Abstract
Sustainable agriculture practices within the guidelines of nutrient recycling and the circular economy must be increasingly promoted. This work aims to evaluate the performance of dried sewage sludge (DSS), green liquor dregs mixed with sewage sludge (DSSA), raw sewage sludge, and commercial organic fertilizer control, using a short-term agronomic assessment with lettuce crop (Lactuca sativa) in greenhouse conditions. Different application rates based on the nitrogen content were tested for each soil amendment: 0, 85, 170, and 225 kg N/ha (treatments T0, T1, T2, and T3, respectively). DSS and DSSA resulted in fresh lettuce productivities 1.3 and 3.2 times higher in T3 than in T0, respectively. The ideal N content in lettuce leaves was reached for all materials and treatments, with the highest values obtained for DSS (2.88–3.33% from T1 to T3). Lettuce produced in soils amended with DSS and DSSA showed also ideal levels of Ca. Overall, the performance of sludge-based products was similar to commercial fertilizer, without impairing the nutritional balance of the crop and the soil.
1. Introduction
In recent years, arable land areas have suffered increased pressure to meet the current demand for food production using intensive and mechanized agriculture. Agricultural production in the world has grown about three times over the past 50 years, while the cultivated areas have expanded by only 12%. By 2050, the rising world population will lead to an increase of 70% in global demand for agricultural production [1]. Moreover, the combination of excessive demographic pressure, climate change, and organic matter (OM) depletion due to unsustainable agricultural practices has resulted in land degradation and a decline in soil fertility, with associated excessive water requirements [1]. In this scope, Goal 2 of the UN Sustainable Development Goals (Zero Hunger) aims to set the necessity of implementing a sustainable food-production system and resilient agricultural practices to increase productivity by 2030. One of the first approaches is the balanced use of fertilizers, maintaining global crop productivity at current levels while reducing fertilizer losses and environmental pollution. Nowadays, the agricultural sector is highly dependent on synthetic NPK fertilizers, which can compromise food security due to an increase in fertilizer costs and tension in the phosphorus (P) market [2]. As a low-cost alternative, sewage sludge (SS) from municipal wastewater treatment plants (WWTP) can partially replace chemical fertilizer as an organic soil amendment, which is in line with the new Circular Economy Action Plan and Goal 12 of the UN Sustainable Development Goals [3]. Furthermore, Goal 12 (ensure sustainable consumption and production patterns) aims to reduce waste generation through prevention, reduction, recycling, and reuse.
The modernization and construction of new WWTP to treat and return water to the environment is a key factor to the increase in SS production worldwide, with an estimated production of 13 Mt (dry basis) in the European Union in 2020 [4]. Within the different alternatives to manage SS, its application to soil is still a primary route, although this lacks consensus within the scientific community and among stakeholders [4]. The main advantage of land spreading is the possibility of recycling OM and macronutrients (mainly N and P) to the soil. According to a European Environmental Agency assessment, around 45% of the European mineral soils have very low organic carbon content (0–2 wt%) [5]. Thus, SS can be a valuable source of OM, preventing soil erosion, increasing biological activity and water holding capacity [6,7]. Despite all the benefits discussed previously, SS must be applied to the soil with caution because it may contain a wide spectrum of harmful pollutants such as pathogens, potentially toxic metals (PTM), and complex organic pollutants (e.g., polycyclic aromatic hydrocarbons (PAHs), polychlorinated dibenzo-p-dioxins and dibenzo-p-furans (PCDD/Fs), pesticides, surfactants and hormones, and pharmaceuticals), which can pose potential risks to the health of humans, animals, and plants [8,9,10,11]. In this case, SS may require analytical control and in certain cases, pretreatment before the soil application may be crucial, particularly to eliminate pathogens. In the EU, the use of SS in agriculture must comply with the Council Directive 86/278/EEC, which establishes the limited concentrations of PTM (Cd, Cu, Hg, Ni, Pb, and Zn) in SS and the receiving soil [9,10,12]. However, this Directive is outdated and does not reflect current needs for ensuring the safe use of SS in agriculture [9]. In most EU Member States, limit values for PTM concentrations in sludge are more restrictive, and regulation for additional pollutants (pathogens and organic compounds) is also included [9,10]. As in other countries, the current Portuguese legislation (Decree-law No. 276/2009) limits the concentration of PTM in both SS and soil (including chromium), specific organic compounds, and pathogens (Escherichia coli—E. coli, and Salmonella spp.). Thus, the use of SS as soil amendment should be a compromise between the legislation requirements, nutritional needs of the crop based on the level of production intended, characteristics of the soil and SS, and climatic conditions [10,12].
Although composting of SS is one of the preferable options to stabilize organic matter and decontamination, thermal drying is arising as a viable option to obtain a consistent product to be applied in the soil [4,13,14]. Indeed, the present study is part of a project (Dry2Value) that aims to develop an industrial dryer to be implemented in WWTP to facilitate subsequent SS management phases, such as reducing transport costs and odors. The drying step will act as a pretreatment of SS to reduce high water content, unpleasant odors, and microbiological contamination. Thus, the final product is an organic-rich material (~30% wet basis (wb) of moisture) that can be used as an organic soil amendment, also containing relevant quantities of nutrients (N and P). Although the removal of moisture content by thermal drying is a costly process, the implementation of this step must be a balance between the cost of energy for drying and the reduction of the final cost for transportation and storage. Moreover, our previous studies explore the feasibility of using waste materials as drying additives to assist the drying process with energy gains, sanitize the SS, and balance the final product with additional micronutrients [4,13,14]. The selection of the best additive for the application in a full-scale drying process to produce an organic soil amendment was addressed in our previous study [15]. The screening of waste materials as potential drying additives was based on eleven criteria, grouped into environmental, technical, and economic categories. The results indicated that green liquor dregs (GLD), waste from kraft pulp mills, were the best alternative due to the good performance in the drying process, reducing drying time, and the positive influence on SS microbiological decontamination. GLD is produced at a rate of 10–20 kg/t of pulp, during the clarification of green liquor, and is currently disposed of in industrial landfills. This residue is mainly comprised of sodium and calcium as carbonates, hydroxides, sulphates, and contains small quantities of potentially toxic metals [16].
