Abstract
The sustainability of reducing light in apple orchards under well-watered (ww) and water stress (ws) conditions was evaluated for water relations, plant gas exchanges, fruit growth, yield determinants, and fruit quality over three years. A black (B) 28% shading net was compared with two different 50% shading nets: red (R) and white (W). Each net was combined with two irrigation regimes (ww and ws) based on plant water status. Under ww and ws conditions, increasing shade from 28% to 50% was not detrimental for plant gas exchanges, yield, or quality over three years. Higher shade improved plant water status regardless of irrigation regime. Higher shading could be considered sustainable in apple orchards over several seasons. Fruit quality was more sensitive to plant water status than to light reduction. ws increased fruit soluble solid content and relative dry matter, regardless of shading, and this was positively reflected in consumer’s preference. When water availability is limited, increasing shading to 50% can help save water and maintain high-quality yields associated with water stress. Given the likely reductions of water availability in agriculture, growers and consultants may consider shading apple orchards as a sustainable and safe horticultural technique to save water.
1. Introduction
Nets were originally implemented in fruit orchards to protect trees from hailstorms. In the last 20 years, there has been an additional goal in the use of nets in fruit orchards grown in the Mediterranean area. Especially in the Po Valley, their preservation from extreme climatic conditions observed in spring and summer (hailstorms and high radiation and temperatures) is becoming necessary. The scientific community has demonstrated that fruit trees can be successfully grown under nets, as they are exposed to an unnecessary excess of light [1,2,3,4,5]. The benefit associated with decreasing incoming light prevents plant scavenging responses, known to consume photosynthates that would be instead directed to plant functionality and fruit [6,7]. For all these reasons, the implementation of netting as a horticultural technique in fruit orchards is a common practice.
One of the fruit crops that seems to adapt well to shading is apple. A total of 98.3% of the growers surveyed in an important area for apple production (Washington state, USA) indicated that sunburn reduction was one of their most important reasons for using netting [8]. Covering apple orchards with suitable nets produced several additional advantages to sunburn protection [9], such as improved plant morphology, enhanced fruit size and higher yield, reduced water consumption, and more favorable environmental conditions, which are of considerable importance for growing apples without abiotic stresses [10]. To obtain some of these benefits, shading intensity was in general between 12% and 25%, extrapolating that 25% of shading could be the recommended limit of shading for suitable apple production. However, in light of climate change, orchards can still be facing abiotic stresses due to solar pressure excess and extremely high peaks of temperatures even if nets shade 25% of incoming light. A recent example is the heat wave experience in Europe in June 2019, which could be considered the warmest June in many important locations for apple production [11]. Although increasing shading above 25% may partially solve the abiotic stress generated by heat waves, it is not completely clear whether increasing shading above 25% could be suitable for apple production. High shading intensities, up to a maximum value of 50%, have been occasionally explored in some apple studies [12,13] without clear negative effects on apple performance. However, the sustainability of high shading intensities over multiple years has not been evaluated. In fact, no study has compared apple performance under commercial and severe levels of shading (about 20% and 50%, respectively) over multiple years, considering at the same time tree water relations, tree physiology (gas exchanges), yield and fruit quality. Such a study seems relevant to accelerate the commercial implementation of the right level of shading in apple orchards.
Given this overview, the first objective of this study was to evaluate the sustainability of a high shading level in an apple orchard. To do this, the effect of 28% and 50% of shading on important traits for the apple industry, such as fruit size and yield, was tested over three consecutive years in a mature apple orchard. Tree water status and leaf gas exchange were also evaluated to explain possible differences in fruit size and yield between shading levels. Fruit quality was also explored in detail during the three-year period because it could be one of the most important traits to determine the suitability of shading in apple [10]. Moreover, fruit quality results under shading are widely reported with only a recent study, showing improvements in Honeycrisp color with shading levels between 25 and 40% [9]. A strong emphasis in the responses of apple quality to shading, evaluating multiple maturity and composition traits, seemed mandatory in the three-year study. Sensory quality evaluation was additionally incorporated because shading can also alter some sensory traits such as appearance, taste, and texture [14]. In addition, the consequences for sensory traits, deriving from an increase of shading from 20% to 50%, are not known. For this reason, the second objective of this study was to develop information about the effect of shading on apple fruit quality and the sensory attributes by including a panel of experts and consumers in the study. In light of increasing consumer demand for high-quality fruit, it seems relevant to combine horticultural with sensory studies [15]. A third objective of this research was to provide further information about the ideal combination of shading level with limited water availability. The combination of reduced water availability and shading seems promising [13], however, studies that combined water stress and levels of shading rarely exceeded two years of experimentation [16] and were frequently performed in a single growing season [13,17]. In the present study, 28% and 50% shading nets were combined with two irrigation scenarios (optimal and water stress) over three consecutive growing seasons. The results of this study may be useful to complement previous knowledge of the effects of shading nets on apple production.
2. Materials and Methods
2.1. Study Site
The trial was conducted during the years 2013, 2014, and 2015 in an apple (Malus × domestica Borkh., cv. Imperial Gala) orchard located at the experimental farm of Bologna University (44.55 N, 11.41 E). The orchard was established during the 1996–1997 winter, in a deep silt-clay soil. It consisted of 30 rows with 10 trees in each row. Row spacing was 3.8 m and tree spacing was 1.0 m. Trees were grafted onto “M9” rootstock and trained to a spindle system with an east-west orientation. The irrigation system consisted of drip irrigation with 2.5 drippers per tree (the distance between emitters was 0.4 m). The emitter flow was 2.0 L h−1. The orchard was managed according to commercial practices, including manual fruit thinning to achieve optimal crop load, winter pruning to maintain the desired training system, mineral fertilization, pest control and diseases, herbicide application below the trees, and mowing of inter-canopy cover crop. Considering these standards were applied to the whole orchard since its establishment, they prevented variability in the field. During the three-year trial, full bloom dates were recorded in the first half of April (6 April 2013; 8 April 2014; and 15 April 2015).
2.2. Net Shading and Irrigation Treatments
In spring 2013 (7 May), three shading nets were placed for the first time over the trees in the orchard: (1) anti-hail black (B) net with an expected reduction of incoming light of about 20%, (2) photoselective red (R) net with a reduction of incoming light of 50%, and (3) photoselective white (W) net with a reduction of incoming light of 50%. The B net completely covered eight consecutive rows. The B net was considered the commercial treatment in this study, since it is a common practice in the area and apple trees without nets are becoming less frequent. The R net covered seven consecutive rows. The W net covered eight consecutive rows. Polysack provided the photoselective hail nets with detailed information of their shading intensity (Polysack Plastic Industries Ltd., Nir Yitzhak, D.N., Negev, Israel). During the three years of the experiment, the nets were present over the trees from the full development of the canopy (mid-May), until post-harvest (mid-October), when they were removed by rolling them on top of the rows. This is a commercial practice usually done in the area of the study. In all three years, the shading intensity for a given net and irrigation treatment was verified by measuring the photosynthetically active radiation (PAR) twice outside the orchard and below the nets several times during the year. Shading intensity was determined with the use of a ceptometer with an 80 cm-long probe (Accupar Ceptometer LP-80, ICT international, Armidale, Australia). Measurements were performed at midday, on cloudless days during the three seasons: 4 times in 2013 (60, 90, 110, and 120 days after full bloom (DAFB), once in 2014 (118 DAFB), and 2 times in 2015 (79, and 93 DAFB). Therefore, for each net 14 measurements of PAR were performed during the three years. The ceptometer was always placed horizontally at around 1 m height and it was ensured that trees did not shade the ceptomer when measurements were performed below the nets. Shading intensity was calculated as follows:
shading intensity (%) = mean PAR below the net / mean PAR outside the orchard × 100
Regarding irrigation, each net received two irrigation treatments during the three years of the study: well-watered (ww) and water stress (ws). Therefore, six treatments were applied in the study: Bww, Bws, Rww, Rws, Www, and Wws. The irrigation treatments were applied from 60 DAFB (about the beginning of June) until harvest (about the beginning of August). ww trees received irrigation to maintain midday stem water potential (mSWP) around −1.0 MPa, because this value is considered a non-limiting condition for apple growth [18]. ws trees received irrigation to maintain mSWP between −1.5 and −2.0 MPa. Trees in this range of water potential are expected to experience a certain limitation in apple growth [18]. No modification in the flow of the emitters occurred during the application of irrigation treatments. Irrigation treatments were imposed by modifying the time of irrigation and consequently the amount of water applied to set the trees in the desired values of mSWP. Irrigation based on water potential measurements has proven to be an efficient way to control plant water status [19]. During the rest of the season (bloom, fruit set, and post-harvest periods) all the trees received the same amount of irrigation to satisfy their water demand, as detailed in [13]. The two irrigation treatments were randomly assigned to two or three rows for each net. Each shading treatment included a minimum of two rows with the same irrigation treatment. Yet, given a reasonable level of homogeneity of the plots, plus standard adult trees in fully productive conditions, most of the agronomical and physiological measurements were performed in the four central trees of one of the rows (referred to as experimental trees onwards in the study). The applied water volume to each shading and irrigation treatment combination (netirrigation) was monitored in two rows per each net with six volumetric water meters (BETA ALP -SDC 1/2”). Data was collected three times per week to verify that the applied volumes corresponded to the amount of scheduled irrigation. The applied water per treatment was expressed in mm. Weather and reference evapotranspiration (Et0) were obtained from the Cadriano weather station, located in the University of Bologna Experiment Research Station where the experiment was performed.
