The Reaction of Cellulolytic and Potentially Cellulolytic Spore-Forming Bacteria to Various Types of Crop Management and Farmyard Manure Fertilization in Bulk Soil
Abstract
1. Introduction
2. Materials and Methods
2.1. Site Characteristics
2.2. Sampling and Chemical Analysis
2.3. Microbiological Analyses
2.4. DNA Extraction and 16S rRNA Sequencing
2.5. Statistical Analysis and Data Visualisation
3. Results and Discussion
3.1. Soil Parameters and Most Probable Number (MPN)
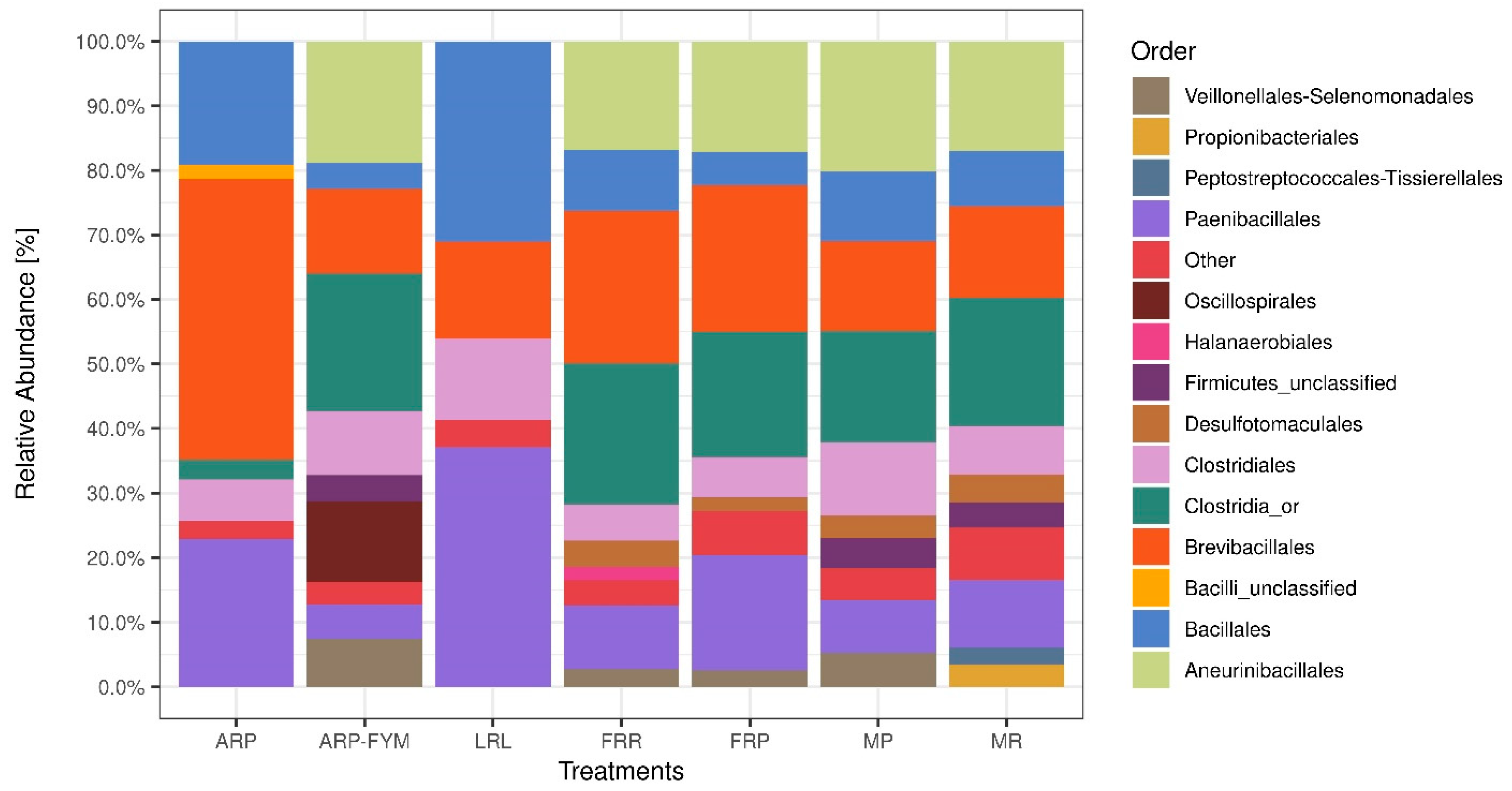
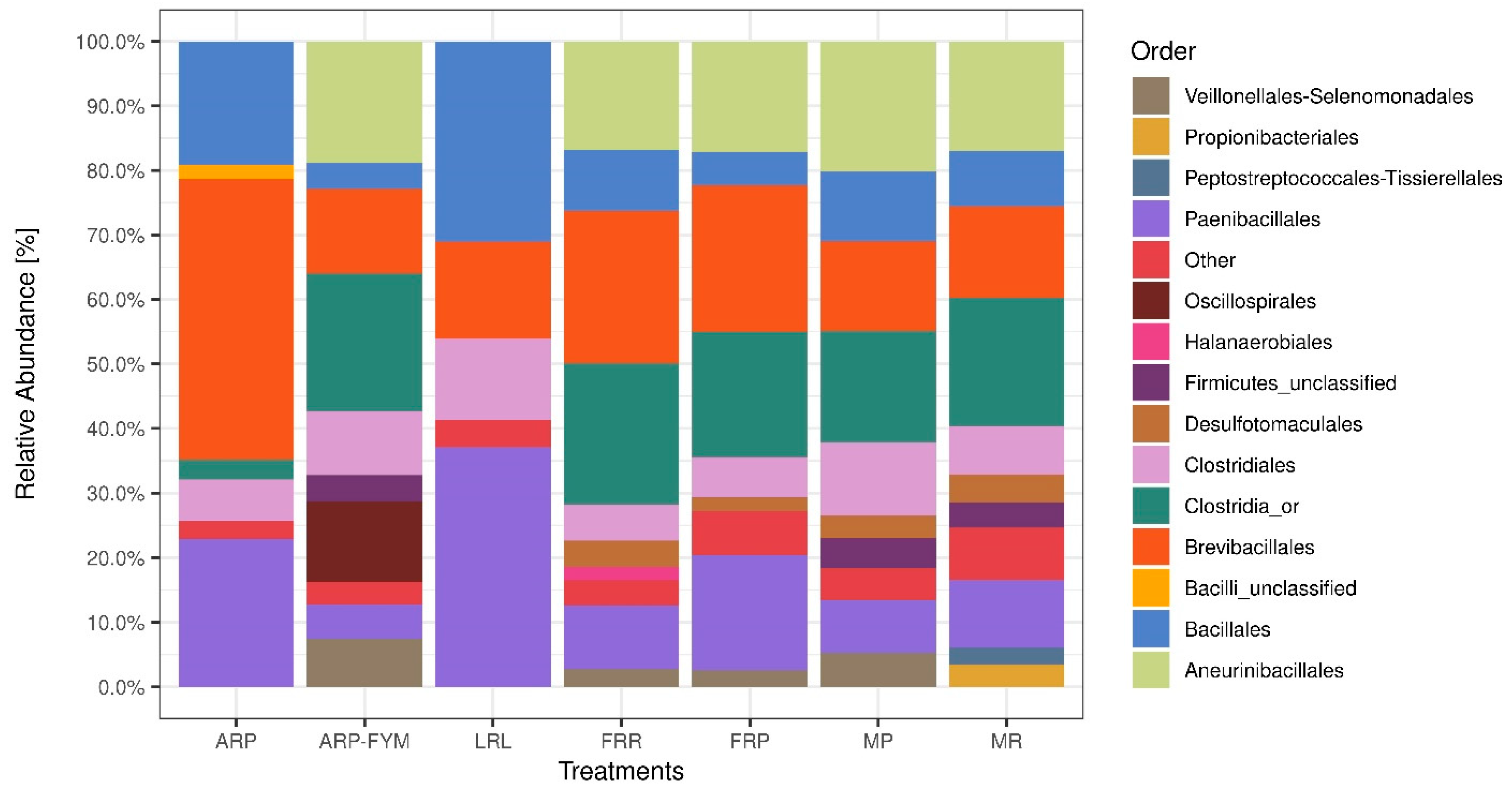
3.2. 16S rRNA Sequencing
4. Conclusions
Supplementary Materials
Author Contributions
Funding
Institutional Review Board Statement
Informed Consent Statement
Data Availability Statement
Conflicts of Interest
References
- Burzyńska, I. Monitoring of Selected Fertilizer Nutrients in Surface Waters and Soils of Agricultural Land in the River Valley in Central Poland. J. Water Land Dev. 2019, 43, 41–48. [Google Scholar] [CrossRef]
- Dinka, M.O.; Dawit, M. Spatial Variability and Dynamics of Soil PH, Soil Organic Carbon and Matter Content: The Case of the Wonji Shoa Sugarcane Plantation. J. Water Land Dev. 2019, 42, 59–66. [Google Scholar] [CrossRef]
- Zhao, Q.; Xiong, W.; Xing, Y.; Sun, Y.; Lin, X.; Dong, Y. Long-Term Coffee Monoculture Alters Soil Chemical Properties and Microbial Communities. Sci. Rep. 2018, 8, 6116. [Google Scholar] [CrossRef] [PubMed]
- Kiełbasa, B.; Pietrzak, S.; Ulén, B.; Drangert, J.-O.; Tonderski, K. Sustainable Agriculture: The Study on Farmers’ Perception and Practices Regarding Nutrient Management and Limiting Losses. J. Water Land Dev. 2018, 36, 67–75. [Google Scholar] [CrossRef]
- Liu, X.; Li, Y.; Han, B.; Zhang, Q.; Zhou, K.; Zhang, X.; Hashemi, M. Yield Response of Continuous Soybean to One-Season Crop Disturbance in a Previous Continuous Soybean Field in Northeast China. Field Crops Res. 2012, 138, 52–56. [Google Scholar] [CrossRef]
- Xiong, W.; Zhao, Q.; Zhao, J.; Xun, W.; Li, R.; Zhang, R.; Wu, H.; Shen, Q. Different Continuous Cropping Spans Significantly Affect Microbial Community Membership and Structure in a Vanilla-Grown Soil as Revealed by Deep Pyrosequencing. Microb. Ecol. 2015, 70, 209–218. [Google Scholar] [CrossRef]
- Barrios, E. Soil Biota, Ecosystem Services and Land Productivity. Ecol. Econ. 2007, 64, 269–285. [Google Scholar] [CrossRef]
- Dimarogona, M.; Topakas, E.; Christakopoulos, P. Cellulose Degradation by Oxidative Enzymes. Comput. Struct. Biotechnol. J. 2012, 2, e201209015. [Google Scholar] [CrossRef]