The present work aims to evaluate the performance of dried SS—with and without GLD—and other materials (raw SS and commercial organic fertilizer) as organic soil amendments in lettuce crop (Lactuca sativa) growth and soil properties after growing, in a greenhouse short-term agronomic assessment. This work will analyze the feasibility of producing an organic soil amendment to partially replace commercial fertilizers and the impact of the different materials on the availability of N and other nutrients.
2. Materials and Methods
2.1. Materials
Four organic materials were mixed with soil in growth tests with lettuce (Lactuca sativa), as summarized in Table 1. A sample of SS (about 40 kg) was collected in a Portuguese WWTP from an activated sludge system after mechanical dewatering by centrifugation. The sample was stored at 4 °C until further use. A green liquor dregs sample (about 5 kg) with an initial moisture content of 40%wb was obtained from a Portuguese kraft pulp mill. This sample was dried at room temperature and preserved in a closed container until use.
Table 1.
Materials used in the growth tests with lettuce.
The raw SS was dried without (DSS) and with 0.15 g GLD/gwb (DSSA), based on previous studies [4] in a laboratory oven until approximately 30%wb of moisture. The final moisture of the material was decided based on two criteria: (i) the European Regulation (EU) 2019/1009, which indicates that soil conditioners must have at least 20% dry matter, and the Portuguese Decree-law No. 103/2015, which defines a maximum of 40%wb moisture; (ii) to avoid additional costs in the drying process.
A psammitic Regossol soil, non-humic, sandy, and poor in OM and nutrients, was selected for the growth tests due to its appropriate characteristics for this type of test [17]. The soil used was sieved through a 10 mm screen for the growth test and a 2 mm screen to determine the main physicochemical characteristics (before and after the experiment).
2.2. Physicochemical and Microbiological Characterization
The determined parameters were based on the Portuguese regulation for applying SS in the soil (Decree-law No. 276/2009) and for fertilizers (Decree-law No. 103/2015). The moisture was determined according to DIN EN 12880:2001, while the OM was obtained by loss on ignition at 550 °C (DIN EN 15935:2012). The pH was measured in a 1:5 w/v suspension of solid material: water (DIN ISO 10390:2005). Nitrogen was determined according to the Kjeldahl method (DIN EN 16169:2012), while phosphorus and boron were quantified by ICP-OES (DIN EN ISO 11885:2009). Other elements (Ca, K, Mg) and metals (Pb, Cd, Cu, Ni, Zn) were determined by ICP-MS (DIN EN ISO 17294-2:2005). Mercury (Hg) was obtained by AAS (DIN EN ISO 12846:2012). The presence of organic compounds such as PAH (DIN CEN/TS 1618:2013), PCB (DIN EN 16167:2012), and PCDD/F (DIN CEN/TS 16190:2012) was determined to meet the legislation. Additionally, the enumeration of Escherichia coli and the search for Salmonella spp. were based on ISO 16649-2:2001 and ISO 6579-1:2017.
The characterization of the soil used followed some distinctive methods, except for pH. The electrical conductivity (EC) was determined in a soil: water extract of 1:2 w/v. The assimilable phosphorus and potassium were determined according to the Égner-Riehm method, and the assimilable magnesium and calcium followed the ammonium acetate method. The extractable Fe, Cu, Mn, Zn, and B were determined by the Lakanen-Erviö method. The content of PTM was determined by atomic absorption spectrometry after acid digestion with aqua regia. The productivity of the plant in dried basis was obtained after drying the fresh material at 65 °C.
2.3. Greenhouse Growth Tests
The growth tests were performed in a greenhouse covered with polycarbonate panels and with automatic cooling by dynamic dampened panels (cooling system) and roof opening. The cultivation was performed in polyethylene pots with 21 cm diameter and 5.5 L capacity. The Portuguese legislation (Decree-law No. 276/2009) based on Directive 86/278/CCE allows the use of sewage sludge in edible plants if its application precedes 10 months before sowing. Nevertheless, this restriction was not considered in this work to obtain a response in a short time. Additionally, the crop used was lettuce (Lactuca sativa) since it is a common indicative crop to measure the availability of nutrients and other soil elements. Moreover, lettuce is easily adapted to the growth in pots, reaching the end of its cycle in a marketable form. Each pot received three lettuce plants.
Table 2 summarizes the treatments used based on the supply of N. The conditions were the same for the four materials mentioned in Table 1, and each treatment was replicated four times. These organic soil amendments contain organic N concentrations with value for agronomic applications, but it is expected that most of the nitrogen supplied will not be immediately available for the crops. On the contrary, mineral N will be released over time from these organic materials. Thus, to avoid any deficiencies on mineral N in the first growth phase, each pot received 40 kg N/ha as a solution (50% N-amide, 25% N-nitric, and 25% N-ammoniacal). This additional supply is not a variable in this study but a supplement, considering that the tested materials will not be able to substitute the mineral fertilization completely. This approach will ensure that any situations of non-fertility are not related to the shortage of nutrients [18,19].
Table 2.
Conditions to test the amendments (SS, DSS, DSSA, and COF) to the soil.
