Abstract
Both compact planting and selecting superior maize (Zea mays L.) hybrids can greatly optimize the source–sink relationship and enhance maize productivity. However, the underlying physiological mechanism for regulating carbon (C) assimilate transport and influencing grain yield between maize cultivars has remained unclear under contrasting plant densities. A two-year field experiment was conducted to investigate grain yield, vascular bundle character, grain filling, C allocation in grains and other tissues, and hormone level and enzyme activity in grains under 60,000 (ND) and 90,000 plants ha−1 (HD) densities using Xianyu 335 (XY335) and Zhengdan958 (ZD958) hybrids. Compared to the ZD958, XY335 increased grain yield, kernel number per plant (KNP), and sink capacity by 11.4%, 15.7%, and 7.4%, respectively. Moreover, XY335 performed higher net photosynthetic rate and sucrose synthase activities in grains than those in ZD958, and higher levels of sucrose phosphate synthase and soluble acid invertase activity were mainly exhibited in the middle of the grain filling stage, which contributed to increasing the proportion of grain in total dry matter, grain C content and leaf C transport efficiency by 4.3%, 12.2%, and 52.9%, respectively, under HD conditions. Additionally, a greater area and number of small vascular bundle in ear of XY335 resulted in 21.3% higher matter transport efficiency and 4.8% higher maximum grain filling rate than ZD958 under HD conditions. In addition, grains of XY335 exhibited generally higher levels of indole acetic acid (IAA) and abscisic acid (ABA), as well as ABA/GA3 ratio after maize pollination relative to those from ZD958, conducive to regulating C translocation from leaves to grains. Overall, our study illustrates that stronger source activity, sink characteristics, and matter transport channels for maize hybrids are significant for C assimilate transport to grain for achieving high grain yield under higher plant density.
1. Introduction
With the global population continually growing, as one of three major cereal crops worldwide, maize (Zea mays L.) plays an important role in food and feed; thus, enhancing its grain yield has been receiving widespread attention for a long time [1]. Currently, maize grain yield is greatly improved with two strategies in practice and the studied area: (i) selecting high-yield varieties, and (ii) scientific and appropriate cultivation practices, of which increasing plant density is considered to have a huge role in guaranteeing farmland productivity [2,3,4]. However, greatly increasing plant density generally decreases the resources available for each plant, although both source (leaves) and sink (kernels) limit the supply of assimilates under those conditions [3,5]. It is clear that the modern cultivars have made much progress in increasing the source production ability to improve grain yield relative to some older maize cultivars, but a balanced source–sink relationship and well-established sink traits are likely required to increase maize grain yield further [2,5,6]. Therefore, characterizing sink and clarifying its relationship with grain yield of some modern maize varieties will further contribute to increasing grain yield [4,5,7].
Maize sink strength is determined by its competitive ability for assimilates, which depends on sink capacity and sink activity from grains [8,9]. Sink capacity is associated with the cell division number and the size of sink cells (i.e., the final kernel number per plant, KNP, and kernel weight per plant, KW) [5,8]. KNP was determined by the number of fertilized florets around the silking stage, and it can be regulated by crop state during the early 1–3 weeks of the maize silking stage [4,5,7,10]. Moreover, a positive correlation was found between KW either post-silking assimilate production or lower assimilate stored in vegetative organs before maize silking [5,8,10]. On the other hand, the contribution rate of KNP and KW of different varieties to grain yield is controversial under the high plant density reported by previous studies [8,10,11]. Chen et al. [12] suggested that KW, rather than kernel number, was the primary component driving yield improvement. However, Kamara et al. [13] proposed that planting density was significantly limited by the local climate and other factors, there was no uniform standard for the optimum planting density and increasing plant density for different maize hybrids would reduce 7–8% KW relative to those from normal plant density, but the KNP obtained from intensive plant density could offset the loss of KW and further contribute to increasing grain yield [11].
Sink activity is a physiological constraint upon the assimilate import for sink organs; generally, higher sink activity results in strengthened carbohydrate-assimilated storage in sink organs [8]. Carbohydrate assimilates produced by source leaves, primarily in the form of sucrose, are loaded into phloem and delivered to sink tissues [14]. Thus, sink activity is strongly represented by the physiological enzyme performances, for instance sucrose synthase (SS), sucrose phosphate synthase (SPS), and soluble acid invertase (SAI). It has been addressed that higher SS and SPS activity are conducive to promoting the ability of the sink to produce sucrose and portion the assimilates, thereby performing higher sink activity [8,15,16]. Additionally, SAI is responsible for interrupting the retrieval mechanism of sucrose back into the phloem and enables a selective uptake of metabolites by the sink organs [9,17,18]. Therefore, exploring these enzymes’ activity in response to variety and planting density is significant in clarifying sink activity characteristics for maize grain yield improvement.
Generally, crop grain yield is not only determined by the dry matter accumulation, but also the allocation of assimilates depending on an efficient translocation system [19,20]. Some crop hybrids with a higher dry matter proportion of reproductive organs increased grain yield by providing more photosynthate for sink tissues than other hybrids [21]. Furthermore, previous research has shown that the KNPs are strongly related to the vascular bundles [22], and dry matter partitioning could be improved by increasing the number or area of vascular bundles, indicating that the vascular system is an important matter transport channel, strongly supporting the allocation of assimilates for high yield formation [23,24]. Therefore, the capacity of the vascular bundle system for efficiently transporting assimilates from the vegetative organs to the sink organs is a limiting factor for intensifying yield potential, and worthy of receiving more attention [22,23,25].