- Maki, M.; Leung, K.T.; Qin, W. The Prospects of Cellulase-Producing Bacteria for the Bioconversion of Lignocellulosic Biomass. Int. J. Biol. Sci. 2009, 500–516. [Google Scholar] [CrossRef]
- Khalili, B.; Nourbakhsh, F.; Nili, N.; Khademi, H.; Sharifnabi, B. Diversity of Soil Cellulase Isoenzymes Is Associated with Soil Cellulase Kinetic and Thermodynamic Parameters. Soil Biol. Biochem. 2011, 43, 1639–1648. [Google Scholar] [CrossRef]
- Islam, M.T.; Rahman, M.M.; Pandey, P.; Jha, C.K.; Aeron, A. (Eds.) Bacilli and Agrobiotechnology; Bacilli in Climate Resilient Agriculture and Bioprospecting; Springer International Publishing: Cham, Switzerland, 2016; ISBN 978-3-319-44408-6. [Google Scholar]
- Vilain, S.; Luo, Y.; Hildreth, M.B.; Brözel, V.S. Analysis of the Life Cycle of the Soil Saprophyte Bacillus Cereus in Liquid Soil Extract and in Soil. AEM 2006, 72, 4970–4977. [Google Scholar] [CrossRef] [PubMed]
- Zafar-ul-Hye, M.; Danish, S.; Abbas, M.; Ahmad, M.; Munir, T.M. ACC Deaminase Producing PGPR Bacillus Amyloliquefaciens and Agrobacterium Fabrum along with Biochar Improve Wheat Productivity under Drought Stress. Agronomy 2019, 9, 343. [Google Scholar] [CrossRef]
- Akinrinlola, R.J.; Yuen, G.Y.; Drijber, R.A.; Adesemoye, A.O. Evaluation of Bacillus Strains for Plant Growth Promotion and Predictability of Efficacy by In Vitro Physiological Traits. Int. J. Microbiol. 2018, 2018, 5686874. [Google Scholar] [CrossRef]
- Aloo, B.N.; Makumba, B.A.; Mbega, E.R. The Potential of Bacilli Rhizobacteria for Sustainable Crop Production and Environmental Sustainability. Microbiol. Res. 2019, 219, 26–39. [Google Scholar] [CrossRef]
- Maheshwari, D.K. (Ed.) Plant Growth and Health Promoting Bacteria; Microbiology Monographs; Springer: Berlin/Heidelberg, Germany, 2011; Volume 18, ISBN 978-3-642-13611-5. [Google Scholar]
- Jo, H.; Tagele, S.B.; Pham, H.Q.; Kim, M.-C.; Choi, S.-D.; Kim, M.-J.; Park, Y.-J.; Ibal, J.C.; Park, G.-S.; Shin, J.-H. Response of Soil Bacterial Community and Pepper Plant Growth to Application of Bacillus Thuringiensis KNU-07. Agronomy 2020, 10, 551. [Google Scholar] [CrossRef]
- ISO. Soil Quality–Determination of Organic and Total Carbon after Dry Combustion (Elementary Analysis); ISO 10694: 2002; International Organization for Standardization (ISO): Geneva, Switzerland, 2002. [Google Scholar]
- ISO. Soil Quality–Determination of Total Nitrogen–Modified Kjeldahl Method; ISO 11261: 2002; International Organization for Standardization (ISO): Geneva, Switzerland, 2002. [Google Scholar]