The assay started with preincubation of SS four weeks before planting the lettuce due to the initial biological instability of the sample. After four weeks, each pot with 5 L of soil was treated with the amendments and received three small plants of lettuce. All the experiments lasted for two months (December–February). The pots were randomly arranged and periodically rotated/translated to guarantee the same radiation conditions and irrigated with distilled water until the soil reaches the field capacity.
Finally, the lettuce was harvested, cleaned, weighed (fresh weight), and dried (dry weight). The dried material was milled for further chemical analysis. A homogenized sample of soil from each pot was collected to analyze the agronomic characteristics and PTM.
2.4. Statistical Analysis
The data obtained were analyzed using a one-way analysis of variance (ANOVA) for products or treatments independently, using Astatsa online software. Whenever some changes occurred, pairwise comparisons were performed to identify the statistically significant difference through the Tukey’s Honestly Significant Difference (HSD) test. Results were considered significant at p < 0.05. Statistically significant differences were identified by distinct lowercase letters or asterisks in specific figures of Section 3, according to the rank order of the means from the highest to the lowest. In addition, mean values and standard deviations in four replicates are presented in tables or figures throughout the manuscript. Each physical and chemical parameter was measured in duplicate.
3. Results and Discussion
3.1. Characterization of the Materials
The physicochemical and microbiological characterization of the organic amendments is present in Table 3. In addition, the reference values for SS application in soil (Portuguese Decree-law No. 276/2009) were also included for comparison purposes.
Table 3.
Physicochemical and microbiological characteristics of the sewage sludge-based products and commercial fertilizer, with respective legal limits.
All materials have a pH between 7.0 (neutral) and 8.4 (basic), which can help correct the pH of acidic soils. Nevertheless, lettuce growth is boosted in soil with a pH between 6 and 7 [20]. As already expected, SS and DSS have identical and high OM, N, and P contents. Organic N is the dominant form of nitrogen for all materials including COF, followed by N-NH4+. However, the plants only absorb the mineralized forms (essentially N-NH4+ and N-NO3−), which are obtained by the mineralization of organic N [21]. These values corroborate the need for mineral supplementation described previously in the Materials and Methods section.
Comparing the sludge-based materials, OM, N, and P contents decrease considerably in DSSA when compared to the raw SS. The chemical composition of GLD and its alkaline pH (>8) can explain the differences observed. According to Graves (2000), a pH greater than eight promotes the conversion of N-NH4+ to NH3 (gaseous phase) [22]. As expected, SS and DSS have a high content of OM, which is crucial for good soil condition, namely to increase the water and nutrients retention, porosity and oxygenation, cation exchange capacity (CEC), and pH stability [12,23,24]. Nitrogen, especially nitrate, is a key factor for vegetable growth and yield, and phosphorus has energetic and structural functions in the plant. Except in the case of COF, the levels of the macronutrient K are very low (0.23–0.31%). Regarding the secondary macronutrient Mg, DSSA and COF present higher contents (1.99 and 1.04%, respectively). Additionally, Ca is one of the main components of DSSA (28.7%), which could be an advantage to improve soil quality. Indeed, calcium deficiency in very acidic soils may affect cation exchange phenomena [12]. However, the excess of Ca can hinder the absorption of other elements by plants, such as Mg, Fe, Mn, and Zn [20,25]. GLD is rich in Mg and Ca [4,25], which justified the higher levels of these elements in DSSA.
Regarding the PTM, all materials show concentrations below the legal limits established for direct use of sludge in soil (Portuguese Decree-law No. 276/2009). Another parameter regulated by legislation is the content of organic compounds. Table 3 shows that all materials comply with the maximum limits allowed, except the SS where LAS content (10,000 mg/kg) is double the legal limit. Concerning the microbiological contamination, as already expected, SS cannot be used in the soil without pretreatment because of the high content of E. coli and the presence of Salmonella spp. On the other hand, it is possible to conclude that thermal drying at 100 °C is sufficient to sanitize the materials (DSS and DSSA) [13].
3.2. Characteristics of the Soil before the Experiment
Soil fertility and productivity depend on a set of interrelated characteristics, such as texture, structure, availability of organic matter, and nutrients [12,21]. Table 4 presents the main properties of the soil used in the greenhouse experiment.
Table 4.
Characteristics of the soil used in the experiment.
The soil is acidic (pH 5.50), with a sandy texture (97% sand), a bulk density of 1290 g/L, low OM (0.70%), total N (TN) of 0.04%, and does not present saline effects. As expected, due to low clay percentage (2%) and OM content, CEC is very low (<5.0 meq/100 g). However, the sandy texture has the advantage of providing good soil aeration. The exchangeable bases are also very low (Ca2+ < 2.0, Mg2+ < 0.5, K+ < 0.1, and Na2+ < 0.1 meq/100 g), which meets the conditions of an acidic pH [20]. According to the values presented by INIAP (2006), the assimilable P and K indicate that the soil presents low fertility (26–50 mg/kg P2O5 and K2O). Mg and Ca may be equally absorbed in the exchange complexes. Deficiency of assimilable Mg usually arises in acidic soils, with a Ca/Mg ratio > 4 meq/100 g, which is the case here (13.5 meq/100 g) [20]. Regarding the micronutrient contents in the soil (extractable Fe, Cu, Zn, Mn, and B), Fe and B are low, Cu and Mn are medium, while Zn content is high. PTM content is below the legal limits established for soil receiving sludge (Portuguese Decree-law No. 276/2009) and a commercial fertilizer (Portuguese Decree-law No. 103/2015).
