Abstract
Grapevine rootstocks play a pivotal role in plant responses to water deficiency (WD); therefore, the selection of new genotypes is a promising strategy for future agricultural managements aimed to cope with climate changes. Recent studies reinforced the central role of the root system in modulating WD responses, as it not only controls water uptake and transport to the leaves, but it also participates in stress perception and stress signalling to the shoot. The present work evaluated the performance of the 101.14 and M4 rootstocks in graft combination with the cultivar Cabernet Sauvignon (Cab) by assessing some of the canonical molecular, biochemical and physiological responses induced by WD. The autograft Cab/Cab was also included in the experimental design as a control. Under WD, Cab/M4 showed a greater capacity to sustain CO2 assimilation rate (An) and stomatal conductance (gs), while limiting the decrease of leaf potential (Ψleaf) compared with the other graft combinations. The enhanced adaptability of Cab/M4 to WD was also supported by the higher uptake of water from the soil, estimated by measuring the daily water lost of plants, and by the reduced effect of the drought treatment on the total root biomass. Quantification of ABA in both root and leaf organs revealed a reduced accumulation in Cab/M4 plants, thus confirming the lower sensitivity of the Cab/M4 combination to water deficit. At the molecular level, the expression of selected stress-responsive ABA-related genes was investigated, including genes involved in ABA biosynthesis (VviNCED3), ABA signalling (VviPP2C9, VviPP2C4, VviSnRk2.6), regulation of gene expression (VviABF2) and stomatal opening (VviSIRK, VviMYB60). Results indicated a tight correlation between the level of gene expression and of ABA accumulation in roots and leaves, suggesting that ABA synthesis and signalling were attenuated in Cab/M4 as compared with Cab/101.14 and Cab/Cab. As a whole, our data demonstrated the capacity of M4 to satisfy the water demand of the scion under limited water availability, as revealed by delayed stomatal closure and higher photosynthetic activity. Importantly, these physiological adaptive traits related to attenuated ABA-mediated responses in roots and leaves.
1. Introduction
Like many other perennial fruit crops, grapevine (Vitis vinifera L.) cultivars are grafted onto rootstocks mostly selected from different Vitis species. Although this practice was initially linked to the need to overcome the historical problem caused by Phylloxera, in the last two decades the interest for selecting new rootstocks with greater tolerance to unfavourable environmental conditions, among which drought, has increased [1]. While grapevine is relatively tolerant to water deficiency (WD), the temporary scarcity of water can deeply affect fruit productivity both quantitatively and qualitatively [2,3,4,5]. The strategy for improving drought tolerance by means of the selection of new rootstocks is strongly supported by the recent literature highlighting the pivotal role of root system in the response to this abiotic stress [6,7,8,9,10,11,12].
The mechanisms evolved by plants to counteract WD involve changes at the molecular, biochemical, physiological and structural/anatomical levels [13,14,15,16,17]. Plant responses are strictly influenced by the strength and the duration of water scarcity and occur at the local and/or whole-plant level [18,19]. Such multi-faceted adaptive responses are finalized to reduce water loss from the leaves, mainly through stomatal regulation, and to sustain the ability of the root system to efficiently uptake water from the soil [13,20,21]. In woody plants, the water use efficiency also depends on the xylem anatomical characteristics, which can influence the long-distance water transport and that can be affected by WD [16,17]. Water deficiency could also be counterbalanced by changes in the transport of mineral anions and K+ in root and shoot. Moreover, the synthesis of osmoprotective metabolites, including sugars, amino acids and other ammonium-derived compounds, and the activation of scavenging mechanisms to counteract the concomitant oxidative stress are also important traits involved in coping with WD [14,15,22,23].
Among the early response to water deprivation, the increased accumulation of the phytohormone abscisic acid (ABA) plays a pivotal role in many adaptive traits, including stomatal closure, changes in the root hydraulic conductivity, osmolyte biosynthesis and regulation of gene expression [24,25,26]. Under stress, ABA accumulates in both root and leaf tissues. For a long time, it has been widely accepted that root-derived ABA mainly contributes to increase the content of the hormone in leaves [27]. In the last decades, the importance of in situ ABA synthesis in leaves has been demonstrated. Different root-derived long-distance signalling components have been shown to promote synthesis of the hormone in leaves, including hydraulic signal and mobile small peptides [11,13,26,27,28,29,30]. Evidence also indicates that ABA-responses show strong organ specificity, both in terms of physiological adjustments and of gene expression regulation [31]. Transcriptomic analyses indicate extensive reprogramming of gene expression in response to drought, both in roots and shoots. Importantly, expression of drought-responsive genes is largely regulated by ABA [31].
Considering the optimizing role of stomatal conductance (gs) in the balance between carbon assimilation yield and water loss, differences in its modulation deeply influence the whole responses of the plant to WD. Nevertheless, it is important to note that different changes in gs to cope with this abiotic stress have been described in grapevine and that these are not necessarily related to the degree of tolerance, highlighting the importance of cultivar specific investigations [32,33,34].
Many studies highlighted that the timing and the strength of the drought-induced responses differ among Vitis species and are deeply influenced by the grafting partners [6,7,8,19,35,36,37]. Different rootstocks show varying degrees of tolerance to environmental constraints, including drought. Based on their adaptation to water deficiency rootstocks are classified on a wide scale of responses, ranging from drought tolerant to drought susceptible [9,38]. Previous studies demonstrated the high level of tolerance to WD of Milano4 (M4), a new rootstock selected by the University of Milan (Italy). In a comparative analysis with the drought-susceptible commercial rootstock 101.14 Millardet et de Grasset (101.14), ungrafted M4 plants showed higher photosynthetic performances under drought stress, specific changes in the accumulations of osmoprotective metabolites, as well as a superior ability to preserve both the integrity and functionality of the roots, as demonstrated by physiological evaluations and by transcriptomic and proteomic analyses [10,12,39]. Importantly, M4 and 101.14 disclosed different stomatal responses to declining water availabilities. Following exposure to drought, gs rapidly dropped in 101.14 leaves, while M4 sustained higher levels of this parameter [10,39]. Additional studies revealed that M4 significantly improved leaf gas exchange and leaf water status of scion under WD when grafted with different Vitis vinifera cultivars, as compared with other rootstocks, including SO4 and 1103 Paulsen [40,41]. Although the previous studies highlighted the value of M4 in improving vine tolerance to moderate-to-severe drought stress, the mechanisms underlying the superior performance of M4-grafted plants under water stress remain largely elusive.
In the present study we evaluated the performance of M4 and 101.14 rootstocks in graft combination with the cultivar Cabernet Sauvignon (Cab), by assessing different molecular, biochemical and physiological responses to WD of the grafted plants. The changes in biomass, CO2 assimilation rate (An), gs, water potential (Ψleaf), ABA content and other parameters (level of amino acids, total, sugars and potassium) were used to evaluate the responses of the graft combinations to WD. Taken together, the results highlight the ability of the M4 rootstock to enhance the level of WD tolerance in the scion. Starting from this information, the attention was focalized on some ABA-related genes, known to play a central role in WD (Table 1). Interesting relationships among their expression and the physiological status of the plants provide new evidence of the pivotal role of ABA in mediating the water stress responses, in both the root and shoot, in grafted plants.
Table 1.
List of the genes analysed in the study and of the primers used for qPCR amplification.
