Harvest Season and Genotype Affect Head Quality and Shelf-Life of Ready-to-Use Broccoli
Abstract
1. Introduction
2. Materials and Methods
2.1. Sampling and Sample Preparation
2.2. Sample Analyses and Measurements
2.2.1. Chemicals and Standards
2.2.2. Post-Harvest Weight Losses
2.2.3. Surface Color
2.2.4. Chlorophylls and Carotenoids
2.2.5. Ascorbic and Dehydroascorbic Acid
2.2.6. Total Polyphenols
2.2.7. Antioxidant Capacity
2.3. Statistical Analysis
3. Results and Discussion
3.1. Effect of Harvest Season and Storage Time on Quality Traits of Cultivar Parthenon
3.1.1. Head Characteristics and Floret Weight Loss
3.1.2. Chlorophylls, Carotenoids, and Visual Quality
3.1.3. Antioxidant Compounds and Antioxidant Capacity
3.2. Effect of Genotype and Storage Time on Floret Quality in Early-Cycle Broccoli
3.2.1. Head Characteristics and Floret Weight Loss
3.2.2. Chlorophylls, Carotenoids, and Visual Quality of Florets
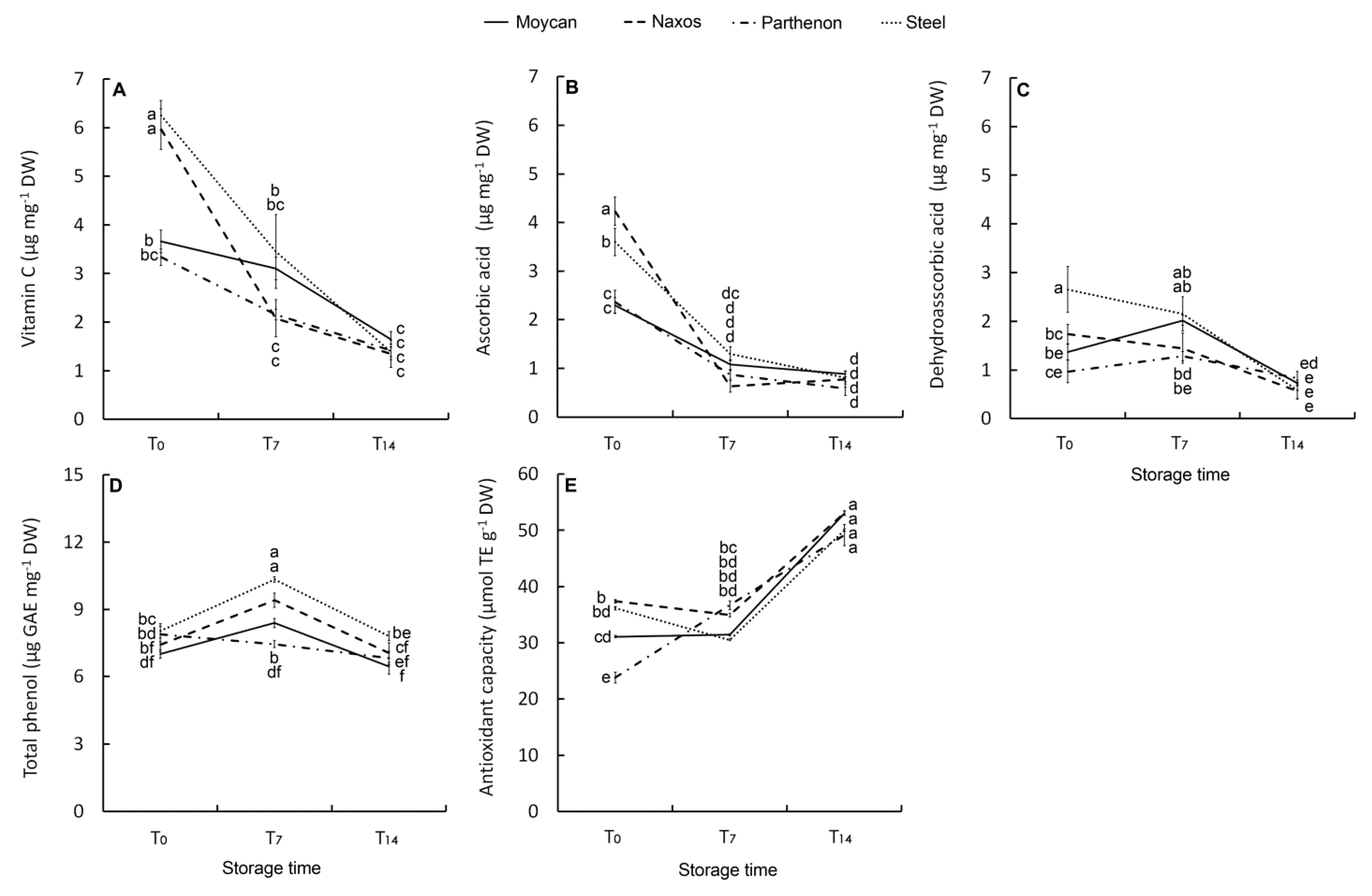
3.2.3. Antioxidant Compounds and Antioxidant Capacity
3.3. Principal Component Analysis
4. Conclusions
Supplementary Materials
Author Contributions
Funding
Acknowledgments
Conflicts of Interest
References
- Podsȩdek, A. Natural antioxidants and antioxidant capacity of Brassica vegetables: A review. LWT-Food Sci. Technol. 2007, 40, 1–11. [Google Scholar] [CrossRef]
- Jeffery, E.H.; Araya, M. Physiological effects of broccoli consumption. Phytochem. Rev. 2009, 8, 283–298. [Google Scholar] [CrossRef]
- Hasperué, J.H.; Chaves, A.R.; Martínez, G.A. End of day harvest delays post-harvest senescence of broccoli florets. Post-Harvest Biol. Technol. 2011, 59, 64–70. [Google Scholar] [CrossRef]
- Forney, C.F.; Song, J.; Fan, L.; Hildebrand, P.D.; Jordan, M.A. Interactive effects of ozone and 1-methylcyclopropene alter the post-harvest quality of broccoli. J. Am. Soc. Hortic. Sci. 2003, 128, 403–408. [Google Scholar] [CrossRef]
- Vasconcelos, I.S.A.; Almeida, D.P.F. Treatment with 1-methylcyclopropene complements temperature management in maintaining post-harvest quality of broccoli. Acta Hortic. 2003, 628, 227–232. [Google Scholar] [CrossRef]
- Jaspers, P.; Kangasjärvi, J. Reactive oxygen species in abiotic stress signalling. Physiol. Plant. 2010, 138, 405–413. [Google Scholar] [CrossRef]
- Mittler, R. Oxidative stress, antioxidants and stress tolerance. Trends Plant Sci. 2002, 7, 405–410. [Google Scholar] [CrossRef]
- Kader, A.A.; Rolle, R.S. The Role of Post-Harvest Management in Assuring the Quality and Safety Horticultural Crops; Agric. Serv. Bull.; FAO: Rome, Italy, 2004; Volume 152. [Google Scholar]