3.3. Influence of the Different Treatments and Amendments on Lettuce Growth
3.3.1. Crop Productivity
Figure 1 illustrates the effect of the different treatments (T0 to T3) and soil amendment materials (SS, DSS, DSSA, and COF) in the growth of lettuce, and Figure 2 presents the mean productivity as fresh and dry weight of lettuce for the various added materials.
Figure 1.
Growth of lettuce by the end of the experiment for testing four treatments (T0 to T3) and four soil amendment materials (SS, DSS, DSSA, and COF).
Figure 2.
Production (g/pot) as fresh and dry weight of lettuce for the different added soil amendments at application rates of (a) T1—85 kg N/ha; (b) T2—170 kg N/ha; (c) T3—255 kg N/ha (T0—0 kg N/ha; mean values and standard deviations of four replicates of each treatment; the Tukey test was conducted separately for the dry weight (green letters) and fresh weight (black letters), and also for each figure independently; different letters mean statistically different results).
Visually, it is possible to state that all treatments have better productivity than T0, independently of the material used, which is corroborated by the results in Figure 2 (p < 0.05). In general, the productivity of fresh lettuce ranged from approximately 44 ± 1 g/pot in T0 to 140 ± 1 g/pot in T3 for SS, DSSA, and COF. Thus, the productivity is around 3.2 times higher in T3 than in T0. DSS revealed small productivities in T2 and T3 compared to the others (p < 0.05) but still 1.3 times higher in T3 (100 ± 2 g/pot) than in T0 (44 ± 1 g/pot). These small productivities observed in T3 (compared to T1 and T2) for DSS do not represent a problem since the system is in extreme conditions in this treatment. Indeed, the increase in the application rate of the materials can lead to toxicity, increased salinity, nutritional imbalance, pH change, and other problems that can affect the proper growth of the crop. These differences can be due to physical, chemical, and biological effects on the different added materials or even the initial crop quality. Regardless, DSS exhibited similar productivity to SS and DSSA in T1 while it had the great advantage of not containing pathogens compared to SS. DSSA showed a consistent performance for all treatments with productivities ranging from 83 to 143 g/pot from T1 to T3. Thus, the use of GLD during the drying process is advantageous from a technical point of view and the final product. The values on dry weight led to the same conclusions.
3.3.2. Chemical Composition
Leaf analysis evaluates the nutritional status of a crop and complements soil analysis in establishing proper fertilization rates over time. Moreover, this type of analysis helps to identify the state of deficiency or phytotoxicity of a nutrient or other element. The determination of macronutrients (Figure 3a–f) content in dried lettuce was conducted after the growth experiment. According to Maynard and Hochmuth (2007), sufficient nutrient ranges for selected greenhouse lettuce crops (dried most recently matured whole leaves) are N—2.1–5.6%; P—0.5–0.9%; K—4.0–8.0%; Ca—0.9–2.0%; Mg—0.4–0.8% [23].
Figure 3.
Macronutrient content (a) nitrogen; (b) phosphorus; (c) potassium; (d) calcium; (e) magnesium; (f) sodium in the dried biomass of lettuce for the different added soil amendments (T0—0 kg N/ha; T1—85 kg N/ha; T2—170 kg N/ha; T3—255 kg N/ha; mean values obtained in four replicates of each treatment).
Firstly, it is important to point out that the treatments and added materials improved the macronutrient content in the lettuce leaves compared to T0 (p < 0.05), except in some cases for K and Ca. The ideal macronutrient content was only reached for N for all materials and treatments, with the highest values obtained with DSS (2.88-3.33% from T1 to T3). The increase in the application rate from 85 (T1) to 240 kg N/ha (T3) showed a statistically significant impact on the N content in the lettuce leaves for the soil amended with SS. For the other amendments, all the treatments showed no distinctive results, except for T1 with DSS. The P content in the leaves was far below the minimum required, with a maximum of 0.27% for lettuce from the soil amended with DSSA in T3. Pereira et al. (2020) found higher values for P content in lettuce leaves (0.4-0.7%), within the normal standards for this crop, possibly due to the initial high P concentration in the soil [26]. In the same line as our work, Castro et al. (2009) obtained a mean value of 0.4% P for crops treated with sewage sludge, but they indicate that the P content could increase to about 0.7% after a third crop season [24]. Indeed, sludge-based materials (SS, DSS, DSSA) have a high amount of N and P compared to COF, but deficiencies in K were evident. The level of K was around 6% for the lettuce leaves except for those grown with COF.
Since there was no significant increase in the macronutrient content from T2 to T3, it seems unnecessary to use greater application rates than T2 (maximum N quantity recommended by Portuguese law for manure and slurry). Regarding the added materials of most interest for the Dry2Value project (DSS and DSSA), several conclusions can be drawn from this experiment: (i) DSS resulted in higher N and lower P contents (p < 0.05) compared to DSSA and COF, with similar levels as SS; (ii) COF was the material that provided higher levels of K, while DSS and DSSA resulted in similar levels between them (p > 0.05); (iii) DSSA resulted in higher Na content compared to the other added materials, whereas DSS and the other added materials had similar levels. Overall, it was possible to conclude that the growth performance in DSS and DSSA in terms of leaf macronutrient content was in some cases superior (e.g., P and Na) to the other materials, and they are good substitutes for COF in the provision of balanced nutrition, except for K. In the future, supplemental K-rich residues can be added.
Considering that N is the central macronutrient in this study, its offtake by lettuce as a function of the treatments and materials was also considered (Figure 4). In this case, the statistical analysis was performed at two levels: (i) to compare the influence of treatments within each material (marked with *), and (ii) to compare the influence of materials for each treatment (marked with letters), and equal letters mean an equal result. If there is no letter or * over a bar, it means that the results are statistically similar (p > 0.05).
