Abstract
Wireless sensor networks (WSN) enable the acquisition of multisource environmental data and crop states in precision agriculture. However, the complex agricultural environment causes the WSN topology to change frequently and link connection probability is difficult to predict. In order to improve the utilization of network resources and balance the network energy consumption, this paper studies an agricultural fault-tolerant topology construction method based on the potential game and cut vertex detection. Considering the connectivity redundancy, node lifetime, and residual energy, a fault-tolerant topology algorithm for agricultural WSN based on a double price function is designed. The network is clustered according to the node location and residual energy to form a single-hop effective cluster. Based on the network cluster, the price function is constructed in order to reduce energy consumption and balance network energy efficiency. The initial transmit power set supporting inter-cluster communication is obtained by potential game theory. While preserving the game characteristics of topology, the redundant links are eliminated and the transmit power is adjusted by a cut vertex detection algorithm to realize the construction of a 2-connected cluster head network. Simulation results show that the network topology constructed by the studied algorithm can balance the energy consumption and prolong the network lifetime effectively.
1. Introduction
The agricultural environment is complex, and crop growth is affected by many factors such as soil moisture, climate change, and carbon dioxide [1,2]. It is difficult for traditional wired monitoring to accurately sense the agricultural environment. Wireless sensor networks (WSN) are composed of microsensors deployed in the monitoring area. It has the characteristics of convenient deployment, low cost, and high precision, which is suitable for agricultural information monitoring and transmission [3,4]. However, the energy of sensors is limited. Many types of sensors, such as soil sensors, biosensors, PH sensors, are deployed underground or inside crops and they are not easy to charge and replace [5,6]. Moreover, for small sensors densely deployed in large-scale farms, it is difficult for managers to easily and frequently find them and charge them. Although some sensors can use renewable energy such as solar energy for charging, they are usually large and expensive, and are not suitable for monitoring large-scale farmland. The network lifetime is determined by the energy of all nodes. The premature death of a node may lead to the disconnection of the whole network. Topology control can optimize the WSN performance by adjusting the transmit power and other parameters on the premise of ensuring normal network operation [7,8]. Reasonable network topology can effectively balance the energy consumption of each node, and plays an important role in the large-scale agricultural autonomous monitoring network.
Existing topology control protocols improve network performance to a certain extent. However, in the field of agriculture, densely distributed crops and complex climate aggravate the multipath effect of wireless signals, resulting in unstable link-connected probability [9]. Existing algorithms focus on overall network optimization and seldom consider the impact on data transmission of other nodes when some nodes fail. In order to ensure delivery probability and prolong the network lifetime, it is necessary to reduce energy consumption while maintaining network connectivity redundancy.
Aiming at the problem of frequent topology changes in agricultural WSN, a fault-tolerant topology protocol based on double price potential game and cut vertex elimination is studied in this paper. The agricultural monitoring network is clustered according to the residual energy, transmission distance, and node density. The topology between clusters is initialized through the double price potential game to coordinate the transmit power of selfish nodes, realize the dual optimization between the whole network and individual nodes, reduce the node load, and balance the overall energy consumption of the network. Combined with the cut vertex detection algorithm, this paper eliminates the redundant links in the initial network topology, and constructs a 2-connected fault-tolerant topology between clusters by adjusting the transmission power.
2. Related Works
Recently, a large number of topological control algorithms have been proposed, which mainly focus on power control [10,11,12,13,14,15,16,17,18,19,20,21] and network clustering [22,23,24,25,26,27,28,29,30,31]. By adjusting the transmit power to affect the communication range, the residual energy consumption can be reduced, and the communication quality can be guaranteed [10]. Cluster topology control uses data fusion to cluster nodes to reduce transmission load.
The wireless network topology can be constructed by controlling the transmit power. Game theory is an effective method to control the transmit power. Players interact and cooperate to obtain the best strategy. Reference [11] used this feature to optimize the transmit power. Hao et al., proposed a topology control algorithm based on energy consumption, which made the node obtain the minimum hop under the maximum power and selected the power with the maximum price through the optimal response strategy [12]. However, the calculation of the model is complex. In addition, Khalily-Dermany et al., proposed a distributed WSN topology control method based on the Lagrange duality method, sub-gradient method, which combined network coding and topology control to establish an automatic dynamic structure for wireless sensors [13]. The above research focussed on constructing the network topology with balanced energy consumption, without considering the fault-tolerant characteristics of the network. Du et al., studied an energy-efficient and fault-tolerant topology control game algorithm (EFTCG), designed the price function under the constraint of the 2-connected network and obtained the Nash equilibrium by the potential game [14]. The model did not fully consider the energy balancing of the network. Considering the link disconnection caused by dead nodes, a connectivity reconstruction scheme was proposed to establish a more reliable path according to energy efficiency [15]. In [16], used a rigid graph obtained network topology, which ensures the 2-connected network. The network topology generated by the algorithm had low overhead and effectively prolonged the network lifetime. For reducing redundant links and network energy consumption, reference [17] integrated the minimum rigid graph and potential game to design a 3DK-RNG topology control method for an underwater WSN. The potential game was adopted to control the transmit power to form the optimal network topology, and then the redundant links were eliminated based on the rigid graph. In agricultural environments, sensors need to be densely deployed for accurate environmental sensing. The existing fault-tolerant topologies provided multiple links for each node in the network, which causes a large amount of energy consumption and is not conducive to long-term monitoring of dense networks.
