Abstract
Climate change has disrupted several aspects of food systems, but perhaps one of the most alarming effects on global nutrition is the decrease in grain production as well as the reduction in the protein content and quality of the grain. Over the last several decades, due to climate change, suitable areas in Korea for barley cultivation have been moving northward compared to the past. Thus, the objective of this study was to determine how different climatic factors such as temperature impact barley growth at different stages (December, February, and April) and the yield at harvest in four group areas (G1, G2, G3, and G4) with different climates. Differences in the temperatures between areas during the growing season and the variability in growth and yields were noted. Additionally, the chemical composition of the soils and the mineral content of the leaves at the heading stage as well as the main constituents and amino acid composition of the barley seeds grown in different areas were considered. On average, the tiller number/m2, plant height, and dry aboveground plant parts/m2 in G1 areas were lower than in other group areas when measured before overwintering (December), after overwintering (February), and at the heading stage (April). However, there was no difference in these parameters between G2 and G3 areas. In 2020, the order of yield levels was G4 > G2 = G3 > G1. The yield in G1 areas was 37% less than in G4 areas. In 2021, yield levels were similar with the order of yield being G4 = G3 > G1 = G2. Also similar to the prior year, yield in G1 areas was 39% less than in G4 areas. The minimum and daily average temperatures during the growing season (October to June) were in the order of G4 > G3 > G2 > G1. Growth parameters in the colder G1 areas were lower than in other group areas, which suggests that the minimum and daily average temperatures in December, February, and April may be responsible for the lower crop growth and yield. Crude protein, lipid, and ash contents in the G1 and G2 areas were higher than in G3 and G4 areas. There was no variation in most kinds of amino acids between the group areas. Organic matter, available phosphoric acid, potassium (K), calcium (Ca), and zinc (Zn) contents in the soil of G1 areas were higher than in soils elsewhere. In addition, there was no consistency among most other mineral contents in the plants between the group areas. Overall, the growth and yield in G1 areas were lower than in other areas. Thus, it was concluded that these areas were still not suitable for barley cultivation regardless of climate change.
1. Introduction
One of the most important challenges of the 21st century is to find solutions to the problems caused by global climate change. Climate change is projected to lead to widespread alterations in weather patterns and increase the frequency of extreme events such as floods, heat waves, and droughts. These factors can have significant, negative effects on crop yield and food supplies [1,2,3]. Threats to food security because of climate change include the direct impact on crop production from changes in water availability due to floods, drought, and temperature variations, as well as the indirect impact of weather changes on the prevalence of plant diseases, pests, and weeds [1,4,5].
Increases in atmospheric carbon dioxide (CO2) concentrations are known to be the key cause of climate change resulting in a rise in air temperatures [6,7]. The global mean air temperature is projected to increase by 2.4–6.4 °C by the end of this century [7]. These changes alter the growth environments of crops and affect agricultural production. As the world population continues to rise, the demand for food production is also increasing. Therefore, finding solutions to reduce the effects of global climate change on our agricultural systems is of paramount concern.
One way to begin addressing these challenges to the agricultural system is to focus on a specific essential crop and learn how it could be more effectively cultivated in less-than-ideal growing conditions. Barley (Hordeum vulgare L.) is an important crop widely used as feed for livestock and malt in the brewing and distilling industries [8]. In addition, barley is attracting increased attention for human consumption due to its high nutritional value and health benefits. Hence, barley is widely cultivated across the world both because of its usefulness and its ability to adapt to various environmental conditions [9]. In South Korea, barley is cultivated in all the provinces, ranging from Jeju Island in the south to several areas of Kangwon in the north.
However, in recent years, barley yield has stagnated in several important barley-producing regions around the world such as France because of climate change [10,11]. In Kazakhstan, climate change was believed to be the primary reason for a 4.8% barley yield loss over the 3–4 decades spanning 1980 to 2015 [12]. Climate changes, especially heat stress, high precipitation or drought, and stress at the sensitive stages of plant development are responsible for decreases in barley yield [13,14].
Climate change has been shown to affect the nutritional value of the grain, as seen by the decrease in grain quality and nutritional value [15,16]. Grain protein concentration (GPC) has been reported to increase in response to abiotic stress such as heat and drought [17,18], while GPC has been shown to decrease in response to elevated CO2 levels.
Crop models are widely used to analyze the impact of climate change and variability on crop yield [19,20,21,22] and crop management [23,24,25]. In addition, these models could assist farmers and policymakers to formulate alternative adaptation strategies to minimize the impact of changing climates. A comparison of the 2010 climate conditions with predicted 2050 climatic scenarios strongly suggests that barley yields will continue to decline [26]. Gammans et al. [27] used five-climate models and emission scenario combinations and a statistical yield model to evaluate the impact of climate change on winter wheat, winter barley, and spring barley yields in France. They reported a yield decline of these three crops by 21%, 17%, and 33%, respectively, under high emission representative concentration pathways (RCP8.5) by the end of the century. Many studies have examined the physiology and productivity of barley with climate change [28,29,30,31,32,33]. Some of these efforts were made based on experimental field studies, while others used crop simulation approaches. Bunce [28] reported the effect of temperature and CO2 changes under subjectively designed experimental conditions. However, modeling barley production under future climate scenarios is imprecise due to the presence of a large number of variables.
The safe cultivation zone for a crop refers to regions with a similar distribution of climatic factors that do not significantly affect the growth and yield at the main growth stages of that crop [34]. Although there are many considerations in classifying safe growing zones, the weather is the chief factor [35]. The determination of safe cultivation zones based on weather conditions is done by collecting data on yield decreases from each specific cultivation area of the crop. Although this method is the most scientific and rational, it requires a great deal of time and effort [36]. As the suitable area for crop cultivation is moving northward compared to the past, research should focus on the cultivation period, fertilization method, water management, and various other improvements that can be applied to farms. However, while global warming has a negative effect on summer crops, studies have also been published in which a positive effect is predicted for winter crops such as barley due to the temperature increase during the overwintering and regeneration periods [37,38,39]. Thus, the objective of this study was to determine how different factors such as temperature, impact barley growth at different growth stages (December, February, and April) and yield at harvest in four group areas with different climates. Differences in the temperatures between areas during the growing season and the variability in growth and yields were noted. Additionally, the chemical composition of the soils and the mineral content of the leaves at the heading stage as well as the main constituents and amino acid composition of the barley seeds grown in different areas were considered.
2. Materials and Methods
2.1. Experimental Area
For this study, dehulled barley was selected as it is more commonly grown in South Korea than hulled or malting barley. In 2020, dehulled barley (cv. Jaeanchal) was seeded in 13 different areas within four groups as follows: Group 1 (G1) in Sokcho 1, Sokcho 2, and Chuncheon; Group 2 (G2) in Pyeongtaek, Cheonyang, Asan, and Cheonan; Group 3 (G3) in Youngdong 1, Youngdong 2, Gumi, and Sangju; Group 4 (G4) in Gimje and Naju. In 2021, the locations of experimental areas were similar to those in 2020 with the exception of G1 areas which were in slightly different locations but within the same province as the year prior. Each of these groups had different temperature distributions. Figure 1 provides more detailed information on the experimental areas. The experimental areas ranged from 0.1 to 0.5 ha.
Figure 1.
Experimental areas (G1, G2, G3, and G4) used in this study.