Figure 4.
N offtake by lettuce as a function of treatment and added soil amendment material (T0—0 kg N/ha; T1—85 kg N/ha; T2—170 kg N/ha; T3—255 kg N/ha; mean values and standard deviations obtained in four replicates of each treatment; different letters indicate statistical differences between materials; * indicate statistical differences between treatment within each material).
The results in Figure 4 indicate that the organic N in the materials has been mineralized and absorbed by the plants in addition to that added to each treatment by mineral fertilization (40 kg N/ha). Indeed, the performance of each material will be related to the capability of their N to become available and assimilable. The maximum offtake of N was observed in the soil amendment with SS in T3 (300.6 ± 21.3 mg N/pot). The main conclusion is that the offtake of N by lettuce in the soils amended with the sludge-based materials (SS, DSS, and DSSA) was similar or higher than the ones observed in the soil amended with the COF (reference in the market).
Regarding micronutrient content (Figure 5a–d), the ideal levels in lettuce leaves have a wide range according to Maynard and Hochmuth (2007): Fe—50-200 mg/kg; Mn—25–200 mg/kg; Zn—30-200 mg/kg; and B—25-65 mg/kg [23]. The statistical analysis was similar to the one presented in Figure 4.
Figure 5.
Micronutrient content (a) iron; (b) manganese; (c) zinc; (d) boron in the dried biomass of lettuce for the different added soil amendments (T0—0 kg N/ha; T1—85 kg N/ha; T2—170 kg N/ha; T3—255 kg N/ha; mean values and standard deviations obtained in four replicates of each treatment; different letters indicate statistical differences between materials; * indicate statistical differences between treatments within each material; the statistical analysis was conducted separately for each figure).
All the added materials and treatments meet these limits. However, it was not possible to observe an increase in micronutrient content correlated with increased application dose. Although the influence of the treatments seems to be more complex, the added materials of greater interest (DSS and DSSA) show, in general, better performance than COF in providing these elements to the plant. The levels of Fe in leaves were higher in T0 (> 250 mg/kg) than in the other treatments. The same was reported by Castro et al. (2009) indicating that an increase in soil organic matter from amendments such as SS can lead to decreased Fe in lettuce leaves. Indeed, according to these authors, organic matter helps to retain Fe in the soil. Overall, the highest offtake of these micronutrients (Fe, Zn, and B) was observed in the soil amended with SS.
Finally, it is important to point out that the content of PTM in the plants after growth was not analyzed since the soil amended with the sludge-based materials was below the legal limits. Additionally, PTM content in the amended soils was far below the reference values considered for “clean soil” (i.e., 32, 27, 30, 30, and 74 mg/kg for Cr, Cu, Ni, Pb, and Zn, respectively) [27]. Zhang et al. (2021) developed a study to assess the soil–plant–human health risks from PTM after land application of SS and SS biochar. The assays showed that the edible parts of radish and corn presented PTM concentrations below the threshold levels for certain contaminants in foodstuff, even at the highest application rate (30 t/ha). Additionally, the hazard quotient (estimated according to the models developed by US Environmental Protection Agency) obtained for all the PTM was less than one. Thus, it was suggested that no adverse health risk from the intake of these contaminants is observed after consuming the radish roots and corn grains cultivated in soil with SS and SS biochar [18]. Similarly, Alvarenga et al. (2016) conducted a study with the application of different organic materials (including SS) in the soil at different rates (6, 12, and 25 t/ha). According to the studies, the PTM concentration in the plant was similar after the application of these materials. Additionally, the bioaccumulation factor (i.e., the ratio of the metal concentration in the aboveground plant material to the total metal concentration in the soil) was below one for Cr and Ni (<0.05 and <0.07, respectively). These results indicate that the plant could exclude these elements. On the other hand, this factor was higher than 1 for Cu and Zn since these elements are micronutrients. However, there is no risk for the human food chain since the PTM concentration in the soil was very low, even after the application of SS [28].
3.4. Influence of the Different Treatment and Amendments on Soil Properties
3.4.1. pH, Conductivity, and Organic Matter
Table 5 presents the pH, EC, and OM values of the soil after the growth experiment. For the soil amended with SS and DSS, the pH decreased slightly (about 0.5 units) between T0 and T3. The biodegradation of the organic fraction of the materials, and nitrification processes due to the high amounts of organic N, may have contributed to the acidification of the soil [20,29]. On the other hand, in general, the application of DSSA and COF promoted an increase in the pH compared to T0. This increase was more significant between T0 and T3 for the soil amended with DSSA (0.7 units). Lettuce growth is boosted in soil with a pH between six and seven [20]. As observed in Table 5, in general, the soils amended with the four materials resulted in pH close to six. Thus, this factor was not detrimental to the proper growth of the crop.
Table 5.
pH, EC, and OM of the soil after lettuces harvest, for all treatments and soil amendments (mean values obtained in four replicates of each treatment; mean ± standard deviation).
Based on EC values (Table 5), all amendments tend to slightly increase the soil EC value. However, this increment does not seem to be incompatible with crop growth. Additionally, these values of EC correspond to soils without saline effects [20]. The increase in the OM content is not directly proportional to the increase in the application dose. Although SS, DSS, and COF present the highest amounts of OM, the soil amended with DSSA showed the major increments in OM, with 1.53% for T3. An experiment conducted by Breda et al. (2020) showed similar behavior regarding the chemical changes in the soil amended with SS. Regarding the soil OM, there was an increase over time that was proportional to the application rate, which is not possible to verify in the present work [30]. This OM increase is a relevant aspect to provide a good agronomic condition to any soil.