In terms of network clustering, cluster head selection rules are the focus of existing studies. In [22], the fuzzy system was used to integrate the residual energy, the distance from sink and the node density, so as to calculate the cluster head (CH) selection probability of each node to ensure load balance. Mahesh et al., studied the CH selection combining the dolphin echolocation algorithm and crow search algorithm [23]. Wang et al., proposed an energy-based multi-path routing algorithm, which generated multiple paths from the routing topology between clusters [24]. In data transmission, the optimal path is dynamically selected considering path energy consumption, hop, and path energy [25]. A fitness function was designed under the influence of multiple indicators such as energy, distance, and link lifetime, and an intelligent optimization algorithm based on penguin fuzzy was used to select CHs [26] Reference [28] further provided the maximum weight for the residual energy and the minimum weight for the transmission distance, based on which the cluster head probability is calculated. Reference [29] proposed a distributed redundant awareness topology control protocol for WSN. In the face of sensors sensing similar data in the same area, the network was divided into groups, and the redundant nodes were closed while the minimum number of alive nodes was kept, so as to maintain network connectivity. The clustering algorithm mainly divides the network into clusters based on residual energy, distance and node density, and selects the cluster head that can make the network performance better for data fusion. However, these algorithms rarely involve how to plan the topology between clusters after the network is divided into clusters.
Clustering a network can reduce network energy consumption by using data fusion. Fault-tolerant topology improves data transmission reliability by providing multi-connected links. The above existing WSN topology control algorithms rarely cooperated to optimize the transmit power and clustering topology. This paper combines a clustering network with fault-tolerant topology. Firstly, a data fusion clustering method is used to reduce transmission energy consumption. Then the potential game is designed to initialize the topology between clusters, combined with the cut vertex detection to further reduce the redundant link on the basis of ensuring the 2-connected network.
3. The Related Theory
3.1. Agricultural WSN Model
Suppose that N nodes that sense the environment are evenly distributed in the farm, and can be represented by an undirected graph G (V,E,P). V = {1, 2,…, N} represents the set of nodes in the network, and E = {eij, i ∈ V, j ∈ V, i ≠ j} represents the link set between nodes. When any two nodes i and j can communicate directly, eij = 1, otherwise, eij = 0. P = {(p1,p2,…,pN), pi ∈ [pmin,pmax]} represents the transmit power set of all sensing nodes. The ID of all nodes in the network is unique. Each node can obtain the neighbor node ID, residual energy, communication distance, and the minimum communication power between nodes within the communication range. In order to facilitate the description and calculation, the following commonly used definitions are given:
Definition 1.
Network connectivity. For a connected network topology graph G (V,E), if there is a transmission path between two nodes i and j in the topology graph G, nodes i and j are connected; if any two nodes i and j in G meet the connectivity condition, the network G is connected.
Definition 2.
Global cut vertex. For a connected network topology graph G (V,E), ∃i ∈ V, Ei represents undirected edges connected to node i. If G’ = G(V-i, E-Ei) are not connected, node i is a cut vertex.
Definition 3.
k-hop cut vertex. For a network topology graph G (V,E), if node i is the cut vertex of its k-hop local topology SG, node i can be called the k-hop cut vertex of graph G.
3.2. k-Connected Theory
The node senses the data and transmits them to the sink node through the multi hop. However, in the field of agriculture, it is a common problem that a large number of data transmissions and a harsh natural environment leads to node energy depletion. Having multiple paths that can transmit data to the sink node is of great significance for maintaining network reliability.
According to Section 3.1, WSN can be abstracted into graph G(V,E,P), where V and E represent the set of vertexes and edges of the graph, respectively. If there is only one communication path between any two sensor nodes, graph G is 1-connected. If there is more than one communication path between any two sensor nodes, the graph is called doubly connected or multi-connected. If any edge in the graph is deleted, the connectivity of the graph will not change, basically.
If there are at least k disjoint communication paths between any two nodes in the WSN topology G, the network satisfies k-connected. When k = 1, the network satisfies 1-connected. When k ≥ 2, the network is fault-tolerant. To solve the problem that agricultural wireless signal transmission is not reliable, a 2-connected fault-tolerant network is constructed in this paper.
According to the existing research, the following 2-connected related theorems are known [31,32]:
Theorem 1.
For a given agricultural WSN topology graph G(V,E), if there is no global cut vertex in graph G, G meets at least 2-connected.
Lemma 1.
For a given agricultural WSN topology G(V,E), if the k-hop local topology Gki of any node i satisfies 2-connected, then the global network topology G is also a 2-connected fault-tolerant network.