- ISO. Determination of PH; 10390:1997; International Organization for Standardization (ISO): Geneva, Switzerland, 1997. [Google Scholar]
- McCrady, M.H. The Numerical Interpretation of Fermentation-Tube Results. J. Infect. Dis. 1915, 17, 183–212. [Google Scholar] [CrossRef]
- Schloss, P.D.; Westcott, S.L.; Ryabin, T.; Hall, J.R.; Hartmann, M.; Hollister, E.B.; Lesniewski, R.A.; Oakley, B.B.; Parks, D.H.; Robinson, C.J.; et al. Introducing Mothur: Open-Source, Platform-Independent, Community-Supported Software for Describing and Comparing Microbial Communities. Appl. Environ. Microbiol. 2009, 75, 7537–7541. [Google Scholar] [CrossRef]
- Quast, C.; Pruesse, E.; Yilmaz, P.; Gerken, J.; Schweer, T.; Yarza, P.; Peplies, J.; Glöckner, F.O. The SILVA Ribosomal RNA Gene Database Project: Improved Data Processing and Web-Based Tools. Nucleic. Acids Res. 2013, 41, D590–D596. [Google Scholar] [CrossRef]
- R Core Team. R: A Language and Environment for Statistical Computing; R Foundation for Statistical Computing: Vienna, Austria, 2020. [Google Scholar]
- McMurdie, P.J.; Holmes, S. Phyloseq: An R Package for Reproducible Interactive Analysis and Graphics of Microbiome Census Data. PLoS ONE 2013, 8, e61217. [Google Scholar] [CrossRef]
- de Mendiburu, F.; Yaseen, M. Agricolae: Statistical Procedures for Agricultural Research; National Engineering University: Lima, Peru, 2020. [Google Scholar]
- Stępień, W.; Kobiałka, M. Effect of Long-Term Organic and Mineral Fertilisation on Selected Physico-Chemical Soil Properties in Rye Monoculture and Five-Year Crop Rotation. Soil Sci. Annu. 2019, 70, 34–38. [Google Scholar] [CrossRef]
- Adamiak, E.; Adamiak, J. Changes of the Chosen Chemical Properties of Soil as a Result of Long-Term Cereal Cultivation in Crop Rotation and Monoculture. Acta Sci. Pol. Agric. 2015, 14, 3–10. [Google Scholar]
- Congreves, K.A.; Hooker, D.C.; Hayes, A.; Verhallen, E.A.; van Eerd, L.L. Interaction of Long-Term Nitrogen Fertilizer Application, Crop Rotation, and Tillage System on Soil Carbon and Nitrogen Dynamics. Plant Soil 2017, 410, 113–127. [Google Scholar] [CrossRef]
- Kaiser, M.; Ellerbrock, R.H.; Gerke, H.H. Long-Term Effects of Crop Rotation and Fertilization on Soil Organic Matter Composition. Eur. J. Soil Sci. 2007, 58, 1460–1470. [Google Scholar] [CrossRef]
- Gregorutti, V.C.; Caviglia, O.P. Impact of Crop Aerial and Root Biomass Inputs on Soil Nitrifiers and Cellulolytic Microorganisms. Soil Tillage Res. 2019, 191, 85–97. [Google Scholar] [CrossRef]
