Improvement in Photosynthetic Rate and Grain Yield in Super-High-Yield Maize (Zea mays L.) by Optimizing Irrigation Interval under Mulch Drip Irrigation
Abstract
1. Introduction
2. Materials and Methods
2.1. Experimental Region and Site
2.2. Experiment Design and Field Management
2.3. Sampling and Measurements
2.4. Statistical Analysis
3. Results
3.1. Grain Yield and Yield Components
3.2. Dry Matter Accumulation and Harvest Index
3.3. Photosynthetic Rate (Pn)
3.4. Soil Moisture Content (SMC)
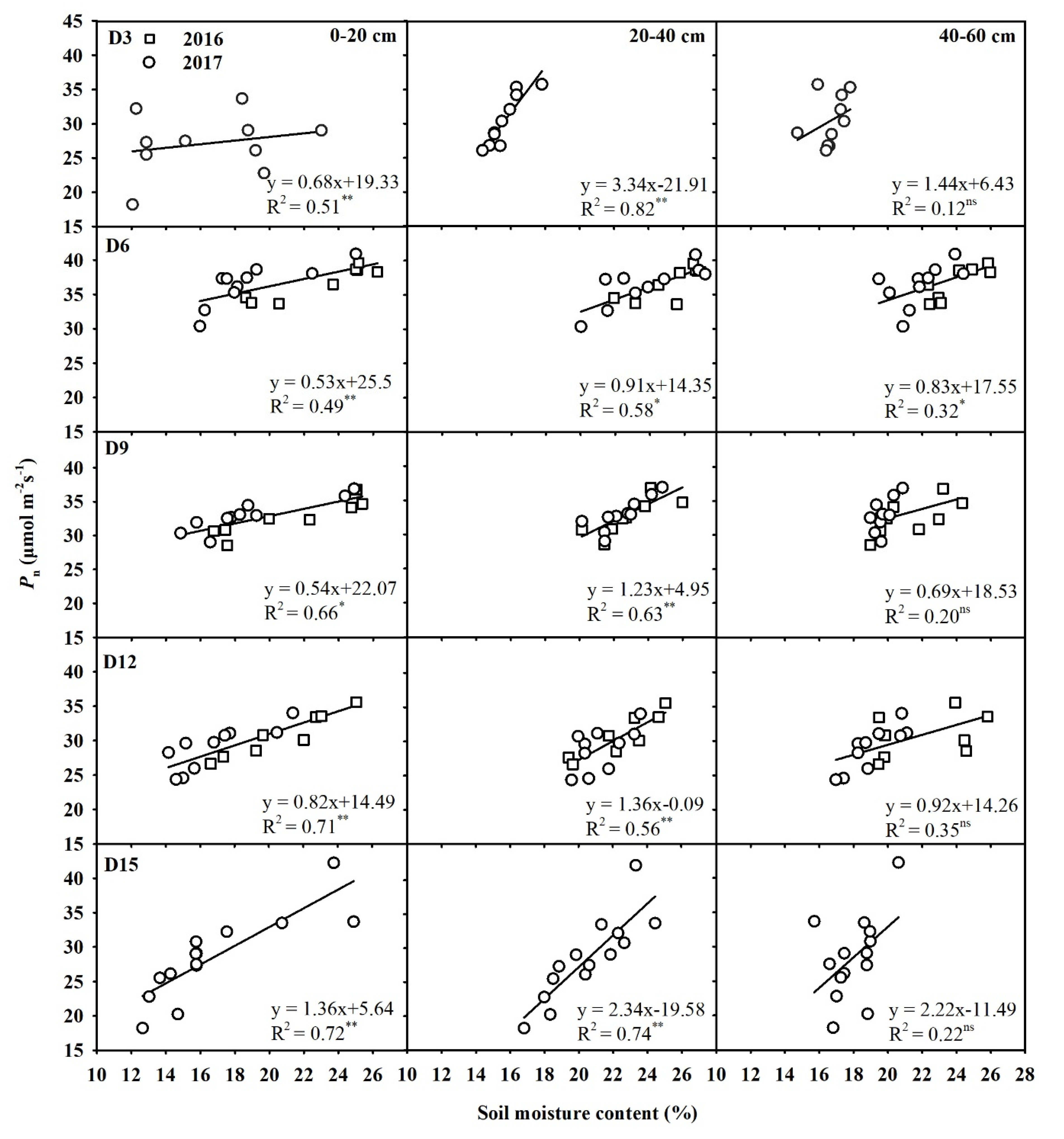
3.5. Relationship between Soil Moisture Content and Photosynthetic Rate
3.6. Relationship between Soil Moisture Content and Stomatal Conductance
4. Discussion
5. Conclusions
Author Contributions
Funding
Acknowledgments
Conflicts of Interest
References
- Kang, S.Z. Special issue: Improving agricultural water productivity to ensure food security under changing environments. Agric. Water Manag. 2017, 179, 1–4. [Google Scholar] [CrossRef]
- Wang, J.X.; Li, Y.R.; Huan, J.K.; Yan, T.T.; Sun, T.H. Growing water scarcity, food security and government responses in China. Glob. Food Secur. 2017, 14, 9–17. [Google Scholar] [CrossRef]
- Li, S.K.; Zhao, J.R.; Dong, S.T.; Zhao, M.; Li., C.H.; Cui, Y.H.; Liu, Y.H.; Gao, J.L.; Xue, J.Q.; Wang, L.C.; et al. Advances and prospects of maize cultivation in China. Acta. Agron. Sin. 2017, 50, 1941–1959. [Google Scholar]
- Tollenaar, M.; Lee, E.A. Yield potential, yield stability and stress tolerance in maize. Field Crops Res. 2002, 75, 161–169. [Google Scholar] [CrossRef]
- Grassini, P.; Thorburn, J.; Burr, C.; Cassman, K.G. High-yield irrigated maize in the Western U.S. Corn Belt: I. On-farm yield, yield potential, and impact of agronomic practices. Field Crops Res. 2011, 120, 142–150. [Google Scholar] [CrossRef]
- Li, J.; Xie, R.Z.; Wang, K.R.; Ming, B.; Guo, Y.Q.; Zhang, G.Q.; Li, S.K. Variations in maize dry matter, harvest index, and grain yield with plant density. Agron. J. 2015, 107, 829–834. [Google Scholar] [CrossRef]
- Li, J.; Xie, R.Z.; Wang, K.R.; Hou, P.; Ming, B.; Zhang, G.Q.; Liu, G.Z.; Wu, M.; Yang, Z.S.; Li, S.K. Response of canopy structure, light interception and grain yield to plant density in maize. J. Agric. Sci. 2018, 156, 785–794. [Google Scholar] [CrossRef]
- Qin, S.J.; Li, S.E.; Kang, S.Z.; Du, T.S.; Tong, L.; Ding, R.S. Can the drip irrigation under film mulch reduce crop evapotranspiration and save water under the sufficient irrigation condition? Agric. Water Manag. 2016, 177, 128–137. [Google Scholar] [CrossRef]
