Abstract
This study provides the basis for implementing a continuous treatment system for wastewater containing a pesticide mixture formed by atrazine, iprodione, and chlorpyrifos. Two fungal strains (Verticilium sp. H5 and Metacordyceps sp. H12) isolated from a biomixture of a biopurification system were able to remove different pesticide concentrations (10 to 50 mg L−1) efficiently from the liquid medium; however, the half-life of the pesticides was reduced and characterized by a T1/2 of 5.4 to 9.2 d for atrazine, 3.7 to 5.8 d for iprodione, and 2.6 to 2.9 d for chlorpyrifos using the fungal consortium. The immobilization of the fungal consortium in alginate bead was effective, with the highest pesticide removal observed using an inoculum concentration of 30% wv−1. The packed-bed reactor with the immobilized fungal consortium, which was operated in the continuous mode at different flow rates (30, 60, and 90 mL h−1), required approximately 10 d to achieve removal efficiency (atrazine: 59%; iprodione: 96%; chlorpyrifos: ~85%). The bioreactor was sensitive to flow rate fluctuations but was able to recover performance quickly. The pesticide metabolites hydroxyatrazine, 3,5-dichloroaniline, and 3,5,6-trichloro-2-pyridinol were produced, and a slight accumulation of 3,5,6-trichloro-2-pyridinol was observed. Nevertheless, reactor removal efficiency was maintained until the study ended (60 d).
1. Introduction
The use of pesticides in agriculture helps to improve yields and prevent crop losses. Despite the benefits of pesticides for the human economy, use of these compounds often produces possible negative effects for the environment and human health [1,2]. Pesticide contamination results mainly from agricultural processes but also from the manufacturing, handling, improper storage, use in urban areas, and disposal of pesticides and wastes [3,4]. For example, large volumes of pesticide-contaminated effluents are produced during the postharvest treatment of fruits, where the pesticides guarantee the protection of the fruits from fungal infestations and physiological damage during storage [5]. Moreover, the occurrence of pesticides at extremely high concentrations in urban raw wastewaters has been observed as a consequence of non-agricultural uses [4].
Pesticide wastewater is usually inadequately disposed of. Several studies were conducted to evaluate both physical–chemical and biological processes to develop technologies able to resolve the problem of contamination via toxic residues generated by the local use of pesticides. At present, the most promising methods for pesticide removal, which could also be complemented by other methods, are biological treatments. In this context, different microbial species have been used as single microorganisms and microbial consortia, with the latter being less commonly studied. Microbial consortia have the potential to be more productive and robust than monocultures [6] because division of labor is crucial in pesticide decontamination, as individual toxic compounds or mixtures of toxic compounds often require several steps for degradation of both the original compounds and the metabolites; the latter, in many cases, are more toxic than the former [7,8].
Many fungi and bacteria are recognized as pesticide degraders [9]. Fungi are robust organisms able to readily minimize the toxicity of pesticides by modifying their chemical structures; moreover, fungi are more tolerant to high concentrations of pollutants than bacteria [10,11] due their interesting metabolic processes and powerful extracellular enzymatic systems. The use of fungi in biodegradation processes has increased in recent years due the ability of fungi to degrade pesticides such as endosulfan, chlorpyrifos (CHL), atrazine (ATZ), and diuron among many others [11].
The biopurification system (BPS) for pesticide removal is based on adsorption and degradation processes occurring in an organic biomixture composed of soil, peat, and wheat straw. This technology is very efficient in pesticide removal, achieving high levels of degradation for different pesticides that are commonly applied in farms, even after repeated applications [12]. In BPS, many diverse microorganisms, including bacteria and fungi, form part of the biomixture [12,13]. Recent studies report that microbial consortia and bacteria-single strains isolated from a BPS can efficiently remove pesticides such as CHL, iprodione (IPR), ATZ [12], 2,4-Dichlorophenoxyacetic acid, carbofuran, diazinon, and glyphosate [14], while the fungus Lecanicillium saksenae isolated from a contaminated biomixture was able to remove pendimethalin [15]. Therefore, from BPS, one can obtain some adapted microorganisms that can be used as inocula to increase efficiency in the treatment of pesticides.
Several studies have sought to identify the efficiency of the degradation processes and treatment technologies for the removal of pesticides from water [16,17]. The packed-bed bioreactor (PBR) can be packed with immobilized enzymes, or a single or consortia of microbial cells, as biocatalysts. By using both immobilized bacteria and fungi, the PBR has demonstrated itself to be effective for the treatment of water contaminated with pesticides [18,19]. However, the capacity of fungi isolated from BPS to form a microbial consortium for use in pesticide treatment systems remains almost unexplored. Therefore, the aim of this study was to evaluate the use of fungi strains isolated from a BPS as an immobilized fungal consortium for pesticide-contaminated water treatment. In this study, three compounds were taken as models of degradation: ATZ (herbicide), IPR (fungicide), and CHL (insecticide). Finally, we used microencapsulation in alginate beads as a model polymer to evaluate and verify the higher performance and extent of the biotransformation of pesticides in a continuous packed-bed bioreactor.
2. Materials and Methods
2.1. Pesticides
Analytical grade (99%) ATZ, hydroxyatrazine (HA), IPR, 3,5-dichloroaniline (3,5-DCA), CHL, and 3,5,6-trichlo-2-pyridinol (TCP) for chromatographic analyses by HPLC were purchased from Sigma-Aldrich (St. Louis, MO, USA). The stock solutions (1000 mg L−1) in acetone were sterilized by filtration through 0.22 μm pore-size membranes. For degradation assays, formulated commercial IPR (Rovral 50 WP), CHL (Troya 4EC), and ATZ (Atrazine 50 SC) were purchased from Agan Chemicals Manufacturers Ltd.a (Table 1). Commercial products were prepared individually in a stock solution of 10,000 mg L−1 in methanol, filtered through a 0.22 μm PTFE filter, and then stored at 4 °C until use. All other chemicals and solvents were of analytical reagent grade (Merck-Sigma, St. Louis, MO, USA).
Table 1.
Properties of pesticides used in this study.
2.2. Fungal Strains and Culture Media
Two fungal strains (H5 and H12) were isolated from a BPS used during the last three years for the treatment of ATZ, CHL, and IPR added at 50 mg kg−1 a.i. each, with re-application every 30 days [20]. The isolates were identified based on the 18S rRNA genes as Verticillium sp. strain H5 (99.33% similarity) and as Metacordyceps sp. strain H12 (99.88% similarity). The 18S rRNA gene sequences of strains H5 and H12 were deposited in GenBank under accession numbers MW654486 and MW654487, respectively.