Hormones play important roles and have been proven to have functions in the regulation of plant growth and development, including cell division, sink establishment, and kernel growth [26]. Indole acetic acid (IAA) and gibberellic acid (GA3) affect physiological and biochemical processes and enhance not only the transportation of assimilates to grains, but also the grain-filling rate in various crops (e.g., maize) [27,28]. Previous studies have shown that abscisic acid (ABA) inhibited endosperm cell division and decreased starch granules decline the kernel number and assimilate transport to the grain [29,30]; nevertheless, even at high concentrations (100–1000 μM), there is no entire inhibition of plant growth, and large seeds have a higher grain-filling rate than small seeds [31,32]. Additionally, it has been revealed that maize hybrids with different genotypes have different responses of hormones to environmental factors and cultivation strategies [31]. For instance, hybrids more suitable for drought-stress condition were found with higher ABA and lower GA3 than the normal hybrids, and hybrids with higher IAA content are beneficial in enhancing their grain starch synthesis capacity to help them build a stronger sink than other hybrids [26,31,33,34]. However, it is not fully known the ways in which hormones influence carbon (C) assimilate translocation and partition, or even the relationship between hormones and sink strength under high plant density between maize hybrids.
The ZD958 and XY335 maize hybrids widely planted in northeast China have been proven to have contrasting nutrient utilization efficiency in previous research [35]. By using these two typical maize varieties, the main aim of this study was to investigate the relationships involved in source production ability, sink strength, matter translocation and grain yield improvement, and how they were affected by maize genotype and plant density. We hypothesized that maize varieties with large sink capacity and activity had higher physiological metabolic capacity, source productivity, and grain yield. Therefore, source, sink characteristics, and grain yield were compared between two maize genotypes in response to contrasting plant densities, and the physiological mechanisms underlying variations in matter transport efficiency and the relationships between sink strength and matter transport efficiency between maize genotypes were clarified in this study.
2. Materials and Methods
2.1. Site Description
The field experiment was conducted in Gongzhuling, Jilin Province, China (43°31′ N, 124°48′ E) in 2017 and 2018. This study area is a typical rain-fed region with spring maize planted dominantly in Northeast China. The initial characteristics of the soil at 20 cm depth before the experiment were determined as 25.9 g kg−1 organic matter, 1.25 g kg−1 total N, 61.8 mg kg−1 available P, 150.2 mg kg−1 available K, and pH 6.4. The rainfall and effective accumulation temperature were 516.5 mm and 1625.1 °C, respectively, in 2017 and 641.6 mm and 1590.3 °C, respectively, in 2018 during the whole growth stage of maize (Figure 1).
Figure 1.
Daily meteorological data for maize growth seasons in 2017 and 2018.
2.2. Experiment Design and Field Management
A split-plot design was employed in this study, with the main plots as Xianyu 335 (XY335) and Zhengdan 958 (ZD958) maize hybrids and the subplots as planting density with 60,000 plants ha−1 (ND) and 90,000 plants ha−1 (HD). The size for each plot was 45 m2 (6 m × 7.5 m) with 0.6 m interspace apart. All test plots were applied with 100 kg ha−1 P (Ca3(PO4)2) and 100 kg ha−1 K (KCl) fertilizers before sowing, and a total of 200 kg ha−1 N (Urea) fertilizer with a ratio of 5:3:2 was applied before maize sowing and during the maize elongation and silking stages, respectively. Plots were kept free of pests and weeds, and disease was also well-controlled according to local practices for maize high yield cultivation. Maize was sown manually with handheld planter on 30 April 2017 and 3 May 2018 and harvested on 1 October in both years. Generally, the number of seeds sowed was 20% higher than the treated planting density (60,000 or 90,000 plants ha−1), and then the maize plants were thinned to the target planting density around 20 days after emergence.
2.3. Data Collection
2.3.1. Dry Matter (DM) and Carbon (C) Content
At the maize silking and physiological maturity stages, three random plants from each plot were collected and separated into leaf, grain, cob, and stalk (including sheaths and remaining tissues). Plant samples were heat-treated at 105 °C for 30 min, then dried at 80 °C to a constant weight for DM determination. After that, they were milled into fine powder; then, 6 mg subsample was used to measure C content using the Elemental Analyzer (Elementar, Langenselbold, Germany).
DM accumulation (g plant−1) after maize silking was calculated as:
DM = DM at maturity − DM at silking
Leaf C transport efficiency (LCTE, %) was calculated as:
where the SLC and MLC are leaf C content at maize silking and maturity stages, respectively.
LCTE = (SLC − MLC)/SLC × 100%
2.3.2. Leaf Area Index (LAI) and Net Photosynthetic Rate (Pn) of Ear Leaf
At the 0, 23rd, 38th, and 60th days after maize silking in 2017 and 2018, three plants in each plot were selected to measure the leaf area (LA). LA was calculated as the equation:
LA = Leaf length × maximum leaf width × 0.75
Then, the leaf area index (LAI) was calculated as total LA per unit of land area.