- Sensoy, S.; Ertek, A.; Gedik, I.; Kucukyumuk, C. Irrigation frequency and amount affect yield and quality of field-grown melon (Cucumis melo L.). Agric. Water Manag. 2007, 88, 269–274. [Google Scholar] [CrossRef]
- Liu, M.X.; Yang, J.S.; Li, X.M.; Yu, M.; Wang, J. Effects of irrigation amount and frequency on soil water distribution and water use efficiency in a cotton field under mulched drip irrigation. Chin. J. Eco-Agric. 2011, 22, 3203–3210. [Google Scholar]
- Ran, H.; Jiang, G.Y.; Xu, H.J.; Li, M.G.; Hao, M.C. Effects of irrigation frequency and nitrogen rate on dry matter accumulation and yield of spring wheat under drip irrigation. J. Triticeae Crops. 2015, 35, 379–386. [Google Scholar]
- Wan, S.Q.; Kang, Y.H. Effect of drip irrigation frequency on radish (Raphanus sativus L.) growth and water use. Irrig. Sci. 2006, 24, 161–174. [Google Scholar] [CrossRef]
- Dai, J.Y.; Shen, X.Y.; Xu, S.C.; Wang, L.Z.; Zhu, Y.L. Effect of water stress on photosynthetic performance and yield of Maize. Acta. Agron. Sin. 1995, 3, 108–115. [Google Scholar]
- Peng, S.B.; Krieg, D.R.; Girma, F.S. Leaf photosynthetic rate is correlated with biomass and grain production in grain sorghum lines. Photosynth. Res. 1991, 28, 1–8. [Google Scholar] [CrossRef] [PubMed]
- Crosbie, T.M.; Pearce, R.B.; Mock, J.J. Relationship among CO2-exchange rate and plant traits in Iowa Stiff Stalk Synthetic maize population. Crop Sci. 1978, 18, 87–90. [Google Scholar] [CrossRef]
- Dwyer, L.M.; Tollenaar, M.; Stewart, D.W. Changes in plant density dependence of leaf photosynthesis of maize (Zea mays L.) hybrids, 1959 to 1988. Can. J. Plant Sci. 1991, 71, 1–11. [Google Scholar] [CrossRef][Green Version]
- Long, S.P.; Zhu, X.G.; Naidu, S.L.; Ort, D.R. Can improvement in photosynthesis increase crop yields? Plant. Cell Environ. 2006, 29, 315–330. [Google Scholar] [CrossRef]
- Chaves, M.M.; Pereira, J.S.; Maroco, J.; Rodrigues, M.L.; Ricardo, C.P.P.; Osorio, M.L.; Carvalho, I.; Faria, T.; Pinheiro, C. How plants cope with water stress in the field. Photosynthesis and growth. Ann. Bot. 2002, 89, 907–916. [Google Scholar] [CrossRef]
- Liu, Z.G.; Chen, J.P.; Duan, A.W.; Meng, Z.J.; Zhang, J.Y.; Liu, Z.D. Effects of different soil water treatments on Photosynthetic and other physiological characteristics of summer maize leaves. Agric. Res. Arid. Areas 2006, 1, 91–95. [Google Scholar]