Potato dextrose agar (PDA) containing (per L) 15 g agar, 20 g dextrose, and 4 g potato extract was used to maintain the fungal cultures on a slant at 4 °C and to start the fungal cultures. A modified Kirk medium (MKM) containing (per L) 10 g glucose, 2 g peptone, 2 g KH2PO4, 0.5 g MgSO4 × 7H2O, 0.1 g CaCl2, 0.002 g thiamin, and 10 mL mineral salt composition was used to conduct degradation assays via free and immobilized microorganisms. The initial pH of the MKM was adjusted to 5.5 prior to sterilization by autoclaving at 121 °C for 15 min.
2.3. Pesticides Degradation by Fungal Single Strains and Consortium
Pesticide degradation was evaluated by using the fungi as single strains and together as a fungal consortium. Starter cultures of fungal strains were grown for 14 d in plates containing a PDA medium. The pesticide degradation assays for ATZ, IPR, and CHL were carried out in 250 mL flasks containing 100 mL of MKM supplemented with a pesticide mixture at increasing concentrations of 0, 10, 20, and 50 mg L−1 each. To conduct the assay with single fungal strains, two discs (6 mm diameter) of agar with the active mycelium of each fungus were added to the respective flasks as the inoculum. To conduct the assay with the fungal consortium, one disc of agar with the active mycelium of each strain (H5 and H12) was added together to the flasks. The flasks were incubated for 21 days at 27 ± 1 °C on an orbital shaker at 100 rpm in darkness. Samples (5 mL) were taken at different times for ligninolytic enzyme analyses and to test pesticide concentration and pesticide metabolites via high-performance liquid chromatography (HPLC). For pesticide degradation, the kinetics parameters were calculated. All assays were conducted in triplicate.
2.4. Immobilization of Fungal Strains
The fungal strains Verticillium sp. H5 and Metacordyceps sp. H12, were grown in 100 mL of MKM using five disks (6 mm diameter) of agar with the active mycelium cultured previously in plates with the PDA medium. The incubation was conducted for a week at 27 ± 1 °C on an orbital shaker at 100 rpm in darkness. After that, the mycelia were washed with sterile distilled water and transferred to 50 mL centrifuge tubes. The centrifuge tubes with the mycelia were homogenized using an Ultra-turrax® OV5 VELP for 1 min at a speed of 30,000 rpm. Then, the samples were centrifuged at 10,000× g rpm for 10 min. The resulting pellet (2 g) was washed 3 times with sterile distilled water and re-suspended in 20 mL of sterile distilled water. The cell suspension (20 mL) was mixed in 180 mL of a sterile solution containing 3% w/v sodium alginate to a final concentration of 1% w/v (wet weight). Then, the mixture was homogenized using a magnetic stirrer and transferred dropwise into a solution of 0.1 M CaCl2 and incubated at room temperature for 6 h under agitation. The beads (2–3 mm in diameter) were washed three times with sterile distilled water and stored in a 0.9% physiological solution in closed and sterile containers at 4 °C. Beads without microorganisms were prepared as the control. The viability of the immobilized beads was verified via the growth of the fungi over a period of 14 d in a PDA medium. To determine the shapes and surface structures of the pellets, microphotographs of the beads and encapsulated biomass were obtained using a scanning electron microscope (SEM VP-SEM SU 3500, Hitachi-Tokyo, Japan). The individually immobilized fungal strains were used for subsequent studies under batch and continuous conditions (Section 2.5 and Section 2.6, respectively).
2.5. Pesticide Degradation by Immobilized Fungal Consortium in Batch Mode
The assay with the immobilized fungal consortium was conducted in 250 mL flasks containing 100 mL MKM. A pesticide mixture of ATZ, IPR, and CHL was added to the flasks at a concentration of 50 mg L−1 each. Then, an inoculum of 1.0, 15, and 30% w/v of immobilized fungi strains H5 and H12, as described in Section 2.4, was added into the flasks at a ratio of 1:1. Beads without biomass were also used as a control. The incubation was conducted for 21 d at 27 ± 1 °C on an orbital shaker at 100 rpm in darkness. At different times, samples (2 mL) were collected for the quantification of pesticides and their metabolites. The assay was conducted in triplicate.
2.6. Pesticide Degradation by Immobilized Fungal Consortium in Continuous Mode
The experimental setup for a continuous reactor was performed as described by Levio-Raiman et al. [21] with some modifications. Borosilicate glass columns (5 cm internal diameter × 15 cm length, working volume = 295 mL, Figure 1) were packed with the two individually immobilized fungi at an inoculum concentration of 30% w/v, as defined previously in Section 2.5. The pesticide solution was passed continuously through the columns in the down-flow mode by a peristaltic pump (Brand Biobase Model FPP3, YZ1515X) at increasing flow rates of 30, 60, and 90 mL h−1. The bioreactor operation was carried out for 60 days at room temperature (approximately 22 °C) and, at different times, samples (2 mL) were collected for quantification of the pesticides and their metabolites. The performance was evaluated in terms of the removal efficiency according to Equation (1):
where Ci and Ce are the inlet and outlet concentration of the pesticides in the bioreactor.
Figure 1.
Schematic diagram of the packed-bed bioreactor (PBR) used for the removal of pesticides via an immobilized fungal consortium.
2.7. Biological Activities
Laccase activity was assayed as the peroxide-independent degradation of 2,6-dimethoxyphenol (DMP) with 0.05 mol L−1 sodium malonate (pH 4.5) at 465 nm as described by de Jong et al. [22]. Manganese peroxidase (MnP) and manganese-independent peroxidase (MiP) activities were measured in a combined assay [22]. MnP activity was determined by spectrophotometrically monitoring the oxidation of DMP at 30 °C. MiP activity was measured in a reaction mixture containing 0.05 mol L−1 sodium malonate (pH 4.5), 1 × 10−3 mol L−1 DMP, 1 × 10−3 mol L−1 EDTA, and 50 µL of the culture medium in a total volume of 1 mL. The reaction was initiated by adding 4 × 10−4 mol L−1 H2O2 and was corrected for laccase activity. One MnP activity unit was defined as the amount of enzyme transforming 1 µmol of DMP per min. The MnP activity was corrected using the laccase and MiP activities.