- Toivonen, P.M.A.; Hodges, D.M. Abiotic stress in harvested fruits and vegetables, abiotic stress in plants—Mechanisms and adaptations. In Abiotic Stress in Plants—Mechanisms and Adaptations; Shanker, A.K., Venkateswarlu, B., Eds.; Abiotic Stress in Plants—Mechanisms and Adaptations; InTech: Rijeka, Croatia, 2011; pp. 39–58. [Google Scholar]
- Zaicovski, C.B.; Zimmerman, T.; Nora, L.; Nora, F.R.; Silva, J.A.; Rombaldi, C.V. Water stress increases cytokinin biosynthesis and delays post-harvest yellowing of broccoli florets. Post-Harvest Biol. Technol. 2008, 49, 436–439. [Google Scholar] [CrossRef]
- Cogo, S.L.P.; Chaves, F.C.; Schirmer, M.A.; Zambiazi, R.C.; Nora, L.; Silva, J.A.; Rombaldi, C.V. Low soil water content during growth contributes to preservation of green color and bioactive compounds of cold-stored broccoli (Brassica oleraceae L.) florets. Post-Harvest Biol. Technol. 2011, 60, 158–163. [Google Scholar] [CrossRef]
- Topcu, Y.; Dogan, A.; Kasimoglu, Z.; Sahin-Nadeem, H.; Polat, E.; Erkan, M. The effects of UV radiation during the vegetative period on antioxidant compounds and post-harvest quality of broccoli (Brassica oleracea L.). Plant Physiol. Biochem. 2015, 93, 56–65. [Google Scholar] [CrossRef]
- Casajús, V.; Reyes, A.; Gergoff, G.; Lobato, M.G.; Civello, P.; Martínez, G. The time of the day to harvest affects the degreening, antioxidant compounds, and protein content during post-harvest storage of broccoli. J. Food Biochem. 2019, 43, e12904. [Google Scholar] [CrossRef]
- Hasperué, J.H.; Lemoine, L.; Vicente, A.R.; Chaves, A.R.; Martínez, G.A. Post-harvest senescence of florets from primary and secondary broccoli inflorescence. Post-Harvest Biol. Technol. 2015, 104, 42–47. [Google Scholar] [CrossRef]
- FAOSTAT. Food and Agriculture Organization of the United Nations, Statistic Division. 2018. Available online: http://faostat3.fao.org/ (accessed on 13 April 2018).
- Conversa, G.; Lazzizera, C.; Bonasia, A.; Elia, A. Growth, N uptake and N critical dilution curve in broccoli cultivars grown under Mediterranean conditions. Sci. Hortic. 2019, 244, 109–121. [Google Scholar] [CrossRef]
- Elia, A.; Conversa, G. Agronomic and physiological responses of a tomato crop to nitrogen input. Eur. J. Agron. 2012, 40, 64–74. [Google Scholar] [CrossRef]
- Bonasia, A.; Conversa, G.; Lazzizera, C.; Elia, A. Pre-harvest nitrogen and Azoxystrobin application enhances post-harvest shelf-life in Butterhead lettuce. Post-Harvest Biol. Technol. 2013, 85, 67–76. [Google Scholar] [CrossRef]
- Dere, S.; Gunes, T.; Sivaci, R. Spectrophotometric determination of chlorophyll-a, b and total carotenoid contents of some algae species using different solvents. Turk. J. Bot. 1998, 22, 13–17. [Google Scholar]