At the 0, 23rd, 36th, and 49th days after maize silking, the net photosynthetic rate (Pn, μmol CO2 m−2 s−1) of ear leaf was measured between 9:30 and 12:00 a.m. on a sunny day using a CIRAS-III portable photosynthesis system (PP System, Hansatech, UK) with the LED light at a photosynthetically active radiation intensity of 1600 μmol photons m–2 s–1 and a constant CO2 concentration of 400 ± 5 μmol mol–1. In general, three plants were selected for measurements. If great variation occurred among measurements from the first three plants, this set of data was discarded, and 3–5 plants were reselected for measurement until reliable values were obtained.
2.3.3. Enzyme Activity and Hormone Content in Grain
The activity of sucrose-phosphorus synthase (SPS), source synthase (SS), and soluble acid invertase (SAI) was measured at the 10th, 23rd, and 49th days after maize pollination. Moreover, the endogenous hormones including abscisic acid (ABA), indoleacetic acid (IAA), and gibberellic acid (GA3) were measured at the 10th, 23rd, 36th, and 49th days after pollination. Generally, the first day of pollination was around 3–5 days after maize silking, and the pollination standard was defined as the silk color changing to red. In each plot, 50 plants uniform in growth were marked and their pollination date was recorded. Three ears were selected at random from the above plants marked in the plot for each measurement, and the kernels in the middle of the ear were stripped and frozen in liquid nitrogen for 30 min, then stored at −80 °C for enzyme activity and hormone determination. Enzyme-linked immunosorbent assay (ELISA) was used to measure enzyme activity and endogenous hormone levels [34].
2.3.4. Kernel Dry Weight Accumulation and Kernel Volume
During the grain filling stage of maize in 2017 and 2018, five time points were selected for the determination of kernel dry weight and volume in each year. For each sampling point, six plants in each plot were sampled randomly; those kernels in the middle of ear were collected and then divided into two groups according to the kernel number. The first group of three 100 kernels was oven-dried at 80 °C to a constant weight to determine kernel weight, and those kernels in the other group were used to determine kernel volume using the drainage method [36]. Kernel dry weight accumulation and kernel volume were simulated using a logistic Equation (4) to obtain the process of grain filling, as described by Wei et al. [33]:
where x refers to the days after pollination, y is the kernel weight (g), a, b, and c are estimated parameters of the logistic equation; a is the ultimate growth mass, b is the primary parameter, and c is the growth rate parameter, respectively.
2.3.5. Area and Number of Vascular Bundle
At the maize milking stage in 2018, five plants were collected for vascular bundle characterization. The number and area of vascular bundles in maize peduncle and cob were obtained following the method described in our previous study [22]. Additionally, peduncle-bleeding sap was collected to determine the matter transport efficiency (MTE, mg mm−2 h−1) [22]:
where RBS refers to the rate of peduncle bleeding sap from 17:00 to 05:00 of the next day (mg h−1), and VBA refers to the vascular bundle area of peduncle internode (mm2).
2.3.6. Floret Number, Grain Yield and Sink Capacity
On the 7th day after maize pollination, the maize ears were cut off from three random plants for each plot, and the number of florets was recorded by removing silk [37]. After maize maturity, four rows of maize were harvested manually to determine grain yield, 100-kernel weight, and kernel number per plant. Grain yield was standardized to 14% moisture. Sink capacity per ear was calculated using the following equation [38]:
Sink capacity = kernel number per plant × grain weight per kernel
2.4. Statistical Analysis
The assumptions of the mathematical model (normality of errors and homogeneity of variance of residuals) were tested for all data, error normality was checked using the Kolmogorov-Smirnov test [39], and homogeneity of residual variance was checked by Levene’s test [40]. ANOVA was performed using SPSS 20.0 software (SPSS Institute Inc., Chicago, IL, USA). Differences between treatments, factors and their interaction effects were compared using the least significant difference test (LSD) at the 0.05 level of probability. All figures were produced in Origin 2019b (Origin Lab, Northampton, MA, USA). The grain-filling parameters were calculated using CurveExpert Professional 2.2.0 (Hyams Development).
3. Results
3.1. Number of Florets, Grain Yield, and Sink Capacity
Number of florets, kernel number per plant (KNP), 100-KW, grain yield and sink capacity of maize were significantly affected by the year (Y), plant density (D), and genotype (G) factors, and they also were influenced by the interaction of Y × D × G in addition to 100-KW (Table 1). Moreover, HD treatments were accompanied by a decline in 100-KW, number of florets, KNP, and sink capacity relative to ND treatments for both maize genotypes. However, due to higher spikes per hectare, HD treatments significantly enhanced the grain yield compared to ND treatments. The XY335 hybrid obtained the highest grain yield from under the HD plots in both study years, with average values of 13.9 t ha−1 across two years. Moreover, under HD conditions, although the average 100-KW of XY335 hybrid was 11.5% lower than that of ZD958, the KNP was 17.4% higher than that of ZD958 due to its higher floret number. Thus, the XY335 hybrid showed 2.9–13.4% higher sink capacity than ZD958 hybrid in 2017 and 2018, regardless of ND or HD treatments.
Table 1.