- Pankhurst, C.E.; Hawke, B.G.; McDonald, H.J.; Kirkby, C.A.; Buckerfield, J.C.; Michelsen, P.; O’Brien, K.A.; Gupta, V.; Doube, B.M. Evaluation of Soil Biological Properties as Potential Bioindicators of Soil Health. Aust. J. Exp. Agric. 1995, 35, 1015–1028. [Google Scholar] [CrossRef]
- Górska, E.B.; Russel, S.; Łabętowicz, J. Effect of long-term fertilization on the occurence of aerobic, mesophilic, cellulolytic spore-forming bacteria in soil. Zesz. Probl. Postęp. Nauk Rol. 1999, 465, 517–526. [Google Scholar]
- Hugenholtz, P.; Pace, N. Identifying Microbial Diversity in the Natural Environment: A Molecular Phylogenetic Approach. Trends Biotechnol. 1996, 14, 190–197. [Google Scholar] [CrossRef]
- VanInsberghe, D.; Hartmann, M.; Stewart, G.R.; Mohn, W.W. Isolation of a Substantial Proportion of Forest Soil Bacterial Communities Detected via Pyrotag Sequencing. Appl. Environ. Microbiol. 2013, 79, 2096–2098. [Google Scholar] [CrossRef] [PubMed]
- Bai, Y.; Müller, D.B.; Srinivas, G.; Garrido-Oter, R.; Potthoff, E.; Rott, M.; Dombrowski, N.; Münch, P.C.; Spaepen, S.; Remus-Emsermann, M.; et al. Functional Overlap of the Arabidopsis Leaf and Root Microbiota. Nature 2015, 528, 364–369. [Google Scholar] [CrossRef]
- Hartmann, M.; Widmer, F. Community Structure Analyses Are More Sensitive to Differences in Soil Bacterial Communities than Anonymous Diversity Indices. Appl. Environ. Microbiol. 2006, 72, 7804–7812. [Google Scholar] [CrossRef] [PubMed]
- Zhao, Y.; Mao, X.; Zhang, M.; Yang, W.; Di, H.J.; Ma, L.; Liu, W.; Li, B. Response of Soil Microbial Communities to Continuously Mono-Cropped Cucumber under Greenhouse Conditions in a Calcareous Soil of North China. J. Soils Sediments 2020, 20, 2446–2459. [Google Scholar] [CrossRef]
- Yin, C.; Jones, K.L.; Peterson, D.E.; Garrett, K.A.; Hulbert, S.H.; Paulitz, T.C. Members of Soil Bacterial Communities Sensitive to Tillage and Crop Rotation. Soil Biol. Biochem. 2010, 42, 2111–2118. [Google Scholar] [CrossRef]
- Mayer, Z.; Sasvári, Z.; Szentpéteri, V.; Pethőné Rétháti, B.; Vajna, B.; Posta, K. Effect of Long-Term Cropping Systems on the Diversity of the Soil Bacterial Communities. Agronomy 2019, 9, 878. [Google Scholar] [CrossRef]
- Soman, C.; Li, D.; Wander, M.M.; Kent, A.D. Long-Term Fertilizer and Crop-Rotation Treatments Differentially Affect Soil Bacterial Community Structure. Plant Soil 2017, 413, 145–159. [Google Scholar] [CrossRef]
- Venter, Z.S.; Jacobs, K.; Hawkins, H.-J. The Impact of Crop Rotation on Soil Microbial Diversity: A Meta-Analysis. Pedobiologia 2016, 59, 215–223. [Google Scholar] [CrossRef]