2.3. Midday Stem Water Potential and Leaf Gas Exchanges
During the three experimental years, mSWP was measured on a weekly basis from the onset of irrigation treatments (middle of June) until harvest, with an Scholander-type pressure chamber (Model 3005, Soil Moisture Equipment Corp., Santa Barbara, CA, USA), following the recommendations of Turner and Long [20]. Measurements were taken at solar noon (±30 min) on the four central experimental trees (one leaf per tree) of each treatment. Selected leaves were located near the trunk and were covered with a plastic bag and aluminum foil one hour prior to the surveys.
Midday leaf photosynthesis (An) and stomatal conductance (gs) were determined on the same four trees used to determine mSWP, twice during each growing season. The specific dates of measurements were 9 and 30 July 2013; 1 July and 4 August 2014; and 23 July and 5 August 2015. Those days were cloudless, and measurements were always performed within one hour at the same time as mSWP measurements. A portable infra-red gas analyzer (LI-COR 6400, Lincoln, NE, USA) connected to a leaf fluorometer chamber, which had a LED light source, was used to perform the measurements. One leaf, fully exposed to light, was chosen per tree and the measurements were performed by setting the PAR observed under each net at the time of the measurement in the LED light source.
2.4. Fruit Growth Rate and Yield Determinants
During the three experimental years, fruit diameter was monitored from the onset of irrigation treatments to harvest with the use of a digital caliper (Mitutoyo, Japan) connected to an external memory to facilitate data collection (www.hkconsulting.it (accessed on 24 September 2020)). For each treatment, four fruits were selected on each of the four central trees and their diameter was monitored once per week. Fruit diameter values (mm) were converted to fresh weight (g) using the following conversion equation:
Fresh weight = 0.0003 × Diameter3.0992
The equation was obtained from fruit diameter and weight data of about 300 fruits from several Gala apple orchards in the growing area where the experiment was performed. The regression coefficient (R2) of the relationship was 0.99. The fruit absolute growth rate (AGR) for each treatment was then calculated as the difference of the mean fruit weight between the first and the last measurement, divided by the time interval (days) between the measurements. The first and last measurements were 7 June and 9 August, 2013; 20 June and 1 August, 2014; and 12 June and 5 August, 2015, respectively. Therefore, the period for AGR calculation was 63, 42, and 54 days in 2013, 2014, and 2015, respectively.
When approaching harvest (mid-August), fruit maturity was monitored, non-destructively, using a DA-meter 53500 (Turoni, Forlì, Italy). Twenty fruit per treatment were randomly selected from all the experimental trees two or three times before harvest, depending on the year. The values for the 20 fruit were averaged to determine the maturity grade of each treatment. If the mean output value provided by the DA-meter was below 0.9, the fruit was considered mature enough to be harvested [21]. The treatments approached the 0.9 values at the same time during the three experimental years (results not shown), indicating that shading and irrigation treatments did not alter the date of commercial harvest. Consequently, harvest occurred at the same date for all trees during the three-year experiment. The specific dates were 19, 11, and 10 August in 2013, 2014, and 2015, respectively. The four central experimental trees were harvested during the three experimental years. In 2013, two additional trees were harvested for each treatment. Total yield (kg tree−1) and crop load (fruit tree−1) were first determined. All fruit for the four central trees was then calibrated with a digital caliper (Mitutoyo, Kanagawa, Japan) attached to an external memory (www.hkconsulting.it). This allowed to obtain an estimation of the marketable yield (kg tree−1) for each treatment, considering commercial fruit that with a diameter above 65 mm.
2.5. Fruit Quality and Sensory Evaluation
In 2013, three samples for quality analyses were collected from 12 trees of each treatment: (i) 20 pieces of fruit for quality attributes, (ii) 20 pieces of fruit to be tasted by a trained panel, and (iii) 20 pieces of fruit to be tasted by a panel of consumers. Fruit attributes were determined the same day or the day after harvest, whereas the fruit for sensory evaluation was stored in a cold chamber until the panels were organized. In 2014, the sampling protocol was reproduced but only for the fruit quality attributes and the trained panel. In 2015 only fruit quality attributes were evaluated.
2.5.1. Fruit Quality
The 20 pieces of fruit for each treatment collected for quality analyses were subjected to the following protocol during the three experimental years. Individual fruit coloration was estimated as the percentage of red-colored surface from visual observation. Individual fruit ripeness was measured with the DA-meter 53500 (Turoni, Forlì, Italy) on the fruit sides most exposed and less exposed to the sun. Individual fruit flesh firmness (FFF) was determined with a PCE-PTR 200 penetrometer (PCE Instruments, Meschede, Germany) with an 11 mm diameter tip after removing the fruit peel from opposite sides (most exposed and least exposed to the sun). The mean value of fruit ripeness and firmness from the two sides was calculated. Once the non-destructive measurements were complete, each fruit was divided into two parts. One part was used for fruit composition analyses (soluble solid concentration and fruit acidity) and relative dry matter content, and the second one for starch estimation. Soluble solid concentration (SSC) was determined by measuring the refractive index of the juice for each fruit portion with a HI 96811 digital refractometer (Hanna, Woonsocket, RI, USA). A mixture of juice from five pieces of fruit for a given treatment was obtained with a juicer to perform titration analysis to a final pH value of 8.2 and determine titratable fruit acidity (TA). Therefore, four samples for each treatment were obtained. Starch content was estimated using the Ctifl-Eurofru code with values ranging from 1 (immature) to 10 (mature) for each individual fruit. Fruit relative dry matter (RDM) content was calculated as the percentage of dry weight relative to fresh weight for a portion of fruit for each individual fruit. Dry weight was determined by drying samples until constant weight in a forced air oven at 60 °C.
2.5.2. Sensory Evaluation: Trained Panel
Trained judges with prior experience in sensory descriptive evaluation of fruit and vegetables were recruited in 2013 and 2014 (17 in 2013 and 19 in 2014). The panel received specific training on how to recognize and evaluate relevant apple descriptors using intensity scales (ISO 8586:2012) before the tasting sessions. Judges were trained to rate the following attributes of peeled apple slices using a nine-point intensity scale (1 = not perceptible, 5 = medium intensity, 9 = extremely intense) for the following parameters: firmness, crunchiness, juiciness, mealiness, astringency, sweetness, acidity, and aroma. The judges also expressed an overall acceptance judgment (1 = extremely dislike, 5 = acceptable, 9 = extremely like). The intensity rate was previously used in other fruit studies [22]. In 2013 and 2014, the samples of 20 pieces of fruit per treatment that were collected at harvest time were measured with the DA-Meter to verify that all the ripeness values were below 0.9. That ensured that all fruit had commercial maturity, avoiding interactions between ripening and sensory perception. All fruit outside the desired range of ripeness was eliminated from the sample. The homogenous fruit sample was then stored for a short period in a cold chamber (4 °C at 99% relative humidity). Cold storage was performed only until it was possible to recruit the entire trained panel. The day before, the apples were taken out of the cold chamber and placed in a room at ambient temperature (about 24 °C) to avoid low fruit temperature masking the organoleptic characteristics of the fruit. From each treatment, apple slices were served to the judges in a sensory room with standard conditions located in the IBE-CNR Sensory Lab. Each sample was presented with a three-digit code in a randomized sequence, and the panelists rated the intensity of each descriptor. Mineral water and crackers were provided for the panelists to rinse their mouths between sample degustation.