- Conversa, G.; Bonasia, A.; Lazzizera, C.; Elia, A. Bio-physical, physiological, and nutritional aspects of ready-to-use cima di rapa (Brassica rapa L. subsp. sylvestris L. Janch. var. esculenta Hort.) as affected by conventional and organic growing systems and storage time. Sci. Hortic. 2016, 213, 76–86. [Google Scholar] [CrossRef]
- Biehler, E.; Mayer, F.; Hoffmann, L.; Krause, E.; Bohn, T. Comparison of 3 spectrophotometric methods for carotenoid determination in frequently consumed fruits and vegetables. J. Food Sci. 2010, 75, 55–61. [Google Scholar] [CrossRef]
- Koh, E.; Charoenprasert, S.; Mitchell, A.E. Effect of organic and conventional cropping systems on ascorbic acid, vitamin C, flavonoids, nitrate, and oxalate in 27 varieties of spinach (Spinacia oleracea L.). J. Agric. Food Chem. 2012, 60, 3144–3150. [Google Scholar] [CrossRef]
- Bonasia, A.; Conversa, G.; Lazzizera, C.; Elia, A. Post-harvest performance of ready-to-eat wild rocket salad as affected by growing period, soilless cultivation system and genotype. Post-Harvest Biol. Technol. 2019, 156, 110909. [Google Scholar] [CrossRef]
- Conversa, G.; Lazzizera, C.; Chiaravalle, A.E.; Miedico, O.; Bonasia, A.; La Rotonda, P.; Elia, A. Selenium fern application and arbuscular mycorrhizal fungi soil inoculation enhance Se content and antioxidant properties of green asparagus (Asparagus officinalis L.) spears. Sci. Hortic. 2019, 252, 176–191. [Google Scholar] [CrossRef]
- Pellegrini, N.; Colombi, B.; Salvatore, S.; Brenna, O.V.; Galaverna, G.; Del Rio, D.; Bianchi, M.; Bennett, R.N.; Brighenti, F. Evaluation of antioxidant capacity of some fruit and vegetable foods: Efficiency of extraction of a sequence of solvents. J. Sci. Food Agric. 2007, 87, 103–111. [Google Scholar] [CrossRef]
- SAS Institute. SAS Version 8.02; SAS Institute Inc.: Cary, NC, USA, 1999. [Google Scholar]
- Littell, R.C.; Henry, P.R.; Ammerman, C.B. Statistical Analysis of repeated measures data using SAS procedures. J. Anim. Sci. 1998, 76, 1216–1231. [Google Scholar] [CrossRef]
- Hammer, Ø.; Harper, D.A.T.; Ryan, P.D. PAST: Paleontological statistics software package for education and data analysis. Palaeontol. Electron. 2001, 4, 9. [Google Scholar]
- Olesen, J.; Grevsen, K. Effects of temperature and irradiance on vegetative growth of cauliflower (Brassica oleracea L. botrytis) and broccoli (Brassica oleracea L. italica). J. Exp. Bot. 1997, 48, 1591–1598. [Google Scholar] [CrossRef]
- Kałużewicz, A.; Krzesiński, W.; Knaflewski, M.; Lisiecka, J.; Spiżewski, T.; Frąszczak, B. Effect of temperature on the growth of broccoli (Brassica oleracea L. var. italica Plenck) cv. Fiesta. Veg. Crops Res. Bull. 2012, 77, 129–141. [Google Scholar] [CrossRef]