Effect of plant density on florets, grain yield and sink capacity between two maize hybrids in 2017 and 2018.
3.2. Kernel Weight, Kernel Volume, and Maximum Grain-Filling Rate (Gmax)
Compared to ND condition, HD treatment strongly reduced both final 100-kernel weight (100-KW) and volume for two maize hybrids at maize maturity stage, whilst ZD958 showed higher values relative to those from XY335 (Figure 2). The dynamics of 100-KW and 100-kernel volume appeared with two stages of rapid and slight increases from pollination to maturity. There was no clear difference in 100-KW between the two hybrids around the initial 35 days after pollination, and after that until maize maturity, the 100-KW of ZD958 became gradually higher than those from the XY335 hybrid, especially under HD conditions, and the final 100-KW of ZD958 was on average 8.1% higher than those of the XY335 hybrid. Similarly, distinctive differences in kernel volume between treatments were presented after 25-day pollination of maize, and the final 100-kernel volume of ZD958 was 8.6% higher than those from XY335 on average. With respect to Gmax, HD treatments significantly reduced the values for XY335 and ZD958 relative to ND conditions and XY335 was observed to have higher Gmax than ZD958 in both study years (Figure 2).
Figure 2.
Dynamics of 100-kernel weight, 100-kernel volume and Gmax of two maize hybrids after pollination under ND and HD conditions in 2017 and 2018. Gmax, maximum grain-filling rate; ND and HD indicate 60,000 and 90,000 plants ha−1 density, respectively. Values shown are the mean ± SE (n = 3). Letters on column chart indicate statistically significant differences between treatments at p < 0.05. ns, not significant; *, ** and *** indicate significant difference at p < 0.05, p < 0.01, and p < 0.001, respectively.
3.3. Leaf Area Index (LAI) and Net Photosynthetic Rate (Pn) of Ear Leaf
Plant density significantly affected leaf area index (LAI) and net photosynthetic rate (Pn), and LAI and Pn exhibited great variation between maize genotypes and plant density after maize silking (Figure 3). Generally, LAI showed declining trends from maize silking in both study years and HD treatment was accompanied with LAI reduction at the late stage of maize, for instance, 40 and 60 days after silking. Additionally, the XY335 hybrid exhibited lower LAI than the ZD958 hybrid during this period of both years, regardless of plant density conditions. Most notably, as for Pn, XY335 was observed with significantly higher values around 20–40 days after silking than those from ZD958 by, on average, 8.3% and 10.5% under ND and HD conditions across the two years, respectively. These results indicated that XY335 had a greater source activity relative to ZD958.
Figure 3.
Dynamics of LAI and Pn of ear leaves from two maize hybrids grown under ND and HD conditions in 2018. LAI, Leaf area index; Pn, Net photosynthetic rate. ND and HD indicate 60,000 and 90,000 plants ha−1 density, *, ** and *** indicate significant difference at p < 0.05, p < 0.01, p < 0.001, and NS, no significance, respectively. Bars denote standard error (n = 3).
3.4. Dry Matter Accumulation and Distribution in Different Organs of Maize
The results of ANOVA analysis revealed that year (Y), plant density (D) and Y × D × G (genotype) significantly affected pre- and post-silking DM, and factor D, G and Y × D × G also significantly influenced total DM of maize (Table 2). Compared to ZD958, the XY335 hybrid presented higher values in total DM (9.0% and 8.4%), pre-silking DM (12.6% and 9.3%), and post-silking DM (5.0% and 7.2%) under ND and HD conditions across two years, respectively.
Table 2.
Effect of plant density on dry matter and distribution in different organs of two maize hybrids in 2017 and 2018.
At the maturity stage, the highest proportion of DM was observed in grain (>50%), followed by stem, leaf, and cob. Compared to ZD958, the XY335 hybrid had a higher proportion of grain in total dry matter by 6.5% for ND and 4.3% for HD. Simultaneously, XY335 had a lower proportion of stem and leaf than those in ZD958. For instance, they were, on average, lower by 10.5% and 20.1% in the leaves of XY335 under ND and HD conditions, respectively.
3.5. Leaf and Grain Carbon © Contents, and Matter Transport Efficiency
Compared to ND conditions, HD treatments were correlated with lower values for leaf carbon content (SLC) at maize silking stage, but higher values (MLC) at maturity stage, resulting in clearly higher Leaf C transport efficiency (LCTE) under ND conditions relative to HD conditions for both maize hybrids (Table 3). However, XY335 presented 20.7% and 52.9% higher LCTE than those from ZD958 under ND and HD treatments, respectively. These results contributed to 9.2% and 12.2% higher C contents in the grain of XY335 relative to ZD958 hybrid under ND and HD treatments, respectively. Additionally, compared to the ZD958 hybrid, XY335 showed significantly higher peduncle bleeding sap under both plant density conditions, demonstrating increased matter transport efficiency (MTE) by 2.5% for ND and 21.3% for HD conditions.
Table 3.
Effect of plant density on the leaf and grain C contents, mean grain filling rate, and matter transport efficiency in two maize hybrids grown in 2018.