2.5.3. Sensory Evaluation: Consumer Test
In 2013, 20 pieces of fruit per treatment were collected at harvest for the consumer test. Samples were managed as described above for the trained panel until they were served to the consumers. The consumer test was designed to have more detailed information on the effect of water stress on consumer perception because the preliminary analysis of quality traits indicated that quality traits were more affected by water stress than by shading. The test was performed through paired comparisons [23]. Participants were requested to perform four paired-comparison tests (ww and ws for each shading treatment in each comparative test), indicating (i) their preferred sample and (ii) the sweetest sample. Seventy-five consumers were recruited for the test, conducted at CNR Research Area, Bologna, Italy. Fruit slices were presented on a plate with a code using a randomized block design. The slices were prepared immediately before the test. The number of consumers who preferred each shading treatment, as well as the number of consumers who indicated higher sweetness perception for each irrigation treatment, was counted. The results were also expressed in percentage of consumers.
2.6. Statistical Analysis
Monthly values of Et0 during the irrigation treatment period were subjected to an ANOVA analysis to characterize the environmental conditions of each experimental year. The shade intensity of the three nets was calculated using the median values for all the measurements performed during the three years of the experiment. For each year, an ANOVA tested the effect of treatments on crop load; when significant differences were found between treatments, crop load was used as a covariate using further analyses of covariance and linear contrasts to separate the effect of treatments in each trait. The resulting values were then expressed as the least square means and p values were considered significant when < 0.05. However, if the interaction between treatments and crop load was considered not significant, the covariate was eliminated from the statistical analyses. Thus, simple ANOVA and simple linear contrasts followed. An SNK test was used to separate the mean values that were significantly different. For each experimental year, linear contrasts were performed to compare possible differences between:
- -
- irrigation treatments (ww vs. ws);
- -
- shade intensity treatments (B vs. R and W);
- -
- interaction of irrigation and net treatments (Irrigation|Net); and
- -
- interaction of irrigation and 50% shade (Irrigation|50% shade).
These differences were performed on the mean seasonal value of mSWP, the midday An and gs (mid-season and pre-harvest periods), seasonal fruit growth rate, total and marketable yield, and fruit quality traits (both instrumental and sensory performed by the trained panel).
To determine the effect of irrigation treatments on tree performance, correlations between the mean value of mSWP and all the variables measured in the study were evaluated for each experimental year through a regression analysis. For each correlation, the coefficient of determination (r) was calculated to evaluate the goodness of fit and the significance of the slope was evaluated with a probability test, which tested the null hypothesis of no correlation in the population. Correlation analysis was also performed between crop load and yield for each treatment population to elucidate whether there was a possible variation in yield explained by crop load.
Consumer preference and sweetness perception for ww and ws trees for each shading treatment was performed with a Chi-square test. SSC was correlated to both consumer perceived sweetness and consumer acceptance through a regression analysis, providing slopes and p values.
3. Results
3.1. Weather Conditions
The weather conditions during the experimental period varied from year to year. The summer of 2013 was warm and very dry, with Et0 values around 5 mm (Figure 1a) and only 39 mm of accumulated rainfall (Figure 1b). The year 2014 had an exceptionally cooler summer, with the lowest Et0 (Figure 1a) and many rainfall events (228 mm of rainfall accumulated during the irrigation period) (Figure 1b). Summer 2015 was very hot and dry, reaching peaks above 6 mm of Et0 several times during the experimental period (Figure 1a) and a low number of rainfall events, with a total of 75 mm accumulated during the experimental period (Figure 1b).
Figure 1.
Seasonal patterns of reference evapotranspiration, with average monthly values, followed by letters representing significant differences at p < 0.05 (a), and accumulated rainfall over the period 1 June–20 August for the 2013, 2014, and 2015 seasons (b).
3.2. Shading Intensity
When shading intensity was determined in the field, after the net installation and over the three experimental years, the shading values were not exactly those indicated by the providers. The shading intensity of the B net was higher than 20%, with a mean value of 28%. The shading intensity of the W and R in the field were closer to the 50% value indicated by the provider: 53% for the R and 49% for the W. Therefore, the shading intensity of 28% was retained for the B net, and the general value of 50% for the W and R nets.
3.3. Crop Load
Crop load ranged between 65 and 169 fruit trees−1. In general, treatments had similar quantities of fruit, with some exceptions that revealed significant differences: Bws vs. Rws in 2013 and Wws vs. Bww in 2015 (Table 1).
Table 1.
Crop load determined at harvest (quantity of fruit per tree). Each output represents the mean value of 4 trees, followed by standard error and letters, indicating statistical significance at 95% when different, according to an SNK test.
3.4. Midday Stem Water Potential, Applied Irrigation, and Leaf Gas Exchanges
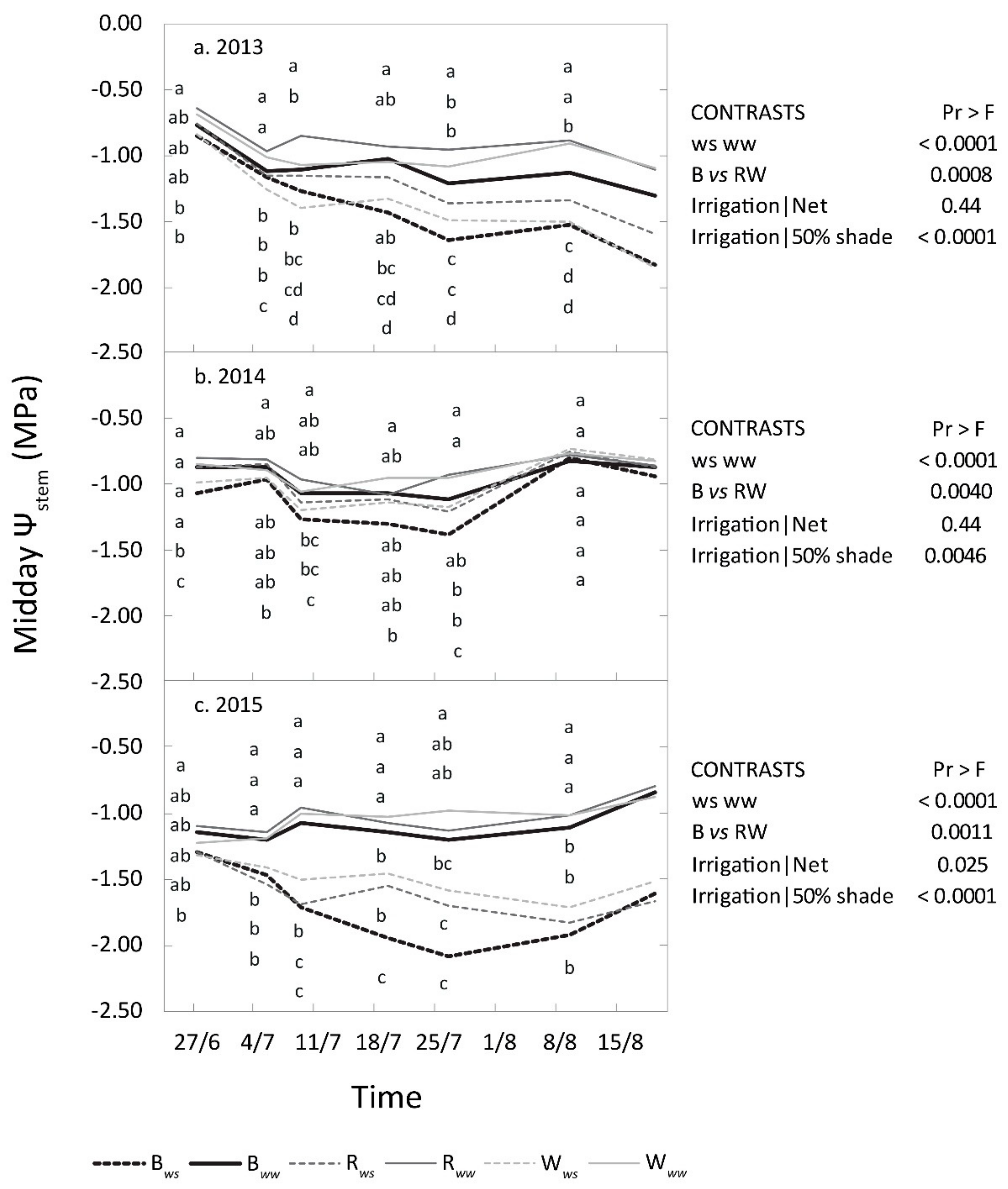
Under ww conditions, the goal was to maintain mSWP above −1.0 MPa during the three experimental years (Figure 2). That was the case during the three years, except for more negative values in the driest year of the study (2013) for trees grown under the B net (Figure 2a). To obtain these mSWP values, all ww trees received 344 mm in 2013, 62 mm in 2014, and 158 mm in 2015.