3.4.2. Nutrients
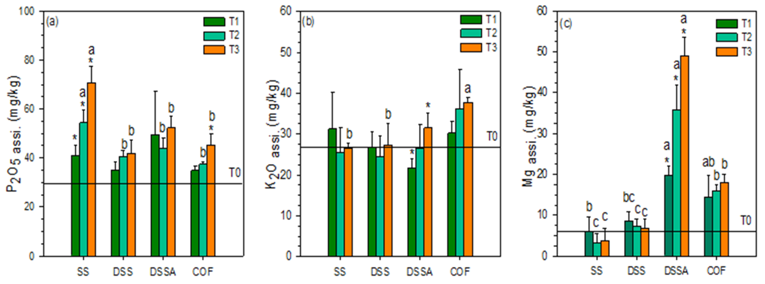
The total content of nitrogen of the soil amended with the different organic materials after lettuce growth is statistically equivalent for all treatments and products tested (0.03–0.05% of total N). Concerning other macronutrients content, Figure 6a–c presents the nutritional condition of P2O5, K2O, and Mg. In these cases, the statistical analysis was performed at two levels: (i) to compare the influence of treatments within each material (marked with *), and (ii) to compare the influence of materials for each treatment (marked with letters), and equal letters mean equal result. If there is no letter or * over a bar, it means that the results are statistically similar (p > 0.05).
Figure 6.
Macronutrients content in the soil after lettuce growth for the different soil amendments: (a) assimilable phosphorus; (b) assimilable potassium; (c) assimilable magnesium (T0—0 kg N/ha; T1—85 kg N/ha; T2—170 kg N/ha; T3—255 kg N/ha; mean values and standard deviations obtained in four replicates of each treatment; different letters indicate statistical differences between the added soil amendments; * indicate statistical differences between treatment within each added material; the statistical analysis was conducted separately for each figure).
The assimilable macronutrients (P2O5, K2O, and Mg) present some statistical differences between the materials. Regarding P2O5, SS revealed the highest increment between T0 and T3, increasing the concentration in the soil from 35.25 to 70.75 mg P2O5/kg. Indeed, SS was the only sludge-based material that showed statistically significant differences between treatments. On the other hand, DSS and DSSA revealed similar inputs on P content for T2 and T3, which means that it is not necessary to use an application rate superior to the one recommended by legislation. As expected, none of the sludge-based materials have a significant impact on K content, but these results showed similarity with COF, except in T3 (p < 0.05). Thus, an additional K-rich material should be considered to provide more K to the soil. Regarding the assimilable Mg, DSSA was the material with more influence in the soil, increasing the content from 8.50 (T0) to 47 mg/kg (T3). Regardless, statistical analysis demonstrates differences between DSSA and the remaining products in T2 and T3.
Concerning the micronutrients content, Figure 7a–d depicts the nutritional status of the soil after lettuce growth for the different organic materials. The statistical analysis was performed again at two levels. In general, for all micronutrients (extractable Fe, Zn, Mn, and B), there are no significant differences between treatments for each separately analyzed product (p > 0.05).
Figure 7.
Micronutrients content in the soil after lettuce growth for the different soil amendments: (a) extractable iron; (b) extractable zinc; (c) extractable manganese; (d) extractable boron (T0—0 kg N/ha; T1—85 kg N/ha; T2—170 kg N/ha; T3—255 kg N/ha; mean values and standard deviations obtained in four replicates of each treatment; different letters indicate statistical differences between materials; * indicate statistical differences between treatments within each added material; the statistical analysis was conducted separately for each figure).
Once again, the materials have similar performances in most cases. Although DSS and DSSA have regular behavior providing micronutrients for the soil, these materials stand out due to their capability of providing assimilable B to the soil, with values twice as high in T2 than in T0. Indeed, lettuce is sensible for the deficit of B [20]. Thus, the good performance of DSS and DSSA in providing this element to the soil is an advantage.
3.4.3. Potentially Toxic Metals
Figure 8a–c presents the content of PTM in the soil for the different treatments and materials after lettuce growth. The concentrations measured are far below the legislated limits for PTM in soil. Additionally, the authors used application rates following the recommendations of the legislation as well. Indeed, according to a study developed by Inácio et al. (2008) that provides “the soil geochemical atlas of Portugal”, the reference values (maximum concentration to consider a “clean” soil) for Cr, Cu, Ni, Pb, and Zn are 32, 27, 30, 30, and 74 mg/kg [27]. As observed in Figure 8, the concentrations are significantly below these reference values. Thus, it can be concluded that regardless of the dosage and product applied, there is no risk of soil contamination and possibly no risk to plants. Nevertheless, this conclusion should be strengthened in the future, for example, with several consecutive applications of amendment in the soil. So, regarding the PTM concentration, all materials could be used as a soil amendment for crop production, even if there is an increase in the content of some metals associated with the variability of the raw sludge. The minimum and maximum contents obtained by metal are listed as follows (mg/kg): (Zn) 6.79 ± 0.99 (T0) −9.68 ± 1.31 (T1, DSSA); (Cu) 1.27 ± 0.22 (T0) −1.76 ± 0.42 (T3, DSS); (Cd) 0.03 ± 0.03 (T0) −0.08 ± 0.04 (T1, SS); (Pb) 0.37 ± 0.02 (T0) −0.39 ± 0.05 (T2, COF); (Cr) 0.66 ± 0.02 (T0) −0.72 ± 0.08 (T3, COF); (Ni) 0.27 ± 0.02 (T0) −0.31 ± 0.04 (T3, SS).
Figure 8.