2. Materials and Methods
2.1. Biological Material
Two-year-old autografted grapevines of Vitis vinifera ‘Cabernet Sauvignon’ (Cab) and Cab grafted on the rootstocks 101.14 Millardet et de Grasset (V. riparia x V. rupestris) or M4 [a hybrid genotype selected at the University of Milan by crossing (V. vinifera x Vitis berlandieri) x V. berlandieri ‘Resseguier n.1] were grown in pots filled with a sand-peat mixture (7:3 in volume) using the experimental conditions previously described by Meggio and co-workers [39]. Further details regarding plant material and the experimental conditions are reported in the Supplementary Materials.
The experiment was conducted in a greenhouse sited in Milan (Italy) equipped with supplementary light and a cooling system, with a 16 h light [~photosynthetic photo flux density (PPFD) of 600 μmol of photons/(m2 s−1)] and an 8-h dark photoperiod. The experiment was conducted in June 2015. A total of 32 plants of each genotype was randomised to obtain four pools. Data regarding the trend of greenhouse temperature and humidity are reported in the Supplementary Materials (Figure S1).
Plants of each graft combinations were maintained at 80% of soil field capacity (Control, C) or subjected to water deficiency (WD) by progressively reducing the water supply down to 30% of soil field capacity. In order to maintain the established soil water content, an adequate quantity of water was added twice a day, at 8:00 a.m. and at 6:00 p.m. Plant water loss data are given in the Supplementary Materials (Figure S2).
According to the experimental design, at the 8th day of the experiment (50% of soil field capacity) and at the 12th day (30% of field capacity) plants were destructively sampled. Firstly, the herbaceous part of the shoot was weighed to evaluate the seasonal stem growth. Afterwards, the leaf samples were collected from leaves that were fully expanded and of approximately equivalent physiological stage and condition (i.e., from the fourth to the seventh node of the primary shoot). Root samples were obtained harvesting the whole root system. The soil was removed from roots by gentle shaking. After that, the plant root system was rinsed twice in distilled water and blotted with paper towels. The samples were weighed, frozen in liquid nitrogen and stored at −80 °C until use.
2.2. Leaf Physiological Measurements
Measurements were made on fully expanded leaves as previously described by Meggio and co-workers [39].
Single-leaf gas exchange was measured with a LI-6400 portable photosynthesis system (Li-Cor Inc., Lincoln, NE, USA). Leaves were analyzed with the circular 2 cm2 leaf cuvette equipped with the LI-6400-40 fluorometer as the light source. Measurements were made on fully expanded leaves comprising at least six leaves per treatment at regular times during the experimental period, between 11:00 a.m. and 2:00 p.m. solar time. The leaves were subjected to a 10-min acclimation at a constant saturating PPFD of 600 μmol of photons m−2 s−1), a CO2 concentration of 380 μmol/mol, and relative humidity between 60 and 70%, allowing ~1.5 kPa of vapor pressure deficit (VPD) inside the chamber. Block temperature was maintained at 25 °C, allowing leaf temperature to range between 26 and 31 °C. The parameters used were net CO2 assimilation rate (An, μmol CO2 m−2 s−1) and stomatal conductance (gs, mmol H2O m−2 s−1).
The leaf water potential (Ψleaf, MPa) was measured using a Scholander-type pressure chamber (model PMS-1000, PMS Instruments, Corvallis, OR, USA). Measurements were performed on the same fully expanded leaves immediately after gas exchange measurements resulting in six replicates per treatment. Each leaf was excised from the shoot with a scalpel blade and then placed into the pressure chamber with the petiole protruding from the chamber lid. The chamber was pressurised using an air pressure tank, and Ψleaf was recorded as soon as the xylem sap was observed emerging from the cut end of the petiole.
2.3. Contents of Amino Acids, Total Sugars and Potassium
Amino acids and total sugars were extracted in perchloric acid (PCA) as previously described by Meggio and co-workers [39]. The contents of total amino acids were measured by the ninhydrin method [42]. The contents of total soluble sugars were determined by boiling an aliquot of the PCA extract for 1 h before neutralization. Sugar concentrations were then measured according to the colorimetric method of Nelson [43].
Potassium contents were measured as reported by Meggio and co-workers [39]. Briefly, 0.5 g of dried tissue were digested by a microwave digestor system (Anton Paar Multiwave 3000, Anton Paar, Graz, Austria) after addition of 9.5 mL of 65% HNO3 and 0.5 mL of H2O2. The mineralized samples were then diluted 1:40 with Milli-Q water (EMD Millipore Corporation, Billerica, MA, USA), and the concentration of K was measured with a Varian 820 ICP-MS (Varian, Inc., Palo Alto, CA, USA).
2.4. ABA Determination
ABA content in tissues was determined by the method described by Speirs and co-workers [44]. Briefly, tissue was powdered in liquid nitrogen and extracted in 10 volumes of 20% (v/v) methanol overnight at 4 °C, after the addition of deuterated ABA internal standard (dABA, D6-5’,5’,3’,2’CD3-ABA). After centrifugation at 14,000× g for 15 min at 4 °C, the supernatants were purified by Sep-Pak SPE columns (Waters) equilibrated firstly with methanol and then with water. An aliquot of the sample was loaded onto the columns, washed with 20% (v/v) methanol, and finally eluted with two volumes of 90% (v/v) methanol. After drying in a vacuum centrifuge, the samples were resuspended in 10% (v/v) acetonitrile (ACN), 0.05% (v/v) acetic acid and analyzed by liquid chromatography mass spectrometry (LC-ESI-MS). Briefly, samples were analyzed by HPLC (1200 series; Agilent Technologies Italia, Cernusco sul Naviglio, Italy) coupled with ESI-Q-TOF (ESI-Quadrupole-Time Of Flight mass spectrometer, 6520, Agilent Technologies) on a Zorbax-Eclipse-XDB-C18 column (2.1 × 50 mm, 1.8 μm, Agilent Technologies) in acidic condition (0.05% v/v acetic acid) applying a 15 min linear gradient in water from 10% to 90% of ACN, with a flow rate of 150 μL min−1. The ESI source was set in negative mode at 350 °C, 3500 V, and spectra were acquired in the range from 50 to 300 m/z (mass/charge ratio) at 1 scan s−1. Quantitation was conducted on EIC for single [M-H]− in ±0.01 m/z window, corresponding to 263.13 m/z and 269.17 m/z for ABA and dABA, respectively, at RT 10.85 ± 0.15 min. The results were calculated using external calibration curves obtained for ABA and dABA, and referring to the internal dABA standard for the calculation of the recovery efficiency.
2.5. qPCR Analysis of Gene Expression
Total RNA was isolated from grapevine roots and leaves using the Spectrum Total Plant RNA kit (Sigma-Aldrich, St. Louis, MO, USA). First-strand cDNA was synthesized from 1 μg of RNA using the SuperScript VILO cDNA Synthesis Kit (Invitrogen, Carlsbad, California, US) according to the manufacturer’s instructions. Quantification of the relative transcript abundance was performed using the Fast SYBR Green Master Mix (Applied Biosystems, Waltham, Massachusetts, US), and real-time monitored on a 7900 HT Fast Real-Time PCR system (Applied Biosystems). qPCR amplification employed an initial heating step at 95 °C for 20 min, followed by 40 cycles of 95 °C for 1 min and 60 °C for 20 s, using the primers reported in Table 1. The reference GLYCERALDEHYDE 3-PHOSPHATE DEHYDROGENASE (G3PDH) gene was used for normalization [45]. Relative gene expression was calculated using the ΔΔCt method according to the literature [46]. Melt gradient dissociation curves were performed at the end of each qPCR reaction.