Figure 2.
Seasonal patterns of midday stem water potential values throughout 2013 (a), 2014 (b), and 2015 (c) for each treatment. Each value represents the mean value of 4 trees. For each day of measurement, the presence of different letters represents significant differences at 95%, according to an SNK test. On the right side, linear contrast F values for each year are shown and refer to the mean seasonal value of mSWP; values below 0.05 were considered significant.
Under ws, regardless of the shading level, the trees experienced more negative mSWP than ww trees over the three experimental years (Figure 2). The aim was to decrease mSWP values to around or below –1.5 MPa, which were achieved in 2013 (Figure 2a) and in 2015 (Figure 2c). In 2014, the differences in mSWP between irrigation treatments were less evident because of the rainy season, although still significant (Figure 2b). The B net was always positioned with the most negative values over the three experimental years (Figure 2). To obtain these moderate to severe levels of water stress, all ws trees received 138 mm in 2013, 22 mm in 2014, and 1.3 mm 2015.
Differences in leaf gas exchanges between irrigation treatments occurred only in 2013 and 2015 (Table 2 and Table 3), when the highest differences in mSWP were observed (Figure 2). In these two years, An and gs were higher in ww than in ws trees, both at mid-season and before harvest. Consequently, mSWP had a significant effect (p < 0.05) on midday An in the years 2013 and 2015 (Table 4), with a difference of around 6 units of photosynthesis and around 0.16–0.10 of stomatal conductance in 2013, and of around 15–11 units of photosynthesis and 0.20–0.24 units of stomatal conductance in 2015 (Table 2 and Table 3). Regardless of irrigation, increasing shade from 28% to 50% did not seem to negatively influence gas exchanges.
Table 2.
Midday leaf photosynthesis values in two periods of the season (mid-season and pre-harvest) for netirrigation treatments during the years 2013, 2014, and 2015. The interaction between treatments and crop load was not found to be significant, thus each value is the result of a simple ANOVA (mean of 4 trees). PAR values are reported and means are followed by standard error. The presence of different letters indicates significant differences at 95%, according to an SNK test. On the right side of the table, linear contrast F values for the two analyzed periods are shown; values below 0.05 are considered significant.
Table 3.
Midday stomatal conductance values in two periods of the season (mid-season and pre-harvest) for netirrigation during the years 2013, 2014, and 2015. The interaction between treatments and crop load was not found to be significant, thus each value is the result of a simple ANOVA (mean of 4 trees). PAR values are reported and means are followed by standard error. The presence of different letters indicates significant differences at 95%, according to an SNK test. On the right side of the table, linear contrast F values for the two analyzed periods are shown; values below 0.05 are considered significant.
Table 4.
Correlation coefficient (r), slope, and significance (p-value) of the linear relationships between midday leaf photosynthesis and midday stem water potential for the 2013, 2014, and 2015 seasons.
3.5. Fruit Absolute Growth Rate
Under ws conditions, fruit AGR was significantly decreased by around 0.1 g day−1, in the years 2013 and 2014, and by around 0.6 g day−1 in 2015 (Table 5). Under ww conditions, trees grown under 50% shading nets showed the highest AGR values in 2014 and 2015, whereas this marked difference was not so evident in 2013 (Table 5). In both water scenarios, the presence of intense shading (50%) generally led to higher rates in the three years.
Table 5.
Seasonal fruit absolute growth rate (AGR) for netirrigation treatments, during years 2013, 2014 and 2015. The interaction between treatments and crop load was not found to be significant, except in 2015 (*). Thus, for the years 2013 and 2014, each value is the result of a simple ANOVA (mean of 4 trees), whereas in 2015 each value is the LS mean of an ANCOVA (mean of 4 trees). Means, on the left side, are followed by standard error. Different letters indicate significant differences at p < 0.05. On the right side of the table, linear contrast F values for each year are shown; values below 0.05 are considered significant.
3.6. Yield
In 2013 and 2015, ws reduced the total and marketable yields (Table 5). The differences were more evident for marketable yield (Table 5). In 2014, the differences in mSWP between ww and ws were not great enough to cause differences in yield (Table 5). Under ww conditions, increasing shading from 28 to 50% did not affect total yield in the three experimental years, with some exceptions (Table 6). Under ws conditions, it was possible to declare significant differences between 28% and 50% shading nets in 2013 with the lowest values for the black net, with 28% of shading (Table 6). mSWP was related to yield in both 2013 and 2015 and with fruit AGR in 2015 (Table 7). Although crop load was somewhat variable between treatments and years (Table 1), it had a lower effect on yield than mSWP in the years 2013 and 2015 (Table 7).
Table 6.
Total yield and marketable yield for netirrigation treatments during the years 2013, 2014, and 2015. Means are followed by standard error. The interaction between treatments and crop load was not found to be significant. The effect of crop load alone was considered significant (**), thus, when ** occurs, each value is the LS means of an ANCOVA (mean of 4 trees). When no effects are detected, each value is the result of a simple ANOVA (mean of 4 trees). The presence of different letters indicates significant differences at p < 0.05. No letters indicate no significant differences. On the right side of the table, linear contrast F values for each year are shown; values below 0.05 are considered significant.
Table 7.
Correlation coefficient (r), slope, and significance (p-value) of the linear relationships between the calculated harvest and quality parameters (vertically listed) and midday stem water potential and crop load (horizontally listed) for the 2013, 2014, and 2015 seasons.
3.7. Fruit Quality and Sensory Evaluation
SSC and RDM were consistently higher under ws when irrigation treatments caused evident differences in mSWP in 2013 and 2015 (Table 8), plus the interaction between higher shading and level of water was also significant (Table 8), indicating that even under intense shading, ws conditions improved the aforementioned parameters. Consequently, both traits were significantly correlated with mSWP. Negative relationships were observed between SSC and mSWP in 2013 and 2015, with r values around 0.9 (Table 7), and RDM was also negatively related to mSWP, but only in 2015 (Table 7). Along with SSC and RDM, the SSC/TA ratio also appeared consistently significant when comparing irrigation treatments and the interaction between higher shading and level of water (Table 8); however, this did not result to be dependent upon mSWP, if only in 2013 (results not shown). The linear contrast analyses indicated a significant effect of irrigation in some cases for other traits but not consistently enough in all the cases to declare that the effect is associated with irrigation (Table 8). Regarding shading, the maturity index appeared to be influenced, where a higher shade % seemed to accelerate the ripening process (years 2013 and 2015), whereas the other parameters responded to shading treatments only in 2015 (Table 8). The interaction between irrigation treatments and nets was visible only for FFF, whereas the interaction between irrigation and 50% shading was visible in more parameters, such as ripeness, FFF, and TA. Regarding sensory quality assessed in 2013 and 2014, sensorial traits did not differ between treatments (Table 9), except for higher firmness in the Www in comparison with Rws conditions in 2014. In 2013, the only year in which a consumer panel was organized, consumers indicated that ws fruit was sweeter than ww fruit under the white and black nets (Table 10). This result was also observed when considering both ww and ws fruit for all the treatments. Significant positive correlations were found between SSC and consumer perceived sweetness, and between SSC and consumer acceptance. (Figure 3).
Table 8.