3.3. The Topology Model Based on Potential Game with Double Price Function
Game theory is a mathematical theory suitable for competitive behavior. When applied to topology control, it can better consider the energy consumption of each node and obtain a reasonable topology strategy. Potential game is a kind of strategy game, including player M, strategy space S, and price function u(S). Player M represents the set of game participants. The strategy space S is the Cartesian product of s = (si,s−i) ∈ S (i ∈ M). s = (si,s−i) ∈ S (i ∈ M) is used to represent a policy set, where si represents the policy selection of player i and s−i represent the policy selection of other players. The set of price functions u is expressed as u = {u1,u2,...,uM}, where ui represents the price obtained by player i with the policy set (si,s−i).
Agricultural WSN topology control protocol should be optimized by considering multiple objectives such as node degree, energy consumption, residual energy, and network lifetime. Therefore, we established a double price function as follows:
where, pi represents the transmit power of the node. f (pi, p−i) indicates network connectivity. If f (pi, p−i) = 1, the network is connected. If f (pi, p−i) = 0, the network is disconnected. When the price corresponding to node i is negative, the possibility of node i accessing the network at the transmit power pi can be ignored during topology construction. α and β are the weight factors, α, β > 0. Emax is the maximum energy, and represents the minimum residual energy in the set of neighbor nodes of i. The worst transmission energy consumption under the current residual energy of the node i is introduced into the price function to measure the energy efficiency of the current transmit power. Erth is the residual energy threshold. represents the theoretical maximum lifetime in neighbor nodes of node i and represents the theoretical minimum lifetime in neighbor nodes of node i. neb(pi) is the node degree of node i, and indicates the number of neighbor nodes when node i has the maximum transmit power. At different transmit power, the maximum transmission distance of node i is different, so neb(pi) will be different.
Because wireless nodes are sensitive to the environment, they collect data at a fixed rate and generate data traffic. According to existing studies, the total energy consumption of receiving 1 bit data at wireless node i and transmitting it to the next wireless node j is:
where dij is the Euclidean distance between node i and node j. c1 and c2 are the loss parameters of the radio transmission circuit. r is the loss factor related to the monitoring environment. Generally, r range is 2~4. Suppose that the energy consumption of node j receiving 1-bit data is a constant, recorded as , and its value is 50 nJ/bit.
Er represents the residual energy of node i, and the theoretical minimum lifetime of node i is:
where, rti represents the data receiving rate of node i, in bit/s. gi represents the transmission rate between node i and node j, in bit/s. represents the longest distance between node i and neighbor nodes, in meter (m). c1 = 50 nJ/bit, and c2 = 100 pJ/bit/mr. Similarly, the theoretical maximum lifetime can be obtained.
4. Hybrid WSN Topology
Clustering has proven to be an effective energy-saving method. Its core is to divide nodes into several clusters, and each cluster is managed by one or more CHs. The member nodes only need to collect data. The CHs receive and fuse the data transmitted by the member nodes, and then transmit the processed data to the base station in a single hop or multi-hop [23]. As shown in Figure 1, we designed a hybrid network topology to reduce energy consumption and ensure network connectivity. Through network clustering, the member nodes can communicate directly with the CHs. The amount of data in the CHs is large and important. Therefore, a 2-connected fault-tolerant topology between clusters was constructed. The topology was initialized based on the potential game, and then the redundant links were eliminated by cut vertex detection.
Figure 1.
Hybrid topology diagram.
In this paper, clustering is based on the Heed clustering algorithm [33]. Considering the influence factors such as residual energy, the selection probability of node i is as follows:
where, ε, σ and ω represents the weight factor. di is the distance between node i itself and sink, and is the minimum distance between the sink and the node in the set composed of node i and neighbor nodes. desi stands for node density. di and desi is calculated as follows:
(xs, ys) and (xi, yi) represent the positions of the sink node and node i respectively.
Equation (5) means that the greater the residual energy, the greater the node density, the closer to the sink node, and the closer the neighbor node is to the sink, the greater the probability of becoming the CH. After clustering, each member node adjusts the transmit power according to its distance from the CH.
4.1. Topology Initialization between Clusters Based on Potential Game
As mentioned above, the CH is responsible for collecting data within the cluster and transmitting it to the sink, so the CHs are of high importance and consume energy quickly. We adopted non-cooperative game theory to construct the initial inter-cluster topology and to reduce the energy consumption on the basis of ensuring network connectivity. < M, S, u(S)> is an ordinal potential game. The ordinal potential functions of u1 and u2 are:
It is proved that pi and qi are the two optional transmit powers of the node i. Assuming pi > qi, f (pi, p−i) ≥ f (qi, p−i).
For u1i, when node i selects power pi and qi respectively, the price difference is calculated as follows:
Similarly:
Set
For Equation (12), obviously Δu1i > 0 and zj > 0, we get ΔV1 > 0. Therefore, for Equation (12) above, ΔV1 > 0 ⇔ Δu1i > 0.