2.6. Statistical Analysis
Statistical analyses were performed using SigmaPlot 12.0 (Systat Software Inc., San Jose, CA, USA). For all physiological and biochemical data, the normality and the equal variance were checked using the Shapiro–Wilk test and the Levene Median test, respectively. Data were then compared using ANOVA, with Holm-Sidak multiple comparison test (p < 0.05). In order to assess the effects of individual factors (water availability and graft combination) and their interaction, two-way ANOVA was applied. Where the interaction between the two factors (A x B) was significant (p < 0.05), all conditions were subjected to one-way ANOVA, comparing all of them to each other. On the contrary, where A x B interaction was not significant, the effect of the treatments and of the cultivars was evaluated separately. Data in the figures were calculated as arithmetic means ± standard error (SE). Results of gene expression analyses were tested by three-way ANOVA (p ≤ 0.05).
3. Results and Discussion
The union of the rootstock with the scion by means of the grafting practice produces a new plant with phenotype having peculiar characteristics, which depend not only on the contribution of the two different genetic backgrounds but also on the reciprocal influences between the two partners [6,7,8,16,17,19,35,36,37,40,41]. Considering the importance of preserving the typical features of the grape that are mainly linked to the scion genotype, the more promising strategy to improve the tolerance of grapevine to abiotic stresses, such as water deficiency (WD), is to select new tolerant rootstocks [7,36]. Recently, the M4 rootstock was selected at the University of Milan on the basis of promising performance under WD condition [39]. The comparison of this genotype with the 101.14 rootstock, classified as sensitive to WD [36], revealed a greater capacity of M4 to sustain transpiration and a higher photosynthetic activity under stress conditions. Interestingly, these differences related to a better maintenance of the root functionality in M4 compared with 101.14 [39]. Transcriptomic and proteomic analyses confirmed the central role of roots in the tolerance to WD and highlighted distinct patterns of activation of molecular and biochemical pathways involved in sugar metabolism, synthesis of stress-related proteins, protection against oxidative stress and root growth [10,12].
In the present work, we compared the responses of M4 and 101.14 as rootstocks grafted with Cabernet Sauvignon (Cab) to WD. The study employed similar experimental conditions to those previously adopted in Corso [10] and Prinsi [12], that are detailed in the Supplementary Materials, consisting in a progressive reduction of the water supply down to 30% of field capacity. The Cab/Cab combination was also evaluated as a control.
3.1. Physiological and Biochemical Parameters
The biomass of all the graft combinations was negatively affected by WD. At the end of the stress period (i.e., 12th day), reductions by 36%, 15% and 40% were measured in Cab/101.14, Cab/M4 and Cab/Cab, respectively (Figure 1A). Notably, the effect resulted significantly lower in Cab/M4. At the same time, the root biomass fraction decreased in Cab/101.14 and Cab/Cab, whilst it did not change in Cab/M4 (Figure 1B). This result was dependent on the lower inhibition of root growth in this graft combination under WD. The reduction in the root biomass during WD compared with the controls, in fact, resulted of 48%, 17% and 52% in Cab/101.14, Cab/M4 and Cab/Cab, respectively (data not shown). Importantly, the sustained root growth under stress, exhibited by Cab/M4, is a typical adaptive response related to WD tolerance in Vitis rootstocks [6,33,36].
Figure 1.
Effect of water deficiency (WD) on plant biomass (A) and root biomass fraction (B) in Cab/101.14, Cab/M4 and Cab/Cab graft combinations at the last experimental time (30% of field capacity). White bars: plants grown in control conditions, grey bars: plants grown under WD. The values are means ± SE (n = 6). Statistical significance was assessed by one-way ANOVA and Holm-Sidak method. Various letters indicate significant differences among all the conditions (p ≤ 0.05).
As expected, WD conditions reduced the leaf water potential (Ψleaf), but changes were different among the graft combinations (Figure 2). In Cab/101.14 and Cab/Cab the reduction was evident already at the 8th day and progressively decreased throughout the stress treatment. Differently, in Cab/M4 the decrease in Ψleaf occurred later and was lower compared to the other graft combinations. Variations in Ψleaf identified two relevant time points in the WD treatment: (i) day 8, corresponding to a middle stress condition, when significant differences among the graft combinations first emerged and (ii), day 12, when differences in the effects of the rootstock on the behaviour of the scion persisted despite the severe stress conditions. We referred to day 8 as 50% moisture capacity and day 12 as 30% moisture capacity, respectively. Accordingly, in the subsequent analyses we focused our attention on these two relevant time points.
Figure 2.
Effect of water deficiency on the leaf water potential (Ψleaf) of Cab/Cab, Cab/101.14 and Cab/M4 graft combinations. The values are means ± SE (n = 6). Statistical significance was assessed by one-way ANOVA and Holm-Sidak method within each time. Various letters indicate significant differences (p ≤ 0.05).
Stomatal conductance (gs) was progressively inhibited by WD (Figure 3A). At 50% moisture capacity, an evident and similar reduction (on average −62%) of gs occurred in all the graft combinations. Importantly, at the longer time (30% moisture capacity), although a further reduction occurred in all plants, Cab/M4 showed a greater transpiration compared to Cab/101.14 and Cab/Cab (18.4%, 5.0% and 4.5%, respectively, relative to control values).
Figure 3.
Effect of water deficiency (WD) on stomatal conductance (gs) (A) and net CO2 assimilation (An) (B) for Cab/101.14, Cab/M4 and Cab/Cab graft combinations at 50% moisture capacity and 30% moisture capacity. White bars: plants grown in control condition, grey bars: plants grown under WD. The values are means ± SE (n = 6). Statistical analysis was separately performed for each experimental time. Where interaction (growth condition x graft combination) was significant, data were subjected to one-way ANOVA. Where interaction was not significant, the effect of growth condition was evaluated separately for each graft combination and the differences were indicated by italic letters. Various letters indicate significant differences (p ≤ 0.05).
Likewise, WD induced in all the graft combinations a decrease in CO2 assimilation (An, Figure 3B). A significant inhibitory effect could be observed at 50% moisture capacity for all the combinations (−52%, −39% and −40% in Cab/101.14, Cab/M4 and Cab/Cab, respectively). Nevertheless, at 30% moisture capacity, Cab/M4 showed a greater An rates compared to Cab/101.14 and Cab/Cab (35%, 15% and 13% of the control values).
These findings suggest that M4 improved the capability of Cab to maintain water balance (i.e., a lesser reduction of Ψleaf), at the same time preserving gs, thus allowing better photosynthetic performance. This conclusion is also supported by the comparison of the intrinsic water use efficiency (WUE, calculated as An/gs ratio) at 30% moisture capacity. WUE, used to relate photosynthesis to stomatal closure ([33] and references therein) remained lower in Cab/M4 compared to the other graft combinations (133, 88 and 154 mol CO2 mol−1 H2O in Cab/101.14, Cab/M4 and Cab/Cab, respectively). Taken together, these results highlighted the superior adaptation of Cab to water deficit when grafted onto M4 and confirm the capability of M4 to guarantee a higher supply of water to the leaves also under unfavourable conditions compared to the other rootstocks [10,12,39]. This conclusion was further supported by the higher daily water loss measured in Cab/M4 than in the other combinations under WD (Figure S2). Interestingly, Frioni and co-workers obtained similar results in long-time experiments comparing graft combinations in which the cultivar Grechetto gentile was grafted on M4 or 1103 Paulsen rootstocks [41].