3.6. Sucrose Synthase (SS), Sucrose Phosphate Synthase (SPS), and Soluble Acid Invertase (SAI) Enzyme Activity in Grain
Except for genotype (G)’s effect on SPS, maize SPS, SS, and SAI were significantly affected by plant density (D) and G factors, and their interaction (D × G) significantly influenced SS and SAI activity. Under ND condition, SS, SPS and SAI activities were observed with significant differences between the two hybrids after maize pollination in 2018. Except for the SPS measurement of 10th day, XY335 performed clearly stronger enzyme activities, with SPS, SS, and SAI on average 2.1%, 2.9%, and 9.1% higher than those in ZD958 (Figure 4). However, under HD treatment, a similar trend of SS activity between maize varieties was presented; on average, 7.7% lower SS enzyme activity was found with ZD958 than with XY335. As for SPS and SAI, XY335 showed significantly higher enzyme activities compared to those from ZD958 in the second investigation in this study.
Figure 4.
Dynamics of SPS, SS, and SAI activities in grain of two maize hybrids grown in 2018 under ND and HD treatments. SPS, Sucrose-phosphorus synthase; SS, Source synthase; SAI, Soluble acid invertase. Bars denote standard error (n = 3). ND and HD indicate 60,000 and 90,000 plants ha−1 density, *, ** and *** indicate significant difference at p < 0.05, p < 0.01, p < 0.001, and NS, no significance, respectively.
3.7. Vascular Bundle Structure in Internodes
Plant density presented significant effects on the area of big (ABVB) and small (ASVB) vascular bundles from the peduncle and cob of maize in 2018, and HD treatments tended to decrease ABVB and ASVB in the phloem of peduncle and cob, regardless of the maize hybrid tested (Figure 5). In xylem internode, HD treatments decreased 11.0% ABVB in the peduncle internode, but increased 21.9% ASVB in the cob internode for both maize hybrids with a statistical difference compared to ND conditions, accompanied by decreases in the total area of the vascular bundle (Figure 5). In addition, total ABVB and ASVB in cob of ZD958 were found to have lower values under HD conditions than those under ND treatments, but this phenomenon did not occur with the XY335 hybrid. With respect to NBVB and NSVB, HD treatments were observed with significantly lower values compared to those from ND treatments for both maize varieties, whilst the NSVB of ZD958 exhibited significantly lower values than those of XY335 for each plant density treatment (Figure 5). Such differences could be observed in those micrographs of vascular bundles (Figure S1) as well.
Figure 5.
Effect of plant density on the area and number of big and small vascular bundles in two maize hybrids grown at maize milking stage in 2018. ABVB and ASVB, area of big and small vascular bundle; NBVB and NSVB, number of big and small vascular bundle. ND and HD indicate 60,000 and 90,000 plants ha−1 density, respectively. Bars denote standard error (n = 3). Letters indicate statistically significant differences in same position at p < 0.05 between treatments.
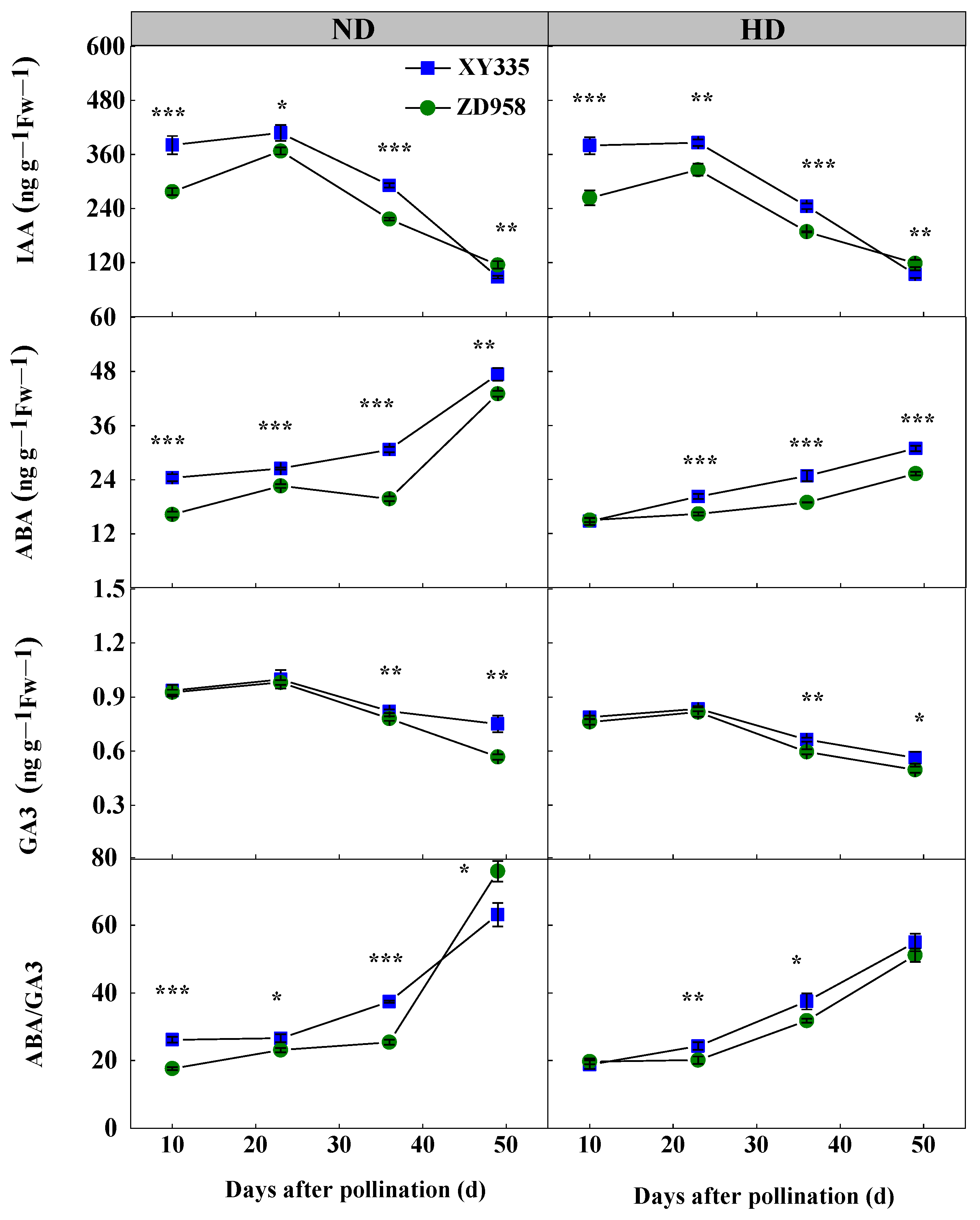
3.8. Hormone Content in Grain