- Hirasawa, T.; Hsiao, T.C. Some characteristics of reduced leaf photosynthesis at midday in maize growing in the field. Field Crops Res. 1999, 62, 53–62. [Google Scholar] [CrossRef]
- Farquhar, G.D.; Sharkey, T.D. Stomatal conductance and photosynthesis. Annu. Rev. Plant Physiol. 1982, 33, 317–345. [Google Scholar] [CrossRef]
- Flexas, J.; Bota, J.; Loreto, F. Diffusive and metabolic limitations to photosynthesis under drought and salinity in C3 plants. Plant Biol. 2004, 6, 269–279. [Google Scholar] [CrossRef] [PubMed]
- Zhou, S.X.; Duursma, R.A.; Medlyn, B.E.; Kelly, J.W.G.; Prentice, I.C. How should we model plant responses to drought? An analysis of stomatal and non-stomatal responses to water stress. Agric. For. Meteorol. 2013, 182–183, 204–214. [Google Scholar] [CrossRef]
- Lal, A.; Edwards, G.E. Analysis of Inhibition of Photosynthesis under Water Stress in the C4 Species Amaranthus cruentus and Zea mays: Electron transport, CO2 fixation and carboxylation capacity. Aust. Plant Physiol. 1996, 23, 403–412. [Google Scholar] [CrossRef]
- Miyashita, K.; Tanakamaru, S.; Maitani, T.; Kimura, K. Recovery responses of photosynthesis, transpiration, and stomatal conductance in kidney bean following drought stress. Environ. Exp. Bot. 2005, 53, 205–214. [Google Scholar] [CrossRef]
- Luo, H.H.; Zhang, Y.L.; Zhang, W.F. Effects of water stress and rewatering on photosynthesis, root activity, and yield of cotton with drip irrigation under mulch. Photosynthetica 2015, 54, 65–73. [Google Scholar] [CrossRef]
- Zhang, G.Q.; Liu, C.W.; Xiao, C.H.; Xie, R.Z.; Ming, B.; Hou, P.; Liu, G.Z.; Xu, W.J.; Shen, D.P.; Wang, K.R.; et al. Optimizing water use efficiency and economic return of super high yield spring maize under drip irrigation and plastic mulching in arid areas of China. Field Crops Res. 2017, 211, 137–146. [Google Scholar] [CrossRef]
- Zhang, G.Q.; Shen, D.P.; Ming, B.; Xie, R.Z.; Jin, X.L.; Liu, C.W.; Hou, P.; Xue, J.; Chen, J.L.; Zhang, W.X.; et al. Using irrigation intervals to optimize water-use efficiency and maize yield in Xinjiang, northwest China. Crop J. 2019, 7, 322–334. [Google Scholar] [CrossRef]
- El-Hendawy, S.E.; Hokam, E.M.; Schmidhalter, U. Drip irrigation frequency: The effects and their interaction with nitrogen fertilization on sandy soil water distribution, maize yield and water use efficiency under Egyptian conditions. J. Agron. Crop Sci. 2008, 194, 180–192. [Google Scholar] [CrossRef]