Similarly, when transmit power pi and qi are respectively selected at node i, the price difference △u2i is:
For Equation (15), obviously ΔV2 > 0 ⇔ Δu2i >0. The strategy game < M, S, u(S)> is an ordinal potential game. Therefore, the problem of network topology optimization can be transformed into the problem of maximizing price function.
It can be seen that if the power policy P* is a Nash equilibrium of the topology control game and the corresponding network topology is connected. Then P* is Pareto optimal.
The inter cluster topology initialization algorithm based on potential game is as follows. In the Algorithm 1, node i initializes its transmit power to , and then determines its transmit power according to its current residual energy Eri and the collected local topology information. The adjustable transmit power set was P’. The transmit power in set P’ was arranged in descending order.
| Algorithm 1: Inter-cluster topology initialization algorithm |
| Input: Graph G (V,E,P) of WSN, clusters of network |
| Output: Initial transmit power of CHs |
| 1. for loop = 1 to N 2. if node loop receives Hello message from neighbor nodes at time t 3. Update the adjacency matrix 4. end 5. end 6. for loop = 1 to N 7. if node loop is the CH 8. if the residual energy is below the threshold Erth 9. Select the transmit power that maximizes price function (p0loop* ∈ P’) 10. else 11. Select the transmit power that maximizes price function (p0loop* ∈ P’) 12. end 13. end 14. Node loop broadcasts a HELLO message containing p0loop* 15. end |
4.2. Two-Connected Fault-Tolerant Topology between Clusters
In agricultural WSN, affected by changeable climate and obstacles such as crops and soil, the communication link is easily disconnected. When a sensor node fails or a communication link is disconnected, it may lead to network partition and affect the mutual communication between nodes. There is an urgent need to establish a fault-tolerant network and ensure a reliable connection between nodes. In addition, there may be redundant links in the initial network topology, resulting in high energy consumption. As shown in Figure 2, we further optimized the inter-cluster topology based on the initial topology and cut vertex theory to ensure the reliable transmission of important data and reduce network energy consumption.
Figure 2.
Construction method of 2-connected inter-cluster network.
Firstly, the adjacency table of 2-hop local topology of CH I is constructed as A. If the number of nodes connected to node i is greater than 2, two neighbor nodes are selected based on the residual energy and the distance to construct the 2-hop local topology of node i.
where, η and υ represents the weight factor. Node j is the adjacent node of node i. di is the distance between node j itself and sink node, and dmax is the minimum distance from the network node to sink. The nodes farther away from sink should have greater residual energy, which is conducive to the stability of the topology. So, in this paper, let η = 0.5, υ = 0.5.
Then, cut vertex in the topology are detected. The specific step of inter-cluster topology optimization algorithm is as follows (Algorithm 2):
| Algorithm 2: Inter-cluster topology optimization algorithm |
| Input: Initial inter-cluster topology |
| Output: Optimized inter-cluster topology |
| 1. for loop = 1: N 2. if node loop is the CH 3. while the number of inter-cluster neighbor nodes of node loop is less than 2 and ploop < pmax 4. Adjust node loop transmit power and update the topology 5. end 6. end 7. end 8. for loop = 1 to N 9. Initialize flagloop= 0 10. if node loop is the CH 11. while flagloop = 0 and ploop < pmax 12. According to Equation (16), select an inter-cluster neighbor of the node loop as the root node r 13. The set of nodes other than loop in the 2-hop topology of node loop is A 14. The reachable nodes of the root node r are added to the Breadth First Search (BFS) tree set R 15. Starting from the root node r, each of r’s unvisited neighbors is accessed, and then starting from the neighbor nodes, each of their unvisited neighbors is visited in turn 16. Repeat the above steps until all nodes in the block where R is located are accessed, and finally get the BFS tree set R 17. if A = R 18. The transmit power is adjusted according to the farthest neighbor node in 2-hop topology and flagloop = 1 19. else 20. Select a higher transmit power 21. end 22. end 23. end 24. end |
5. Experimental Results and Analysis
It is assumed that the sink node is located in the center of the monitoring area, and the nodes are randomly distributed with fixed positions. As mentioned in the Introduction, the agricultural environment is highly variable and requires densely deployed sensors for environment sensing. Therefore, in this paper, the size of the monitoring area was set to 100 × 100 m2, and the number of nodes was between 50 and 150, so as to simulate a monitoring scenario with dense sensor deployment. Assuming that under the influence of field crops (path loss r = 3.5), the studied topology control method is used for soil moisture sensor, temperature, and humidity sensors to monitor field soil and climate. Each node has the same initial energy Emax and the same maximum transmit power pmax. The detailed parameters are shown in Table 1.
Table 1.
Experimental parameters.