Indoleacetic acid (IAA), abscisic acid (ABA) and gibberellic acid (GA3) contents in grains were investigated 0–50 days after anthesis of maize, and strong variations could be found between maize hybrids, but not for plant density treatments (Figure 6). IAA and GA3 contents of grain showed unimodal curves with a peak around the 23rd day after maize pollination. However, ABA contents in grains gradually increased as growth developed. As for IAA and ABA contents, greater values were determined with XY335 during most periods after maize pollination than those from ZD958 by 9.5% and 19.0%, respectively. Additionally, the GA3 level in grain showed 12.9% higher values from XY335 relative to ZD958 at later observations (36 and 49 days after pollination). Thus, the ratio of ABA/GA3 was significantly higher in XY335 than that from ZD958 from 23–36 days after maize pollination for both HD and ND treatments.
Figure 6.
Effect of plant density on indole-acetic acid (IAA), abscisic acid (ABA), and gibberellic acid (GA3) contents in grain between two maize hybrids in 2018 growth season. ND and HD indicate 60,000 and 90,000 plants ha−1 density, *, ** and *** indicate significant difference at p < 0.05, p < 0.01 and p < 0.001, respectively. Bars denote standard error (n = 3).
3.9. Correlation Analysis
Further analysis was conducted to determine the correlation between matter transport efficiency (MTE) in the peduncle, DM, sink capacity (SC), Gmax, small vascular bundle structure, C content, enzyme activity, and hormone content in grains (Figure 7). The MTE of the peduncle was not only positively related to sink capacity and total DM, but also with the C content in grain and Gmax. A similar relationship was observed between the C content in grain and SAI/SPS enzyme activity. C content in the grain was also positively correlated with the number of small vascular bundles in the peduncle (NSP) and the area of small vascular bundles in the cob (ASC). Moreover, IAA content was positively related not only to MTE, but also to grain C content, and the positive correlation between ABA contents and MTE was consistent with the correlation between the ABA/GA3 ratio and grain C content.
Figure 7.
Correlation analysis among MTE, C content in grain, DM, sink capacity, Gmax, enzymes activity, small vascular bundle structure, and hormones content throughout all treatments of this study in 2018. MTE, Matter transport efficiency of peduncle; SC, sink capacity; DM, Accumulation of total dry matter; Gmax, Maximum grain-filling rate; SAI, Soluble acid invertase; SPS, Sucrose-phosphorus synthase; C, grain carbon contents; NSP, Number of small vascular bundle in peduncle; ASC, Phloem area of small vascular bundle in cob; IAA, indoleacetic acid; ABA, abscisic acid; ABA/GA3, The ratio of abscisic acid to gibberellic acid. *, ** and *** indicate significant difference at p < 0.05, p < 0.01 and p < 0.001, respectively.
4. Discussion
In maize production, higher grain yield is generally achieved through increased plant density [41,42]. Here, the grain yield under HD conditions was significantly higher than that under ND treatment in both maize hybrids tested, and it was noteworthy that the grain yield of XY335 was, on average, 10.1% higher than that of ZD958 under HD conditions (Table 1). This was determined by different responses of source activity, sink characteristics, and assimilate allocation to plant density between XY335 and ZD958 hybrids. Previous studies demonstrated that higher productivity could be altered by source capacity and sink strength [5,8,43]. Stronger sink traits are important supports for transporting assimilates produced from source to grains [42,44,45].