- Ferrante, A.; Mariani, L. Review. Agronomic Management for Enhancing Plant Tolerance to Abiotic Stresses: High and Low Values of Temperature, Light Intensity, and Relative Humidity. Horticulturae 2018, 4, 21. [Google Scholar] [CrossRef]
- Nath, A.; Bagchi, B.; Misra, L.K.; Deka, B.C. Changes in post-harvest phytochemical qualities of broccoli florets during ambient and refrigerated storage. Food Chem. 2011, 1510–1514. [Google Scholar] [CrossRef]
- Luo, F.; Cheng, S.; Cai, J.; Wei, B.; Zhou, X.; Zhou, Q.; Zhao, Y.; Ji, S. Chlorophyll degradation and carotenoid biosynthetic pathways: Gene expression and pigment content in broccoli during yellowing. Food Chem. 2019, 297. [Google Scholar] [CrossRef]
- Kopsell, D.A.; Kopsell, D.E.; Curran-Celentano, J. Carotenoid pigments in kale are influenced by nitrogen concentration and form. J. Sci. Food Agric. 2007, 87, 900–907. [Google Scholar] [CrossRef]
- Singh, J.; Thakur, J.K. Photosynthesis and Abiotic Stress in Plants. In Biotic and Abiotic Stress Tolerance in Plants; Vats, S., Ed.; Biotic and Abiotic Stress Tolerance in Plants; Springer Nature Singapore Pte Ltd.: Singapore, 2018; pp. 27–46. [Google Scholar] [CrossRef]
- Zhu, H.; Li, X.; Zhai, W.; Liu, Y.; Gao, Q.; Liu, J.; Ren, L.; Chen, H.; Zhu, Y. Effects of low light on photosynthetic properties, antioxidant enzyme activity, and anthocyanin accumulation in purple pak-choi (Brassica campestris ssp. Chinensis Makino). PLoS ONE 2017, 12, e0179305. [Google Scholar] [CrossRef] [PubMed]
- Fang, H.; Luo, F.; Li, P.; Zhou, Q.; Zhou, X.; Wei, B.; Chenga, S.; Zhoub, H.; Ji, S. Potential of jasmonic acid (JA) in accelerating post-harvest yellowing of broccoli by promoting its chlorophyll degradation. Food Chem. 2020, 309, 125737. [Google Scholar] [CrossRef] [PubMed]
- Zheng, Q.; Zuo, J.; Gu, S.; Gao, L.; Hu, W.; Wang, Q.; Jiang, A. Putrescine treatment reduces yellowing during senescence of broccoli (Brassica oleracea L. var. italica). Post-Harvest Biol. Technol. 2019, 152, 29–35. [Google Scholar] [CrossRef]
- Loi, M.; Liuzzi, V.C.; Fanelli, F.; De Leonardis, S.; Maria, T.; Ancona, N.; Paciolla, C.; Mulè, G. Effect of different light-emitting diode (LED) irradiation on the shelf life and phytonutrient content of broccoli (Brassica oleracea L. var. italica). Food Chem. 2019, 283, 206–214. [Google Scholar] [CrossRef] [PubMed]
- Fernández-León, M.F.; Fernández-León, A.M.; Lozano, M.; Ayuso, M.C.; Amodio, M.L.; Colelli, G.; González-Gómez, D. Retention of quality and functional values of broccoli “Parthenon” stored in modified atmosphere packaging. Food Control 2013, 31, 302–313. [Google Scholar] [CrossRef]