PTM content in the soil after lettuce growth for the different treatments: (a) T1—85 kg N/ha; (b) T2—170 kg N/ha; (c) T3—255 kg N/ha (T0—0 kg N/ha; SS—raw sewage sludge; DSS—dried sewage sludge; DSSA—dried sewage sludge with GLD; COF—commercial fertilizer; mean values and standard deviations obtained in four replicates of each treatment; treatments marked with * are statistically different; the statistical analysis was conducted separately for each figure).
4. Conclusions
The proper management and application of sewage sludge in agriculture is a matter of interest worldwide. This study presents relevant results regarding the application of sewage sludge as a soil amendment in growing lettuce to provide organic matter and macro- and micronutrients. All the sludge-based materials tested had a significant impact on lettuce productivity and plant nutrition, i.e., macro- and micronutrients concentrations in the leaves.
The soils amended with SS, DSSA, CSS, and COF demonstrated that productivity can be more than three times higher in treatment T3 than in T0 (control). Lettuce obtained in soils amended with DSS and DSSA (produced in the Dry2Value project) resulted in N, Ca, and Mg tissue levels in the ranges considered ideal for lettuce leaves. Moreover, regarding micronutrients, the sludge materials also provided the concentrations required. The soil amended with the materials DSS and DSSA showed levels of assimilable P2O5, and extractable Mn and B similar or better than the commercial fertilizer. Thus, these results indicate that DSS and DSSA can be used as a substitute for commercial fertilizers without impairing the nutritional balance of lettuce and the soil. A very important result of this study is the evidence that residues (e.g., sewage sludge and green liquor dregs) can be converted into safe and valuable fertilizer products within the guidelines of the circular economy.
Author Contributions
Conceptualization, A.F.S., A.M.V. and P.B.; writing—original draft preparation, A.F.S., and M.J.Q.; writing—review and editing, A.M.V., P.B., F.M.B., J.C.G. and M.J.Q. All authors have read and agreed to the published version of the manuscript.
Funding
This research was funded by Fundo Europeu de Desenvolvimento Regional (FEDER)-Programa Operacional Compatitividade e Internacionalização grant number POCI-01-0247- FEDER-033662, and CIEPQPF strategic project number UIDB/00102/2020. The APC was funded by POCI-01-0247- FEDER-033662.
Institutional Review Board Statement
Not applicable.
Informed Consent Statement
Not applicable.
Acknowledgments
This work was developed under the project ‘Dry2Value–Estudo e desenvolvimento de um sistema de secagem para valorização de lamas. Project consortium with Universidade de Coimbra, HRV and BioSmart–Soluções Ambientais, S.A. POCI-01-0247- FEDER-033662. Funded by Fundo Europeu de Desenvolvimento Regional (FEDER)–Programa Operacional Competitividade e Internacionalização, and CIEPQPF strategic project (UIDB/00102/2020).
Conflicts of Interest
The authors declare no conflict of interest.
References
- FAO. The State of the World’s Land and Water Resources for Food and Agricultuure (SOLAW)—Managing Systems at Risk; Food and Agriculture Organization of the United Nations, Rome and Earthscan: Rome, Italy, 2011. [Google Scholar]
- Brunelle, T.; Dumas, P.; Souty, F.; Dorin, B.; Nadaud, F. Evaluating the impact of rising fertilizer prices on crop yields. Agric. Econ. 2015, 46, 653–666. [Google Scholar] [CrossRef]
- Buta, M.; Hubney, J.; Zienlinski, W.; Harnisz, M.; Korzeniewska, E. Sewage sludge in agriculture—The effects of selected chemical pollutants and emerging genetic resistance determinants on the quality of soil and crops—A review. Ecotoxicol. Environ. Saf. 2021, 214, 112070. [Google Scholar] [CrossRef] [PubMed]
- Gomes, L.A.; Santos, A.F.; Góis, J.C.; Quina, M.J. Thermal dehydration of urban biosolids with green liquor dregs from pulp and paper mill. J. Environ. Manag. 2020, 261, 109944. [Google Scholar] [CrossRef] [PubMed]
- EEA (European Environmental Agency). Indicator Assessment: Soil Organic Carbon. Available online: https://www.eea.europa.eu/data-and-maps/indicators/soil-organic-carbon-1/assessment (accessed on 21 April 2021).