Effect of shading and irrigation on fruit quality traits during the years 2013, 2014, and 2015. The presence of different letters indicates significant differences at p < 0.05. No letters indicate no significant differences. In the lower part of the table, F values of linear contrast for each year are shown; values below 0.05 are considered significant.
Table 9.
Panel test mean scores of shading and irrigation effects on fruit sensory traits during the years 2013 and 2014. Different letters indicate significant differences at p < 0.05. No letters indicate no significant differences. In the lower part of the table, F values of linear contrast for each year are shown; values below 0.05 are considered significant.
Table 10.
Effect of shading and irrigation on consumer acceptance and sweetness perception for the year 2013. Values are expressed as number of consumers followed by p significance (upper table), and percentage (lower table).
Figure 3.
Relationships between soluble solid content and consumer perceived sweetness (A) and consumer acceptance (B). The relationships are fitted with linear regression, where equation, r, and p-values are reported.
4. Discussion
Reducing incoming light between 12% and 25% with shading nets has been tested in apple orchards to protect trees from excess light and high temperatures [10]. In this study the sustainability of increasing shading from 28 to 50% under ww and ws conditions was explored over three growing seasons, with different weather conditions during summer (Figure 1): two hot, dry summers (2013 and 2015) and a milder rainy summer (2014). High shading intensity, around 50%, was tested with two nets of different colors, R and W, though the purpose was not to test the chromatic effect nor to have replicates of 50% of shading. Another important experimental aspect for interpreting the study results is related to the fact that shading was applied from full canopy development until harvest during the three years. This may have prevented multiple effects of shading on canopy development, leaf morphology, and fruit set, as found in other studies [24,25,26,27,28]. It is therefore likely that in this study, the consequences of shading on fruit industry relevant traits (yield and quality) were mainly due to tree water relations and leaf gas exchanges experienced during the period when the nets where present in the orchard. Under these experimental conditions, the modification of the orchard microclimate may be the first consequence related to the presence of shading nets over the apple trees [10,29], with potential reductions in solar radiation (48–56% reduction) and air temperature, and an increase in relative humidity [16]. It is expected that trees grown under 50% shading may have less stressful microclimatic conditions than those grown under 28% of shading [12,30]. However, the absence of temperature and humidity sensors in this trial did not allow us to confirm the magnitude of change in the microclimatic conditions, except for the reduction of incoming light. The second consequence of placing nets in an apple orchard is the reduction of tree water demands under the less stressful microclimatic conditions [16,30], with lower requirements under 50% than under 28% of shading [31]. Consequently, when trees grown under 28 and 50% shading received the same amount of water over three growing seasons in this study, an improved tree water status in trees grown under 50% shading was always observed (Figure 2). The differences were more marked in dry seasons (2013 and 2015) (Figure 2a,c) and less pronounced, though still significant, in a rainy season such as the one in 2014 (Figure 2b). Therefore, the capacity of shading to improve tree water status can be considered an advantage, as previously mentioned in other studies [16,31]. Another consequence of increasing shading from 28 to 50% may be expected in leaf gas exchanges, since An and gs are linearly related to light intensity until about 1500 μmol m−2 s−1 [32]. However, increasing shading from 28 to 50% did not have any negative impacts on gas exchanges over the three experimental years (Table 2 and Table 3). On the contrary, leaf gas exchanges of trees grown under 50% shading seemed to benefit from the improved water status, as observed in other studies combining similar levels of shading and water stress (42% of shading in Nicolás et al. [17], 50% of shading in Boini et al. [31] and Lopez et al. [13]). This may indicate that leaf gas exchanges are more sensitive to tree water status than to shading intensity, at least in years with high evaporative demand (Et0) such as those observed in 2013 and 2015 (Figure 1 and Figure 2). Therefore, from a water relation and leaf gas exchange point of view, it seems that there is a low risk of reducing tree carbohydrate assimilation if shading is increased from 28 to 50%. The adequate leaf functionality for carbohydrate assimilation under high levels of shading has been previously reported in multiple studies [13,24,31,33], however, yield results are not always reported along with eco-physiological measurements [10]. If leaf functionality is not impaired under a high level of shading, no negative effect of increasing shading from 28 to 50% should be observed in fruit growth and yield. That was the case for fruit AGR, total yield, and marketable yield (Table 5 and Table 6). In general, increasing shade did not reduce these three important yield determinants during the three experimental years, both under ww and ws. From this result, it seems therefore that shading up to 50% can be sustainable in an apple orchard in the case that irrigation levels are adjusted to the demands of the tree. Regarding fruit quality, only the fruit maturity index appeared to be influenced when trees were grown under 28% or 50% shading (Table 8), however, the modifications were not consistent in all the years and it is difficult to determine how shading altered fruit quality. No significant trends were found for the other fruit composition traits (Table 8), sensory attributes (Table 9), or consumer perception (Table 10) in response to shading. These results should be confirmed by other studies. There are multiple apple varieties cultivated worldwide for their different quality properties and it is not necessarily true that all varieties could develop their optimal commercial quality under high levels of shading [10]. It should be underlined that fruit quality traits under protective netting often change more based on the growing season and environmental conditions than as a result of different nets [34], resulting in light-related studies often giving contradictory results. Apple crop performance over longer periods of time may be necessary to further test the effects of shade, also since the life of an apple orchard can range between 15 and 25 years. This kind of long-term study (longer than 10 years) has not been performed yet for netting studies and is only available for rootstock evaluation in apple orchards such as the one from Reig et al. [35].
Although severe shading did not have clear consequences on fruit quality (Table 8) and no clear negative effects on marketable yield (Table 6), ws consistently reduced marketable yield (Table 6) and increased the values of quality traits, such as SSC and RDM in the dry seasons of 2013 and 2015 for all the nets (Table 8). During the seasons of 2013 and 2015, irrigation treatments seemed to play a major role in determining final fruit size, with lower marketable yields in ws trees (Table 6). This may be partly explained by the reduction in leaf gas exchange activity (An and gs) ((Table 2 and Table 3) due to the more negative mSWP experienced by ws trees (Figure 2) [36]. As AGR was linearly related to mSWP (Table 7), it appears evident that low amounts of water will decrease seasonal fruit growth, and therefore marketable yield will be penalized [37,38]. Similar results were found in the literature [39,40,41], confirming the high susceptibility of the apple crop to water stress. A seven-year study reported, however, that long-term water stress in apple will generally decrease vegetative growth while dedicating resources to productive structures and growth [42]. Apple growers should therefore be concerned about the maintenance of optimal tree water status, regardless of shaded or unshaded trees. Regarding quality under ws, the increase in SSC and RDM is consistent with multiple reports as reviewed by Naor [43], Behboudian et al. [44], Francaviglia et al. [45], and multiple studies performed by Mpelasoka et al. [46,47,48]. A detailed long-term study example for SSC is the three-year report by Leib et al. [49], with the Fuji apple, where it was shown that SSC for deficit irrigated fruit was higher than that of the control irrigated fruit for each of the three years. Increases in SSC and RDM were also reported in many other fruit crops subjected to water stress, such as peach [50,51,52,53], nectarine [54], prune [55,56], and pear [57,58]. In general, increases under moderate water stress conditions are always of similar magnitude, about 1.0 and 1.5 °Brix for SSC (Table 8, in the year 2013) [59,60,61], and could reach increases of up to 3–4 °Brix under severe levels of water stress (Table 8, in 2015) [52,58]. What is not completely clear in the scientific literature is whether consumers can positively perceive those increases in apple SSC and RDM. In apple, SSC has been mentioned to have a marked influence on the sensory quality [62] and RDM has been considered a good indicator of consumer perception [63], indicating that consumers could prefer fruit with high RDM values. However, to date, no deficit irrigation study in apple has combined fruit quality analyses with sensory analyses, perhaps due to the difficulty of combining two different disciplines of science: horticulture and sensory studies with trained panels and consumers. When this was done in the first year of this study (2013), a significant correlation between SSC, consumer acceptance, and consumer perception of sweetness (Figure 3B) was observed. An increase of 2 °Brix was accompanied by an increase of 20% in consumer acceptance (Figure 3A). Consumers may have preferred fruit from ws trees, as they were perceived as sweeter (Table 10). The trained panel performing the descriptive analysis did not detect the increase in these two parameters in 2013 or 2014, as occurred in other studies for peach, where consumers were more discriminant than trained panelists [54]. The consumer test was specifically designed to detect differences between water stress treatments. Further studies with deficit irrigation should incorporate sensory panels because they can provide additional information to classical fruit analyses [52,58]. As a final remark for apple quality, this study confirms that apple quality can benefit from deficit irrigation and, for the first time, positive perceptions by the consumers were mentioned. If increases in quality were able to economically compensate the reduction in marketable yield, fruit growers could leverage the water status of the trees to obtain the desired quality level. That is the case for other crops, such as grapevine, where growers use plant water status to their own advantage to obtain an optimal equilibrium between berry quality and yield [64].