5.1. Comparison of Algorithm Robustness
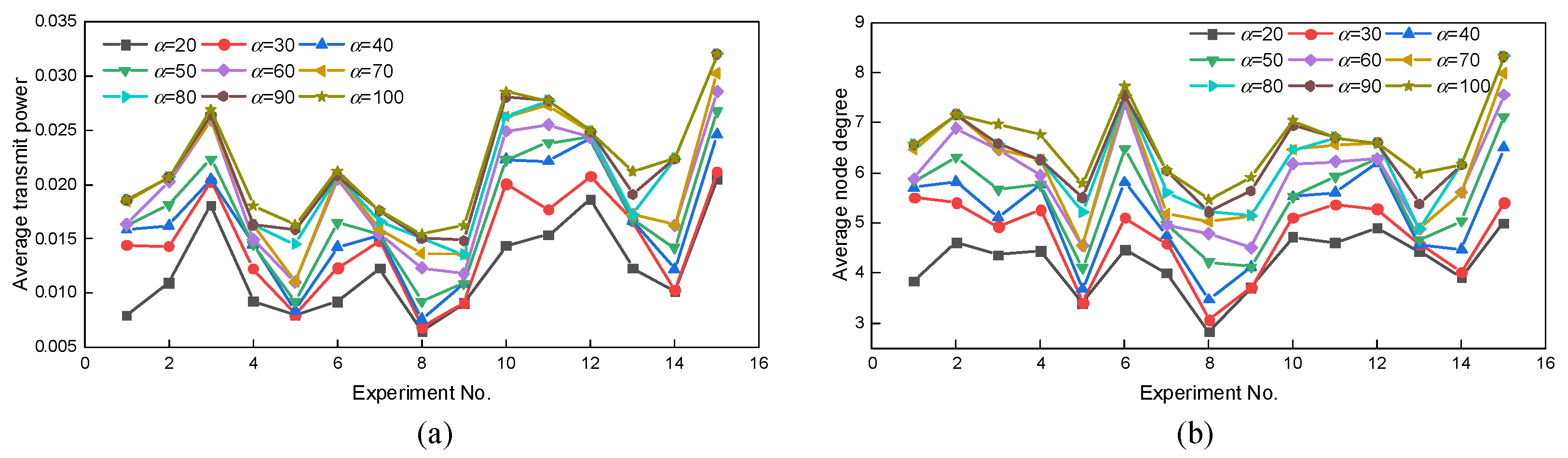
According to Equations (1) and (2), α and β parameters will affect the results of the potential game algorithm. Therefore, we repeated 20 times, randomly distributed 50 nodes in the farmland, and adjusted the parameters α and β respectively to verify the influence of the weight factor on the network topology performance. Figure 3 shows the influence of the algorithm on network performance when α ∈ {20,30,40,50,60,70,80,90,100} and β = 1 is fixed. Figure 4 shows the influence of the algorithm on network performance when β ∈ {1,2,3,4,5} and α = 50 is fixed. Average transmit power and average node degree are used to analyze the network performance.
Figure 3.
When β = 1, α impact on network performance: (a) Change of average transmit power; (b) Change of average node degree.
Figure 4.
When α = 30, β impact on network performance: (a) Change of average transmit power; (b) Change of average node degree.
As can be seen from Figure 3, with the increase of α, the transmit power and average node degree increase. When α is 50, the adjustment effect is no longer obvious. In the Figure, with the increase of β, the average transmit power and average node degree decrease accordingly. There is a proportional relationship between weight factor and network performance. According to the general theory of network topology, when the transmit power is low, network energy consumption can be reduced. Moderate node degree can improve the robustness of the network. Therefore, considering the network transmission power and average node degree, α = 30, β = 3.
After determining the algorithm parameters, when the number of nodes is 50, we compared four algorithms, namely our algorithm, the double price function based potential game algorithm (DPOG), EFTCG algorithm [14], and the 3DK-RNG algorithm [17]. The DPOG algorithm only constructs the network topology based on the game theory, and the effectiveness of the proposed algorithm in redundant link elimination was verified by comparison with DPOG algorithm. The EFTCG algorithm introduces the influence factor of network 2-connectivity into the price function, and constructs a fault-tolerant topology based on game theory. The 3DK-RNG algorithm first adopted game theory to initialize the whole network topology, and then eliminated network redundant links based on a rigid graph, which ensured that the network was at least 2-connected. Figure 5 shows the generated network topology. With maximum transmit power, the network communication link is too complex and has redundant links as shown in Figure 5a. Original network topology increases the energy consumption of the node and causes the nodes to die prematurely.
Figure 5.
Network topology comparison: (a) Initial network topology; (b) Network clustering; (c) Inter-cluster topology constructed by DPOG; (d) Inter-cluster topology constructed by cut vertex detection; (e) Network topology constructed by EFTCG; (f) Network topology constructed by 3DK-RNG.
In order to reduce energy consumption on the basis of ensuring network transmission performance, the network was clustered as shown in Figure 5b. It can be seen that the network clusters were evenly distributed and the number of nodes in the cluster were balanced.