- Yang, L.; Tan, L.; Zhang, F.; Gale, W.J.; Cheng, Z.; Sang, W. Duration of Continuous Cropping with Straw Return Affects the Composition and Structure of Soil Bacterial Communities in Cotton Fields. Can. J. Microbiol. 2018, 64, 167–181. [Google Scholar] [CrossRef]
- Li, H.; Wang, J.; Liu, Q.; Zhou, Z.; Chen, F.; Xiang, D. Effects of Consecutive Monoculture of Sweet Potato on Soil Bacterial Community as Determined by Pyrosequencing. J. Basic. Microbiol. 2019, 59, 181–191. [Google Scholar] [CrossRef]
- Li, N.; Gao, D.; Zhou, X.; Chen, S.; Li, C.; Wu, F. Intercropping with Potato-Onion Enhanced the Soil Microbial Diversity of Tomato. Microorganisms 2020, 8, 834. [Google Scholar] [CrossRef]
- Zhu, S.; Wang, Y.; Xu, X.; Liu, T.; Wu, D.; Zheng, X.; Tang, S.; Dai, Q. Potential Use of High-Throughput Sequencing of Soil Microbial Communities for Estimating the Adverse Effects of Continuous Cropping on Ramie (Boehmeria Nivea L. Gaud). PLoS ONE 2018, 13, e0197095. [Google Scholar] [CrossRef]
- Lienhard, P.; Terrat, S.; Prévost-Bouré, N.C.; Nowak, V.; Régnier, T.; Sayphoummie, S.; Panyasiri, K.; Tivet, F.; Mathieu, O.; Levêque, J.; et al. Pyrosequencing Evidences the Impact of Cropping on Soil Bacterial and Fungal Diversity in Laos Tropical Grassland. Agron. Sustain. Dev. 2014, 34, 525–533. [Google Scholar] [CrossRef]
- Francioli, D.; Schulz, E.; Lentendu, G.; Wubet, T.; Buscot, F.; Reitz, T. Mineral vs. Organic Amendments: Microbial Community Structure, Activity and Abundance of Agriculturally Relevant Microbes Are Driven by Long-Term Fertilization Strategies. Front. Microbiol. 2016, 7, 1446. [Google Scholar] [CrossRef]
- Hartmann, M.; Frey, B.; Mayer, J.; Mäder, P.; Widmer, F. Distinct Soil Microbial Diversity under Long-Term Organic and Conventional Farming. ISME J. 2015, 9, 1177–1194. [Google Scholar] [CrossRef]
- Hartman, K.; van der Heijden, M.G.A.; Wittwer, R.A.; Banerjee, S.; Walser, J.-C.; Schlaeppi, K. Cropping Practices Manipulate Abundance Patterns of Root and Soil Microbiome Members Paving the Way to Smart Farming. Microbiome 2018, 6, 14. [Google Scholar] [CrossRef]
- Das, S.; Jeong, S.T.; Das, S.; Kim, P.J. Composted Cattle Manure Increases Microbial Activity and Soil Fertility More Than Composted Swine Manure in a Submerged Rice Paddy. Front. Microbiol. 2017, 8, 1702. [Google Scholar] [CrossRef]
- Zhen, Z.; Liu, H.; Wang, N.; Guo, L.; Meng, J.; Ding, N.; Wu, G.; Jiang, G. Effects of Manure Compost Application on Soil Microbial Community Diversity and Soil Microenvironments in a Temperate Cropland in China. PLoS ONE 2014, 9, e108555. [Google Scholar] [CrossRef]