5. Conclusions
Increasing shading from 28% up to 50% in apple orchards located in areas with high light intensities would not be a risk since the trees maintained their leaf gas exchange capacity, yield, and quality over three years. Moreover, trees with only 50% of incoming light benefited from improved water status. Shading up to 50% may therefore be considered sustainable in apple orchards. If shading is commercially implemented in orchards, it seems apparent that irrigation should be always adjusted to the shading level. The low amount of irrigation applied to shaded trees would not be enough to satisfy water demand in unshaded trees. To have a more exhaustive overview, Supplementary Materials has been added (Tables S1–S7), where the results of the three years have been merged and analyzed. In this study, maintaining the optimal water status was found to be crucial for optimal fruit growth, gas exchanges, and yield. Water stress penalized fruit growth rate and decreased marketable yield. Fruit growers therefore need to maintain optimal water status to optimize yield. On the other hand, positive effects of water stress were found in fruit soluble solid concentration and relative dry matter. Consumers preferred fruit from water stressed trees and may appreciate the use of techniques that reduce the use of natural resources, in this case, water. Given the likely reductions of water availability in agriculture, growers and consultants could consider shading apple orchards as a sustainable and safe horticultural technique to save water.
Supplementary Materials
The following are available online at https://www.mdpi.com/2073-4395/11/3/422/s1. Table S1: effects of treatments, linear contrasts and mean values on mSWP, averaged during the three years; values below 0.05 and different letters were considered significant. Table S2: effects of treatments and load, linear contrasts and LS mean values on mid-season leaf gas exchanges, averaged during the three years; values below 0.05 and different letters were considered significant. Table S3: effects of treatments and load, linear contrasts and LS mean values on pre-harvest leaf gas exchanges, averaged during the three years; values below 0.05 and different letters were considered significant. Table S4: effects of treatments, load and their interaction, linear contrasts and LS mean values on fruit absolute growth rate, averaged during the three years; values below 0.05 and different letters were considered significant. Table S5: effects of treatments and load, linear contrasts and LS mean values on harvest parameters, averaged during the three years; values below 0.05 and different letters were considered significant. Table S6: effects of treatments, linear contrasts and mean values on quality parameters, averaged during the three years; values below 0.05 and different letters were considered significant. Table S7: effects of treatments, linear contrasts and mean values on panel test parameters, averaged during the three years; values below 0.05 and different letters were considered significant.
Author Contributions
Conceptualization, L.C.G., G.L., L.M., B.M., and S.P.; methodology, G.L., L.C.G., L.M., B.M., and S.P.; validation, G.L., A.B., L.C.G., L.M., B.M., S.P., and G.M.D.; formal analysis, G.L., A.B., and G.M.D.; investigation and data curation, A.B., G.L., and G.M.D.; writing—original draft preparation, A.B. and G.L.; writing—review and editing, A.B. and G.L.; visualization, A.B.; supervision, G.L. and L.C.G. All authors have read and agreed to the published version of the manuscript.
Funding
This work was supported by the ARIMNET research program APMed (Apple and Peach in Mediterranean orchards-Integrating tree water status and irrigation management for coping with water scarcity and aphid control).
Acknowledgments
The authors thank Polysack for the distribution of their commercial nets, and Marco Zibordi, Emanuele Pierpaoli, José Manuel Torres-Ruíz, and Gianmarco Bortolotti for technical support in the data collection.
Conflicts of Interest
The authors declare no conflict of interest.
References
- Campbell, R.J.; Marini, R.P.; Birch, J.B. Canopy position affects light response curves for gas exchange characteristics of apple spur leaves. J. Am. Hort. Sci. 1992, 117, 467–472. [Google Scholar] [CrossRef]
- Cheng, L.; Fuchigami, L.H.; Breen, P.J. Light absorption and partitioning in relation to Nitrogen content in “Fuji” apple leaves. J. Am. Hort. Sci. 2000, 125, 581–587. [Google Scholar] [CrossRef]
- Husen, J.; Dequan, L. Relationship between photosystem 2 apple tree electron transport and photosynthetic CO2 assimilation responses to irradiance in young leaves. Photosynthetica 2002, 40, 139–144. [Google Scholar] [CrossRef]
- Medina, C.L.; Souza, R.P.; Machado, E.C.; Ribeiro, R.V.; Silva, J.A. Photosynthetic response of citrus grown under reflective aluminized polypropylene shading nets. Sci. Hortic. 2002, 96, 115–125. [Google Scholar] [CrossRef]
- Losciale, P.; Chow, W.S.; Corelli Grappadelli, L. Modulating the light environment with the peach ‘asymmetric orchard’: Effects on gas exchange performances, photoprotection, and photoinhibition. J. Exp. Bot. 2010, 61, 1177–1192. [Google Scholar] [CrossRef] [PubMed]
- Chow, W.S.; Aro, E.M. Photoinactivation and mechanisms of recovery. In Photosystem II: The Light Driven Water: Plastoquinone Oxidoreductase. Advances in Photosynthesis and Respiration; Wydrzynski, T.J., Satoh, K., Eds.; Springer: Dordrecht, The Netherlands, 2005; Volume 22, pp. 627–648. [Google Scholar] [CrossRef]
- Losciale, P. Light Energy Management in Peach: Utilization, Photoprotection, Photodamage and Recovery. Maximizing Light Absorption in Orchard Is Not Always the Best Solution. Ph.D. Thesis, Bologna University, Bologna, Italy, 2008. [Google Scholar]
- Mupambi, G.; Layne, D.R.; Kalcsits, L.A.; Musacchi, S.; Serra, S.; Schmidt, T.; Hanrahan, I. Use of Protective Netting in Washington State Apple Production; Washington State University Extension Publication: Pullman, WA, USA, 2019; pp. 1–20. [Google Scholar]
- Serra, S.; Borghi, S.; Mupambi, G.; Camargo-Alvarez, H.; Layne, D.; Schmidt, T.; Kalcsits, L.; Musacchi, S. Photoselective Protective Netting Improves “Honeycrisp” Fruit Quality. Plants 2020, 9, 1708. [Google Scholar] [CrossRef] [PubMed]
- Mupambi, G.; Anthony, B.M.; Layne, D.R.; Musacchi, S.; Serra, S.; Schmidt, T.; Kalcsits, L.A. The influence of protective netting on tree physiology and fruit quality of apple: A review. Sci. Hortic. 2018, 236, 60–72. [Google Scholar] [CrossRef]
- Climate Change. Available online: https://climate.copernicus.eu/ (accessed on 10 October 2020).