2.8. Analyses of Pesticides and Metabolites
Samples were taken and treated according to the description by Briceño et al. [12]. The analysis was conducted using a Merck Hitachi L-2130 pump equipped with a Rheodyne 7725 injector and a Merck Hitachi L-2455 diode array detector. The separation was achieved using a C18 column (Chromolit RP-8e, 4.6 μm × 100 mm). The mobile phase was 70% 1 mM ammonium acetate and 30% acetonitrile with a flow rate of 1 mL min−1. The column temperature was maintained at 30 ± 1 °C; the detector was set for data acquisition at 220 nm for ATZ and 290 nm for IPR and CHL. Instrument calibrations and quantifications were performed against the pure reference standards (0.01–10 mg L−1) for each pesticide. Average recoveries for the pesticides were as follows: ATZ, 94 ± 1.7%; IPR, 92 ± 2.2%; and CHL, 101 ± 0.7%. The limit of quantification (LOQ) was determined using the smallest concentration of the analyte in the test sample that induced a signal ten times higher than the background noise level (ATZ = 0.298 mg L−1, CHL = 0.214 mg L−1, and IPR = 0.238 mg L−1). The limit of detection (LOD) was 0.03 mg L−1 for ATZ, 0.081 mg L−1 for CHL, and 0.089 mg L−1 for IPR.
2.9. Kinetics and Statistical Analysis
Removal of ATZ, IPR, and CHL from the liquid medium was fitted to the first-order kinetic model according to Equation (2):
where C0 is the amount of contaminant in the liquid medium at time zero, Ct is the amount of contaminant at time t, and k and t are the rate constant and degradation time in hours, respectively. The time at which the pesticide concentrations in the liquid medium were reduced by 50% (T1/2) was calculated using Equation (3):
Data were statistically analyzed by an analysis of variance (ANOVA) test, and three replicates were compared using Tukey’s minimum significant differences test (p ≤ 0.05). Statistical analyses were performed using SPSS statistical software version 17.
3. Results
3.1. Pesticide Removal by Single Fungi and Consortium
The removal of pesticides ATZ, IPR, and CHL by the Verticillium sp. H5 and Metacordyceps sp. H12 fungal strains at different incubation times and increasing pesticide concentrations is shown in Figure 2. The results showed that ATZ removal by strain H5 and H12 was significantly different (p < 0.05) when different time of incubation were evaluated. In general, ATZ removal after 21 d of incubation was 73% using strain H5, with less removed (64%) at a concentration of 50 mg L−1 (low inhibition). Conversely, strain H12 showed lower removal (up to 55%) than that observed for strain H5; however, no inhibition was observed after increasing the ATZ concentration (50 mg L−1). The IPR removal after 21 d of incubation with H5 and H12 fungal strains was >93% and >78%, respectively. However, during the first 15 d of incubation, an inhibition of IPR removal was observed for both strains exposed at the highest pesticide concentration. Significant differences (p < 0.05) between increased pesticide concentrations and the removal of IPR and CHL were observed. CHL degradation was the highest, with removal of >95% for strain H5 and 100% for strain H12 observed after 21 d of incubation (Table S1). Metabolites of ATZ, IPR, and CHL were not detected when using the single fungal strains.
Figure 2.
Atrazine (ATZ), iprodione (IPR), and chlorpyrifos (CHL) removal (%) when using the single fungi strains H5 (left) and H12 (right). The pesticide mixture was added into a liquid medium at concentrations of 10, 20, and 50 mg L−1 each.
The evolution of pesticide removal and metabolite production in the liquid medium for the consortium formed by strains H5 and H12 is shown in Figure 3. Pesticide removal was significantly different (p < 0.05) when different concentrations of pesticides and different times of incubation were evaluated. The main decrease in pesticide concentrations occurred during the first 6–9 d of incubation and, after 15 d IPR and CHL, removal was >95% (Table S1). However, ATZ removal was only 60% with the same period of incubation, and the ATZ concentration decreased slowly over time until reaching its final concentration between 0.7 mg L−1 and 9.6 mg L−1 at 10 mg L−1 and 50 mg L−1 ATZ concentrations, respectively.
Figure 3.
Pesticide removal (symbol filled with continuous line) and metabolite production (empty symbol with the dotted line) when using the fungal consortium. Atrazine (ATZ), iprodione (IPR), and chlorpyrifos (CHL) were added in mixture at initial concentrations of 10, 20, and 50 mg L−1 each.
In addition, the highest HA concentrations were observed between 12 to 15 d, with a maximum concentration of 0.86 mg L−1. The concentration of IPR dropped faster than ATZ during the first days of incubation, and then the curves showed a more stabilized tendency, ending the assay with a concentration between 0.2 and 2.1 mg L−1 at 10 and 50 mg L−1 IPR concentrations, respectively. The peak of 3,5-DCA production occurred at day 12, with a maximum concentration of 1.4 mg L−1. Finally, CHL disappeared rapidly, with the final CHL concentrations observed to be no higher than 0.2 mg L−1 at the end of the assay. The fast removal of CHL was accompanied by the rapid production of TCP with peaks of concentration ~1.2 mg L−1 in the liquid medium contaminated with 50 mg L−1 CHL.
Table 2 shows the kinetic data and T1/2 (p > 0.05) calculated for ATZ, IPR, and CHL using the single fungal strains and the consortium. ATZ removal via the single fungal strains was characterized by a rate constant (d−1) that fluctuated between 0.027 and 0.059 d−1 and a T1/2 between 11.8 and 25.8 d for strains H5 and H12, respectively. IPR removal was characterized by a rate constant of 0.047 to 0.099 d−1 and a T1/2 between 7.0 and 4.7 d for strains H5 and H12, respectively, while CHL was characterized by a rate constant between 0.137 and 0.218 d−1 and a T1/2 between 4.3 to 5.1 d and ~3.0 d for strains H5 and H12, respectively. However, with the fungal consortium, the T1/2 of pesticides decreased, ranging, according to the initial pesticide concentrations, between 5.4 and 9.2 d for ATZ, between 3.7 and 5.8 d for IPR, and less than 2.9 d for CHL. In this context, the ability to remove pesticides was as follows: fungal consortium > strains H5 > strain H12.
Table 2.
First-order kinetics parameters for pesticide removal in the liquid medium contaminated with a mixture of atrazine (ATZ), iprodione (IPR), and chlorpyrifos (CHL) at 10, 20, and 50 mg L−1 each and treated with the single fungal strains H5 and H12 and the fungal consortium.