- Davey, M.W.; Van Montagu, M.; Inzé, D.; Sanmartin, M.; Kanellis, A.; Smirnoff, N.; Benzie, I.J.J.; Strain, J.J.; Favell, D.; Fletcher, J. Review: Plant L-ascorbic acid: Chemistry, function, metabolism, bioavailability and effects of processing. J. Sci. Food Agric. 2000, 80, 825–860. [Google Scholar] [CrossRef]
- Schonhof, I.; Kläring, H.P.; Krumbein, A.; Claußen, W.; Schreiner, M. Effect of temperature increase under low radiation conditions on phytochemicals and ascorbic acid in greenhouse grown broccoli. Agric. Ecosyst. Environ. 2007, 119, 103–111. [Google Scholar] [CrossRef]
- Koh, E.; Wimalasiri, K.M.S.; Chassy, A.W.; Mitchell, A.E. Content of ascorbic acid, quercetin, kaempferol and total phenolics in commercial broccoli. J. Food Compos. Anal. 2009, 22, 637–643. [Google Scholar] [CrossRef]
- Vallejo, F.; Tomás-Barberán, F.A.; García-Viguera, C. Effect of climatic and sulphur fertilisation conditions, on phenolic compounds and vitamin C, in the inflorescences of eight broccoli cultivars. Eur. Food Res. Technol. 2003, 216, 395–401. [Google Scholar] [CrossRef]
- Gallie, D.R. The role of L-ascorbic acid recycling in responding to environmental stress and in promoting plant growth. J. Exp. Bot. 2013, 64, 433. [Google Scholar] [CrossRef]
- Raseetha, S.; Leong, S.Y.; Burritt, D.J.; Oey, I. Understanding the degradation of ascorbic acid and glutathione in relation to the levels of oxidative stress biomarkers in broccoli (Brassica oleracea L. italica cv. Bellstar) during storage and mechanical processing. Food Chem. 2013, 138, 1360–1369. [Google Scholar] [CrossRef] [PubMed]
- Leja, M.; Mareczek, A.; Starzyńska, A.; Rożek, S. Antioxidant ability of broccoli flower buds during short-term storage. Food Chem. 2001, 72, 219–222. [Google Scholar] [CrossRef]
- Bonasia, A.; Lazzizera, C.; Elia, A.; Conversa, G. Nutritional, biophysical and physiological characteristics of wild rocket genotypes as affected by soilless cultivation system, salinity level of nutrient solution and growing period. Front. Plant Sci. 2017, 8, 300. [Google Scholar] [CrossRef] [PubMed]
- Cartea, M.E.; Francisco, M.; Soengas, P.; Velasco, P. Phenolic compounds in Brassica vegetables. Molecules 2011, 16, 251–280. [Google Scholar] [CrossRef]
- Jahangir, M.; Kim, H.K.; Choi, Y.H.; Verpoorte, R. Health affecting compounds in Brassicaceae. Compr. Rev. Food Sci. Food Saf. 2009, 8, 31–43. [Google Scholar] [CrossRef]
- Florkiewicz, A.; Socha, R.; Florkiewicz, A.F.; Topolsk, K. Sous-vide technique as an alternative to traditional cooking methods in the context of antioxidant properties of Brassica vegetables. J. Sci. Food Agric. 2019, 99, 173–182. [Google Scholar] [CrossRef]