Our results highlight that Cab/M4 was able to maintain higher Ψleaf and higher transpiration, compared to the other graft combinations. This behaviour could be related to some factors, such as root morphology, vessel characteristics as well as distribution and functionality of aquaporins [6,17,18]. The better capacity of M4 to maintain root biomass (Figure 1B), and therefore to have a greater ability to take up water from the soil, appears to be fundamental. One or more components of the water pathway could play a central role to sustain the better performance of M4, and further studies are needed to clarify the relevance of each. Nevertheless, the better adaptability to WD of this rootstock could be also linked to its greater capacity to maintain root integrity and metabolic functionalities that allow to better counteract negative effects, such as oxidative stress, as suggested by previous studies conducted on ungrafted M4 [10,12].
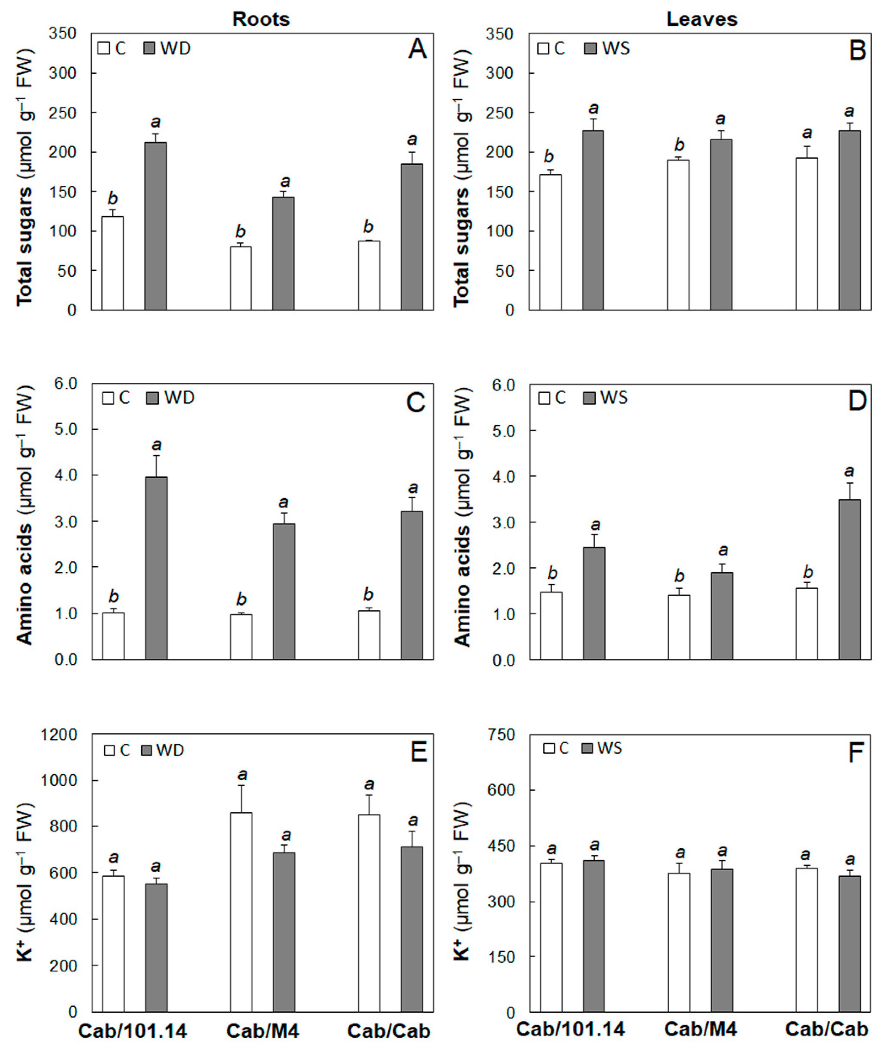
To further investigate the biochemical components of the responses to drought, the levels of total soluble sugars, amino acids and K+ in roots and leaves were measured (Figure 4). In roots, the stress treatment induced an increase in the accumulation of total soluble sugars and amino acids. Yet, no significant variation in the K+ contents was induced by WD (Figure 4E). Likewise, WD induced an increase in total soluble sugars and amino acids in leaves, whilst no changes occurred in the contents of K+ (Figure 4B,D,E).
Figure 4.
Effect of water deficiency (WD) on the concentrations of total soluble sugars, (A,B), amino acids (C,D), and K+ (E,F) in roots (A,C,D) and leaves (B,D,F) of Cab/101.14, Cab/M4 and Cab/Cab graft combinations at the final experimental time (30% moisture capacity). White bars: plants grown in control condition, grey bars: plants grown in WD. The values are means ± SE (n = 4). Since the interaction (growth condition x graft combination) was not significant, the effect of growth condition was evaluated separately for each graft combination and the differences were indicated by italic letters. Various letters indicate significant differences (p ≤ 0.05).
These results are in line with the typical increase in the content of osmolytes in response to WD [14,15,22]. Yet, differently from previous results obtained with own rooted 101.14 and M4 plants, which revealed differences in osmolytes accumulation in roots of drought-treated plants, no such differences were observed between Cab/101.14 and Cab/M4 combination [39]. This discrepancy likely relates to a grafting effect, in which the complex interactions that occur between the scion and the rootstock can alter the physiology of both partners [8].
3.2. ABA Contents in Roots and Leaves
The concentrations of ABA resulted in all conditions much higher in leaves than in roots (Figure 5). In both organs, its levels increased under WD. In roots, a significant increase was observed in all the graft combinations already at 50% moisture capacity. At 30% moisture capacity, the ABA content in root was higher in Cab/101.14 than in the other graft combinations (+106% and +83% compared to Cab/M4 and Cab/Cab, respectively). In leaves, at 50% moisture capacity, only the Cab/Cab autograft showed a significant rise in ABA level. Differently, at 30% moisture capacity, all the graft combinations showed a significant increase in ABA concentrations. This effect was lower in Cab/M4 compared to Cab/101.14 and Cab/Cab (−28% and −34%, respectively).
Figure 5.
Effect of water deficiency (WD) on the concentration of ABA in roots (A) and leaves (B) collected from Cab/101.14, Cab/M4 and Cab/Cab graft combinations at 50% moisture capacity and at 30% moisture capacity. White bars: plants grown in control conditions, grey bars: plants grown under WD. The values are means ± SE (n = 3). Statistical analysis was separately performed for each experimental time. Where interaction (growth condition x graft combination) was significant, data were subjected to one-way ANOVA. Where interaction was not significant, the effect of growth condition was evaluated separately for each graft combination and the differences were indicated by italic letters. Various letters indicate significant differences (p ≤ 0.05).
Taken as a whole, these results show that changes in ABA contents were well related to the different physiological status observed in the grafted plants. This finding is in agreement with results from Rossdeutsch and co-workers, who demonstrated a tight correlation between ABA accumulation and the degree of drought responses in different Vitis genotypes [37]. This was particularly evident in leaf tissues, where the decreases in Ψleaf, gs and An were accompanied by a concurrent accumulation of ABA (Figure 2B and Figure 5B). Importantly, leaf gas exchanges and water potential were particularly reduced in leaves from Cab/101.14 and Cab/Cab, which showed higher ABA accumulation in response to water stress. Consistently, the lower levels of ABA observed in drought-stressed Cab/M4 leaves correlated with a major capability to sustain stomatal conductance, net CO2 assimilation and improved biomass.