2.2. Growth and Yield of Barley in Various Areas with Different Temperature Distributions
The barley seeds used for the study were certified and provided by the Crop Seed Production & Distribution Div., Korea Seed & Variety Service in 2020. The seeds were planted from 15–20 October for G1, 25 October for G2, 25–30 October for G3, and 30 October–5 November for G4. Standard chemical products were used to manage disease, insects, and weeds. Other cultivation conditions followed the standards set by the Rural Development Administration of South Korea [40]. The tiller number/m2, plant height, and shoot dry weight/m2 were measured before the overwintering (5 December for G1, 10 December for G2, 12 December for G3, and 15 December for G4). The investigation dates were based on seeding dates to ensure that all the plants in Groups 1–4 would be of similar age at the time of the investigation. Thus, investigation dates in Groups 1–4 were 45–47 and 110–115 days after seeding, respectively. The tiller number/m2, plant height, and shoot dry weight/m2 were also measured after overwintering (10 February for G1, 15 February for G2, 18 February for G3, and 20 February for G4). In addition, Soil Plant Analysis Development (SPAD) value of the chlorophyll content was measured using a SPAD-502 Plus meter (KONICA MINOLTA Co., Ltd., Tokyo, Japan). During the heading stage, the tiller number/m2, plant height, shoot dry weight/m2, and SPAD values were measured on 15 April for G1, 12 April for G2, 10 April for G3, and 8 April for G4. At harvest, culm length, panicle length, number of panicles/m2, spikelet numbers, ripening rate (%), seed weight/litter, 1000 seed weight, and yield/ha were measured. G4 was harvested on 29–30 May, whereas G1, 2, and 3 were harvested from 3–7 June. Crop yields were measured by harvesting sample plants from three separate 1 m2 areas from each experimental plot. Another study in 2021 was conducted in order to confirm yield differences between groups that were initially observed in 2020. Cultivation conditions in the 2021 study such as cultivar and sowing dates were the same as those in the 2020 study. However, in 2021 barley from G3 and G4 areas was harvested from 27–29 May, whereas G1 and G2 were harvested from 1–3 June.
2.3. Meteorological Factors in Different Cultivation Areas
The soil moisture in different cultivation areas was measured in December, February, and April by using a Water content, Electrical Conductivity, and Temperature (WET) sensor (WT-3000, Mirae Sensor Co., Seoul, South Korea). The measuring date was the same as those mentioned above for plant growth investigations such as plant height (before overwintering, after overwintering, and at the heading stage). During the experimental periods, October 2020–June 2021 and October 2021–June 2022, the maximum, minimum, daily temperatures, and precipitation were provided by the Korea Meteorological Administration (KMA). Mean data of the areas in each group were used. If some experimental areas were not located near a weather observation station (WOS), we used data from areas close to the nearest WOS.
2.4. Main Constituents and Amino Acid Composition in Barley Seeds Grown in Different Cultivation Areas
Seeds harvested from different cultivation areas were air-dried for one week and ground in a coffee grinder and sieved through a one mm mesh screen before being used. The main constituents in the barley were analyzed according to the methods specified by the Association of Official Analytical Chemists (AOAC) International (1990) [41]. Atmospheric pressure drying was used to determine moisture content, micro-Kjeldahl for crude protein, burning at 550 °C for ash, and soxhlet for crude lipids. The total carbohydrate content was calculated by deducting the moisture, ash, crude protein, and crude lipid contents.
For the amino acid analysis, 0.3 g of dried barley seeds were put in a heat-resisting vial and hydrolyzed with 40 mL of 6 N HCl in a dry oven at 110 °C for 22 h. The sample was then centrifuged at 15,000 rpm for 30 min and cooled down to room temperature to measure the total amino acids [42,43]. The hydrochloric acid and water from the solution were removed by evaporation at 50 °C. Then, 10 mL of pH 2.2 sodium citrate buffer solution was added and this mixture was allowed to pass through a 0.22 µm membrane filter. The filtrate was analyzed by an S433 amino acid analyzer (Sykam Co., Eresing, Germany).
2.5. Chemical Composition of the Soils and Mineral Content of the Plants Grown in Different Cultivation Areas
Both soil and plant samples were collected at the same time as plant growth parameter investigations such as the tiller number, at the heading stage. These samples were used for the evaluation of mineral contents and chemical composition in the various cultivation areas. The sampling dates were 15 April for G1, 12 April for G2, 10 April for G3, and 5 April for G4. At the heading stage, the aboveground plant parts were collected and dried in an oven at 40 °C for 5 days. The dried aboveground plant parts were ground in a coffee grinder and sieved through a one mm mesh screen before use. Soil samples (each approx. 200 g) were collected from a depth of 0–20 cm using a 2-cm-diameter soil probe (Edelman auger, Royal Eijkelkamp, Giesbeek, The Netherlands) and air-dried at room temperature for one week. The soil samples were sieved through 2 mm mesh screens before use. Soil pH and electrical conductivity (EC) were measured using a soil pH/EC meter (HI991300, Hanna Instruments Inc. Woonsocket, Rhode Island, USA). The pH and EC were measured using a 1:5 (w/v) mixture of soil:water. The soil organic matter content was determined by the Tyurin method [44]. Five grams of each soil sample were digested in 20 mL of 0.33 M acetic acid, 0.15 M lactic acid, 0.03 M ammonium fluoride (NH4F), 0.05 M ammonium sulfate [(NH4)2SO4], and 0.2 M sodium hydroxide (NaOH) in a block digester heater at 400 ± 20 °C for 4 h. The absorbance of the extract was then measured at 470 nm using an ultraviolet (UV)-spectrophotometer (UV-1601; Shimadzu, Tokyo, Japan) to determine the concentration of available phosphorus pentoxide (P2O5) [45]. An analysis of mineral nutrition was conducted with both soils and plants per the Soil and Plant Analysis Manual published by the Rural Development Administration [40]. Five g soil samples were extracted with 50 ml of 1.0 M ammonium acetate, pH 7.0, and analyzed using an inductively coupled plasma atomic emission spectrometer (ICP-AES Integra XL; GBC Inc., Arlington Heights, IL, USA) to determine potassium oxide (K2O), calcium oxide (CaO), and magnesium oxide (MgO) concentrations [40]. Total-Nitrogen (T-N) concentrations were determined using an automatic nitrogen analyzer (Buchi Co., Flawil, Switzerland). Phosphoric acid concentrations were calculated from the absorbance at 470 nm using the UV-spectrophotometer and microelements were analyzed by inductively coupled plasma mass spectrometry (ICP, Integra XL Dual, Scientific Equipment, Ltd. Dandenong, VIC, Australia).
2.6. Statistical Analysis
The data were collected from three separate 1 m2 areas within each growing area. The data were analyzed using the analysis of variance (ANOVA) procedure in the Statistical Analysis Systems software 7 [46]. The means were separated using Duncan’s Multiple Range Test (p = 0.05).