Sink capacity and activity are the symbols of sink strength and greatly competitive activity of sink organs [8]. It has been reported that hybrids with a higher grain weight may be a better measure for sink in attracting assimilates than those with a lower grain weight [45,46,47]. In this study, a higher sink capacity was observed in XY335 relative to the ZD958 hybrid, but the final 100-KW in XY335 was much lower than that of ZD958 (Table 1). On the one hand, the final 100-KW was more closely related to the maximum kernel volume, but when kernels reached the maximum volume, they stopped expanding; then, without space for accommodating the incoming assimilates, the 100-KW cannot increase any more [48,49]. This is the reason that higher 100-KW in the ZD958 hybrid relative to XY335 was attributed to the higher kernel volume with ZD958 (Figure 2). Thus, these results suggested that higher sink capacity in XY335 was mainly due to its greatly bigger KNP rather than 100-KW, which is typically distinctive from previous results [45]. On the other hand, it is believed that KNP was determined by the number of pollinated florets that developed into kernels [3,50]. Higher KNP in XY335 was due to its greater number of florets than that of ZD958 under the two plant densities, indicating that superior KNP might be genotype-specific.
It has been documented that enzyme activity involved with C metabolism in sink could indicate sink activity, and they kept generating a gradient of C content between source and sink, allowing phloem to unload more C assimilates to the sink [20,47,51]. For instance, high SPS and SS in grain generally contribute to carbohydrates transporting from vegetation organs to kernels, thereby increasing KW [52,53,54]. However, the XY335 hybrid was determined with higher SPS and SS activities, but lower 100-KW relative to the ZD958 hybrid (Figure 4), because more KNP in XY335 under either plant density relative to the ZD958 hybrid made stronger competition for C assimilates, accounting for the higher SPS and SS in the grain. This phenomenon was believed to be associating with the competitive relationship between individual kernels for the utilization of assimilates imported, which is consistent with findings in previous research [47]. On the other hand, high C assimilation was thought to generate sugar signals requiring cell division and enhancing the competitive ability of individual kernels for competitive total assimilates in sink tissues [54,55,56]. Moreover, our results also indicated that XY335 was found with higher SAI activity of grain than ZD958 in the middle of grain filling stage (Figure 4). Higher SAI activity accelerated apoplastic phloem unloading assimilates to sink tissues [57], ultimately leading to larger quantities of assimilated C being transported to the grain [58,59], thereby resulting in generally higher proportions of C content in XY335 grain relative to ZD958 in this study (Table 3). These results suggested that high SPS and SS in grain was beneficial for maize, making full use of carbohydrates to fill grains, and increased SAI might be related to the ability of assimilates unloading to sink organs. Therefore, superior sink activity could be a key factor underlying strong grain yield in the maize hybrid, since it is involved with the regulation of grain filling via C assimilation feedback.
Higher source activity production leads to larger DM accumulation, and increased sink strength leads to higher DM accumulation and strong DM accumulation of grain, which is a result of increased total plant DM accumulation and higher translocation efficiency [60]. Here, XY335 exhibited relatively higher DM accumulation during the pre-silking and post-silking stage, especially under ND conditions, compared to ZD958 (Table 2). Moreover, higher DM accumulation might be associated with good performance of net photosynthetic rate (Pn), indicating that the strong source boosts crop growth and the crop productivity [61]. Our data confirmed this point that higher DM accumulated in XY335 with relatively greater Pn, compared with ZD958. Further correlation analysis showed that total DM was positively related to MTE (Figure 7), suggesting that both higher source and sink traits are conducive for MTE, thereby obtaining high total DM accumulation.
The vascular bundle phloem is reasonable for transporting most of the C assimilates to grains [22,62,63]; thus, the phloem area of the vascular bundle system is a key regulating factor of MTE [22,63]. In this study, there is a much higher number and area of small vascular bundles located in the peduncle and cob internode of XY335 (Figure 5), which contributed to MTE values in XY335 2.5% and 21.3% higher than those in ZD958 under HD and ND conditions, respectively (Table 3). Thus, the increased MTE was probably caused by the increased number and area of vascular bundles. Furthermore, under both plant densities, the Gmax of XY335 was higher than that of ZD958 (Figure 2), and further analysis revealed that MTE was positively correlated with Gmax (Figure 7) in this study. These results suggested that optimized vascular bundles can contribute to facilitate MTE, and simultaneously this correlation was beneficial for improving the transportation capability of the conducting tissues and enriching grain filling in maize plants.
Plant hormones induce plant growth and development by responding to environmental signals; for instance, IAA is known to be involved in mediating the division and enlargement of endosperm cells [33,64]. Large-size kernels are proven to associate with a relatively higher level of IAA than small-size kernels, and IAA can increase KW to improve sink capacity [65,66]. In this study, XY335 was observed with higher IAA and larger sink capacity (Figure 6), which was positively associated with its C content and MTE (Figure 7). However, it is clear that high sink capacity is due to more KNP, not larger KW in XY335. Thus, these results demonstrated that high sink capacity might require higher IAA to regulate more C and facilitate kernel number rather than individual KW, particularly under compact planting conditions. In contrast to the response of IAA, the ABA in grains was rather low at the beginning of grain filling stage and generally increased later under both maize hybrids (Figure 6). Researchers reported that high ABA in kernels decreased KW, even causing kernel abortion [67,68], but also showed that high ABA concentration in maize was nearly unaffected in kernel development [69]. Although the function of ABA to sink is still controversial [67,69], the increase in ABA in grain might indicate that the mature process of XY335 was more accelerative than that of ZD958 in this study (Figure 2 and Figure 6). In addition to ABA, the interaction of ABA and GA3 was thought to likely have a vital regulatory role in improving sink activity to increase C assimilates’ translocation to sink tissues [70,71]. During the middle of the grain filling stage, the ABA/GA3 ratio was higher in XY335 than those of ZD958 (Figure 6), and there was a positive relationship between ABA/GA3 and grain C content (Figure 7). These results demonstrated that higher IAA, ABA, and ABA/GA3 levels increased matter transport and grain C contents to meet sink requirements associated with high sink strength.