3.3. Expression of ABA-Related Genes
ABA plays a central role in mediating the transcriptional responses occurring in both roots and shoots in response to water stress. Expression of most genes involved in ABA synthesis or signalling is directly modulated by the hormone [53]. The Vitis vinifera 9-cis-epoxycarotenoid dioxygenase3 (VviNCED3) gene codes for a key enzyme in early ABA biosynthesis and its expression is significantly upregulated under drought. Interestingly, the transcript abundance of VviNCED3 has been demonstrated to positively correlate with the level of ABA in grape tissues and to negatively correlate with stomatal opening [48,54]. As expected, we observed a dramatic increase in the expression of VviNCED3 following the stress treatment both in roots and leaves (Figure 6A,B). Interestingly, such upregulation occurred to a lesser extent in leaves and roots from Cab/M4 plants, as compared to Cab/101.14 and Cab/Cab. This finding is consistent with the reduced accumulation of ABA in Cab/M4 under severe stress conditions (30% moisture capacity) and provides further evidence for the drought tolerant phenotype conferred by the M4 rootstock. Interestingly, expression of VviNCED3 was enhanced in roots compared with leaves, despite the fact that the levels of ABA were higher in leaves. This finding is consistent with results from Speirs et al. [44], who demonstrated that in Cabernet Sauvignon grapevine ABA accumulation was augmented in leaves as compared with roots under water deficit. Nevertheless, VviNCED3 expression was consistently higher in roots than in leaves suggesting that root-derived ABA plays a primary role in mediating stress responses in shoot tissues [44]. ABA signalling involves three core components: (i) the pyrabactin resistance (PYR)/pyrabactin resistance-like (PYL)/regulatory component of ABA receptors (RCAR), (ii) the negative regulators protein phosphatases 2C (PP2C) and, (iii) the positive regulators Sucrose non-fermenting (SNF1)-related protein kinase 2 (SnRK2). Binding of ABA to the PYR/PYL/RCAR-PP2C complex results in the inhibition of the PP2C repressor activity, and the activation of SnRK2. Activated SnRK2 phosphorylates downstream target transcription factors, which in turn, promote expression of ABA-responsive genes [55].
Figure 6.
Effect of water deficiency (WD) on the expression of VviNCD1 (A,B), VviPP2C4 (C,D), VviPP2C9 (E,F), VviABF2 (G), VviSnRK2.6 (H), VviSIRK (I) and VviMYB60 (J) genes in roots (A,C,E,G) and leaves (B,D,F,H,I,J) from Cab/101.14, Cab/M4 and Cab/Cab graft combinations at 50% moisture capacity and 30% moisture capacity. White bars: plants grown in control conditions; grey bars: plants grown under WD. Values represent means and SD from two independent replicates. Gene expression data were normalized using GLYCERALDEHYDE 3-PHOSPHATE DEHYDROGENASE (G3PDH) as reference. Asterisks indicate significant differences among graft combinations or among treatments evaluated by three-way ANOVA. Single asterisks, p ≤ 0.05; double asterisks, p ≤ 0.01.
Previous studies identified VviPP2C4 and VviPP2C9 as the two major protein phosphatases acting in ABA signalling in grape [49]. We assessed the expression of VviPP2C4 and VviPP2C9 in roots and shoots following exposure to drought stress. As expected, expression of both genes was drastically enhanced in response to the drought treatment. The increase in the accumulation of VviPP2C4 transcripts was generally more pronounced in leaves than in roots, independently on the plant genotype. Nevertheless, as for VviNCED3, VviPP2C4 expression was reduced in Cab/M4 compared with the other graft combinations at 30% moisture capacity (Figure 6D). Upregulation of VviPP2C9 was marked in both roots and leaves at the two time points employed in the analysis (Figure 6E,F). Similarly to VviPP2C4, activation of VviPP2C9 expression at 30% moisture capacity was reduced in tissues from Cab/M4 plants, compared with roots and leaves from Cab/101.14 and Cab/Cab plants.
Taken together, these data confirm the close relationship between ABA accumulation and VviPP2Cs expression and the organ-specific activation of their expression under stress. In accord with preceding data, upregulation of VviPP2C9 was prominent in roots, whereas VviPP2C4 expression was preferentially induced in leaves [37].
Among the different VviSnRK2 coding genes found in the grape genome, VviSnRK2.6 has been identified as the functional ortholog of Arabidopsis Open Stomata1 (AtOST1) and is considered a major SnRK2 kinase involved in stomatal responses to water deficit [49]. Under our conditions, VviSnRK2 expression was not significantly affected by the stress treatment in leaves from all the graft combinations. This is consistent with previous studies which indicated that VviSnRK2 activity is primarily modulated at the post-transcriptional level [56].
Among the transcription factors directly activated by VviSnRK2 proteins, ABA RESPONSIVE ELEMENT BINDING PROTEIN 2 (VviABF2) is a key transcriptional regulator involved in modulating the plant adaptive response to drought in grape [57]. Its expression is high in roots and it is upregulated under drought stress [37,58]. As opposite to the other genes employed in the study, variations in the accumulation of VviABF2 transcripts in roots did not show a consistent stress-related pathway (Figure 6G). At 50% moisture capacity, only roots from Cab/Cab plants showed a clear drought-induced activation of VviABF2 expression. At the end of treatment (30% moisture capacity), up-regulation of VviABF2 was evident in roots from the stressed Cab/101.14 plants, whereas Cab/M4 and Cab/Cab roots only disclosed a moderate increase in VviABF2 expression in response to drought (Figure 6G). The different behaviour of VviABF2 compared to the other genes considered could be explained on the basis of the differences in the genetic background among the three genotypes. The abundance of this gene in root tissue, in fact, was indicated as one of the most indicative variables for discriminating V. berlandieri x V. rupestris hybrids [37]. In addition, the differences observed at the two experimental times in Cab/Cab plants highlight that both intensity and duration of WD could also affect the abundance of its transcripts.
Our data indicated that the Cab scion showed increased stomatal conductance and net CO2 assimilation under drought when grafted onto M4 as compare with 101.14 (Figure 3). We analysed variation in the expression of the guard cell-related VviSIRK1 and VviMYB60 genes in leaves from control and stress-treated plants. VviSIRK1 encodes a guard cell-specific K+ channel, whose expression is negatively modulated during drought [52]. Interestingly, the downregulation of VviSIRK1 expression in leaves from the stressed plants at 30% moisture capacity was significantly reduced in Cab/M4 compared with the other graft combination, suggesting an attenuated response to ABA in stomata from Cab/M4 leaves (Figure 6I).
VviMYB60 is an R2R3-type MYB transcription factor specifically expressed in stomata and its expression is down-regulated during drought stress and following ABA treatment [49]. As expected, all the grafting combination displayed a reduction in VviMYB60 expression following exposure to stress (Figure 6J). Yet, leaves from Cab/M4 plants displayed higher levels of VviMYB60 transcripts compared with Cab/101.14 and Cab/Cab leaves, throughout the drought treatment. This finding highlighted a positive correlation between VviMYB60 expression and stomatal exchange (Figure 3 and Figure 6J) which is consistent with data from Arabidopsis which demonstrated a role for MYB60 as a key positive regulator of stomatal opening [59].