- Hillel, D. Soil Fertility and Plant Nutrition. In Soil in the Environment; Elsevier: New York, NY, USA, 2008; pp. 151–162. [Google Scholar]
- Jones, J.B., Jr. Agronomic Handbook: Management of Crops, Soils, and Their Fertility, 1st ed.; CRC Press: Boca Raton, FL, USA, 2002. [Google Scholar]
- Kacprzak, M.; Neczaj, E.; Fijałkowski, K.; Grobelak, A.; Grosser, A.; Worwag, M.; Rorat, A.; Brattebo, H.; Almås, Å.; Singh, B.R. Sewage sludge disposal strategies for sustainable development. Environ. Res. 2017, 156, 39–46. [Google Scholar] [CrossRef] [PubMed]
- Hudcová, H.; Vymazal, J.; Rozkošný, M. Present restrictions of sewage sludge application in agriculture within the European Union. Soil Water Res. 2019, 14, 104–120. [Google Scholar] [CrossRef]
- Andersen, A. Disposal and Recycling Routes for Sewage Sludge: Part 3—Scientific and Technical Report; European Commission: Luxembourg, 2002. [Google Scholar]
- Sharma, B.; Sarkar, A.; Singh, P.; Pratap, R. Agricultural utilization of biosolids: A review on potential effects on soil and plant grown. Waste Manag. 2017, 64, 117–132. [Google Scholar] [CrossRef] [PubMed]
- Aguiar, A.; Godinho, M.C.; Costa, C.A. Produção Integrada; Sociedade Portuguesa de Inovação: Viseu, Portugal, 2005. [Google Scholar]
- Santos, A.F.; Santos, C.P.; Matos, A.M.; Cardoso, O.; Quina, M.J. Effect of Thermal Drying and Chemical Treatments with Wastes on Microbiological Contamination Indicators in Sewage Sludge. Microorganisms 2020, 8, 376. [Google Scholar] [CrossRef] [PubMed] [Green Version]
- Santos, A.F.; Gomes, L.A.; Góis, J.C.; Quina, M.J. Improvement of Thermal Dehydration and Agronomic Properties of Products Obtained by Combining Sewage Sludge with Industrial Residues. Waste Biomass Valorization 2021, 12, 5087–5097. [Google Scholar] [CrossRef]
- Gomes, L.A.; Santos, A.F.; Pinheiro, C.T.; Góis, J.C.; Quina, M.J. Screening of waste materials as adjuvants for drying sewage sludge based on environmental, technical and economic criteria. J. Clean. Prod. 2020, 259, 120927. [Google Scholar] [CrossRef]
- Quina, M.J.; Pinheiro, C.T. Inorganic waste generated in kraft pulp mills: The transition from landfill to industrial applications. Appl. Sci. 2020, 10, 2317. [Google Scholar] [CrossRef] [Green Version]
- Sempiterno, C. Colocação no mercado de matérias fertilizantes não hamornizadas—Ensaios de Eficácia. In Vida Rural; Instituto Nacional de Investigação Agrária e Veterinária: Oeiras, Portugal, 2017; pp. 36–38. [Google Scholar]
- Zhang, J.; Hu, H.; Wang, M.; Li, Y.; Wu, S.; Cao, Y.; Liang, P.; Zhang, J.; Naidu, R.; Liu, Y.; et al. Land application of sewage sludge biochar: Assessments of soil-plant-human health risks from potentially toxic metals. Sci. Total Environ. 2021, 756, 144137. [Google Scholar] [CrossRef] [PubMed]
- Antoniadis, V.; Koutroubas, S.D.; Fotiadis, S. Nitrogen, Phosphorus, and Potassium Availability in Manure- and Sewage Sludge–Applied Soil. Commun. Soil Sci. Plant Anal. 2015, 46, 393–404. [Google Scholar] [CrossRef]
- INIAP. Manual de Fertilização das Culturas, 2nd ed.; Laboratório Químico Agrícola Rebelo da Silva: Lisbon, Portugal, 2006. [Google Scholar]
- Jones, J.B., Jr. Plant Nutrition and Soil Fertility Manual, 2nd ed.; CRC Press: Boca Raton, FL, USA, 2012; ISSN 9781439816103. [Google Scholar]
- Graves, R. Chapter 2—Composting. In Part 637 Environmental Engineering National, Engineering Handbook; NRCS National Production Sevices: Fort Worth, TX, USA, 2000. [Google Scholar]
- Maynard, D.; Hochmuth, G. Knott’s Handbook for Vegetable Growers, 5th ed.; John Wiley & Sons, Inc.: Hoboken, NJ, USA, 2007. [Google Scholar]
- Castro, E.; Mañas, P.; De las Heras, J. A comparison of the application of different waste products to a lettuce crop: Effects on plant and soil properties. Sci. Hortic. 2009, 123, 148–155. [Google Scholar] [CrossRef]
- Medeiros, J.C.; Albuquerque, J.A.; Mafra, Á.L.; Batistella, F.; Grah, J. Calagem superficial com resíduo alcalino da indústria de papel e celulose em um solo altamente tamponado. Rev. Bras. Ciência Solo 2009, 33, 1657–1665. [Google Scholar] [CrossRef] [Green Version]
- dos Santos Pereira, I.; Bamberg, A.L.; Oliveira de Sousa, R.; Monteiro, A.B.; Martinazzo, R.; Posser Silveira, C.A.; de Oliveira Silveira, A. Agricultural use and pH correction of anaerobic sewage sludge with acid pH. J. Environ. Manag. 2020, 275, 111203. [Google Scholar] [CrossRef] [PubMed]
- Inácio, M.; Pereira, V.; Pinto, M. The Soil Geochemical Atlas of Portugal: Overview and applications. J. Geochemical Explor. 2008, 98, 22–33. [Google Scholar] [CrossRef]
- Alvarenga, P.; Farto, M.; Mourinha, C.; Palma, P. Beneficial Use of Dewatered and Composted Sewage Sludge as Soil Amendments: Behaviour of Metals in Soils and Their Uptake by Plants. Waste Biomass Valorization 2016, 7, 1189–1201. [Google Scholar] [CrossRef]
- Sommers, L. Chemical composition of sewage sludges and analysis of their potential use as fertilizers. J. Environ. Qual. 1977, 6, 225–232. [Google Scholar] [CrossRef]
- Breda, C.C.; Soares, M.B.; Tavanti, R.F.R.; Viana, D.G.; da Silva Freddi, O.; Piedade, A.R.; Mahl, D.; Traballi, R.C.; Guerrini, I.A. Successive sewage sludge fertilization: Recycling for sustainable agriculture. Waste Manag. 2020, 109, 38–50. [Google Scholar] [CrossRef] [PubMed]
Publisher’s Note: MDPI stays neutral with regard to jurisdictional claims in published maps and institutional affiliations. |
© 2022 by the authors. Licensee MDPI, Basel, Switzerland. This article is an open access article distributed under the terms and conditions of the Creative Commons Attribution (CC BY) license (https://creativecommons.org/licenses/by/4.0/).