- Legrand, F.; Picot, A.; Cobo-Díaz, J.F.; Carof, M.; Chen, W.; Le Floch, G. Effect of Tillage and Static Abiotic Soil Properties on Microbial Diversity. Appl. Soil Ecol. 2018, 132, 135–145. [Google Scholar] [CrossRef]
- Grady, E.N.; MacDonald, J.; Liu, L.; Richman, A.; Yuan, Z.-C. Current Knowledge and Perspectives of Paenibacillus: A Review. Microb. Cell Fact. 2016, 15, 203. [Google Scholar] [CrossRef] [PubMed]
- Huq, M.A. Paenibacillus Anseongense Sp. Nov. a Silver Nanoparticle Producing Bacterium Isolated from Rhizospheric Soil. Curr. Microbiol. 2020, 77, 2023–2030. [Google Scholar] [CrossRef]
- Liu, X.; Li, Q.; Li, Y.; Guan, G.; Chen, S. Paenibacillus Strains with Nitrogen Fixation and Multiple Beneficial Properties for Promoting Plant Growth. PeerJ 2019, 7, e7445. [Google Scholar] [CrossRef]
- Brito, L.F.; López, M.G.; Straube, L.; Passaglia, L.M.P.; Wendisch, V.F. Inorganic Phosphate Solubilization by Rhizosphere Bacterium Paenibacillus Sonchi: Gene Expression and Physiological Functions. Front. Microbiol. 2020, 11, 588605. [Google Scholar] [CrossRef]
- Naing, K.W.; Anees, M.; Kim, S.J.; Nam, Y.; Kim, Y.C.; Kim, K.Y. Characterization of Antifungal Activity of Paenibacillus Ehimensis KWN38 against Soilborne Phytopathogenic Fungi Belonging to Various Taxonomic Groups. Ann. Microbiol. 2014, 64, 55–63. [Google Scholar] [CrossRef]
- Nasran, H.S.; Mohd Yusof, H.; Halim, M.; Abdul Rahman, N. Optimization of Protective Agents for The Freeze-Drying of Paenibacillus Polymyxa Kp10 as a Potential Biofungicide. Molecules 2020, 25, 2618. [Google Scholar] [CrossRef] [PubMed]
- Chauhan, A.; Guleria, S.; Balgir, P.P.; Walia, A.; Mahajan, R.; Mehta, P.; Shirkot, C.K. Tricalcium Phosphate Solubilization and Nitrogen Fixation by Newly Isolated Aneurinibacillus Aneurinilyticus CKMV1 from Rhizosphere of Valeriana Jatamansi and Its Growth Promotional Effect. Braz. J. Microbiol. 2017, 48, 294–304. [Google Scholar] [CrossRef]
- Alenezi, F.N.; Rekik, I.; Chenari Bouket, A.; Luptakova, L.; Weitz, H.J.; Rateb, M.E.; Jaspars, M.; Woodward, S.; Belbahri, L. Increased Biological Activity of Aneurinibacillus Migulanus Strains Correlates with the Production of New Gramicidin Secondary Metabolites. Front. Microbiol. 2017, 8. [Google Scholar] [CrossRef]
- Schuster, C.; Schmitt, A. Efficacy of a Bacterial Preparation of Aneurinibacillus Migulanus against Downy Mildew of Cucumber (Pseudoperonospora Cubensis). Eur. J. Plant Pathol. 2018, 151, 439–450. [Google Scholar] [CrossRef]