As a whole, results from gene expression analyses confirm that ABA-related responses were differently activated in the three graft combinations. In particular, both ABA synthesis and ABA responses, including stomatal closure, were reduced in Cab/M4 plants.
4. Conclusions
Overall, the results of the present work highlight a greater WD tolerance in Cab/M4 respect to Cab/101.14 and Cab/Cab combinations, as demonstrated by the evaluation of changes in biomass accumulation, CO2 assimilation (An), stomatal conductance (gs) and leaf water potential (Ψleaf). Moreover, determination of ABA levels in roots and leaves as well as expression analysis of ABA-related genes showed that ABA accumulation and ABA responses were attenuated in the Cab/M4 combination.
In conclusion, this study provides further evidence for the ability of M4 rootstocks to improve the performance of the grafted vine under drought stress, as shown by a recent study [39]. Our data demonstrate that the previously described capability of ungrafted M4 to maintain root functionality under WD is retained when grafted with another genotype [10,12,37].
The capacity of M4 to satisfy the water demand of the scion under limited water availability results in a delayed stomatal closure, allowing higher photosynthetic activity. These physiological adaptive traits are also related to a reduced activation of ABA signalling both in the root and the leaf.
Supplementary Materials
The following are available online at https://www.mdpi.com/2073-4395/11/2/289/s1, Supplementary Material: Plant material and experimental conditions, Material: Figure S1: Trend and daily range variation of air temperature and relative humidity within the experimental greenhouse, Figure S2: Trend of daily water loss by plants.
Author Contributions
B.P., F.M., and L.E. performed the physiological and biochemical experiments. F.S. and M.G. performed the gene expression analyses. Conceptualization, B.P., M.G. and L.E.; formal analysis, B.P., M.G. and L.E.; funding acquisition, A.S., C.T. and L.E.; supervision, L.E.; writing–original draft, L.E.; writing–review and editing of the manuscript, B.P., M.G., and L.E.; writing–review and editing of the supplementary material, F.M. All authors have read and agreed to the published version of the manuscript.
Funding
This work was supported by “AGER- SERRES Project”, grant n° 2010–2105.
Institutional Review Board Statement
Not applicable.
Informed Consent Statement
Not applicable.
Data Availability Statement
The data presented in this study are available on request from the corresponding author.
Acknowledgments
The authors expresses their appreciation to Silvia Morgutti (University of Milan) for reading through the manuscript.
Conflicts of Interest
The authors declare no conflict of interest.
References
- Reynolds, A. Grapevine Breeding Programs for the Wine Industry, 1st ed.; Elsevier: Cambridge, UK, 2015. [Google Scholar]
- Jones, G.V.; White, M.A.; Cooper, O.R.; Storchmann, K. Climate Change and Global Wine Quality. Clim. Chang. 2005, 73, 319–343. [Google Scholar] [CrossRef]
- Castellarin, S.D.; Matthews, M.A.; Di Gaspero, G.; Gambetta, G.A. Water Deficits Accelerate Ripening and Induce Changes in Gene Expression Regulating Flavonoid Biosynthesis in Grape Berries. Planta 2007, 227, 101–112. [Google Scholar] [CrossRef]
- Chaves, M.M.; Zarrouk, O.; Francisco, R.; Costa, J.M.; Santos, T.; Regalado, A.P.; Rodrigues, M.L.; Lopes, C.M. Grapevine under Deficit Irrigation: Hints from Physiological and Molecular Data. Ann. Bot. 2010, 105, 661–676. [Google Scholar] [CrossRef] [PubMed]
- Schultz, H.R.; Stoll, M. Some Critical Issues in Environmental Physiology of Grapevines: Future Challenges and Current Limitations. Aust. J. Grape Wine Res. 2010, 16, 4–24. [Google Scholar] [CrossRef]
- Gambetta, G.A.; Manuck, C.M.; Drucker, S.T.; Shaghasi, T.; Fort, K.; Matthews, M.A.; Walker, M.A.; McElrone, A.J. The Relationship between Root Hydraulics and Scion Vigour across Vitis Rootstocks: What Role Do Root Aquaporins Play? J. Exp. Bot. 2012, 63, 6445–6455. [Google Scholar] [CrossRef]
- Marguerit, E.; Brendel, O.; Lebon, E.; Leeuwen, C.V.; Ollat, N. Rootstock Control of Scion Transpiration and Its Acclimation to Water Deficit Are Controlled by Different Genes. New Phytol. 2012, 194, 416–429. [Google Scholar] [CrossRef] [PubMed]
- Tramontini, S.; Vitali, M.; Centioni, L.; Schubert, A.; Lovisolo, C. Rootstock Control of Scion Response to Water Stress in Grapevine. Environ. Exp. Bot. 2013, 93, 20–26. [Google Scholar] [CrossRef]
- Corso, M.; Bonghi, C. Grapevine Rootstock Effects on Abiotic Stress Tolerance. Plant Sci. Today 2014, 1, 108–113. [Google Scholar] [CrossRef]
- Corso, M.; Vannozzi, A.; Maza, E.; Vitulo, N.; Meggio, F.; Pitacco, A.; Telatin, A.; D’Angelo, M.; Feltrin, E.; Negri, A.S.; et al. Comprehensive Transcript Profiling of Two Grapevine Rootstock Genotypes Contrasting in Drought Susceptibility Links the Phenylpropanoid Pathway to Enhanced Tolerance. J. Exp. Bot. 2015, 66, 5739–5752. [Google Scholar] [CrossRef]
- Pagliarani, C.; Vitali, M.; Ferrero, M.; Vitulo, N.; Incarbone, M.; Lovisolo, C.; Valle, G.; Schubert, A. The Accumulation of MiRNAs Differentially Modulated by Drought Stress Is Affected by Grafting in Grapevine. Plant Physiol. 2017, 173, 2180–2195. [Google Scholar] [CrossRef]
- Prinsi, B.; Negri, A.S.; Failla, O.; Scienza, A.; Espen, L. Root Proteomic and Metabolic Analyses Reveal Specific Responses to Drought Stress in Differently Tolerant Grapevine Rootstocks. BMC Plant Biol. 2018, 18, 126. [Google Scholar] [CrossRef]
- Skirycz, A.; Inzé, D. More from Less: Plant Growth under Limited Water. Curr. Opin. Biotechnol. 2010, 21, 197–203. [Google Scholar] [CrossRef]
- Munns, R. Chapter 1—Plant Adaptations to Salt and Water Stress: Differences and Commonalities. In Advances in Botanical Research; Turkan, I., Ed.; Plant Responses to Drought and Salinity Stress; Academic Press: Cambridge, MA, USA, 2011; Volume 57, pp. 1–32. [Google Scholar] [CrossRef]