- Vale, A.P.; Santos, J.; Brito, N.V.; Fernandes, D.; Rosa, E.; Beatriz, M.; Oliveira, P.P. Evaluating the impact of sprouting conditions on the glucosinolate content of Brassica oleracea sprouts. Phytochemistry 2015, 115, 252–260. [Google Scholar] [CrossRef]
- Villarreal-García, D.; Nair, V.; Cisneros-Zevallos, L.; Jacobo-Velázquez, D.A. Plants as biofactories: Post-harvest stress-induced accumulation of phenolic compounds and glucosinolates in broccoli subjected to wounding stress and exogenous phytohormones. Front. Plant Sci. 2016, 7, 45. [Google Scholar] [CrossRef]
- Vig, A.P.; Rampal, G.; Thind, T.S.; Arora, S. Bio-protective effects of glucosinolates—A review. LWT-Food Sci. Technol. 2009, 42, 1561–1572. [Google Scholar] [CrossRef]
- Vicas, S.I.; Teusdea, A.C.; Carbunar, M.; Socaci, S.A.; Socaciu, C. Glucosinolates profile and antioxidant capacity of Romanian Brassica vegetables obtained by organic and conventional agricultural practices. Plant Foods Hum. Nutr. 2013, 68, 313–321. [Google Scholar] [CrossRef]
- Cabello-Hurtado, F.; Gicquel, M.; Esnault, M.A. Evaluation of the antioxidant potential of cauliflower (Brassica oleracea) from a glucosinolate content perspective. Food Chem. 2012, 132, 1003–1009. [Google Scholar] [CrossRef]
- Rodriguez, A.S.; Rosa, E.A.S. Effect of post-harvest treatments on the level of glucosinolates in broccoli. J. Sci. Food Agric. 1999, 79, 1028–1032. [Google Scholar] [CrossRef]
- Jia, C.G.; Xu, C.J.; Wei, J.; Yuan, J.; Yuan, G.F.; Wang, B.L.; Wang, Q.M. Effect of modified atmosphere packaging on visual quality and glucosinolates of broccoli florets. Food Chem. 2009, 114, 28–37. [Google Scholar] [CrossRef]
- Balouchi, Z.; Ghasemnezhad, M.; Saadatian, M.; Peyvast, G. Biochemical characteristic of florets senescence in broccoli cultivars during storage at low and high temperatures EJPAU 2014, 17(2), 12. Available online: http://www.ejpau.media.pl/volume17/issue2/art-12.html (accessed on 13 February 2020).
- Farnham, M.W.; Vegetable, U.S. Importance of Genotype on carotenoid and chlorophyll levels in broccoli heads. HortScience 2009, 44, 1248–1253. [Google Scholar] [CrossRef]
- Balouchi, Z.; Peyvast, G.A.; Ghasemnezhad, M.; Saadatian, M. Changes of antioxidant compounds of broccoli (Brassica oleracea L.var. italica) during storage at low and high temperatures. South West. J. Hortic. Biol. Environ. 2011, 2, 193–212. Available online: https://www.researchgate.net/profile/Mohammad_Saadatian/publication/234055250_changes_of_antioxidant_compounds_of_broccoli_Brassica_oleracea_Lvar_Italica_during_storage_at_low_and_high_temperatures/links/0912f50ea7607baeff000000/changes-of-antioxidant-com (accessed on 13 February 2020).