The accumulated ligninolytic activities after 21 d of incubation are shown in Figure 4. Laccase, MnP, and MiP activities were almost unaffected by the increase in pesticide concentration when single fungal strains H5 and H12 were used. In general, strain H5 presented higher values of laccase and MiP activity than strain H12; however, strain H12 showed higher values of MnP (> 25 U L−1) than strain H5 (< 18 U L−1). Ligninolitic enzymes were the highest when the two strains were included together as a fungal consortium, showing an activity > 250 U L−1 for laccase, > 30 U L−1 for MnP, and > 140 U L−1 for MiP. Laccase activity decreased from 350 to 250 U L−1 as the pesticide concentration increased from 10 to 50 mg L−1.
Figure 4.
Accumulate laccase, manganese peroxidase (MnP), and manganese-independent peroxidase (MiP) activity after 21 d of incubation of the inoculated medium with the fungal strains H5, H12, and fungal consortium. Atrazine (ATZ), iprodione (IPR), and chlorpyrifos (CHL) were added into the mixture at initial concentration of 0, 10, 20, and 50 mg L−1 each.
3.2. Pesticide Removal by Immobilized Fungal Consortium
Immobilized single fungal strains were mixed to form a fungal consortium and were used to evaluate the removal of ATZ, IPR, and CHL. Figure 5a shows the alginate beads with a spherical morphology completely trapping the fungal strains. Figure 5b shows the surface roughness of the alginate beads and the hyphae of strains H5 and H12 inside the alginate beads (Figure 5c,d, respectively).
Figure 5.
Electron micrographs of alginate beads with immobilized individual fungal strains (H5 and H12) (a), morphological surface of the alginate beads (b), and immobilized branched filaments of the fungal strains H5 (c) and H12 (d).
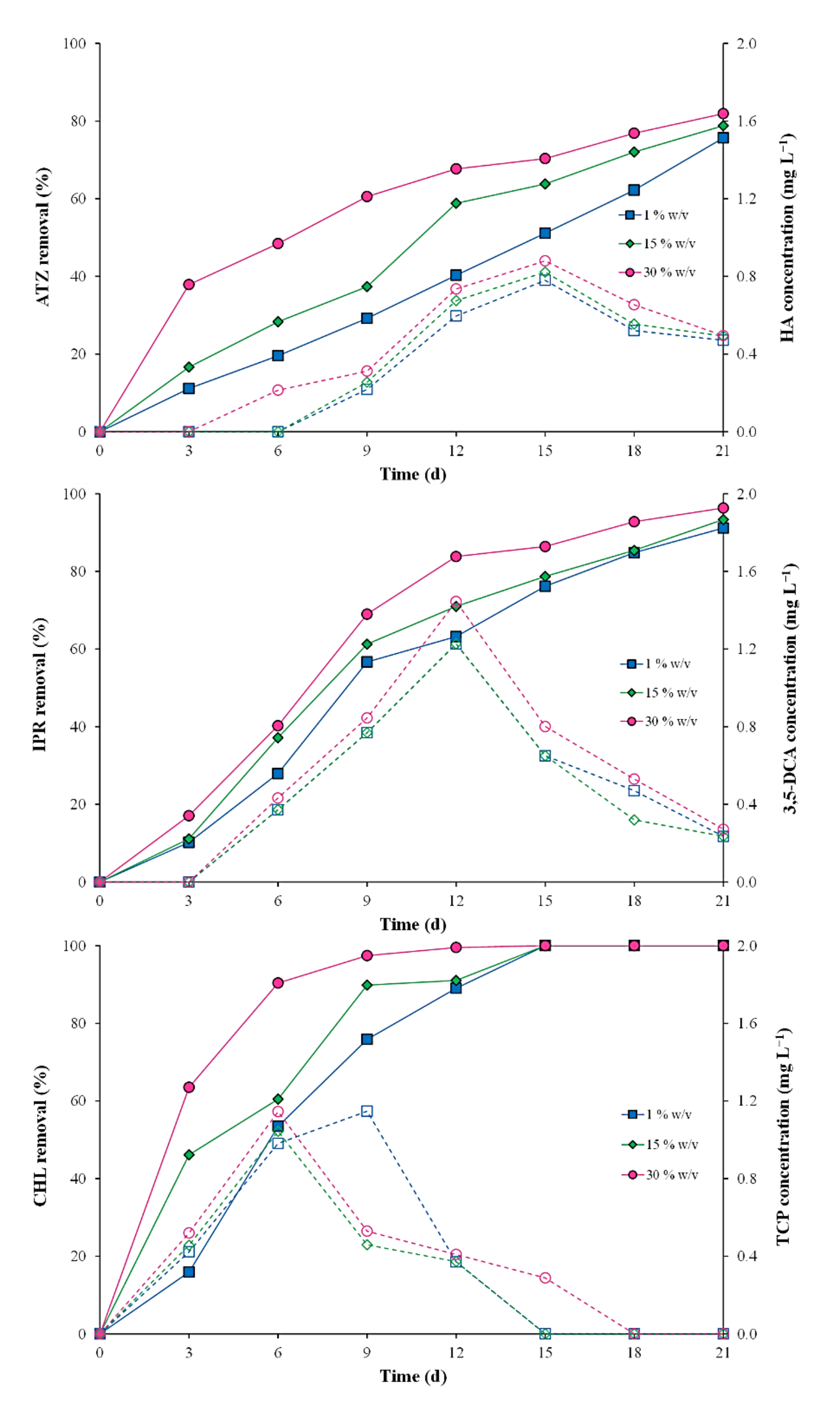
Figure 6 shows the removal of pesticides added as a mixture at a concentration of 50 mg L−1 each into the liquid medium inoculated with different concentrations of alginate beads containing the immobilized fungal consortium. Increasing the inoculum significantly increased (p > 0.05) the removal of pesticides. At the end of the assay, over 76% ATZ was removed by the fungal consortium at a rate constant of 0.053 to 0.076 d−1, resulting in a T1/2 of 13 and 9 d, respectively (Table 3). The difference in inoculum did not affect IPR removal during the first days. However, this trend changed during the second half of the incubation period. At the end of the assay, IPR removal was over 90%, and T1/2 ranged from 4 to 6.5 d. Finally, an increase in the inoculum caused the rapid removal of CHL with a rate constant of 0.189 to 0.442 d−1, resulting in a T1/2 of 1.6 to 3.7 d, respectively. After 15 days, no residue of CHL was detected. For all pesticides, the lowest T1/2 was observed under the highest inoculum concentration (30% w/v); therefore, this amount of inoculant was used in the next assay.
Figure 6.