Figure 5c shows the network topology generated by the potential game. Figure 5d shows the network topology optimized by the cut vertex detection algorithm. Although the potential game algorithm effectively reduces the number of links, there are still redundant links, and the instability of a wireless signal in agricultural scenarios was not considered. Figure 5d further reduces the number of communication links on the basis of Figure 5c, while ensuring that the network is at least 2-connected and has fault tolerance. Comparing Figure 5c with Figure 5d, the network is connected as a whole, and the redundant link can be eliminated.
Clustering changes the logical network topology. The links generated in this paper are not very regular due to clustering. However, compared with the network topology in Figure 5e,f, the network topology in Figure 5d is more concise. In addition, we further compare the performance of this algorithm with that of the comparison algorithm as follows.
5.2. Comparison of Topology Performance with Different Number of Nodes
In this paper, the number of nodes is increased from 50 to 150. Figure 6a,b show the comparison of average transmit power and average node degree. With the increase in the number of nodes, the average transmit power shows a downward trend. The average transmission power of our algorithm is 0.024 W with 50 nodes. When the number of nodes is 150, the average transmit power of our algorithm is 0.020 W. Among them, the average transmit energy obtained by EFTCG is the lowest, because it uses the potential game algorithm for selfish power control while ensuring a 2-connected network in the construction process. Nodes only select the transmit power according to their own needs. Our algorithm and the DPOG algorithm are affected by clustering, and the average transmit power obtained is slightly larger than EFTCG. However, due to the combination of single-hop effective clusters, our algorithm has the lowest average node degree. While the transmit power is only lower than that of EFTCG, the node degree is reduced to ensure that the inter-cluster topology is fault-tolerant.
Figure 6.
Comparison of network performance with different number of nodes: (a) Comparison of average transmit power; (b) Comparison of average node degree.
5.3. Comparison of Network Performance under Data Transmission Simulation
In order to better verify the network performance, when the number of nodes is 50, the opportunistic routing protocol enables the network to transmit data with an increase in the number of simulation rounds, and each data transmission reduces the node energy. To facilitate comparison, we take the first node dead time as the network lifetime, which reflects the essence of the lifetime optimization problem, that is, to balance the node energy consumption in the whole wireless sensor network. The network is no longer working when there are dead nodes in the network.
Figure 7 shows changes in alive nodes. Figure 8 shows the standard deviation of the residual energy and Figure 9 shows the average residual energy. Obviously, our algorithm maintains a small standard deviation of residual energy and a large average residual energy. The death time of the first node in our algorithm is the latest. The 3DK-RNG network has the highest energy consumption and the shortest network lifetime. EFTCG has the lowest energy consumption and the lowest standard deviation of energy consumption in the early stages, but it does not take into account the energy balance of the whole network. The imbalance of energy consumption leads to the premature death of some nodes and the sharp decline of network performance. Although the DPOG considers energy balance, there are still redundant links, which consume more energy. However, our algorithm introduces a cluster structure and adopts a double price function, so the node transport energy consumption is smaller, which effectively guarantees the energy balance of the network and prolongs the network lifetime.
Figure 7.
Changes of alive nodes in network simulation.
Figure 8.
Changes of energy variance in network simulation.
Figure 9.
Changes of total energy in network simulation.
Figure 10 shows the simulation round number when the first node dies. It can be seen from the comparison that the time to death of the first node becomes shorter when the number of nodes increases. Compared with the other three algorithms, this algorithm has a longer network lifetime with a different number of nodes. It proves that our algorithm can effectively delete redundant links, reduce energy consumption, and prolong the network lifetime.
Figure 10.
Network lifetime comparison.
6. Conclusions
In order to meet the reliable transmission requirements of WSN in a complex agricultural environment, this paper studies the 2-connected fault-tolerant topology construction method based on clustering topology. By dividing the network into single hop effective clusters, similar sensed data are integrated to reduce redundant energy consumption. Considering the residual energy, node density, and expected lifetime, the double price function for CHs is constructed. When the residual energy is greater than the threshold, the price function u1 that can comprehensively optimize the network is used. Otherwise, the price function u2 with the goal of reducing the transmit power is adopted. Based on the double price function, this paper utilizes the potential game theory to initialize the topology between clusters. Then, cut vertex detection is used to eliminate the redundant links in the initial-inter cluster topology, which also ensures that the inter-cluster network is at least 2-connected. The fault-tolerant topology between clusters is conducive to the reliable transmission of important data. By comparing with different topology control methods, it is verified that this algorithm can reduce the average transmit power, balance the energy consumption and effectively prolong the network lifetime.
However, there is still much work to be done in agricultural WSN topology. In future work, we plan to study wireless signal transmission characteristics within an agricultural dynamic environment, and further optimize the network performance by comprehensively considering the idle time of the cluster heads, cluster head percentage, channel access, and so on.
Author Contributions
Conceptualization, H.W. and H.Z.; methodology, H.W., X.H. and B.Y.; validation, H.Z., X.H. and H.Z.; formal analysis, B.Y. and Y.M.; writing—original draft, all authors; funding acquisition, H.W. and Y.M. All authors have read and agreed to the published version of the manuscript.