3. Results and Discussion
3.1. Growth and Yield of Barley in Various Areas with Different Temperature Distributions
To confirm the levels of growth and yields in various areas with different temperature distributions during the crop growing season, barley growth before the overwinter period was investigated (Table 1). Generally, the order of the levels of maximum, minimum, and daily average temperatures was G4 > G3 > G2 > G1 during the crop-growing season (Figure 1). The order of the levels of precipitation was G1 > G2 > G3 > G4 in April, while during the other periods there was no consistency between group areas. On average, the tiller number/m2 in G1 areas was lower than those in G2, G3, and G4 areas. However, the tiller number/m2 was the highest in G3 areas and much higher than in G4 areas which are relatively warmer. The tiller number/m2 significantly varied between areas of the same group as well as different groups. Sokcho 1 in G1 areas was planted on October 20th, but the plants had not germinated when the investigation was carried out (December). Plant height also showed a similar trend to the tiller numbers. Despite being close geographically and similar in terms of weather conditions, there was no germination in Sokcho1 areas, but in Sokcho2 areas, there was some. This could be due to lower soil moisture content in Sokcho1 areas. Plant height at Youngdong 1 in G3 areas was the highest among the groups and was two or three times higher than that in other areas. The dry aboveground parts also showed a trend similar to the tiller numbers and plant heights. The weight of the dry aboveground parts in relatively warmer G3 and G4 areas were 16-98% higher than in G1 and G2 areas.
Table 1.
Growth of dehulled barley plants in different group areas before overwintering (December).
After overwintering in February, tiller numbers, plant heights, and dried aboveground parts were investigated in various areas with different temperature distributions (Table 2). In addition, the SPAD values of the chlorophyll content were also investigated. The tiller numbers in the G4 areas were the highest, followed by G2 and G3 areas, and these were the lowest in the G1 areas. In the case of Sokcho1 in G1, germination had not occurred in December but eventually occurred in February. This could be explained by lower soil moisture content in December. Compared to before the overwinter (December), the tiller numbers in the G1 and G3 areas were similar to those observed after overwinter (February). This means that these areas may not be able to grow barley until February. However, tiller numbers increased in G2 and G4 areas in February. In particular, the tiller number in G4 areas was 26–73% greater than in G1, G2, and G3 areas. After overwintering, the plant heights in G1, G2, and G3 areas were not significantly greater than in December, but in the G4 areas, there was a two-fold increase. The quantum of dried aboveground parts in February was 2 to 7 times higher than in December. The order of the levels of the dried aboveground parts was G4 > G2 = G3 > G1. Generally, crops in warmer areas such as those in G4 had more biomass than crops grown in colder areas such as G1. In G4 areas, the regrowth days were 20–21 February and 14–15 March in G1 areas (data not shown). The panicle formation days were 25–27 February for the G4 areas and 23 March for the G1 areas. Generally speaking, the regrowth and panicle formation days occurred earlier in the warmer areas and later in colder areas. The average chlorophyll content did not vary significantly between group areas.
Table 2.
Growth and chlorophyll contents (SPAD value) of dehulled barley plants in different group areas after overwintering (February).
At the heading stage, tiller numbers, plant heights, and dried aboveground parts in G1 areas were still lower than those in G2, G3, and G4 areas. This was similar to the observations in both the December and February investigations (Table 3). The tiller number was the lowest in the G1 area Sokcho1 and highest in the G2 areas Asan and Chungyang, and the G3 area Youngdong1. The plant height was similar in the G1, G2, and G3 areas except for Sokcho1. However, plant height was significantly higher in G4 areas. The quantum of dried aboveground parts in G4, G3, and G2 areas was similar but significantly lower in G1 areas. As in the February investigation, the quantum of dried aboveground parts in the G1 area Sokcho1 and G3 area Sangju was lower than those in the other areas in April. The chlorophyll content did not vary between group areas just as in the February investigation.
Table 3.
Growth and chlorophyll contents (SPAD value) of dehulled barley plants in different group areas at heading stage (April).
At harvest, the culm length in the G4 areas was higher than those in the other group areas, but there was no difference in this parameter between G2 and G3 areas (Table 4). The culm length in the G1 area Sokcho1 was the lowest at harvest as was the plant height at the overwinter and heading stages. Panicle length was similar across the G1, G2, and G3 areas, but was higher in the G4 areas. Panicle numbers in G4 areas were higher than those in G1, G2, and G3 areas, and G2 and G3 areas had similar panicle numbers. Panicle numbers in G1 areas were, on average, 2.4 times lower than those in G4 areas. Like panicle numbers, spikelet numbers in the G4 areas were higher than those in the G1, G2, and G3 areas, and the G2 and G3 areas had similar spikelet numbers. The spikelet numbers in G1 areas were, on average, 23% lower than in G4 areas. The ripening rate did not differ between the grouping areas. The litter weight and 1000-grain weight in the G4 areas were higher than in the other group areas, but there was no difference observed between the G2 and G3 areas. The yield in the G4 areas was higher than that of the other areas in G1, G2, and G3. The yield levels were in the order of G4 > G2 = G3 > G1. Although the yield in the G1 area Sokcho1 was ultimately lower than the yields from other areas, the Sokcho1 crops did manage to recover quickly after poor growth at the overwinter and heading stages. The reduction of yield in G1 areas may be caused by panicle numbers, spikelet numbers, and the 1000-grain weight. G2 area Chonan as well as G3 areas Gumi and Sangju showed relatively lower yields which likely stemmed from lower growth rates at the heading stage. Except for these three areas in G2 and G3, the yields were almost the same as those in the G4 areas. The higher yield in G4 areas may be related to the higher yield of plant parts such as the panicle number and length, spikelet number, as well as ripening rate, and 1000-grain weight.
Table 4.
Yield components and yield of dehulled barley plants in different group areas at harvest in 2020.
Similar to the 2020 study, yield levels were in the order of G4 = G3 > G1 = G2 in 2021 (Table 5). The difference in yield between G1 and G4 areas was also similar to the prior study with yields from G1 areas 39% less than yields from G4 areas. Lower yield in G1 and G2 areas may be attributable to lower panicle numbers. The differences in yields between G1 and G4 areas may be related to the lower temperatures in G1 areas.
Table 5.
Yield components and yield of dehulled barley plants in different group areas at harvest in 2021.