- Wang, F.X.; Kang, Y.H.; Liu, S.P. Effects of drip irrigation frequency on soil wetting pattern and potato growth in North China Plain. Agric. Water Manag. 2006, 79, 248–264. [Google Scholar] [CrossRef]
- Cao, H.X.; Kang, S.Z.; He, H. Effects of evaporation and irrigation frequency on soil water distribution. Trans. CSAE 2003, 19, 1–4. [Google Scholar]
- Bonyor, J.S. Plant productivity and environment. Science 1982, 218, 443–448. [Google Scholar]
- Liu, M.; Qi, H.; Sun, S.X.; Bai, X.L.; Jiang, W.C.; Yang, G.H.; Zhang, Z.; Liang, P.Y.; Meng, X.H.; Cong, X. Effects of water stress on photosynthetic characteristics of maize. J. Maize Sci. 2008, 16, 86–90. [Google Scholar]
- Wu, H.X.; Guo, L.L.; Hao, L.H. Effects of water and CO2 concentration on stomatal characteristics, gas exchange parameters and biomass of Winter Wheat. Acta. Agron. Sin. 2018, 44, 1570–1576. [Google Scholar]
- Flexas, J.; Galmes, J.; Medrano, H.; Ribas-Carbo, M. Keeping a positive carbon balance under adverse conditions: Responses of photosynthesis and respiration to water stress. Physiol. Plantarum. 2006, 127, 343–352. [Google Scholar] [CrossRef]
- Kang, S.Z.; Shi, W.J.; Zhang, J.H. An improved water-use efficiency for maize grown under regulated deficit irrigation. Field Crops Res. 2000, 67, 207–214. [Google Scholar] [CrossRef]
- Romero, P.I.; Dodd, C.; Martinez-Cutillas, A. Contrasting physiological effects of partial root zone drying in field-grown grapevine (Vitis vinifera L. cv. Monastrell) according to total soil water availability. J. Exp. Bot. 2012, 63, 4071–4083. [Google Scholar] [CrossRef]
- Chai, Q.; Gan, Y.; Zhao, C.; Xu, H.L.; Waskom, R.M.; Niu, Y.; Siddique, K.H.M. Regulated deficit irrigation for crop production under drought stress. A review. Agron. Sustain. Dev. 2015, 36, 1–21. [Google Scholar] [CrossRef]
- Ali, S.; Xu, Y.Y.; Jia, Q.M.; Ahmad, I.; Wei, T.; Ren, X.L.; Zhang, P.; Din, R.X.; Cai, T.; Jia, Z.K. Cultivation techniques combined with deficit irrigation improves winter wheat photosynthetic characteristics, dry matter translocation and water use efficiency under simulated rainfall conditions. Agric. Water Manag. 2018, 201, 207–218. [Google Scholar] [CrossRef]
- Ertek, A.; Şensoy, S.; Küçükyumuk, C.; Gedik, İ. Irrigation frequency and amount affect yield components of summer squash (Cucurbita pepo L.). Agric. Water Manag. 2004, 67, 63–76. [Google Scholar] [CrossRef]