- Kantar, M.; Lucas, S.J.; Budak, H. Chapter 13—Drought Stress: Molecular Genetics and Genomics Approaches. In Advances in Botanical Research; Turkan, I., Ed.; Plant Responses to Drought and Salinity Stress; Academic Press: Cambridge, MA, USA, 2011; Volume 57, pp. 445–493. [Google Scholar] [CrossRef]
- Chaves, M.M.; Maroco, J.P.; Pereira, J.S. Understanding Plant Responses to Drought—From Genes to the Whole Plant. Funct. Plant Biol. 2003, 30, 239–264. [Google Scholar] [CrossRef]
- Lovisolo, C.; Schubert, A. Effects of Water Stress on Vessel Size and Xylem Hydraulic Conductivity in Vitis Vinifera L. J. Exp. Bot. 1998, 49, 693–700. [Google Scholar] [CrossRef]
- Tombesi, S.; Johnson, R.S.; Day, K.R.; DeJong, T.M. Relationships between Xylem Vessel Characteristics, Calculated Axial Hydraulic Conductance and Size-Controlling Capacity of Peach Rootstocks. Ann. Bot. 2010, 105, 327–331. [Google Scholar] [CrossRef]
- Dayer, S.; Scharwies, J.D.; Ramesh, S.A.; Sullivan, W.; Doerflinger, F.C.; Pagay, V.; Tyerman, S.D. Comparing Hydraulics Between Two Grapevine Cultivars Reveals Differences in Stomatal Regulation Under Water Stress and Exogenous ABA Applications. Front. Plant Sci. 2020, 11. [Google Scholar] [CrossRef] [PubMed]
- Aroca, R.; Porcel, R.; Ruiz-Lozano, J.M. Regulation of Root Water Uptake under Abiotic Stress Conditions. J. Exp. Bot. 2012, 63, 43–57. [Google Scholar] [CrossRef] [PubMed]
- Yamaguchi, M.; Sharp, R.E. Complexity and Coordination of Root Growth at Low Water Potentials: Recent Advances from Transcriptomic and Proteomic Analyses. Plant Cell Environ. 2010, 33, 590–603. [Google Scholar] [CrossRef] [PubMed]
- Singh, M.; Kumar, J.; Singh, S.; Singh, V.P.; Prasad, S.M. Roles of Osmoprotectants in Improving Salinity and Drought Tolerance in Plants: A Review. Rev. Environ. Sci. Biotechnol. 2015, 14, 407–426. [Google Scholar] [CrossRef]
- Hussain, S.; Rao, M.J.; Anjum, M.A.; Ejaz, S.; Zakir, I.; Ali, M.A.; Ahmad, N.; Ahmad, S. Oxidative Stress and Antioxidant Defense in Plants Under Drought Conditions. In Plant Abiotic Stress Tolerance: Agronomic, Molecular and Biotechnological Approaches; Hasanuzzaman, M., Hakeem, K.R., Nahar, K., Alharby, H.F., Eds.; Springer International Publishing: Cham, Switzerland, 2019; pp. 207–219. [Google Scholar] [CrossRef]
- Sah, S.K.; Reddy, K.R.; Li, J. Abscisic Acid and Abiotic Stress Tolerance in Crop Plants. Front. Plant Sci. 2016, 7. [Google Scholar] [CrossRef]
- Rajasheker, G.; Jawahar, G.; Jalaja, N.; Kumar, S.A.; Kumari, P.H.; Punita, D.L.; Karumanchi, A.R.; Reddy, P.S.; Rathnagiri, P.; Sreenivasulu, N.; et al. Chapter 27—Role and Regulation of Osmolytes and ABA Interaction in Salt and Drought Stress Tolerance. In Plant Signaling Molecules; Khan, M.I.R., Reddy, P.S., Ferrante, A., Khan, N.A., Eds.; Woodhead Publishing: Cambridge, UK, 2019; pp. 417–436. [Google Scholar] [CrossRef]
- Rosales, M.A.; Maurel, C.; Nacry, P. Abscisic Acid Coordinates Dose-Dependent Developmental and Hydraulic Responses of Roots to Water Deficit. Plant Physiol. 2019, 180, 2198–2211. [Google Scholar] [CrossRef]
- Kuromori, T.; Seo, M.; Shinozaki, K. ABA Transport and Plant Water Stress Responses. Trends Plant Sci. 2018, 23, 513–522. [Google Scholar] [CrossRef]
- Christmann, A.; Weiler, E.W.; Steudle, E.; Grill, E. A Hydraulic Signal in Root-to-Shoot Signalling of Water Shortage. Plant J. 2007, 52, 167–174. [Google Scholar] [CrossRef]
- Schachtman, D.P.; Goodger, J.Q.D. Chemical Root to Shoot Signaling under Drought. Trends Plant Sci. 2008, 13, 281–287. [Google Scholar] [CrossRef]
- Takahashi, F.; Shinozaki, K. Long-Distance Signaling in Plant Stress Response. Curr. Opin. Plant Biol. 2019, 47, 106–111. [Google Scholar] [CrossRef]
- Rattanakon, S.; Ghan, R.; Gambetta, G.A.; Deluc, L.G.; Schlauch, K.A.; Cramer, G.R. Abscisic Acid Transcriptomic Signaling Varies with Grapevine Organ. BMC Plant Biol. 2016, 16. [Google Scholar] [CrossRef]
- Flexas, J.; Galmés, J.; Gallé, A.; Gulías, J.; Pou, A.; Ribas-Carbo, M.; Tomàs, M.; Medrano, H. Improving Water Use Efficiency in Grapevines: Potential Physiological Targets for Biotechnological Improvement. Aust. J. Grape Wine Res. 2010, 16, 106–121. [Google Scholar] [CrossRef]
- Lovisolo, C.; Perrone, I.; Carra, A.; Ferrandino, A.; Flexas, J.; Medrano, H.; Schubert, A. Drought-Induced Changes in Development and Function of Grapevine (Vitis Spp.) Organs and in Their Hydraulic and Non-Hydraulic Interactions at the Whole-Plant Level: A Physiological and Molecular Update. Funct. Plant Biol. 2010, 37, 98–116. [Google Scholar] [CrossRef]
- Bota, J.; Tomás, M.; Flexas, J.; Medrano, H.; Escalona, J.M. Differences among Grapevine Cultivars in Their Stomatal Behavior and Water Use Efficiency under Progressive Water Stress. Agric. Water Manag. 2016, 164, 91–99. [Google Scholar] [CrossRef]
- Tomás, M.; Medrano, H.; Pou, A.; Escalona, J.M.; Martorell, S.; Ribas-Carbó, M.; Flexas, J. Water-Use Efficiency in Grapevine Cultivars Grown under Controlled Conditions: Effects of Water Stress at the Leaf and Whole-Plant Level. Aust. J. Grape Wine Res. 2012, 18, 164–172. [Google Scholar] [CrossRef]
- Serra, I.; Strever, A.; Myburgh, P.A.; Deloire, A. Review: The Interaction between Rootstocks and Cultivars (Vitis Vinifera L.) to Enhance Drought Tolerance in Grapevine. Aust. J. Grape Wine Res. 2014, 20, 1–14. [Google Scholar] [CrossRef]
- Rossdeutsch, L.; Edwards, E.; Cookson, S.J.; Barrieu, F.; Gambetta, G.A.; Delrot, S.; Ollat, N. ABA-Mediated Responses to Water Deficit Separate Grapevine Genotypes by Their Genetic Background. BMC Plant Biol. 2016, 16, 91. [Google Scholar] [CrossRef]
- Carbonneau, A. The Early Selection of Grapevine Rootstocks for Resistance to Drought Conditions. Am. J. Enol. Vitic. 1985, 36, 195–198. [Google Scholar]