3.2. Meteorological Factors in Different Cultivation Areas
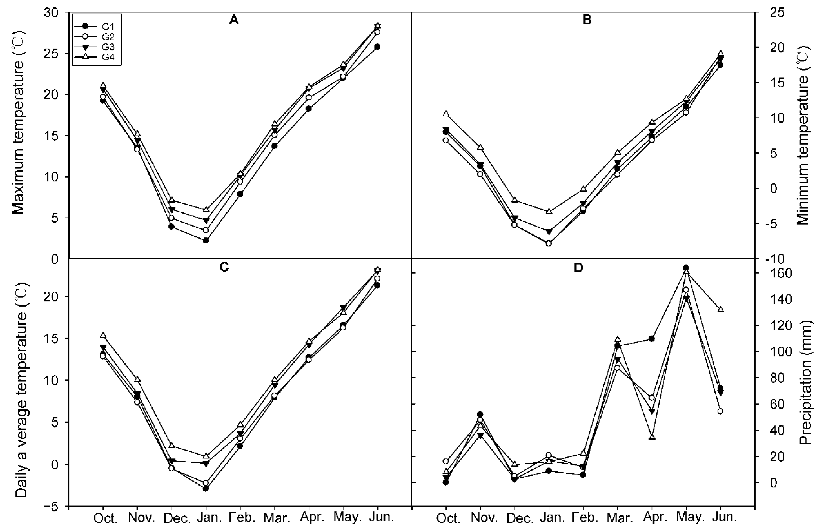
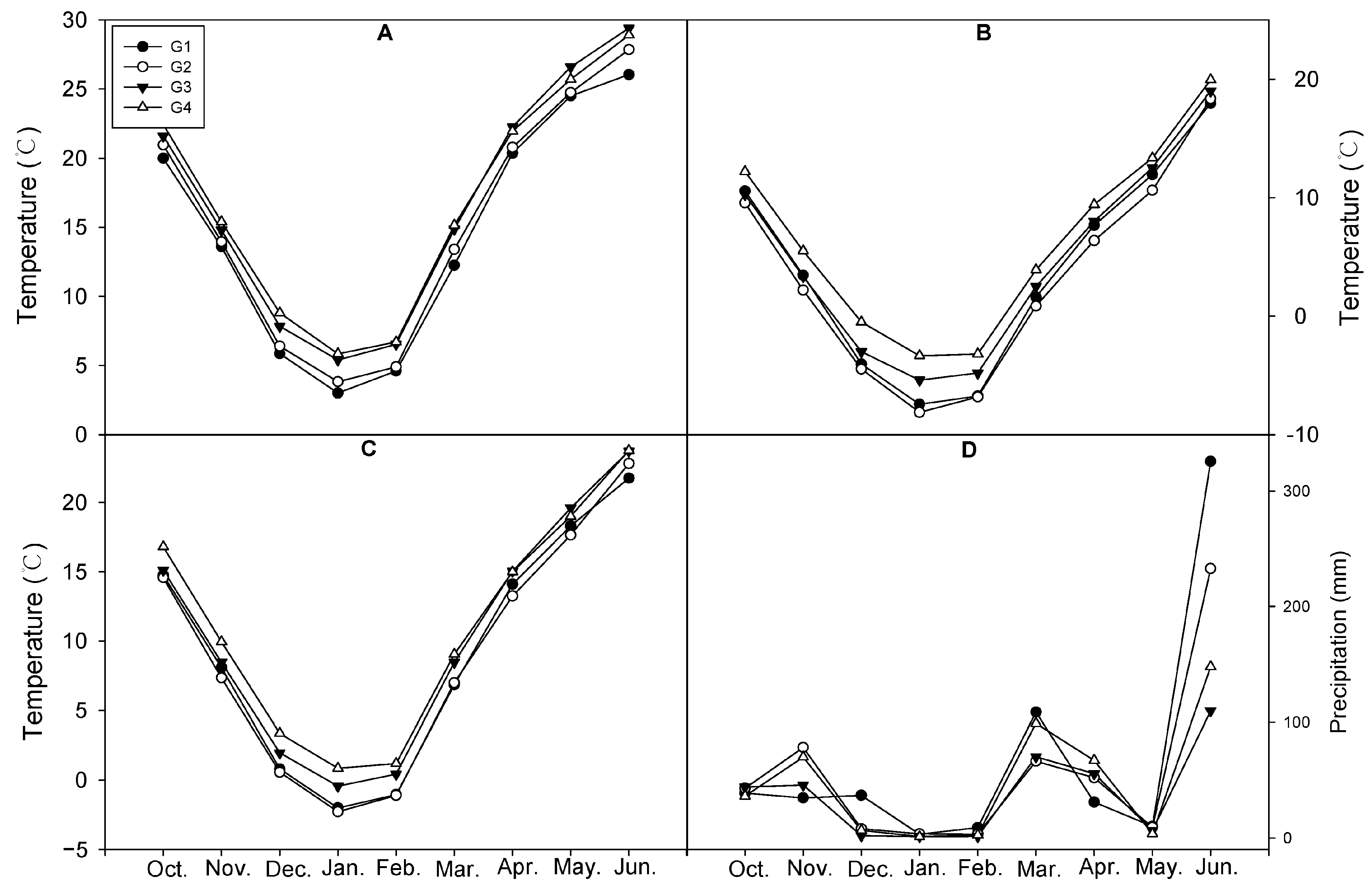
During the growing season, soil moisture in December, February, and April in the G1-4 areas was measured (Table 6). The soil moisture in December ranged from 34% to 42% and did not vary regardless of the area. The soil moisture in February and April also did not vary with the area. Thus, the differences in the growth and yield of barley in the different group areas were not related to soil moisture. Additionally, data on the minimum, maximum, and daily average temperatures and precipitation during the growing season was collected in 2020 (Figure 2). Temperature is the main driver for crop growth and development. Thus, the temperature is a major yield determinant. The optimum temperature for growth and development varies depending on the growth stage of the crop. Freezing temperatures can cause significant yield decreases in the crops and limit the distribution and growth of the plants [47]. Barley is considered a cold-resistant crop, is less vulnerable than rye and wheat, and varies less under changing weather conditions compared to wheat and most other small grains [8,48]. The maximum temperatures during the growing season (October to June) were generally in the order of G4 > G3 > G2 > G1. In December, February, and April, the maximum temperature in G1 was lower than in the other group areas. This lower maximum temperature could be one explanation for the lower growth rates observed in the G1 areas. The minimum and daily average temperatures during the growing season (October to June) were also generally in the order of G4 > G3 > G2 > G1. The minimum temperature and daily average temperatures in December, February, and April in the G1 areas were also lower than those of the other areas, which could explain the lower growth rates of G1 crops. In both 2020 and 2021, meteorological factors across growth areas were similar except for precipitation (Figure 3).
Table 6.
Soil moisture contents in December, February, and April in different group areas in 2020.
Figure 2.
Maximum (A), minimum (B), daily average temperatures (C), and precipitation (D) in different group areas during experiment period in October 2020 to June 2021.
Figure 3.
Maximum (A), minimum (B), daily average temperatures (C), and precipitation (D) in different group areas during experiment period in October 2021 to June 2022.
Barley is most sensitive to weather variation early in the season, which can affect the spikelet number and early grain filling [21,26]. In this study, the growth and yield of barley in G1 areas which are relatively colder were lower than those in G2, G3, and G4 areas which are relatively warmer. Specifically, the barley crops in Sokcho1 (G1) did not germinate at the early stages (December), but germinated later and showed poor growth in February of the following year. These poor growth rates at the early stages ultimately negatively affected the yield at harvest. In a questionnaire given to South Korean farmers concerning their crop yields in 2019, information was gathered on the same cultivar (cv. Jaeanchal) as the one used in this study. These farmers were growing dehulled barley across 21 different areas which had a wide distribution of temperatures [49]. There were big differences in the yield from area to area which ranged from 0 to 5400 kg/ha. Notably, in the province of Gangwon, dehulled barley seeds in Gangneung2 and Chuncheon2 were planted on 5 November and 15 October, respectively, but did not germinate. In other Gangwon areas Chunshon1, Gosung, and Hongchon, the yield was also relatively lower, ranging from 800 to 1440 kg/ha.
Furthermore, as climate change pushes temperatures higher, reductions in barley crops can be expected as extremely high temperatures damage the reproductive organs and accelerate senescence rates [21]. An earlier study demonstrated that the grain yield of cereals decreased by 4.1% to 10.0% due to an increase in the seasonal average temperature by 1 °C [50]. In cereals, decreases in total aboveground biomass and grain yield have also been observed under elevated temperatures [51,52].
