarella, H. Leguminosas e oleaginosas. In Recomendações de Adubação e Calagem Para o Estado de São Paulo, 2nd ed.; Raij, B., van Cantarella, H., Quaggio, J.Á., Furlani, A.M.C., Eds.; Instituto Agronômico de Campinas: Campinas, Brazil, 1997; Volume 1, pp. 194–195. [Google Scholar]
- Malavolta, E.; Vitti, G.C.; Oliveira, S.A. Avaliação do Estado Nutricional Das Plantas: Princípios e Aplicações, 2nd ed.; Potafos: Piracicaba, Brazil, 1997; p. 319. [Google Scholar]
- SAS Institute Inc. SAS/START User’s Guide, Version 9.3; SAS Institute Inc.: Cary, NC, USA, 2011. [Google Scholar]
- RStudio Team. RStudio: Integrated Development for R; RStudio, Inc.: Boston, MA, USA, 2016; Available online: http://www.rstudio.com/ (accessed on 15 January 2020).
- Backes, C.; Santos, A.J.M.; Godoy, L.J.G.; Bôas, R.L.V.; Oliveira, M.R.; Oliveira, F.C. Rates of sewage sludge composted in the zoysiagrass sod production. Rev. Bras. Ciênc. Solo 2013, 37, 1402–1414. [Google Scholar] [CrossRef]
- Lobo, T.F.; Grassi Filho, H.; Bull, L.T.; Moreira, L.L.Q. Management of sewage sludge and mineral nitrogen in soil fertility over time. Semina: Ciênc. Agrár. 2013, 34, 2705–2725. [Google Scholar]
- Vieira, R.F.; Tanaka, R.T.; Tsai, S.M.; Pérez, D.V.; Silva CM, M. Availability of soil nutrients, quality of grains and yield of soybean in soil treated with sewage sludge. Pesq. Agropec. Bras. 2005, 40, 919–926. [Google Scholar] [CrossRef]
- Empresa Brasileira de Pesquisa Agropecuária—EMBRAPA, 2018. Soja em números-safra 2017/2018. Londrina. Available online: www.embrapa.br/soja/cultivos/soja1/dados-economicos (accessed on 29 July 2020).
- Filho, A.C.; Costa, K. The Expansion of Soybean Production in the Cerrado: Paths to Sustainable Territorial Occupation, Land Use and Production. 2016. Available online: https://www.inputbrasil.org/wp-content/uploads/2016/11/The-expansion-of-soybean-production-in-the-Cerrado_Agroicone_INPUT.pdf (accessed on 29 January 2020).
Publisher’s Note: MDPI stays neutral with regard to jurisdictional claims in published maps and institutional affiliations. |
© 2020 by the authors. Licensee MDPI, Basel, Switzerland. This article is an open access article distributed under the terms and conditions of the Creative Commons Attribution (CC BY) license (http://creativecommons.org/licenses/by/4.0/).