Pesticide removal (symbol filled with continuous line) and metabolite production (empty symbol with the dotted line) via the immobilized fungal consortium at different inoculum concentrations (1, 15, and 30 w/v). Atrazine (ATZ), iprodione (IPR), and chlorpyrifos (CHL) were added into the mixture at initial concentrations of 50 mg L−1 each.
Table 3.
First-order kinetics parameters for atrazine (ATZ), iprodione (IPR), and chlorpyrifos (CHL) removal in the liquid medium supplemented with a pesticide mixture at concentrations of 50 mg L−1 each and inoculated with the immobilized fungal consortium at different inoculum concentrations.
3.3. Pesticide Degradation via the Immobilized Fungal Consortium in a Packed-Bed Bioreactor
The packed-bed bioreactor was operated in continuous mode at flow rates of 30, 60, and 90 mL h−1 of the pesticide mixture of ATZ, IPR, and CHL, added at concentrations of 50 mg L−1 each. Figure 7 shows the variation in pesticide concentrations, removal efficiency (%), and metabolite concentrations for the different flow rates over time (0 to 60 d). The flow rate significantly influenced pesticide removal (p ≤ 0.05). Initially, the bioreactor was operated at a flow rate of 30 mL h−1 to facilitate proper microbial growth and to establish steady-state conditions. In this context, a steady state was achieved for ATZ, IPR, and CHL on the 15th, 13th, and 11th days of operation, respectively, which is evident from the almost constant values of removal efficiency (ATZ: 59%; IPR: 96%; CHL: ~85%). On the 20th day, the flow rate was duplicated, and, after a sharp initial dip, the performance of the bioreactor gradually began to recover the removal efficiency on the 25th, 27th, and 35th days for CHL, IPR, and ATZ, respectively. On day 40, the flow rate was again increased to 90 mL h−1 and a dip in removal efficiency was observed. However, the removal efficiency was recovered and stabilized at around 64% for ATZ after 52 d, 96% for IPR after 46 d, and 75% for CHL after 44 d.
Figure 7.
Pesticide concentration/metabolite (mg L−1) and removal efficiency (% R) for atrazine (ATZ), iprodione (IPR), and chlorpyrifos (CHL) fed into a mixture at a concentration of 50 mg L−1 each in a continuous packed-bed bioreactor operated at different inlet flow rates (30, 60, and 90 mL h−1) over time (0 to 60 d) and inoculated with the immobilized fungal consortium at an inoculum concentration of 30 w/v.
The production of metabolites during pesticide degradation was also quantified, and the results are shown in Figure 7. It can be seen that all pesticide metabolites were present during the removal process. Specifically, HA increased slowly with time and then fluctuated with values between 4.1 and 9.0 mg L−1, with the latter being the peak of concentration observed at day 20 of operation. When the flow rate was increased to 90 mL h−1, a mild increase to 11 mg L−1 was observed, eventually reaching a steady state at day 54 of operation. The production of 3,5-DCA increased slowly with time, reaching the first peak of concentration (9.7 mg L−1) at day 6 of bioreactor operation and then stabilizing at a constant value of around 1.4 mg L−1. Steady state values of the metabolite increased as the flow rate of the IPR solution was increased, but after 7 d of this increase, the steady state was recovered. A similar trend was observed for TCP with peaks (17.3 mg L−1) of concentrations observed when the flow rates were increased. The steady state values were around 2.5 mg L−1, with flow rates of 30 and 60 mL h−1, while the steady state values increased to 6.7 mg L−1, with the highest flow rate observed at day 42 of operation; this trend was maintained until the end of the bioreactor’s operation.
4. Discussion
Biodegradation of wastewater is among the most effective approaches for the removal of organic contaminants from a wide range of industrial wastewaters [23]. Most of the studies available on the bioremediation of pesticides are limited to batch experiments, but only continuous systems have the potential to solve practical problems related to pesticide contamination [19]. Different bioreactor configurations have been used to treat pesticide-containing wastewater, including stirred tank reactors, airlifts, bubble columns, fluidized beds, and hybrid reactors. Bacteria are the preferred microorganism for use in bioreactors for the treatment of wastewater because they are known to tolerate diverse conditions, grow fast, and efficiently degrade a wide range of pesticides [24]. However, fungi also play a preponderant role in the degradation of pesticides [25].
In this study, two fungal strains were isolated from an organic biomixture of a BPS used for pesticide treatment over several years. This biomixture contains many active microorganism and is an attractive approach because these microorganisms have already adapted to the habitat [26]. Both fungi strains were able to remove high concentrations of ATZ, IPR, and CHL, pesticides with different chemical structures and chemical characteristics (Table 1) that confer them several degrees of toxicity and persistence in the environment. The organic biomixture used in BPS is a good source of microorganisms adapted to pesticides, as reported in other studies, including our previous results [12,13,15]. Recently, we reported that bacteria like the Achromobacter sp. strain C1 and Pseudomonas sp. strain C9 appear to be promising microorganisms for the treatment of matrices contaminated with CHL, IPR, or their mixtures [12].
Several fungal strains isolated from different environmental matrices and belonging to different genera, including Aspergillus, Trichoderma, Penicillium, Fusarium, Phanerochaete, among others, have been implicated in the biodegradation of different pesticides [25]. In this study, the fungi used for the removal of ATZ, IPR, and CHL and added in a mixture at varying initial concentrations (10 to 50 mg L−1) were the Verticilium sp. strain H5 and the Metacordyceps sp. strain H12, which were able to efficiently remove the three pesticides when used as single microorganisms. The ability of these fungi is reinforced by previous observations. Fang et al. [27] reported that Verticillium sp. DSP isolated from contaminated soil was able to biodegrade in pure cultures between 1 and 100 mg L−1 CHL at pH 7.0, with an inhibitive effect on degradation at over 500 mg L−1 concentration. In addition, Erguven et al. [28] reported the ability of Metacordyceps chlamydosporia to remove 80% trifluraline.
Little information is available for pesticide degradation using fungi spp. involved in the formation of microbial consortia with cooperative degradative activities. In this study, the mixed culture of compatible strains H5 and H12 accelerated the removal of pesticides from the liquid medium, which was verified by the lower half-life of ATZ, IPR, and CHL compared to that observed for the pure cultures. In addition, in the mixed culture, we observed the presence of the main degradation metabolites (HA, 3,5-DCA, and TCP) of the pesticides studied, unlike in the pure cultures. The presence of these metabolites confirms that the fungal consortia, and their members, are able to biodegrade ATZ, IPR, and CHL and likely also their metabolites 3,5-DCA and CHL, which disappeared over time. The degradation of TCP together with CHL was reported for microorganisms like Streptomyces sp. [26] and for fungal strains like Cladosporium cladosporioides Hu-01 [29]. A non-specific extracellular enzymatic system composed of MnP, MiP, and laccase was used in the degradation of several xenobiotics, including pesticides [30]. In this study, we reported the presence of three enzymes that could influence pesticide degradation and metabolites, as reported for 3,5-DCA degradation via fungal laccase [31]. The ATZ metabolite, HA, showed a different trend, and the decrease in concentration was not as evident as that for the other metabolites; however, more time may be required to eliminate HA.