In most field crops, increases in temperature above the optimum value could cause yield declines [50,53,54]. The reproductive stage of barley is one of the growth stages most susceptible to high temperatures [54,55,56]. Studies on other crops have clearly shown that a higher temperature significantly decreases the number of grains per panicle, individual grain weight, and the duration and rate of the grain filling period [57,58,59]. In this study, the yield reduction of barley in several areas including G1 was also related to a reduction in the panicle number, spikelet number, ripening rate, and 1000-grain weight. The number of spikelet and spikelet yield per plant of waxy barley was significantly reduced due to temperatures as high as 30 °C at flowering [60]. Extreme temperatures (>35 °C) post-anthesis have been shown to significantly reduce grain weight and change malting performance [61]. Additionally, exposure to both short and long durations of high temperatures reduces gamete (pollen and pistil) viability, seed-set, and seed numbers, and shortens the grain-filling period leading to lower yields [54,56,62]. However, in this study, the maximum temperatures in May and June when the crops were flowering, and ripening were not very high (21 to 24 °C for May and 26 to 28 °C for June). Hence, the temperatures in May and June did not affect growth and yield. Thus, areas that are currently unsuitable for barley cultivation such as the Gangwon province may become more suitable for growing barley in the future due to climate change. At the same time, areas that are currently suitable for barley cultivation like those in G4 may become unsuitable in the future as temperatures rise.
Many kinds of models such as the climate, emission scenario, and statistical yield models have been used to evaluate the impact of climate change on cereal crops such as barley and wheat in France, the Mediterranean region, and central [27,63,64]. These studies have reported a yield decline for barley by 19–33%. Although these predictions provided some important information to growers and policymakers for developing climate change adaptation strategies in the region, these were often imprecise and lacked data collected from actual crops. In Korea, the cultivation area for winter barley was classified by the average and minimum temperatures of the coldest month (January) during overwinter [65]. Based on this, safe cultivation areas for dehulled barley were areas that showed over −3 °C average temperature in January and over −8 °C average minimum temperature in January [65]. In this study, daily average (−2.95 °C) and minimum temperatures (−7.8 °C) in G1 areas were recorded in January during the experimental period. Although these temperatures were within the range for safe cultivation areas, G1 areas saw a reduced yield. In addition, based on the average minimum temperature in January from 2002 to 2021 provided by the KMA, most Gangwon areas such as Chuncheon were included for limiting the cultivation area. However, in this study, barley yield in the G1 areas was lower compared to other areas. Thus, G1 areas could not be considered safe cultivation areas for barley. Precipitation during the growing season was not consistent between the areas. However, precipitation (109 mm) in April in the G1 areas was much higher than in the other areas. Thus, the levels of precipitation were not related to the reduction of barley yield in G1 areas. Many factors such as sowing dates, fertilizer rates, and timely planting and plant density can be manipulated to optimize barley production and quality. However, as observed in this study, one important factor connected with the yield reduction in G1 areas may be the minimum and maximum temperatures during the growing season at specific growth stages.
3.3. Main Constituents and Amino Acid Composition in Barley Seeds Harvested in Different Cultivation Areas
Grain components such as crude protein from barley seeds harvested from all the farm areas were analyzed (Table 7). Although crude protein, lipid, and ash contents were different from one area to the other, on average, the G1 and G2 areas which are relatively cooler showed higher levels than the warmer the G3 and G4 areas. However, there were no differences in the seed moisture contents between the group areas. The total carbohydrate content did not vary in the group areas G1, G3, and G4, but was lower in G2.
Table 7.
General components in dehulled barley seeds in different group areas in 2020.
Crop quality may be affected by multi-factorial climate change conditions as well [16]. In addition, crop quality may be affected by complex processes involving biomass production and partitioning and storage of assimilates. Besides long-term moderate warming, short periods of high temperatures (>30 C) during sensitive growth stages such as flowering or grain filling also negatively impact the grain quality of cereals [17]. In this study, G1 and G2 areas where temperatures were relatively low, produced barley with higher crude proteins, crude lipids, and crude ash than barley grown in warmer G3 and G4 areas. In another study, an increase in the air or soil temperatures was associated with a reduction in lipids or starch contents [4,66]. However, the concentration of total protein in barley remained unaffected under warming temperatures [4].
Amino acid content of barley seeds harvested from all cultivation areas was also analyzed (Table 8). Most of the (11 of 17) amino acid contents were the same regardless of where the crop was grown. However, the threonine, serine, valine, isoleucine, leucine, and phenylalanine contents of the barley grown in G2 were higher than those of the other areas. G2 areas had moderate temperatures, with extremes of high or low temperatures. Thus, the increase of some amino acid contents could be attributed to favorable weather. H€ogy et al. [4] found that an increase of 2.5 °C in the soil temperature of heated field plots in Germany substantially increased the quantum of some proteinogenic amino acids, notably aspartate, glycine, alanine, arginine, valine, and tryptophan. In addition, main compositions such as proteins and amino acids may be affected by other factors such as soil texture, growth stages, abiotic stresses as well as weather factors [67].
Table 8.
Amino acid contents in dehulled barley seeds in different group areas in 2020.
3.4. Chemical Composition in Soils and Mineral Contents in Plants Grown in Different Cultivation Areas
To confirm the differences in the growth and yield of different cultivation areas with regard to chemical compositions and mineral contents, chemical compositions in soils and mineral contents in the plants at the heading stage of barley were measured (Table 9 and Table 10). Across G2-4, soil pH was similar and in the range of 5.71 to 6.20 (Table 9). However, the pH in G1 areas was higher than in other areas. Soil acidity is a major constraint to crop growth, and barley is particularly sensitive compared to other cereals [68]. Soils with low pH invariably have high levels of aluminum in the soil solution, to which barley is extremely sensitive [69]. Generally, soils with pH < 4.5 are unsuitable [70]. Although the pH was different in the various areas evaluated in this study, the pH ranges were suitable for barley cultivation. The EC in various areas ranged from 0.73 to 1.21 ds/m and there were no differences observed between the group areas. Barley is extremely tolerant to salinity, but EC levels above 800 mS/m result in yield reductions [70]. However, EC levels in this study were low. Therefore, EC levels may not have influenced the growth and yields in different areas. Organic matter is one of the most important factors for crop growth. Organic matter ranged from 22.5 to 30.3 g/kg. The organic matter in G1 areas was slightly higher than that of the other areas at the heading stage. It is possible that the barley plants in G1 areas used less organic matter from the soil in early development so that by the heading stage more organic matter remained in the soil. The available phosphoric acid content of the soil in G1 areas was higher than in other group areas. The available phosphoric acid content was vastly different from one area to the next. In particular, the content of available phosphoric acid in the G1 area Sokcho2 was the highest (1247 mg/kg) among the various areas, followed by Sokcho1 (511 mg/kg). These areas were relatively cold compared to other areas, therefore available phosphoric acid in the soil may not have been as depleted as was the case in the other areas. Similar to phosphoric acid, the exchangeable cation elements K and Ca contents in the G1 areas were also higher than in other areas, but Mg content was not consistent between areas. The cation exchange capacity (CEC) in the G1 and G4 areas was higher than in the G2 and G3 areas. Although the Zn content in the G1 area Chuncheon was low, on average, the Zn content in the G1 areas was much higher than in the other areas. The manganese (Mn) content in the G2 and G3 areas was higher than those in the G1 and G4 areas. Copper (Cu) and molybdenum (Mo) contents did not vary between group areas. However, the B content in the G4 areas was higher than in other group areas, but not significantly different in areas G1-3.
Table 9.
Chemical components in soils at heading stage grown dehulled barley in different group areas in 2020.
Table 10.
Nutrient levels in plant at heading stage grown dehulled barley in different group areas in 2020.