Funding
This research was funded by the National Natural Science Foundation of China, grant number 61871041; the China Agriculture Research System of MOF and MARA, grant number CARS-23-D07; and the Youth Fund of Beijing Academy of Agriculture and Forestry Sciences, grant number QNJJ202030.
Institutional Review Board Statement
Not applicable.
Informed Consent Statement
Not applicable.
Data Availability Statement
Not applicable.
Acknowledgments
The author would like to thank anonymous commentators and editors for their valuable comments and suggestions.
Conflicts of Interest
The authors declare no conflict of interest.
References
- Martinho, V.J.P.D.; Guine, R.D.F. Integrated-Smart Agriculture: Contexts and Assumptions for a Broader Concept. Agronomy 2021, 11, 1568. [Google Scholar] [CrossRef]
- Dholu, M.; Ghodinde, K.A. Internet of Things (IoT) for Precision Agriculture Application. In Proceedings of the 2018 2nd International Conference on Trends in Electronics and Informatics (ICOEI), Tirunelveli, India, 11–12 May 2018. [Google Scholar]
- Gagliardi, G.; Lupia, M.; Cario, G.; Gaccio, F.C.; D’Angelo, V.; Cosma, A.I.M.; Casavola, A. An Internet of Things Solution for Smart Agriculture. Agronomy 2021, 11, 2140. [Google Scholar] [CrossRef]
- Liu, Y.; Ma, X.Y.; Shu, L.; Hancke, G.P.; Abu-Mahfouz, A.M. From Industry 4.0 to Agriculture 4.0: Current Status, Enabling Technologies, and Research Challenges. IEEE Trans. Ind. Inform. 2021, 17, 4322–4334. [Google Scholar] [CrossRef]
- Mahajan, H.B.; Badarla, A.; Junnarkar, A.A. CL-IoT: Cross-layer Internet of Things protocol for intelligent manufacturing of smart farming. J. Ambient. Intell. Humaniz. Comput. 2021, 12, 7777–7791. [Google Scholar] [CrossRef]
- Gong, C.; Guo, C.; Xu, H.T.; Zhou, C.C.; Yuan, X.T. A Joint Optimization Strategy of Coverage Planning and Energy Scheduling for Wireless Rechargeable Sensor Networks. Processes 2020, 8, 1324. [Google Scholar] [CrossRef]
- Du, Y.W.; Gong, J.H.; Wang, Z.M.; Xu, N. A Distributed Energy-Balanced Topology Control Algorithm Based on a Noncooperative Game for Wireless Sensor Networks. Sensors 2018, 18, 4454. [Google Scholar] [CrossRef] [Green Version]
- Feng, Y.X.; Zhang, W.B.; Tan, X.B.; Fu, L.D. Research on the algorithm of Load-balanced Hierarchical Topology Control for WSN. Appl. Math. Inf. Sci. 2013, 7, 347–352. [Google Scholar] [CrossRef]
- Cama-Pinto, D.; Damas, M.; Holgado-Terriza, J.A.; Gomez-Mula, F.; Cama-Pinto, A. Path Loss Determination Using Linear and Cubic Regression Inside a Classic Tomato Greenhouse. Int. J. Environ. Res. Public Health 2019, 16, 1744. [Google Scholar] [CrossRef] [Green Version]
- Hao, X.C.; Wang, L.Y.; Yao, N.; Geng, D.H.; Chen, B. Topology control game algorithm based on Markov lifetime prediction model for wireless sensor network. Ad Hoc Netw. 2018, 78, 13–23. [Google Scholar] [CrossRef]
- Hu, S.H.; Li, G.H.; Huang, G.Y. Dynamic Spatial-Correlation-Aware Topology Control of Wireless Sensor Networks Using Game Theory. IEEE Sens. J. 2021, 21, 7093–7102. [Google Scholar] [CrossRef]
- Hao, X.C.; Liu, W.J.; Xin, M.J.; Yao, N.; Ru, X.Y. Energy Balance and Robustness Adjustable Topology Control Algorithm for Wireless Sensor Networks. Acta Phys. Sin. 2015, 64, 5–17. [Google Scholar]
- Khalily-Dermany, M. A Decentralized Algorithm to Combine Topology Control with Network Coding. J. Parallel Distrib. Comput. 2021, 149, 174–185. [Google Scholar] [CrossRef]
- Du, Y.W.; Xia, J.Z.; Gong, J.H.; Hu, X.H. An Energy-Efficient and Fault-Tolerant Topology Control Game Algorithm for Wireless Sensor Network. Electronics 2019, 8, 1009. [Google Scholar] [CrossRef] [Green Version]
- Roy, A.; Misra, S.; Kar, P.; Mondal, A. Topology Control for Self-Adaptation in Wireless Sensor Networks with Temporary Connection Impairment. ACM Trans. Auton. Adapt. Syst. 2017, 11, 1–34. [Google Scholar] [CrossRef]
- Luo, X.Y.; Li, H.; Ma, J.H. Topology Optimization Algorithm for Wireless Networks Based on the Algebraic Properties of Minimum Rigid Graph. Acta Phys. Sin. 2016, 65, 17–25. [Google Scholar]