The immobilization of microbial cells has received considerable attention in the field of bioremediation and specifically in the treatment of pesticide wastewater [32,33,34,35]. Encapsulation provides microorganisms with a protective structure, making microorganisms less exposed, more stable, and more viable for a longer period, which facilitates the storage and handling of cultures [36]. In this study, we used encapsulation in calcium alginate as the model support because this technique is simple, inexpensive, and has been proven to be effective for use in pesticide degradation processes [37]. The immobilization of fungal strains into alginate beads (30% wv−1) was effective because of the slightly accelerated degradation of IPR and CHL, perhaps due to the high density of cells immobilized in the support [38]. Therefore, this inoculum concentration was used to implement the operation of the packed bioreactor with the immobilized fungal consortium.
The performance of a bioreactor for the treatment of wastewater containing pesticides greatly depends on the flow rate, the composition of the inflowing medium, the microbial cell concentration, and the bioreactor’s catabolic capabilities, among other factors [16,38]. In this study, the performance of PBR operated in continuous mode was evaluated based on its removal efficiency. The fungal consortium immobilized in alginate beads was found to be effective in the treatment of synthetic wastewater contaminated with a mixture of ATZ, IPR, and CHL. In general, ten days were necessary for the acclimation of supported fungal for the effective removal of pesticides; after this time, a steady-state condition was established. These results are in agreement with previous studies reporting that 5 to 7 days are required to reach a steady-state in a bioreactor operating at a flow rate of 10 mg L−1 of CHL [33,39]. During the operation of the bioreactor, only occasional destabilizations were observed, which were coincident with the flow rate increases; however, a quick recovery in performance was always observed. This tendency matches the reported results for other pesticides such as malathion and CHL treated in PBR [19,33,38]. In general, ATZ removal in the bioreactor showed a similar trend to that observed in batch mode, with a value that fluctuated by 60% in terms of removal, thus being the least removed of the three pesticides. However, this result does not surprise us, as ATZ is considered a problematic pesticide due its recalcitrant chlorinated structure that confers high persistence (Table 1) and difficulty to be removed completely from water and wastewater [17]. Nevertheless, our results are promising considering that the demand on our treatment system able to remove a pesticide mixture was higher than that of others that obtained 100% removal of 100 mg L−1 of pure ATZ [40]. The production of metabolites during the removal of pesticides in PBR showed a similar trend to that observed in batch mode. During ATZ removal, the highest production of HA was observed after ten days, coinciding with the time when a large part of ATZ was degraded. At different levels of HA, which showed variable values over time, 3,5-DCA and TCP production was characterized by a peak at the beginning of each increase in the flow rate inlet, followed by elimination via the fungal consortium and stabilization at constant values. However, the metabolite concentrations were significant higher in the bioreactor, likely due to the feeding mode in which substrates were continuously fed into the reactor, significantly delaying the removal of metabolites [16]. When the bioreactor was operated at a flow rate of 90 mL h−1, the slight increase in TCP concentration was able to affect CHL removal due to the inhibition of microorganism activity such, as previously reported [33]. However, there was no reduction in the performance or removal efficiency of the other contaminants, which reinforced the robustness of the system.
5. Conclusions
According to our results, biopurification system are microorganism tolerant and able to degrade pesticides. The strains Verticillium sp. H5 and Metacordyceps sp. H12 efficiently removed IPR and CHL and, to a lesser extent, ATZ. The fungal consortium improved the pesticide degradation, decreasing the half-life time of the pesticides. Similar behavior was observed when the most significantly immobilized fungal consortium was used as an inoculum (30% w/v). In this study, the use of a packed-bed bioreactor with an immobilized fungal consortium efficiently removed a pesticide mixture formed by ATZ, IPR, and CHL. The removal efficiency of PBR was stable throughout the operation time despite some fluctuations that we observed. This system represents an effective approach for the treatment of pesticide-containing water. According to the available literature, this is the first report involving continuous treatment using a mixed culture of fungi for the simultaneous elimination of these three widely used pesticides. However, we are aware that improved processes are required to reduce pesticide and metabolite concentrations to produce treated wastewater with minimal concentrations of products.
Supplementary Materials
The following are available online at https://www.mdpi.com/article/10.3390/agronomy11040743/s1. Table S1. Pesticide removal in a liquid medium contaminated with a mixture of atrazine (ATZ), iprodione (IPR) and chlorpyrifos (CHL) at 10, 20, and 50 mg L−1 each and treated with the single fungal strains H5 and H12 and fungal consortium.
Author Contributions
Conceptualization, M.C.D., C.B., G.B., and M.L.-R.; methodology, M.L.-R., B.L., S.L., and C.L.; software, M.L.-R.; validation, H.S.; formal analysis, M.L.-R.; investigation, M.L.-R. and S.L.; resources, M.C.D. and M.L.-R.; data curation, M.L.-R. and G.B.; writing—original draft preparation, M.L.-R.; writing—review and editing, G.B. and M.C.D.; visualization, M.L.-R. and S.L.; supervision, M.C.D.; project administration, M.C.D.; funding acquisition, M.C.D. All authors have read and agreed to the published version of the manuscript.
Funding
This research was funded by ANID grant number, ANID/FONDAP/15130015, ANID Doctoral Scholarship 21171802, DIUFRO grant numbers DI20-2013, and GAP DI20-3005, all from Chilean funding.
Institutional Review Board Statement
Not applicable.
Informed Consent Statement
Not applicable.
Data Availability Statement
Data sharing not applicable.
Conflicts of Interest
The authors declare that there is no conflict of interest.