Mineral contents of plants at the barley heading stage were measured (Table 10). The K, Mg, Cu, and B contents in the barley plants did not vary regardless of the group areas. However, the T-N contents in G2 and G3 were higher than in G1 and G4. The P2O5 content in the G1 and G3 areas were higher than those in G2 and G4. The Ca content in G3 and G4 areas was higher than in G1 and G2. The Zn content in G1 areas was lower than in other group areas. The Mn contents were the highest in G2 followed by G1 and G3 and the lowest in G4 areas. The Mo content in G2 and G4 was higher than in the G1 and G3 areas. Overall, the soil of the G1 areas had consistently greater available phosphoric acid, K, Ca, and Zn contents than in other areas, but this was not reflected in the plants. In addition, most other mineral contents were not consistent between group areas. This suggests that barley growth and yield differences in different group areas might not be caused by high levels of one specific mineral element but rather by a specific combination of various elements.
4. Conclusions
At the outset of this study, warming temperatures caused by climate change suggested that areas farther to the north of the South Korean peninsula might be suitable for barley cultivation. However, it was discovered that in the coldest month of January, average daily temperatures below −3 °C and average minimum temperatures below −8 °C were not conducive to barley crop growth. Consequently, the colder areas observed in this study (G1 areas) did not prove to be suitable for barley cultivation locations. In 2020, areas in G1 had lower rates of growth which likely stemmed from lower temperatures causing crops to produce lower tiller numbers. Yield from crops grown in G1 areas was also 37% lower than from crops grown in the G4 areas. Additionally, panicle number, spikelet number, and 1000-grain weight from barley grown in G1 areas were also lower compared to the other areas in this study. Similar to the 2020 study, the yield in G1 areas in 2021 was 39% less than yields from the G4 areas. Lower yield in G1 and G2 areas may be attributable to lower panicle numbers. This being said, barley cultivation was once almost exclusively carried out in G4 areas, but as temperatures have risen, areas in G3 and G2 have become more suitable as well. Compared to past decades, yield rates in colder areas of the Korean peninsula have risen, though not yet to levels acceptable for barley cultivation such as in G1 areas. A continuation of warming temperatures will likely allow for barley cultivation in northern areas. Therefore, further studies will be needed to reassess the potential for barley cultivation in areas that are currently too cold for high rates of growth and yield.
Author Contributions
Data curation, Y.-G.K., H.-H.P., H.-J.L. and H.-K.K., writing, review, and editing, Y.-I.K. All authors have read and agreed to the published version of the manuscript.
Funding
This work was carried out with the support of “Cooperative Research Program for Agriculture Science & Technology Development (Project No. PJ01481202)” Rural Development Administration, Republic of Korea.
Institutional Review Board Statement
Not applicable.
Informed Consent Statement
Not applicable.
Data Availability Statement
Not applicable.
Conflicts of Interest
The authors declare no conflict of interest.
References
- IPCC. Climate Change 2013: The Physical Science Basis. In Contribution of Working Group I to the Fifth Assessment Report of the Intergovernmental Panel on Climate Change; Cambridge University Press: Cambridge, MA, UK, 2013. [Google Scholar]
- UNFCCC. United Nations Framework Collection on Climate Change. In Copenhagen Accord; UNFCCC: Copenhagen, Denmark, 2010. [Google Scholar]
- Farooqi, A.B.; Khan, A.H.; Mir, H. Climate change perspective in Pakistan. Pak. J. Meteorol. 2005, 2, 11–21. [Google Scholar]
- Högy, P.; Poll, C.; Marhan, S.; Kandeler, E.; Fangmeier, A. Impacts of temperature increase and change in precipitation pattern on crop yield and yield quality of barley. Food Chem. 2013, 136, 1470–1477. [Google Scholar] [CrossRef]
- Yau, S.K.; Ryan, J. Differential impacts of climate variability on yields of rainfed barley and legumes in semi-arid Mediterranean conditions. Arch. Agron. Soil Sci. 2013, 59, 1659–1674. [Google Scholar] [CrossRef]
- Lobell, D.B.; Schlenker, W.; Costa-Roberts, J. Climate trends and global crop production since 1980. Science 2011, 333, 616–620. [Google Scholar] [CrossRef] [PubMed]
- Mora, C.; Fraizier, A.G.; Longman, R.J.; Dacks, R.S.; Walton, M.M.; Tong, E.J.; Sanchez, J.J.; Kaiser, L.R.; Stender, Y.O.; Anderson, J.M.; et al. The projected timing of climate departure from recent variability. Nature 2013, 502, 183–188. [Google Scholar] [CrossRef]
- Newton, A.C.; Flavell, A.J.; George, T.S.; Leat, P.; Mullholland, B.; Ramsay, L.; RevoredoGiha, C.; Russell, J.; Steffenson, B.J.; Swanston, J.S.; et al. Crops that feed the world 4. Barley: A resilient crop? Strengths and weaknesses in the context of food security. Food Secur. 2011, 3, 141–178. [Google Scholar] [CrossRef]
- Ko, J.; Ng, C.T.; Jeong, S.; Kim, J.H.; Lee, B.; Kim, H.Y. Impacts of regional climate change on barley yield and its geographical variation in South Korea. Int. Agrophys. 2019, 33, 81–96. [Google Scholar] [CrossRef]
- Brisson, N.; Gate, P.; Gouache, D.; Charmet, G.; Oury, F.-X.; Huard, F. Why are wheat yields stagnating in Europe? A comprehensive data analysis for France. Field Crops Res. 2010, 119, 201–212. [Google Scholar] [CrossRef]
- Dawson, I.K.; Russell, J.; Powell, W.; Steffenson, B.; Thomas, W.T.B.; Waugh, R. Barley: A translational model for adaptation to climate change. New Phytol. 2015, 206, 913–931. [Google Scholar] [CrossRef]
- Schierhorn, F.; Hofmann, M.; Adrian, I.; Bobojonov, H.; Müller, D. Spatially varying impacts of climate change on wheat and barley yields in Kazakhstan. J. Arid Environ. 2020, 178, 104–164. [Google Scholar] [CrossRef]
- Hakala, K.; Jauhiainen, L.; Rajala, A.A.; Jalli, M.; Kujala, M.; Laine, A. Different responses to weather events may change the cultivation balance of spring barley and oats in the future. Field Crops Res. 2020, 259, 107956. [Google Scholar] [CrossRef]
- Hossain, A.; da Silva, J.A.T.; Lozovskaya, M.V.; Zvolinsky, V.P. High temperature combined with drought affect rainfed spring wheat and barley in South-Eastern Russia: I. Phenology and growth. Saudi J. Biol. Sci. 2012, 19, 473–487. [Google Scholar] [CrossRef] [PubMed]