- Kamli, M.R.; Alzahrani, N.A.Y.; Hajrah, N.H.; Sabir, J.S.M.; Malik, A. Genome-Driven Discovery of Enzymes with Industrial Implications from the Genus Aneurinibacillus. Microorganisms 2021, 9, 499. [Google Scholar] [CrossRef]
- Kumar, R.; Chandra, R. Influence of PGPR and PSB on Rhizobium Leguminosarum Bv. Viciae Strain Competition and Symbiotic Performance in Lentil. World J. Agric. Res. 2008, 4, 297–301. [Google Scholar]
- Yu, X.; Kang, X.; Li, Y.; Cui, Y.; Tu, W.; Shen, T.; Yan, M.; Gu, Y.; Zou, L.; Ma, M.; et al. Rhizobia Population Was Favoured during in Situ Phytoremediation of Vanadium-Titanium Magnetite Mine Tailings Dam Using Pongamia Pinnata. Environ. Pollut. 2019, 255, 113167. [Google Scholar] [CrossRef]
- Zhang, X.; Tu, B.; Dai, L.; Lawson, P.A.; Zheng, Z.; Liu, L.-Y.; Deng, Y.; Zhang, H.; Cheng, L. Petroclostridium Xylanilyticum Gen. Nov., Sp. Nov., a Xylan-Degrading Bacterium Isolated from an Oilfield, and Reclassification of Clostridial Cluster III Members into Four Novel Genera in a New Hungateiclostridiaceae Fam. Nov. Int. J. Syst. Evol. 2018, 68, 3197–3211. [Google Scholar] [CrossRef]
- Rettenmaier, R.; Gerbaulet, M.; Liebl, W.; Zverlov, V.V. Hungateiclostridium Mesophilum Sp. Nov., a Mesophilic, Cellulolytic and Spore-Forming Bacterium Isolated from a Biogas Fermenter Fed with Maize Silage. Int. J. Syst. Evol. 2019, 69, 3567–3573. [Google Scholar] [CrossRef]
- Rettenmaier, R.; Schneider, M.; Munk, B.; Lebuhn, M.; Jünemann, S.; Sczyrba, A.; Maus, I.; Zverlov, V.; Liebl, W. Importance of Defluviitalea Raffinosedens for Hydrolytic Biomass Degradation in Co-Culture with Hungateiclostridium Thermocellum. Microorganisms 2020, 8, 915. [Google Scholar] [CrossRef]



| Abbr. | Crop Management | Crops | FYM Fertilization |
|---|---|---|---|
| ARP | Arbitrary rotation without legumes (since 1923) | Potato *-winter wheat- spring barley | No |
| ARP-FYM | Arbitrary rotation without legumes (since 1992 with FYM) | Potato *-winter wheat-spring barley | Yes (30 t ha−1) |
| LRL | Rotation with legumes (since 1924) | Lupine *-spring triticale-barley | No |
| FRR | Five-year rotation (since 1924) | Lupine-winter wheat-rye *-potato-barley | Yes (30 t ha−1) |
| FRP | Five-year rotation (since 1924) | Lupine-winter wheat-rye-potato *-barley | Yes (30 t ha−1) |
| MP | Monoculture (since 1923) | Potato | Yes (20 t ha−1) |
| MR | Monoculture (since 1923) | Rye | Yes (20 t ha−1) |
| Treatment | pH | TC (%) | TN (mg kg−1) | C:N Ratio | MPN (CFU mL−1) |
|---|---|---|---|---|---|
| ARP | 6.10 ± 0.04 ab | 0.47 ± 0.15 ab | 427.00 ± 20.00 c | 10.80 ± 0.40 ab | 45.00 ± 12.16 d |