- Arthurs, S.P.; Stamps, R.H.; Giglia, F.F. Environmental modification inside photoselective shadehouses. HortScience 2013, 48, 975–979. [Google Scholar] [CrossRef]
- Lopez, G.; Boini, A.; Manfrini, L.; Torres-Ruiz, J.M.; Pierpaoli, E.; Zibordi, M.; Losciale, P.; Morandi, B.; Corelli-Grappadelli, L. Effect of shading and water stress on light interception, physiology and yield of apple trees. Agric. Water Manag. 2018, 210, 140–148. [Google Scholar] [CrossRef]
- Corollaro, M.L.; Manfrini, L.; Endrizzi, I.; Aprea, E.; Demattè, M.L.; Charles, M.; Bergamaschi, M.; Biasoli, F.; Zibordi, M.; Corelli Grappadelli, L.; et al. The effect of two orchard light management practices on the sensory quality of apple: Fruit thinning by shading or photo-selective nets. J. Hort. Sci. Biotech. 2015, 90, 99–107. [Google Scholar] [CrossRef]
- Predieri, S.; Gatti, E.; Medoro, C.; Cianciabella, M.; Infante, R.; Mari, L. Consumer tests for monitoring optimal ‘Abate Fetel’ pear eating quality. Eur. J. Hort. Sci. 2014, 79, 36–42. [Google Scholar]
- Girona, J.; Behboudian, M.H.; Mata, M.; Del Campo, J.; Marsal, J. Effect of hail nets on the microclimate, irrigation requirements, tree growth, and fruit yield of peach orchards in Catalonia (Spain). J. Hort. Sci. Biotech. 2012, 87, 545–550. [Google Scholar] [CrossRef]
- Nicolás, E.; Barradas, V.; Ortuño, M.; Navarro, A.; Torrecillas, A.; Alarcón, J. Environmental and stomatal control of transpiration, canopy conductance and decoupling coefficient in young lemon trees under shading net. Environ. Exp. Bot. 2008, 63, 200–206. [Google Scholar] [CrossRef]
- Naor, A.; Girona, J. Apple. In Crop Yield Response to Water, FAO Irrigation and Drainage Paper 66; Steduto, P., Hsiao, T.C., Eds.; Food and Agriculture Organization of the United Nations: Rome, Italy, 2012; pp. 332–345. [Google Scholar]
- Girona, J.; Mata, M.; Del Campo, J.; Arbonés, A.; Bartra, E.; Marsal, J. The use of midday leaf water potential for scheduling deficit irrigation in vineyards. Irrig. Sci. 2006, 24, 115–127. [Google Scholar] [CrossRef]
- Turner, N.C.; Long, M.J. Errors arising from rapid water loss in the measurement of leaf water potential by the pressure chamber technique. Aust. J. Plant Physiol. 1980, 7, 527–537. [Google Scholar] [CrossRef]
- Costamagna, F.; Giordani, L.; Costa, G.; Noferini, M. Use of AD Index to define harvest time and characterize ripening variability at harvest in ‘Gala’ Apple. In Acta Horticulturae, Proceedings of the EUFRIN Thinning Working Group Symposia: Catalonia (Spain), Wageningen (Netherlands) and Ljubljana (Slovenia), 9 March 2012; Blanke, M.M., Costa, G., Eds.; ISHS: Leuven, Belgium, 2013; pp. 117–123. [Google Scholar] [CrossRef]
- Bonany, J.; Carbó, J.; Echeverria, G.; Hilaire, C.; Cottet, V.; Iglesias, I.; Jesionkowska, K.; Konopacka, D.; Kruczyńska, D.; Martinelli, A.; et al. Eating quality and European consumer acceptance of different peach (Prunus persica (L.) Batsch) varieties. J. Food Agric. Environ. 2014, 12, 67–72. [Google Scholar] [CrossRef]
- Meilgaard, M.C.; Civille, G.V.; Carr, B.T. Sensory Evaluation Techniques; Taylor & Francis Group, United States: Oxfordshire, UK, 2015. [Google Scholar]
- Bastías, R.M.; Manfrini, L.; Grappadelli, L.C. Exploring the potential use of photoselective nets for fruit growth regulation in apple | [Explorando el uso potencial de mallas foto-selectivas para la regulación del crecimiento de fruto en manzano]. Chil. J. Agric. Res. 2012, 72, 224–231. [Google Scholar] [CrossRef]
- Solomakhin, A.; Blanke, M. Coloured hailnets alter light transmission, spectra and phytochrome, as well as vegetative growth, leaf chlorophyll and photosynthesis and reduce flower induction of apple. Plant Growth Regul. 2008, 56, 211–218. [Google Scholar] [CrossRef]
- Shahak, Y.; Gussakovsky, E.E.; Cohen, Y.; Lurie, S.; Stern, R.; Kfir, S.; Naor, A.; Atzmon, I.; Doron, I.; Greenblat-Avron, Y. ColorNets: A new approach for light manipulation in fruit trees. In Proceedings of the XXVI International Horticultural Congress: Key Processes in the Growth and Cropping of Deciduous Fruit and Nut Trees, Toronto, ON, Canada, 11 August 2002; Webster, A.D., Ed.; ISHS: Leuven, Belgium, 2004; pp. 609–616. [Google Scholar] [CrossRef]
- Do Amarante, C.V.T.; Steffens, C.A.; Argenta, L.C. Yield and fruit quality of ‘Gala’ and ‘Fuji’ apple trees protected by white anti-hail net. Sci. Hortic. 2011, 129, 79–85. [Google Scholar] [CrossRef]
- Kong, Y.; Avraham, L.; Ratner, K.; Shahak, Y. Response of photosynthetic parameters of sweet pepper leaves to light quality manipulation by photoselective shade nets. In Proceedings of the VII International Symposium on Light in Horticultural Systems, Wageningen, The Netherlands, 14 October 2012; Hemming, S., Heuvelink, E., Eds.; ISHS: Leuven, Belgium, 2012; pp. 501–506. [Google Scholar] [CrossRef]
- Basile, B.; Giaccone, M.; Cirillo, C.; Ritieni, A.; Graziani, G.; Shahak, Y.; Forlani, M. Photoselective hail nets affect fruit size and quality in Hayward kiwifruit. Sci. Hortic. 2012, 141, 91–97. [Google Scholar] [CrossRef]
- Green, S.; McNaughton, K.; Wünsche, J.N.; Clothier, B. Modeling light interception and transpiration of apple tree canopies. J. Agron. 2003, 95, 1380–1387. [Google Scholar] [CrossRef]
- Boini, A.; Lopez, G.; Morandi, B.; Manfrini, L.; Corelli-Grappadelli, L. Testing the effect of different light environments and water shortage on apple physiological parameters and yield. In Proceedings of the XI International Symposium on Integrating Canopy, Rootstock and Environmental Physiology in Orchard Systems, Bologna, Italy, 28 August 2016; Corelli Grappadelli, L., Ed.; ISHS: Leuven, Belgium, 2018; pp. 397–403. [Google Scholar] [CrossRef]
- Jackson, J.E. Biology of Apple and Pears; University of Cambridge: Cambridge, UK, 2003. [Google Scholar]
- Kong, Y.; Avraham, L.; Perzelan, Y.; Alkalai-Tuvia, S.; Ratner, K.; Shahak, Y.; Fallik, E. Pearl netting affects postharvest fruit quality in ‘Vergasa’ sweet pepper via light environment manipulation. Sci. Hortic. 2013, 150, 290–298. [Google Scholar] [CrossRef]
- Stampar, F.; Veberic, R.; Zadravec, P.; Hudina, M.; Usenik, V.; Solar, A.; Osterc, G. Yield and fruit quality of apples cv. ‘Jonagold’ under hail protection nets/Ertrag und fruchtqualität der apfelsorte ‘Jonagold’ unter hagelschutznetzen. Gartenbauwissenschaft 2002, 67, 205–210. [Google Scholar]
- Reig, G.; Lordan, J.; Fazio, G.; Grusak, M.A.; Hoying, S.; Cheng, L.; Francescatto, P.; Robinson, T. Horticultural performance and elemental nutrient concentrations on ‘Fuji’ grafted on apple rootstocks under New York State climatic conditions. Sci. Hortic. 2018, 227, 22–37. [Google Scholar] [CrossRef]
- Lebese, T.C.; Stassen, P.J.C.; Midgley, S.J.E. Photosynthetic capacity and diurnal gas exchange of ‘brookfield gala’ apple leaves under three irrigation systems. S. Afr. J. Plant Soil 2011, 28, 55–63. [Google Scholar] [CrossRef]
- Naschitz, S.; Naor, A.; Genish, S.; Wolf, S.; Goldschmidt, E. Internal management of non-structural carbohydrate resources in apple leaves and branch wood under a broad range of sink and source manipulations. Tree Physiol. 2010, 30, 715–727. [Google Scholar] [CrossRef] [PubMed]