- Collins, M.; Knutti, R.; Arblaster, J.; Dufresne, J.L.; Fichefet, T.; Friedlingstein, P.; Gao, X.; Gutowski, W.J.; Johns, T.; Krinner, G.; et al. Long-term Climate Change: Projections, Commitments and Irreversibility. In Climate Change 2013—The Physical Science Basis: Contribution of Working Group I to the Fifth Assessment Report of the Intergovernmental Panel on Climate Change; Cambridge University Press: Cambridge, UK, 2013; Volume 12, pp. 1029–1136. [Google Scholar]
- Wang, Y.; Frei, M. Stressed food–The impact of abiotic environmental stresses on crop quality. Agric. Ecosyst. Environ. 2011, 141, 271–286. [Google Scholar] [CrossRef]
- Passarella, V.S.; Savin, R.; Slafer, G.A. Are temperature effects on weight and quality of barley grains modified by resource availability? Aust. J. Agric. Res. 2008, 59, 510–516. [Google Scholar] [CrossRef]
- Savin, R.; Nicolas, M.E. Effects of short periods of drought and high temperature on grain growth and starch accumulation of two malting barley cultivars. Aust. J. Plant Physiol. 1996, 23, 201–210. [Google Scholar] [CrossRef]
- Araya, A.; Hoogenboom, G.; Luedeling, E.; Hadgu, K.M.; Kisekka, I.; Martorano, L.G. Assessment of maize growth and yield using crop models under present and future climate in southwestern Ethiopia. Agric. For. Meteorol. 2015, 214, 252–265. [Google Scholar] [CrossRef]
- Araya, A.; Kisekka, I.; Lin, X.; Vara Prasad, P.V.; Gowda, P.H.; Rice, C.; Andales, A. Evaluating the impact of future climate change on irrigated corn production in Kansas. J. Clim. Risk Manag. 2017, 17, 139–154. [Google Scholar] [CrossRef]
- Asseng, S.; Foster, I.; Turner, N.C. The impact of temperature variability on wheat yields. Glob. Chang. Biol. 2011, 17, 997–1012. [Google Scholar] [CrossRef]
- Asseng, S.; Ewert, F.; Martre, P.; Rötter, R.P.; Lobell, D.B.; Cammarano, D.; Kimball, B.A.; Ottman, M.J.; Wall, G.W.; White, J.W.; et al. Rising temperatures reduce global wheat production. Nat. Clim. Chang. 2014, 5, 143–147. [Google Scholar] [CrossRef]
- Araya, A.; Prasad, P.V.V.; Zambreski, Z.; Gowda, P.H.; Ciampitti, I.A.; Girma, A. Spatial analysis of the impact of climate factors and adaptation strategies on productivity of wheat in Ethiopia. Sci. Total Environ. 2020, 731, 139094. [Google Scholar] [CrossRef]
- Araya, A.; Prasad, P.V.V.; Gowda, P.H.; Djanaguiraman, M.; Kassa, A.H. Potential impacts of climate change factors and agronomic adaptation strategies on wheat yields in central highlands of Ethiopia. Clim. Chang. 2020, 159, 461–479. [Google Scholar] [CrossRef]
- Araya, A.; Prasad, P.V.V.; Gowda, P.H.; Zambreski, Z.; Ciampitti, I.A. Management options for mid-century maize (Zea mays L.) in Ethiopia. Sci. Total Environ. 2021, 758, 143–635. [Google Scholar] [CrossRef] [PubMed]
- Dijkman, T.J.; Birkved, M.; Saxe, H.; Wenzel, H.; Hauschild, M.Z. Environmental impacts of barley cultivation under current and future climatic conditions. J. Clean. Prod. 2017, 140, 644–653. [Google Scholar] [CrossRef]
- Gammans, M.; M′erel, P.; Ortiz-Bobea, A. Negative impacts of climate change on cereal yields: Statistical evidence from France. Environ. Res. Lett. 2017, 12, 54007. [Google Scholar] [CrossRef]
- Bunce, J.A. Responses of stomatal conductance to light, humidity and temperature in winter wheat and barley grown at three concentrations of carbon dioxide in the field. Glob. Chang. Biol. 2000, 6, 371–382. [Google Scholar] [CrossRef]
- Chloupeka, O.; Hrstkovaa, P.; Schweigert, P. Yield and its stability, crop diversity, adaptability and response to climate change, weather and fertilization over 75 years in the Czech Republic in comparison to some European countries. Field Crops Res. 2004, 85, 167–190. [Google Scholar] [CrossRef]
- Olesen, J.E.; Trnka, M.; Kersebaum, K.C.; Skjelvåg, A.O.; Seguin, B.; Peltonen-Sainio, P.; Rossi, F.; Kozyra, J.; Micale, F. Impacts and adaptation of European crop production systems to climate change. Eur. J. Agron. 2011, 34, 96–112. [Google Scholar] [CrossRef]
- Trnka, M.; Dubrovsky, M.; Zalud, Z. Climate change impacts and adaptation strategies in spring barley production in the Czech Republic. Clim. Chang. 2004, 64, 227–255. [Google Scholar] [CrossRef]
- Tubiello, F.N.; Donatelli, M.; Rosenzweig, C.; Stockle, C.O. Effects of climate change and elevated CO2 on cropping systems: Model predictions at two Italian locations. Eur. J. Agron. 2000, 13, 179–189. [Google Scholar] [CrossRef]
- Tao, F.; Rötter, R.P.; Palosuo, T.; Díaz-Ambrona, C.G.H.; Mínguez, M.I.; Semenov, M.A.; Kersebaum, K.C.; Nendel, C.; Cammarano, D.; Hoffmann, H.; et al. Designing future barley ideotypes using a crop model ensemble. Eur. J. Agron. 2017, 82, 144–162. [Google Scholar] [CrossRef]
- Choi, D.H.; Yun, S.H. Agroclimatic zone and characters of the area subject to climatic disaster in Korea. Korean J. Crop Sci. 1989, 34 (Suppl. S2), 13–33. [Google Scholar]
- Choi, D.H.; Kim, K.S. Agricultural Meteorology (Shingo): For Environment and Science Farming; Hyangmunsa: Seoul, Korea, 2001; pp. 45–46. [Google Scholar]
- Cha, J.H.; Kim, K.S. Agriculture, Forestry and Meteorology; Sunjin Culture: Seoul, Korea, 1989; pp. 201–307. [Google Scholar]
- Holden, N.M.; Brereton, A.J.; Fealy, R.; Sweeney, J. Possible change in Irish climate and its impact on barley and potato yields. Agric. For. Meteorol. 2003, 116, 181–196. [Google Scholar] [CrossRef]
- Shim, K.M.; Yun, S.H.; Jung, Y.S.; Lee, J.T.; Hwang, K.H. Impact of recent weather variation on yield components and growth stages of winter barley in Korea. Korean J. Agric. For. Meteorol. 2002, 4, 38–48. [Google Scholar]
- Shim, K.M.; Min, S.H.; Lee, D.B.; Kim, G.Y.; Jeong, H.C.; Lee, S.B.; Kang, K.K. Simulation of the effects of the A1B climate change scenario on the potential yield of winter naked barley in Korea. Korean J. Agric. For. Meteorol. 2011, 13, 192–203. [Google Scholar] [CrossRef][Green Version]
- Rural Development Administration (RDA). Methods of Soil and Plant Analysis; Sammi Press: Seoul, Korea, 2000; pp. 1–202. [Google Scholar]
- AOAC. Official Methods of Analysis, 13th ed.; Association of Official Analytical Chemists: Washington, DC, USA, 1990; pp. 190–209. [Google Scholar]
- Jang, S.J.; Kuk, Y.I. Effects of biostimulants on primary and secondary substance contents in lettuce plants. Sustainability. 2021, 13, 2441. [Google Scholar] [CrossRef]
- Ohara, I.; Shujiro, A. Comparison of protein precipitants for the determination of free amino acids in plasma. Agric. Biol. Chem. 1979, 43, 1473–1478. [Google Scholar]