- Bhandari, S.R.; Kwak, J.H. Chemical composition and antioxidant activity in different tissues of brassica vegetables. Molecules 2015, 20, 1228–1243. [Google Scholar] [CrossRef]
- Jacobo-Velázquez, D.A.; Cisneros-Zevallos, L. Correlations of antioxidant activity against phenolic content revisited: A new approach in data analysis for food and medicinal plants. J. Food Sci. 2009, 74, 107–113. [Google Scholar] [CrossRef]
- Jacobo-Velázquez, D.A.; Cisneros-Zevallos, L. An alternative use of horticultural crops: Stressed plants as biofactories of bioactive phenolic compounds. Agriculture 2012, 2, 259–271. [Google Scholar] [CrossRef]
- Kaur, C.; Kumar, K.; Anil, D.; Kapoor, H.C. Variations in antioxidant activities in broccoli (Brassica oleracea L.) cultivars. J. Food Biochem. 2007, 31, 621–638. [Google Scholar] [CrossRef]







| Cultivar | Time to Harvest * (d) | Growing Cycle | Growing Period | Harvesting Time | Temperature ** | Radiation *** (MJ m−2) | |
|---|---|---|---|---|---|---|---|
| max | min | ||||||
| (°C) | |||||||
| Moycan Naxos Parthenon Steel | 90 75–85 85–95 95–105 | Summer–autumn | August–November | 15 November 2012 | 26.2 | 14.1 | 1243 |
| Parthenon | Winter | December–February | 29 February 2012 | 11.7 | 2.7 | 525 | |
| Parthenon | Winter–spring | January–April | 15 April 2013 | 13.6 | 4.4 | 1103 | |
| Parthenon | Spring | March–June | 15 June 2012 | 23.6 | 10.6 | 1915 | |
| Heads | Florets | ||||
|---|---|---|---|---|---|
| Fresh Weight (FW) | Dry Mass Concentration | WLResp | WLTransp | CHLb | |
| (g) | (g kg−1 FW) | (g 100 g−1 FW) | (µg mg−1 FW) | ||
| Growing cycle (GC) | |||||
| Summer–-autumn | 339.2 ( ± 12.5) b (2) | 103.7 ( ± 1.2) b | 0.70 ( ± 0.13) bc | 0.35 ( ± 0.16) b | 0.02 ( ± 0.001) b |
| Winter | 537.3 ( ± 31.6) a | 122.8 ( ± 3.4) a | 0.30 ( ± 0.09) c | 0.03 ( ± 0.001) c | 0.03 ( ± 0.002) b |
| Winter–-spring | 409.6 ( ± 13.1) b | 95.0 ( ± 0.9) c | 0.78 ( ± 0.09) b | 0.55 ( ± 0.12) ab | 0.07 ( ± 0.002) a |
| Spring | 239.4 ( ± 31.2) c | 120.0 ( ± 1.7) a | 2.45 ( ± 0.55) a | 0.82 ( ± 0.13) a | 0.02 ( ± 0.001) c |
| Storage time (ST) (d) | |||||
| 0 | 357.8 | 104.4 ( ± 1.0) b | - | - | 0.04 ( ± 0.003) a |
| 7 | - | 109.0 ( ± 2.4) a | 0.65 ( ± 0.14) b | 0.34 ( ± 0.11) b | 0.04 ( ± 0.003) a |
| 14 | - | 100.3 ( ± 3.2) c | 1.09 ( ± 0.15) a | 0.52 ( ± 0.13) a | 0.03 ( ± 0.004) b |
| Significance (1) | |||||
| GC | *** | *** | *** | ** | *** |
| ST | - | * | ** | ** | ** |
| GCxST | - | ns | ns | ns | ns |
| Treatments | Chlorophyll a | Chlorophyll b | Total Chlorophyll | Carotenoids | L* | h° | C* | Ascorbic Acid | Total Phenols | Antioxidant Capacity |
|---|---|---|---|---|---|---|---|---|---|---|