| ARP-FYM | 6.00 ± 0.13 b | 0.53 ± 0.10 ab | 479.00 ± 34.00 bc | 11.00 ± 0.90 ab | 382.00 ± 19.67 a |
| LRL | 6.10 ± 0.10 ab | 0.56 ± 0.13 ab | 532.00 ± 16.00 b | 9.70 ± 0.32 b | 25.00 ± 6.80 d |
| MP | 6.10 ± 0.09 ab | 0.37 ± 0.10 ab | 324.00 ± 20.00 d | 11.40 ± 0.70 a | 30.00 ± 6.11 d |
| MR | 6.20 ± 0.11 ab | 0.36 ± 0.13 b | 329.00 ± 32.00 d | 10.90 ± 0.60 ab | 50.00 ± 10.00 d |
| FRR | 6.30 ± 0.06 a | 0.70 ± 0.11 a | 654.00 ± 30.00 a | 10.70 ± 0.63 ab | 293.00 ± 17.08 b |
| FRP | 6.20 ± 0.09 ab | 0.68 ± 0.12 ab | 648.00 ± 28.00 a | 10.50 ± 0.40 ab | 249.00 ± 17.90 c |
| Prob > F | 0.038 | 0.020 | <0.001 | 0.089 | <0.001 |
| Treatment | Sequences | OTUs | Shannon | Coverage |
|---|---|---|---|---|
| ARP | 43,800 | 804 | 2.73 | 98.80% |
| ARP-FYM | 59,097 | 1288 | 3.52 | 98.50% |
| LRL | 81,093 | 1089 | 2.91 | 99.10% |
| FRR | 62,032 | 1205 | 2.95 | 98.70% |
| FRP | 40,610 | 1150 | 3.25 | 98.10% |
| MP | 53,464 | 1270 | 3.30 | 98.40% |
| MR | 67,430 | 975 | 3.51 | 99.10% |
Publisher’s Note: MDPI stays neutral with regard to jurisdictional claims in published maps and institutional affiliations. |
© 2021 by the authors. Licensee MDPI, Basel, Switzerland. This article is an open access article distributed under the terms and conditions of the Creative Commons Attribution (CC BY) license (https://creativecommons.org/licenses/by/4.0/).
Share and Cite
Dobrzyński, J.; Wierzchowski, P.S.; Stępień, W.; Górska, E.B. The Reaction of Cellulolytic and Potentially Cellulolytic Spore-Forming Bacteria to Various Types of Crop Management and Farmyard Manure Fertilization in Bulk Soil. Agronomy 2021, 11, 772. https://doi.org/10.3390/agronomy11040772
Dobrzyński J, Wierzchowski PS, Stępień W, Górska EB. The Reaction of Cellulolytic and Potentially Cellulolytic Spore-Forming Bacteria to Various Types of Crop Management and Farmyard Manure Fertilization in Bulk Soil. Agronomy. 2021; 11(4):772. https://doi.org/10.3390/agronomy11040772
Chicago/Turabian StyleDobrzyński, Jakub, Paweł Stanisław Wierzchowski, Wojciech Stępień, and Ewa Beata Górska. 2021. "The Reaction of Cellulolytic and Potentially Cellulolytic Spore-Forming Bacteria to Various Types of Crop Management and Farmyard Manure Fertilization in Bulk Soil" Agronomy 11, no. 4: 772. https://doi.org/10.3390/agronomy11040772
APA StyleDobrzyński, J., Wierzchowski, P. S., Stępień, W., & Górska, E. B. (2021). The Reaction of Cellulolytic and Potentially Cellulolytic Spore-Forming Bacteria to Various Types of Crop Management and Farmyard Manure Fertilization in Bulk Soil. Agronomy, 11(4), 772. https://doi.org/10.3390/agronomy11040772