- Kononova, M.M. Soil Organic Matter: Its Nature, Its Role in Soil Formation and in Soil Fertility; Pergamon Press: Oxford, UK, 1966. [Google Scholar]
- Cox, M.S. The Lancaster soil test method as an alternative to the Mehlich 3 soil test method. Soil Sci. 2001, 166, 484–489. [Google Scholar] [CrossRef]
- Statistical Analysis System (SAS). SAS/STAT User’s Guide, 7th ed.; Electronic Version; Statistical Analysis System Institute: Cary, NC, USA, 2000. [Google Scholar]
- Alberdi, M.; Corcuera, L.J. Cold acclimation in plants. Phytochemistry 1991, 30, 3177–3184. [Google Scholar]
- Fowler, D.B.; Carles, R.J. Growth, development, and cold tolerance of fall acclimated cereal grains. Crop Sci. 1979, 19, 915–922. [Google Scholar] [CrossRef]
- Park, H.W.; Lee, H.J.; Roh, S.W.; Hwangbo, H.; Kuk, Y.I. Evaluation of cultivation limit area for different types of barley owing to climate change based on cultivation status and area of certified seed request. Korean J. Crop Sci. 2022, 67, 95–110. [Google Scholar]
- Hatfield, J.L.; Boote, K.J.; Kimball, B.A.; Ziska, L.H.; Izaurralde, R.C.; Ort, D.; Thomson, A.M.; Wolfe, D. Climate impacts on agriculture: Implications for crop production. Agron. J. 2011, 103, 351–370. [Google Scholar] [CrossRef]
- Clausen, S.K.; Frenck, G.; Linden, L.G.; Mikkelsen, T.N.; Lunde, C.; Jørgensen, R.B. Effects of single and multifactor treatments with elevated temperature, CO2 and ozone on oilseed rape and barley. J. Agron. Crop Sci. 2011, 197, 442–453. [Google Scholar] [CrossRef]
- Wheeler, T.R.; Batts, G.R.; Ellis, R.H.; Hadley, P.; Morison, J.I.L. Growth and yield of winter wheat (Triticum aestivum) crops in response to CO2 and temperature. J. Agric. Sci. 1996, 127, 37–48. [Google Scholar] [CrossRef]
- Prasad, P.V.V.; Staggenborg, S.A.; Ristic, Z. Impacts of drought and/or heat stress on physiological, development, growth and yield process of crop plants. In Response of Crops to Limited Water: Understanding and Modeling Water Stress Effects on Plant Growth Processes; American Society of Agronomy: Madison, WI, USA, 2008; Volume 1, pp. 301–355. [Google Scholar]
- Prasad, P.V.V.; Bhemanahalli, R.; Jagadish, S.V.K. Field crops and the fear of heat stress: Opportunities, challenges and future directions. Field Crops Res. 2017, 200, 114–121. [Google Scholar] [CrossRef]
- Prasad, P.V.V.; Djanaguiraman, M. Response of floret fertility and individual grain weight of wheat to high temperature stress: Sensitive stages and thresholds for temperature and duration. Funct. Plant Biol. 2014, 41, 1261–1269. [Google Scholar] [CrossRef] [PubMed]
- Prasad, P.V.V.; Djanaguiraman, M.; Perumal, R.; Ciampitti, I.A. Impact of high temperature stress on floret fertility and individual grain weight of grain sorghum: Sensitive stages and thresholds for temperature and duration. Front. Plant Sci. 2015, 6, 820. [Google Scholar] [CrossRef]
- Prasad, P.V.V.; Boote, K.J.; Allen, L.H. Seed-set, seed yield and harvest index of grain-sorghum [Sorghum bicolor (L.) Moench] are more severe at elevated carbon dioxide due to higher tissue temperatures. Agric. For. Meteorol. 2006, 139, 237–251. [Google Scholar] [CrossRef]
- Prasad, P.V.V.; Boote, K.J.; Allen, L.H. Species, ecotype and cultivar differences in spikelet fertility and harvest index of rice in response to high temperature. Field Crop Res. 2006, 95, 398–411. [Google Scholar] [CrossRef]
- Yang, X.; Tian, Z.; Sun, L.; Chen, B.; Tubiello, F.N.; Xu, Y. The impacts of increased heat stress events on wheat yield under climate change in China. Clim. Chang. 2017, 140, 605–620. [Google Scholar] [CrossRef]
- Reinhardt, D.; Jansen, G.; Seddig, S.; Eichler-Löbermann, B. Temperature stress during flowering time affects yield and quality parameters of waxy barley. Appl. Agric. For. Res. 2013, 1, 79–84. [Google Scholar]
- Savin, R.; Stone, P.J.; Nicolas, M.E. Responses if grain growth and malting quality of barley to short periods of high temperature in field studies using portable chambers. Aust. J. Agric. Res. 1996, 47, 465–477. [Google Scholar] [CrossRef]
- Nuttall, J.G.; O’leary, G.J.; Panozzo, J.F.; Walker, C.K.; Barlow, K.M.; Fitzgerald, G.J. Models of grain quality in wheat—A review. Field Crops Res. 2017, 202, 136–145. [Google Scholar] [CrossRef]
- Araya, A.; Kisekka, I.; Girma, A.; Hadgu, K.M.; Tegebu, F.N.; Kassa, A.H.; Ferreira-Filho, H.R.; Beltrao, N.E.; Afewerk, A.; Abadi, B. The challenges and opportunities for wheat production under future climate in northern Ethiopia. (Cambridge). J. Agric. Sci. 2017, 55, 379–393. [Google Scholar] [CrossRef]
- Kebede, B.; Korecha, D.; Mamo, G.; Dandesa, D.; Yibrah, M. Modeling climate change and its impacts on food barley (Horduem vulgare L.) production using different climate change scenarios in Lemubilbilo district, Oromia regional state, Ethiopia. Internat. J. Res. Environ. 2019, 5, 33–40. [Google Scholar]
- Ha, Y.W. Barley, Ruderal Development Administration. Geomogmunhasa 2000, 81–82. [Google Scholar]
- Williams, M.; Shewry, P.R.; Lawlor, D.W.; Harwood, J.L. The effects of elevated temperature and atmospheric carbon dioxide concentration on the quality of grain lipids in wheat (Triticum aestivum L.) grown at two levels of nitrogen application. Plant Cell Environ. 1995, 18, 999–1009. [Google Scholar] [CrossRef]
- Kumar, R.; Singh, V.; Pawar, S.K.; Singh, P.K.; Kaur, A.; Sharma, D. Abiotic Stress and Wheat Grain Quality: A Comprehensive Review. In Wheat Production in Changing Environments; Springer: New York, NY, USA, 2017; pp. 63–87. [Google Scholar]
- Carr, S.J.; Ritchie, G.S.P.; Porter, W.M. A soil test for aluminium toxicity in acidic subsoils of yellow earths in Western Australia. Aus. J. Agric. Res. 1991, 42, 875–892. [Google Scholar] [CrossRef][Green Version]
- Scott, B.J.; Conyers, M.K.; Poile, G.J.; Cullis, B.R. Subsurface acidity and liming affect yield of cereals. Aust. J. Agric. Res. 1997, 48, 843–854. [Google Scholar] [CrossRef]
- Young, K. Barley: Soil; Climatic Requirements. In Soil Guide: A Handbook for Understanding and Managing Agricultural Soils; Bulletin 4343; Moore, G., Ed.; Agriculture Western Australia: South Perth, Australia, 1998. [Google Scholar]
Publisher’s Note: MDPI stays neutral with regard to jurisdictional claims in published maps and institutional affiliations. |
© 2022 by the authors. Licensee MDPI, Basel, Switzerland. This article is an open access article distributed under the terms and conditions of the Creative Commons Attribution (CC BY) license (https://creativecommons.org/licenses/by/4.0/).