- Qin, J.H.; Chen, Y.J.; Zhou, C.Y.; Pang, B.P.; Meng, M.L. Effects of frequency of drip irrigation frequency under mulch on potato growth, yield and water use efficiency. Chin. J. Eco-Agric. 2013, 21, 824–830. [Google Scholar] [CrossRef]
- Wang, L.; Dong, S.T.; Liu, P.; Zhang, J.W.; Zhao, B. Effects of water nitrogen interaction on Photosynthetic Physiological Characteristics and yield of Winter Wheat. J. Soil Water Conserv. 2018, 32, 301–308. [Google Scholar]
- Reddy, S.R.; Chalam, P.S.; Sankara, G.; Reddi, H.; Raju, A.P. Effect of irrigation frequency and nitrogen on groundnut yield and nutrient uptake. Plant Soil 1982, 65, 257–263. [Google Scholar] [CrossRef]
- Sobrado, M.A.; Turner, N.C. Photosynthesis, dry matter accumulation and distribution in the wild sunflower Helianthus petiolaris and the cultivated sunflower Helianthus annuus as influenced by water deficits. Oecologia 1986, 69, 181–187. [Google Scholar] [CrossRef]






| Year | Irrigation Interval | Ear Number (Ears m−2) | Kernel no. per Ear | 1000-Kernel Weight (g) | Grain Yield (t ha−1) |
|---|---|---|---|---|---|
| 2016 | D6 | 11.9 ± 0.02 a | 524.6 ± 24.48 a | 385.0 ± 1.49 a | 20.6 ± 0.13 a |
| D9 | 11.9 ± 0.06 a | 495.4 ± 15.66 b | 358.1 ± 4.33 b | 19.8 ± 0.09 b | |
| D12 | 11.9 ± 0.06 a | 447.6 ± 25.49 c | 348.6 ± 4.90 c | 18.7 ± 0.15 c | |
| 2017 | D3 | 11.8 ± 0.08 a | 509.2 ± 39.62 b | 405.1 ± 2.42 b | 19.7 ± 0.18 b |
| D6 | 11.8 ± 0.09 a | 540.6 ± 33.39 a | 422.7 ± 1.62 a | 21.0 ± 0.08 a | |
| D9 | 11.8 ± 0.08 a | 510.6 ± 29.03 b | 404.7 ± 0.79 b | 20.0 ± 0.25 b | |
| D12 | 11.8 ± 0.12 a | 467.7 ± 28.41 c | 379.1 ± 4.51 c | 19.2 ± 0.18 c | |
| D15 | 11.8 ± 0.09 a | 427.4 ± 38.30 d | 371.6 ± 1.72 d | 17.2 ± 0.20 d |
| Year | Irrigation Interval | Pre-Flowering DM (kg m−2) | Post-Flowering DM (kg m−2) | Total DM at Maturity (kg m−2) | HI |
|---|---|---|---|---|---|
| 2016 | D6 | 1.72 ± 0.01 a | 2.74 ± 0.01 a | 4.46 ± 0.01 a | 0.53 ± 0.01 a |
| D9 | 1.61 ± 0.01 b | 2.46 ± 0.01 b | 4.07 ± 0.01 b | 0.52 ± 0.00 b | |
| D12 | 1.50 ± 0.01 c | 2.08 ± 0.00 c | 3.58 ± 0.00 c | 0.51 ± 0.01 c | |
| 2017 | D3 | 1.77 ± 0.01 c | 2.29 ± 0.04 b | 4.07 ± 0.04 b | 0.52 ± 0.00 b |
| D6 | 1.86 ± 0.01 a | 2.51 ± 0.02 a | 4.37 ± 0.02 a | 0.53 ± 0.00 a | |
| D9 | 1.80 ± 0.01 b | 2.27 ± 0.03 b | 4.08 ± 0.03 b | 0.52 ± 0.00 b | |
| D12 | 1.67 ± 0.01 d | 1.98 ± 0.01 c | 3.65 ± 0.01 c | 0.51 ± 0.00 c | |
| D15 | 1.57 ± 0.02 e | 1.72 ± 0.03 d | 3.29 ± 0.01 d | 0.50 ± 0.01 c |
| Year | Irrigation Interval | Pn Amplitude (%) | Pn Integral (μmol m−2s−1) |
|---|---|---|---|