References
- Storck, V.; Karpouzas, D.; Martin-Laurent, F. Towards a better pesticide policy for the European Union. Sci. Total Environ. 2017, 575, 1027–1033. [Google Scholar] [CrossRef] [PubMed]
- Finger, R.; Möhring, N.; Dalhaus, T.; Böcker, T. Revisiting pesticide taxation schemes. Ecol. Econ. 2017, 134, 263–266. [Google Scholar] [CrossRef]
- Morillo, E.; Villaverde, J. Advanced technologies for the remediation of pesticide-contaminated soils. Sci. Total Environ. 2017, 586, 576–597. [Google Scholar] [CrossRef]
- Köck-Schulmeyer, M.; Villagrasa, M.; López, M.; Alda, D.; Céspedes-Sanchez, R.; Ventura, F.; Barceló, D. Occurrence and behavior of pesticides in wastewater treatment plants and their environmental impact. Sci. Total Environ. 2013, 460, 466–476. [Google Scholar] [CrossRef]
- Karas, P.; Perruchon, C.; Karanasios, E.; Papadopoulou, E.; Manthou, E.; Sitra, S.; Ehaliotis, C.; Karpouzas, D. Integrated biodepuration of pesticide-contaminated wastewaters from the fruit-packaging industry using biobeds: Bioaugmentation, risk assessment and optimized management. J. Hazard. Mater. 2016, 320, 635–644. [Google Scholar] [CrossRef] [PubMed]
- Lindemann, S.R.; Bernstein, H.C.; Song, H.S.; Fredrickson, J.K.; Fields, M.W.; Shou, W.; Johnson, D.R.; Beliaev, A.S. Engineering microbial consortia for controllable outputs. ISME J. 2016, 10, 2077–2084. [Google Scholar] [CrossRef]
- Hays, S.G.; Patrick, W.G.; Ziesack, M.; Oxman, N.; Silver, P.A. Better together: Engineering and application of microbial symbioses. Curr. Opin. Biotechnol. 2015, 36, 40–49. [Google Scholar] [CrossRef] [PubMed]
- Hussain, S.; Hartley, C.J.; Shettigar, M.; Pandey, G. Bacterial biodegradation of neonicotinoid pesticides in soil and water systems. FEMS Microbiol. Lett. 2016, 363, 1–20. [Google Scholar] [CrossRef] [PubMed]
- Cycon, M.; Mrozik, A.; Piotrowska-Seget, Z. Bioaugmentation as a strategy for the remediation of pesticide-polluted soil: A review. Chemosphere 2017, 172, 52–71. [Google Scholar] [CrossRef]
- Kumar, S.; Kaushik, G.; Dar, M.; Nimesh, S.; López-Chuken, U.; Villareal-Chiu, J. Microbial degradation of organophosphate pesticides: A Review. Pedosphere 2018, 28, 190–208. [Google Scholar] [CrossRef]
- Kumar, M.; Yadav, A.N.; Saxena, R.; Paul, D.; Tomar, R.S. Biodiversity of pesticides degrading microbial communities and their environmental impact. Biocatal. Agric. Biotechnol. 2021, 31, 101883. [Google Scholar] [CrossRef]
- Briceño, G.; Lamilla, C.; Leiva, B.; Levio, M.; Donoso-Piñol, P.; Schalchli, H.; Gallardo, F.; Diez, M.C. Pesticide-Tolerant bacteria isolated from a biopurification system to remove commonly used pesticides to protect water resources. PLoS ONE 2020, 15, 1–20. [Google Scholar] [CrossRef] [PubMed]
- Góngora-Echeverría, V.R.; Quintal-Franco, C.; Arena-Ortiz, M.L.; Giácoman-Vallejos, G.; Ponce-Caballero, C. Identification of microbial species present in a pesticide dissipation process in biobed systems using typical substrates from southeastern Mexico as a biomixture at a laboratory scale. Sci. Total Environ. 2018, 628–629, 528–538. [Google Scholar] [CrossRef]
- Góngora-Echeverría, V.R.; García-Escalante, R.; Rojas-Herrera, R.; Giácoman-Vallejos, G.; Ponce-Caballero, C. Pesticide bioremediation in liquid media using a microbial consortium and bacteria-pure strains isolated from a biomixture used in agricultural areas. Ecotoxicol. Environ. Saf. 2020, 200, 110734. [Google Scholar] [CrossRef]
- Pinto, A.; Serrano, C.; Pires, T.; Mestrinho, E.; Dias, L.; Teixeira, D.; Caldeira, A. Degradation of terbuthylazine, difenoconazole and pendimethalin pesticides by selected fungi cultures. Sci. Total Environ. 2012, 435–436, 402–410. [Google Scholar] [CrossRef] [PubMed]
- Grandclément, C.; Seyssiecq, I.; Piram, A.; Wong-Wah-Chung, P.; Vanot, G.; Tiliacos, N.; Roche, N.; Doumenq, P. From the conventional biological wastewater treatment to hybrid processes, the evaluation of organic micropollutant removal: A review. Water Res. 2017, 111, 297–317. [Google Scholar] [CrossRef]
- Saleh, I.A.; Zouari, N.; Al-Ghouti, M.A. Removal of pesticides from water and wastewater: Chemical, physical and biological treatment approaches. Environ. Technol. Innov. 2020, 19, 101026. [Google Scholar] [CrossRef]
- Tekere, M.; Ncube, I.; Read, J.S.; Zvauya, R. Biodegradation of the organochlorine pesticide, lindane by a sub-tropical white rot fungus in batch and packed bed bioreactor systems. Environ. Technol. 2002, 23, 199–206. [Google Scholar] [CrossRef]
- Geed, S.R.; Shrirame, B.S.; Singh, R.S.; Rai, B.N. Assessment of pesticides removal using two-stage integrated aerobic treatment plant (IATP) by Bacillus sp. isolated from agricultural field. Bioresour. Technol. 2017, 242, 45–54. [Google Scholar] [CrossRef]
- Diez, M.C.; Leiva, B.; Gallardo, F. Novel insights in biopurification system for dissipation of a pesticide mixture in repeated applications. Environ. Sci. Pollut. Res. 2018, 25, 21440–21450. [Google Scholar] [CrossRef] [PubMed]
- Levio-Raiman, M.; Schalchli, H.; Briceño, G.; Bornhardt, C.; Tortella, G.; Rubilar, O.; Cristina Diez, M. Performance of an optimized fixed-bed column packed with an organic biomixture to remove atrazine from aqueous solution. Environ. Technol. Innov. 2021, 21, 101263. [Google Scholar] [CrossRef]