| Harvest Time (HT) | *** (1) | *** | *** | *** | *** | *** | *** | *** | *** | *** |
| Storage Time (ST) | *** | *** | *** | *** | *** | *** | *** | *** | *** | *** |
| HTxST | *** | ns | *** | *** | *** | *** | *** | *** | *** | *** |
| Heads | Florets | |||
|---|---|---|---|---|
| Treatments | Fresh Weight (FW) | Dry Mass Concentration | WLResp | WLTransp |
| (g) | (g kg−1 FW) | (g 100 g−1 FW) | ||
| Genotype (Ge) | ||||
| Moycan | 374.4 ( ± 17.4) a (2) | 103.2 ( ± 0.6) c | 0.41 ( ± 0.05) a | 0.23 ( ± 0.05) a |
| Naxos | 218.4 ( ± 17.5) b | 116.5 ( ± 0.7) a | 0.73 ( ± 0.34) a | 0.10 ( ± 0.02) c |
| Parthenon | 339.2 ( ± 12.5) a | 103.7 ( ± 1.2) c | 0.70 ( ± 0.13) a | 0.35 ( ± 0.16) a |
| Steel | 376.3 ( ± 14.3) a | 106.9 ( ± 0.8) b | 0.33 ( ± 0.05) a | 0.10 ( ± 0.02) a |
| Storage time (ST) (d) | ||||
| 0 | 329.5 | 106.0 ( ± 0.7) b | - | |
| 7 | - | 111.8 ( ± 2.4) a | 0.43 ( ± 0.15) b | 0.14 ( ± 0.02) b |
| 14 | - | 105.4 ( ± 1.2) b | 0.72 ( ± 0.09) a | 0.24 ( ± 0.06) a |
| Significance (1) | ||||
| Ge | *** | *** | ns | * |
| ST | - | * | * | * |
| GexST | - | ns | ns | ns |
| Treatments | Chlorophyll a | Chlorophyll b | Total Chlorophyll | Carotenoids | L* | h° | C* | Ascorbic Acid | Dehydroascorbic Acid | Vitamin C | Total Phenols | Antioxidant Capacity |
|---|---|---|---|---|---|---|---|---|---|---|---|---|
| Genotype (Ge) | ***(1) | *** | *** | *** | *** | *** | *** | *** | * | *** | *** | * |
| Storage time (ST) | *** | *** | *** | *** | *** | *** | *** | *** | *** | *** | *** | *** |
| GexST | *** | *** | *** | *** | *** | *** | *** | *** | * | *** | ** | *** |
© 2020 by the authors. Licensee MDPI, Basel, Switzerland. This article is an open access article distributed under the terms and conditions of the Creative Commons Attribution (CC BY) license (http://creativecommons.org/licenses/by/4.0/).
Share and Cite
Conversa, G.; Lazzizera, C.; Bonasia, A.; Elia, A. Harvest Season and Genotype Affect Head Quality and Shelf-Life of Ready-to-Use Broccoli. Agronomy 2020, 10, 527. https://doi.org/10.3390/agronomy10040527
Conversa G, Lazzizera C, Bonasia A, Elia A. Harvest Season and Genotype Affect Head Quality and Shelf-Life of Ready-to-Use Broccoli. Agronomy. 2020; 10(4):527. https://doi.org/10.3390/agronomy10040527
Chicago/Turabian StyleConversa, Giulia, Corrado Lazzizera, Anna Bonasia, and Antonio Elia. 2020. "Harvest Season and Genotype Affect Head Quality and Shelf-Life of Ready-to-Use Broccoli" Agronomy 10, no. 4: 527. https://doi.org/10.3390/agronomy10040527
APA StyleConversa, G., Lazzizera, C., Bonasia, A., & Elia, A. (2020). Harvest Season and Genotype Affect Head Quality and Shelf-Life of Ready-to-Use Broccoli. Agronomy, 10(4), 527. https://doi.org/10.3390/agronomy10040527