| 2016 | D6 | 10.0 | 1794.3 |
| D9 | 20.7 | 1631.8 | |
| D12 | 27.3 | 1526.4 | |
| 2017 | D3 | 17.0 | 1671.7 |
| D6 | 7.7 | 1937.9 | |
| D9 | 14.4 | 1807.7 | |
| D12 | 19.4 | 1650.9 | |
| D15 | 49.0 | 1505.8 |
| Year | Irrigation Interval | Average Soil Moisture Content (%) | |||
|---|---|---|---|---|---|
| 0–20 cm | 20–40 cm | 40–60 cm | 0–60 cm | ||
| 2016 | D6 | 23.5 ± 2.5 | 25.5 ± 1.7 | 24.9 ± 1.8 | 24.7 ± 1.88 |
| D9 | 22.3 ± 3.2 | 23.8 ± 2.0 | 22.9 ± 2.4 | 23.0 ± 2.45 | |
| D12 | 22.1 ± 3.5 | 23.5 ± 2.5 | 23.0 ± 2.6 | 22.9 ± 2.82 | |
| 2017 | D3 | 18.6 ± 3.9 | 18.5 ± 3.6 | 18.8 ± 3.4 | 18.6 ± 3.2 |
| D6 | 20.0 ± 3.5 | 24.3 ± 2.1 | 22.9 ± 1.8 | 22.4 ± 2.2 | |
| D9 | 19.8 ± 3.7 | 23.3 ± 2.4 | 20.8 ± 2.3 | 21.3 ± 2.4 | |
| D12 | 18.8 ± 3.8 | 23.0 ± 2.3 | 21.5 ± 2.5 | 21.1 ± 2.7 | |
| D15 | 18.2 ± 4.4 | 21.7 ± 3.5 | 19.4 ± 3.2 | 19.8 ± 3.4 | |
Publisher’s Note: MDPI stays neutral with regard to jurisdictional claims in published maps and institutional affiliations. |
© 2020 by the authors. Licensee MDPI, Basel, Switzerland. This article is an open access article distributed under the terms and conditions of the Creative Commons Attribution (CC BY) license (http://creativecommons.org/licenses/by/4.0/).
Share and Cite
Shen, D.; Zhang, G.; Xie, R.; Ming, B.; Hou, P.; Xue, J.; Li, S.; Wang, K. Improvement in Photosynthetic Rate and Grain Yield in Super-High-Yield Maize (Zea mays L.) by Optimizing Irrigation Interval under Mulch Drip Irrigation. Agronomy 2020, 10, 1778. https://doi.org/10.3390/agronomy10111778
Shen D, Zhang G, Xie R, Ming B, Hou P, Xue J, Li S, Wang K. Improvement in Photosynthetic Rate and Grain Yield in Super-High-Yield Maize (Zea mays L.) by Optimizing Irrigation Interval under Mulch Drip Irrigation. Agronomy. 2020; 10(11):1778. https://doi.org/10.3390/agronomy10111778
Chicago/Turabian StyleShen, Dongping, Guoqiang Zhang, Ruizhi Xie, Bo Ming, Peng Hou, Jun Xue, Shaokun Li, and Keru Wang. 2020. "Improvement in Photosynthetic Rate and Grain Yield in Super-High-Yield Maize (Zea mays L.) by Optimizing Irrigation Interval under Mulch Drip Irrigation" Agronomy 10, no. 11: 1778. https://doi.org/10.3390/agronomy10111778
APA StyleShen, D., Zhang, G., Xie, R., Ming, B., Hou, P., Xue, J., Li, S., & Wang, K. (2020). Improvement in Photosynthetic Rate and Grain Yield in Super-High-Yield Maize (Zea mays L.) by Optimizing Irrigation Interval under Mulch Drip Irrigation. Agronomy, 10(11), 1778. https://doi.org/10.3390/agronomy10111778