- Meggio, F.; Prinsi, B.; Negri, A.S.; Lorenzo, G.S.D.; Lucchini, G.; Pitacco, A.; Failla, O.; Scienza, A.; Cocucci, M.; Espen, L. Biochemical and physiological responses of two grapevine rootstock genotypes to drought and salt treatments. Aust. J. Grape Wine Res. 2014, 20, 310–323. [Google Scholar] [CrossRef]
- Galbignani, M.; Merli, M.C.; Magnanini, E.; Bernizzoni, F.; Talaverano, I.; Gatti, M.; Tombesi, S.; Palliotti, A.; Poni, S. Gas Exchange and Water-Use Efficiency of Cv. Sangiovese Grafted to Rootstocks of Varying Water-Deficit Tolerance. Irrig. Sci. 2016, 34, 105–116. [Google Scholar] [CrossRef]
- Frioni, T.; Biagioni, A.; Squeri, C.; Tombesi, S.; Gatti, M.; Poni, S. Grafting Cv. Grechetto Gentile Vines to New M4 Rootstock Improves Leaf Gas Exchange and Water Status as Compared to Commercial 1103P Rootstock. Agronomy 2020, 10, 708. [Google Scholar] [CrossRef]
- Moore, S.; Stein, W.H. A Modified Ninhydrin Reagent for the Photometric Determination of Amino Acids and Related Compounds. J. Biol. Chem. 1954, 211, 907–913. [Google Scholar] [CrossRef]
- Nelson, N. A Photometric Adaptation of the Somogyi Method for the Determination of Glucose. J. Biol. Chem. 1944, 153, 375–380. [Google Scholar] [CrossRef]
- Speirs, J.; Binney, A.; Collins, M.; Edwards, E.; Loveys, B. Expression of ABA synthesis and metabolism genes under different irrigation strategies and atmospheric VPDs is associated with stomatal conductance in grapevine (Vitis vinifera L. cv Cabernet Sauvignon). J. Exp. Bot. 2013, 64, 1907–1916. [Google Scholar] [CrossRef]
- Reid, K.E.; Olsson, N.; Schlosser, J.; Peng, F.; Lund, S.T. An optimized grapevine RNA isolation procedure and statistical determination of reference genes for real-time RT-PCR during berry development. BMC Plant Biol. 2006, 6, 27. [Google Scholar] [CrossRef]
- Matus, J.T.; Loyola, R.; Vega, A.; Peña-Neira, A.; Bordeu, E.; Arce-Johnson, P.; Alcalde, J.A. Post-veraison sunlight exposure induces MYB-mediated transcriptional regulation of anthocyanin and flavonol synthesis in berry skins of Vitis vinifera. J. Exp. Bot. 2009, 60, 853–867. [Google Scholar] [CrossRef]
- Young, P.R.; Lashbrooke, J.G.; Alexandersson, E.; Jacobson, D.; Moser, C.; Velasco, R.; Vivier, M.A. The Genes and Enzymes of the Carotenoid Metabolic Pathway in Vitis Vinifera L. BMC Genom. 2012, 13, 243. [Google Scholar] [CrossRef]
- Boneh, U.; Biton, I.; Zheng, C.; Schwartz, A.; Ben-Ari, G. Characterization of Potential ABA Receptors in Vitis Vinifera. Plant Cell Rep. 2012, 31, 311–321. [Google Scholar] [CrossRef]
- Boneh, U.; Biton, I.; Schwartz, A.; Ben-Ari, G. Characterization of the ABA Signal Transduction Pathway in Vitis Vinifera. Plant Sci. 2012, 187, 89–96. [Google Scholar] [CrossRef] [PubMed]
- Nicolas, P.; Lecourieux, D.; Kappel, C.; Cluzet, S.; Cramer, G.; Delrot, S.; Lecourieux, F. The Basic Leucine Zipper Transcription Factor ABSCISIC ACID RESPONSE ELEMENT-BINDING FACTOR2 Is an Important Transcriptional Regulator of Abscisic Acid-Dependent Grape Berry Ripening Processes. Plant Physiol. 2014, 164, 365–383. [Google Scholar] [CrossRef]
- Galbiati, M.; Matus, J.T.; Francia, P.; Rusconi, F.; Cañón, P.; Medina, C.; Conti, L.; Cominelli, E.; Tonelli, C.; Arce-Johnson, P. The grapevine guard cell-related VviMYB60 transcription factor is involved in the regulation of stomatal activity and is differentially expressed in response to ABA and osmotic stress. BMC Plant Biol. 2011, 11, 142. [Google Scholar] [CrossRef]
- Pratelli, R.; Lacombe, B.; Torregrosa, L.; Gaymard, F.; Romieu, C.; Thibaud, J.-B.; Sentenac, H. A Grapevine Gene Encoding a Guard Cell K+ Channel Displays Developmental Regulation in the Grapevine Berry. Plant Physiol. 2002, 128, 564–577. [Google Scholar] [CrossRef]
- Osakabe, Y.; Osakabe, K.; Shinozaki, K.; Tran, L.-S.P. Response of Plants to Water Stress. Front. Plant Sci. 2014, 5. [Google Scholar] [CrossRef] [PubMed]
- Soar, C.J.; Dry, P.R.; Loveys, B.R. Scion Photosynthesis and Leaf Gas Exchange in Vitis Vinifera L. Cv. Shiraz: Mediation of Rootstock Effects via Xylem Sap ABA. Aust. J. Grape Wine Res. 2006, 12, 82–96. [Google Scholar] [CrossRef]
- Raghavendra, A.S.; Gonugunta, V.K.; Christmann, A.; Grill, E. ABA Perception and Signalling. Trends Plant Sci. 2010, 15, 395–401. [Google Scholar] [CrossRef] [PubMed]
- Mustilli, A.-C.; Merlot, S.; Vavasseur, A.; Fenzi, F.; Giraudat, J. Arabidopsis OST1 Protein Kinase Mediates the Regulation of Stomatal Aperture by Abscisic Acid and Acts Upstream of Reactive Oxygen Species Production. Plant Cell 2002, 14, 3089–3099. [Google Scholar] [CrossRef] [PubMed]
- Yoshida, T.; Fujita, Y.; Maruyama, K.; Mogami, J.; Todaka, D.; Shinozaki, K.; Yamaguchi-Shinozaki, K. Four Arabidopsis AREB/ABF Transcription Factors Function Predominantly in Gene Expression Downstream of SnRK2 Kinases in Abscisic Acid Signalling in Response to Osmotic Stress. Plant Cell Environ. 2015, 38, 35–49. [Google Scholar] [CrossRef] [PubMed]
- Pilati, S.; Bagagli, G.; Sonego, P.; Moretto, M.; Brazzale, D.; Castorina, G.; Simoni, L.; Tonelli, C.; Guella, G.; Engelen, K.; et al. Abscisic Acid Is a Major Regulator of Grape Berry Ripening Onset: New Insights into ABA Signaling Network. Front. Plant Sci. 2017, 8. [Google Scholar] [CrossRef]
- Cominelli, E.; Galbiati, M.; Vavasseur, A.; Conti, L.; Sala, T.; Vuylsteke, M.; Leonhardt, N.; Dellaporta, S.L.; Tonelli, C. A Guard-Cell-Specific MYB Transcription Factor Regulates Stomatal Movements and Plant Drought Tolerance. Curr. Biol. 2005, 15, 1196–1200. [Google Scholar] [CrossRef] [PubMed]
Publisher’s Note: MDPI stays neutral with regard to jurisdictional claims in published maps and institutional affiliations. |
© 2021 by the authors. Licensee MDPI, Basel, Switzerland. This article is an open access article distributed under the terms and conditions of the Creative Commons Attribution (CC BY) license (http://creativecommons.org/licenses/by/4.0/).