- Wei, L.S.; Han, J. Topology Control Algorithm of Underwater Sensor Network Based on Potential-Game and Optimal Rigid Sub-Graph. IEEE Access 2020, 8, 177481–177494. [Google Scholar] [CrossRef]
- Liu, H.R.; Xin, M.J.; Liu, W.J.; Chen, B.; Hao, X.C.; Li, X.D.; Ru, X.Y. Topology Control Game Algorithm of Multi-performance Cooperative Optimization with Self-Maintaining for WSN. Wirel. Pers. Commun. 2017, 94, 1237–1262. [Google Scholar] [CrossRef]
- Mazumdar, N.; Nag, A.; Nandi, S. HDDS: Hierarchical Data Dissemination Strategy for energy optimization in dynamic wireless sensor network under harsh environments. Ad Hoc Netw. 2021, 111, 102348. [Google Scholar] [CrossRef]
- Faheem, M.; Gungor, V.C. Capacity and spectrum-aware communication framework for wireless sensor network-based smart grid applications. Comput. Stand. Interfaces 2017, 53, 48–58. [Google Scholar] [CrossRef]
- Singla, P.; Munjal, A. Topology Control Algorithms for Wireless Sensor Networks: A Review. Wirel. Pers. Commun. 2020, 113, 2363–2385. [Google Scholar] [CrossRef]
- Mehra, P.S.; Doja, M.N.; Alam, B. Fuzzy Based Enhanced Cluster Head Selection (FBECS) for WSN. J. King Saud Univ.-Sci. 2020, 32, 390–401. [Google Scholar] [CrossRef]
- Mahesh, N.; Vijayachitra, S. DECSA: Hybrid Dolphin Echolocation and Crow Search Optimization for Cluster-based Energy-Aware Routing in WSN. Neural Comput. Appl. 2019, 31, 47–62. [Google Scholar] [CrossRef]
- Wang, Z.X.; Zhang, M.; Gao, X.L.; Wang, W.Q.; Li, X.L. A clustering WSN routing protocol based on node energy and multipath. Clust. Comput. J. Netw. Softw. Tools Appl. 2019, 22, S5811–S5823. [Google Scholar] [CrossRef]
- Kulkarni, P.H.; Malathi, P. PFuzzyACO: Fuzzy-based Optimization Approach for Energy-aware Cluster Head Selection in WSN. J. Internet Technol. 2019, 20, 1787–1800. [Google Scholar]
- Martinaa, M.; Santhi, B.; Raghunathan, A. An energy-efficient and novel populated cluster aware routing protocol (PCRP) for wireless sensor networks (WSN). J. Intell. Fuzzy Syst. 2020, 39, 8529–8542. [Google Scholar] [CrossRef]
- Alharbi, M.A.; Kolberg, M.; Zeeshan, M. Towards improved clustering and routing protocol for wireless sensor networks. EURASIP J. Wirel. Commun. Netw. 2021, 1, 46. [Google Scholar] [CrossRef]
- Rawat, P.; Chauhan, S. Probability based cluster routing protocol for wireless sensor network. J. Ambient. Intell. Humaniz. Comput. 2021, 12, 2065–2077. [Google Scholar] [CrossRef]
- Zebbane, B.; Chenait, M.; Badache, N. A Distributed Lightweight Redundancy Aware Topology Control Protocol for Wireless Sensor Networks. Wirel. Netw. 2017, 23, 1779–1792. [Google Scholar] [CrossRef]
- Mosavifard, A.; Barati, H. An energy-aware clustering and two-level routing method in wireless sensor networks. Computing 2020, 102, 1653–1671. [Google Scholar] [CrossRef]
- Duque-Anton, M.; Bruyaux, F.; Semal, P. Measuring the Survivability of a Network: Connectivity and Rest-Connectivity. Eur. Trans. Telecommun. 2000, 11, 149–159. [Google Scholar] [CrossRef]
- Goyal, D.J.; Caffery, J. Partitioning Avoidance in Mobile Ad Hoc Networks Using Network Survivability Concepts. In Proceedings of the ISCC 2002 Seventh International Symposium on Computers and Communications International Symposium on Computers and Communications, Taormina-Giardini Naxos, Taormina, Italy, 1–4 July 2002. [Google Scholar]
- Lin, C.H.; Tsai, M.J. A comment on HEED: A hybrid, energy-efficient, distributed clustering approach for ad hoc sensor networks. IEEE Trans. Mob. Comput. 2006, 10, 1471–1472. [Google Scholar]
Publisher’s Note: MDPI stays neutral with regard to jurisdictional claims in published maps and institutional affiliations. |
© 2022 by the authors. Licensee MDPI, Basel, Switzerland. This article is an open access article distributed under the terms and conditions of the Creative Commons Attribution (CC BY) license (https://creativecommons.org/licenses/by/4.0/).