- Boini, A.; Manfrini, L.; Bortolotti, G.; Corelli-Grappadelli, L.; Morandi, B. Monitoring fruit daily growth indicates the onset of mild drought stress in apple. Sci. Hortic. 2019, 256, 108520. [Google Scholar] [CrossRef]
- Ebel, R.C.; Proebsting, E.L.; Evans, R.G. Apple tree and fruit responses to early termination of irrigation in a semi-arid environment. HortScience 2001, 36, 1197–1201. [Google Scholar] [CrossRef]
- Girona, J.; Behboudian, M.H.; Mata, M.; Del Campo, J.; Marsal, J. Exploring six reduced irrigation options under water shortage for ‘Golden Smoothee’ apple: Responses of yield components over three years. Agric. Water Manag. 2010, 98, 370–375. [Google Scholar] [CrossRef]
- Chenafi, A.; Carlen, C.; Boudoukha, A.; Hofer, A.; Monney, P. Evaluation of regulated deficit irrigation for apple trees cv. “gala” based on midday stem water potential and soil matrix potential. In Proceedings of the VII International Symposium on Irrigation of Horticultural Crops, Geisenheim, Germany, 16 July 2012; Stoll, M., Braun, P., Eds.; ISHS: Leuven, Belgium, 2014; pp. 137–144. [Google Scholar] [CrossRef]
- Yang, W.; Pallas, B.; Durand, J.B.; Martinez, S.; Han, M.; Costes, E. The impact of long-term water stress on tree architecture and production is related to changes in transitions between vegetative and reproductive growth in the’ Granny Smith’ apple cultivar. Tree Physiol. 2016, 36, 1369–1381. [Google Scholar] [CrossRef] [PubMed]
- Naor, A. Irrigation scheduling of peach—Deficit irrigation at different phenological stages and water stress assessment. In Proceedings of the VI International Peach Symposium, Santiago, Chile, 9 January 2005; Infante, R., Ed.; ISHS: Leuven, Belgium, 2006; pp. 339–349. [Google Scholar] [CrossRef]
- Behboudian, M.H.; Marsal, J.; Girona, J.; Lopez, G. In Quality and Yield Responses of Deciduous Fruits to Reduce Irrigation. Hortic. Rev. 2011, 38, 149–189. [Google Scholar]
- Francaviglia, D.; Farina, V.; Avellone, G.; Lo Bianco, R. Fruit yield and quality responses of apple cvars gala and fuji to partial rootzone drying under mediterranean conditions. J. Agric. Sci. 2013, 151, 556–569. [Google Scholar] [CrossRef]
- Mpelasoka, B.S.; Behboudian, M.H.; Dixon, J.; Neal, S.M.; Caspari, H.W. Improvement of fruit quality and storage potential of ‘braeburn’ apple through deficit irrigation. J. Hortic. Sci. Biotechnol. 2000, 75, 615–621. [Google Scholar] [CrossRef]
- Mpelasoka, B.S.; Behboudian, M.H.; Ganesh, S. Fruit quality attributes and their interrelationships of’ Braeburn’ apple in response to deficit irrigation and to crop load. Gartenbauwissenschaft 2001, 66, 247–253. [Google Scholar]
- Mpelasoka, B.S.; Behboudian, M.H.; Mills, T.M. Effects of deficit irrigation on fruit maturity and quality of ‘Braeburn’ apple. Sci. Hortic. 2001, 90, 279–290. [Google Scholar] [CrossRef]
- Leib, B.G.; Caspari, H.W.; Redulla, C.A.; Andrews, P.K. Partial root zone drying and deficit irrigation on ‘Fuji’ apples in semi-arid climate. Irrig. Sci. 2006, 24, 85–99. [Google Scholar] [CrossRef]
- Crisosto, C.H.; Johnson, R.S.; Luza, J.G.; Crisosto, G.M. Irrigation regimes affect fruit soluble solids concentration and rate of water loss of ‘O’Henrys’ peaches. HortScience 1994, 29, 1169–1171. [Google Scholar] [CrossRef]
- Lopez, G.; Behboudian, M.H.; Vallverdu, X.; Mata, M.; Girona, J.; Marsal, J. Mitigation of severe water stress by fruit thinning in ‘O’Henry’ peach: Implications for fruit quality. Sci. Hortic. 2010, 125, 294–300. [Google Scholar] [CrossRef]
- Lopez, G.; Behboudian, M.H.; Echeverria, G.; Girona, J.; Marsal, J. Instrumental and sensory evaluation of fruit quality for ‘Ryan’s Sun’ peach grown under deficit irrigation. HortTechnology 2011, 21, 712–719. [Google Scholar] [CrossRef]
- Alcobendas, R.; Mirás-Avalos, J.M.; Alarcón, J.J.; Nicolás, E. Effects of irrigation and fruit position on size, colour, firmness and sugar contents of fruits in a mid-late maturing peach cultivar. Sci. Hortic. 2013, 164, 340–347. [Google Scholar] [CrossRef]
- Lopez, G.; Echeverria, G.; Bellvert, J.; Mata, M.; Behboudian, M.H.; Girona, J.; Marsal, J. Water stress for a short period before harvest in nectarine: Yield, fruit composition, sensory quality, and consumer acceptance of fruit. Sci. Hortic. 2016, 211, 1–7. [Google Scholar] [CrossRef]
- Naor, A.; Peres, M.; Greenblat, Y.; Gal, Y.; Ben Arie, R. Effects of pre-harvest irrigation regime and crop level on yield, fruit size distribution and fruit quality of field-grown ‘Black Amber’ Japanese plum. J. Hortic. Sci. Biotechnol. 2004, 79, 281–288. [Google Scholar] [CrossRef]
- Intrigliolo, D.S.; Castel, J.R. Response of plum trees to deficit irrigation under two crop levels: Tree growth, yield and fruit quality. Irrig. Sci. 2010, 28, 525–534. [Google Scholar] [CrossRef]
- Ramos, D.E.; Weinbaum, S.A.; Shackel, K.A.; Schwankle, L.J.; Mitcham, E.J.; Mitchell, F.G.; Snyder, R.G.; Mayer, G.; McGourt, G. Influence of tree water status and canopy position on fruit size and quality of Bartlett pears. In Proceedings of the VI International Symposium on Pear Growing, Medford, OR, USA, 12 July 1993; Sugar, D., Ed.; ISHS: Leuven, Belgium, 1994; pp. 192–200. [Google Scholar] [CrossRef]
- Lopez, G.; Larrigaudiere, C.; Girona, J.; Behboudian, M.H.; Marsal, J. Fruit thinning in ‘Conference’ pear grown under deficit irrigation: Implications for fruit quality at harvest and after cold storage. Sci. Hortic. 2011, 129, 64–70. [Google Scholar] [CrossRef]
- O’Connell, M.G.; Goodwin, I. Responses of ‘Pink Lady’ apple to deficit irrigation and partial rootzone drying: Physiology, growth, yield, and fruit quality. Aust. J. Agric. Res. 2007, 58, 1068–1076. [Google Scholar] [CrossRef]
- Gelly, M.; Recasens, I.; Girona, J.; Mata, M.; Arbones, A.; Rufat, J.; Marsal, J. Effects of water deficit during stage II of peach fruit development and postharvest on fruit quality and ethylene production. J. Hortic. Sci. Biotechnol. 2003, 78, 324–330. [Google Scholar] [CrossRef]
- Gelly, M.; Recasens, I.; Girona, J.; Mata, M.; Arbones, A.; Rufat, J.; Marsal, J. Effects of stage II and postharvest deficit irrigation on peach quality during maturation and after cold storage. J. Sci. Food Agric. 2004, 84, 561–568. [Google Scholar] [CrossRef]
- Ackermann, J.; Fischer, M.; Amadò, R. Changes in Sugars, Acids, and Amino Acids during Ripening and Storage of Apples (cv. Glockenapfel). J. Agric. Food Chem. 1992, 40, 1131–1134. [Google Scholar] [CrossRef]
- Palmer, J.W.; Harker, F.R.; Tustin, D.S.; Johnston, J. Fruit dry matter concentration: A new quality metric for apples. J. Sci. Food Agric. 2010, 90, 2586–2594. [Google Scholar] [CrossRef] [PubMed]
- Ojeda, H. Irrigation qualitative de précision de la vigne. Prog. Agric. Vitic. 2007, 7, 133–141. [Google Scholar]
Publisher’s Note: MDPI stays neutral with regard to jurisdictional claims in published maps and institutional affiliations. |
© 2021 by the authors. Licensee MDPI, Basel, Switzerland. This article is an open access article distributed under the terms and conditions of the Creative Commons Attribution (CC BY) license (http://creativecommons.org/licenses/by/4.0/).