- De Jong, E.; Field, J.A.; de Bont, J.A.M. Aryl alcohols in the physiology of ligninolytic fungi. FEMS Microbiol. Rev. 1994, 13, 153–187. [Google Scholar] [CrossRef]
- Ahmadi, M.; Jorfi, S.; Kujlu, R.; Ghafari, S.; Darvishi Cheshmeh Soltani, R.; Jaafarzadeh Haghighifard, N. A novel salt-tolerant bacterial consortium for biodegradation of saline and recalcitrant petrochemical wastewater. J. Environ. Manag. 2017, 191, 198–208. [Google Scholar] [CrossRef]
- Espinosa-Ortiz, E.J.; Rene, E.R.; Pakshirajan, K.; van Hullebusch, E.D.; Lens, P.N.L. Fungal pelleted reactors in wastewater treatment: Applications and perspectives. Chem. Eng. J. 2016, 283, 553–571. [Google Scholar] [CrossRef]
- Maqbool, Z.; Hussain, S.; Imran, M.; Mahmood, F.; Shahzad, T.; Ahmed, Z.; Azeem, F.; Muzammil, S. Perspectives of using fungi as bioresource for bioremediation of pesticides in the environment: A critical review. Environ. Sci. Pollut. Res. 2016, 23, 16904–16925. [Google Scholar] [CrossRef] [PubMed]
- Briceño, G.; Fuentes, M.S.; Palma, G.; Jorquera, M.A.; Amoroso, M.J.; Diez, M.C. Chlorpyrifos biodegradation and 3,5,6-trichloro-2-pyridinol production by actinobacteria isolated from soil. Int. Biodeterior. Biodegrad. 2012, 73, 1–7. [Google Scholar] [CrossRef]
- Fang, H.; Qin Xiang, Y.; Jie Hao, Y.; Qiang Chu, X.; Dong Pan, X.; Quan Yu, J.; Long Yu, Y. Fungal degradation of chlorpyrifos by Verticillium sp. DSP in pure cultures and its use in bioremediation of contaminated soil and pakchoi. Int. Biodeterior. Biodegrad. 2008, 61, 294–303. [Google Scholar] [CrossRef]
- Erguven, G.O.; Bayhan, H.; Ikizoglu, B.; Kanat, G.; Nuhoglu, Y. The capacity of some newly bacteria and fungi for biodegradation of herbicide trifluralin under agiated culture media. Cell. Mol. Biol. 2016, 62, 74–79. [Google Scholar]
- Chen, S.; Liu, C.; Peng, C.; Liu, H.; Hu, M.; Zhong, G. Biodegradation of chlorpyrifos and its hydrolysis product 3,5,6-trichloro-2-pyridinol by a new fungal strain Cladosporium cladosporioides Hu-01. PLoS ONE 2012, 7, e0047205. [Google Scholar] [CrossRef] [PubMed]
- Diez, M.C. Biological aspects involved in the degradation of organic pollutants. J. Soil Sci. Plant. Nutr. 2010, 10, 244–267. [Google Scholar] [CrossRef]
- Sarker, A.; Lee, S.H.; Kwak, S.Y.; Nandi, R.; Kim, J.E. Comparative catalytic degradation of a metabolite 3,5-dichloroaniline derived from dicarboximide fungicide by laccase and MnO2 mediators. Ecotoxicol. Environ. Saf. 2020, 196, 110561. [Google Scholar] [CrossRef] [PubMed]
- Luo, Y.; Guo, W.; Hao, H.; Duc, L.; Ibney, F.; Kang, J.; Xia, S.; Zhang, Z.; Evan, W. Removal and fate of micropollutants in a sponge-based moving bed bioreactor. Bioresour. Technol. 2014, 159, 311–319. [Google Scholar] [CrossRef]
- Yadav, M.; Srivastva, N.; Singh, R.S.; Upadhyay, S.N.; Dubey, S.K. Biodegradation of chlorpyrifos by Pseudomonas sp. in a continuous packed bed bioreactor. Bioresour. Technol. 2014, 165, 265–269. [Google Scholar] [CrossRef] [PubMed]
- Silveira, S.; Martins, C.; Guedes, L.; Santaella, S.T. Immobilization of microbial cells: A promising tool for treatment of toxic pollutants in industrial wastewater. Afr. J. Biotechnol. 2013, 12, 4412–4418. [Google Scholar]
- Pradeep, V.; Malavalli, U. Use of Ca-alginate immobilized Pseudomonas aeruginosa for repeated batch and continuous degradation of endosulfan. 3 Biotech. 2016, 6, 124. [Google Scholar] [CrossRef] [PubMed]
- Schoebitz, M.; López, M.D.; Roldán, A. Bioencapsulation of microbial inoculants for better soil-plant fertilization. A review. Agron. Sustain. Dev. 2013, 33, 751–765. [Google Scholar] [CrossRef]
- Briceño, G.; Fuentes, M.S.; Rubilar, O.; Jorquera, M.; Tortella, G.; Palma, G.; Amoroso, M.J.; Diez, M.C. Removal of the insecticide diazinon from liquid media by free and immobilized Streptomyces sp. isolated from agricultural soil. J. Basic Microbiol. 2015, 55, 293–302. [Google Scholar] [CrossRef]
- Briceño, G.; Levio, M.; González, M.E.; Saez, J.M.; Palma, G.; Schalchli, H.; Diez, M.C. Performance of a continuous stirred tank bioreactor employing an immobilized actinobacteria mixed culture for the removal of organophosphorus pesticides. 3 Biotech. 2020, 10, 1–11. [Google Scholar] [CrossRef]
- Yadav, M.; Srivastva, N.; Shukla, A.K.; Singh, R.S.; Upadhyay, S.N.; Dubey, S.K. Efficacy of Aspergillus sp. for degradation of chlorpyrifos in batch and continuous aerated packed bed bioreactors. Appl. Biochem. Biotechnol. 2015, 175, 16–24. [Google Scholar] [CrossRef]
- Macías-Flores, A.; Tafoya-Garnica, A.; Ruiz-Ordaz, N.; Salmerón-Alcocer, A.; Juárez-Ramírez, C.; Ahuatzi-Chacón, D.; Mondragón-Parada, M.E.; Galíndez-Mayer, J. Atrazine biodegradation by a bacterial community immobilized in two types of packed-bed biofilm reactors. World J. Microbiol. Biotechnol. 2009, 25, 2195–2204. [Google Scholar] [CrossRef]
Publisher’s Note: MDPI stays neutral with regard to jurisdictional claims in published maps and institutional affiliations. |
© 2021 by the authors. Licensee MDPI, Basel, Switzerland. This article is an open access article distributed under the terms and conditions of the Creative Commons Attribution (CC BY) license (http://creativecommons.org/licenses/by/4.0/).