5. Conclusions
Grain yields of both maize cultivars were on average 25.2% higher under high plant density conditions than those of normal plant density conditions. Higher sink capacity and, for instance, sucrose synthase, sucrose phosphate synthase, and soluble acid invertase activities in grains contributed to improved sink strength and source activity in XY335 compared to ZD958 hybrid. Such performances were beneficial to promote carbon assimilate transportation, which resulted in increasing dry matter accumulation and the proportion of grain in total dry matter. The optimized number and area of small vascular bundle in the ear position helped XY335 with 21.3% higher matter transport efficiency compared to ZD958 hybrid, thereby enhancing the Gmax. In addition, higher levels of indole acetic acid, abscisic acid, and the ratio of abscisic acid to gibberellic acid in XY335 positively correlated with matter transport efficiency and carbon translocation to grains. This study provides some useful information for the cultivation strategy of high grain yield for maize hybrids related to those in this study, and not only focusing on source enhancement, but also giving more attention to stronger sink traits might be an approach for increasing maize grain yield, particularly under compact planting conditions.
Supplementary Materials
The following supporting information can be downloaded at: https://www.mdpi.com/article/10.3390/agronomy12040961/s1, Figure S1: Micrograph of big and small vascular bundles structure in peduncle and cob internode.
Author Contributions
H.R., C.L. and Y.J. designed the study; H.R. performed the study, H.Q., M.Z., W.Z., X.W. and X.G., contributed reagents/materials/analysis tools and analyzed the data; and H.R., C.L. and Y.J. wrote the paper. All authors have read and agreed to the published version of the manuscript.
Funding
This research was funded by the National Natural Science Foundation of China (No.31971852), China Agriculture Research System of MOF and MARA (CARS-02-14), and the National Key Research and Development Program of China (2016YFD0300103).
Institutional Review Board Statement
Not applicable.
Informed Consent Statement
Not applicable.
Data Availability Statement
The data presented in this study are available on request from the corresponding author.
Acknowledgments
We gratefully acknowledge the College of Agronomy, Shenyang Agricultural University, for providing the laboratory of this study.
Conflicts of Interest
The authors declare no conflict of interest. All the authors listed have approved the manuscript that is enclosed.
References
- Sangoi, L. Understanding plant density effects on maize growth and development: An important issue to maximize grain yield. Cienc. Rural. 2001, 31, 159–168. [Google Scholar] [CrossRef] [Green Version]
- Liu, T.N.; Gu, L.M.; Dong, S.T.; Zhang, J.W.; Liu, P.; Zhao, B. Optimum leaf removal increases canopy apparent photosynthesis, 13C-photosynthate distribution and grain yield of maize crops grown at high density. Field Crops Res. 2015, 170, 32–39. [Google Scholar] [CrossRef]
- Borras, L.; Westgate, M.E.; Astini, J.P.; Echarte, L. Coupling time to silking with plant growth rate in maize. Field Crops Res. 2007, 102, 73–85. [Google Scholar] [CrossRef]
- Tokatlidis, I.S.; Koutroubas, S.D. review of maize hybrids’ dependence on high plant populations and its implications for crop yield stability. Field Crops Res. 2004, 88, 103–114. [Google Scholar] [CrossRef]
- Borras, L.; Slafer, G.; Otegui, M. Seed dry weight response to source–sink manipulations in wheat, maize, and soybean: A quantitative reappraisal. Field Crops Res. 2004, 86, 131–146. [Google Scholar] [CrossRef]
- Egli, D.B. Is there a role for sink size in understanding maize population yield relationships? Crop Sci. 2015, 55, 2453. [Google Scholar] [CrossRef]
- Tollenaar, M.; Lee, E.A. Dissection of physiological processes underlying grain yield in maize by examining genetic improvement and heterosis. Maydica 2006, 51, 399–408. [Google Scholar] [CrossRef]
- Ho, L.C. Metabolism and compartmentation of imported sugars in sink organs in relation to sink strength. Annu. Rev. Plant Biol. 1988, 39, 355–378. [Google Scholar] [CrossRef]
- Hütsch, B.W.; Faust, T.F.; Kumar, A.; Schubert, S. Reduced sink activity in growing shoot tissues of maize under salt stress of the first phase may be compensated by increased PEP-carboxylase activity. J. Agron. Crop Sci. 2016, 202, 384–393. [Google Scholar] [CrossRef]
- Ercoli, L.; Lulli, L.; Mariotti, M.; Masoni, A.; Arduini, I. Post-anthesis dry matter and nitrogen dynamics in durum wheat as affected by nitrogen supply and soil water availability. Eur. J. Agronmy. 2008, 28, 138–147. [Google Scholar] [CrossRef]
- Otegui, M.E.; Andrade, F.H.; Suero, E.E. Growth, water use, and kernel abortion of maize subjected to drought at silking. Field Crops Res. 1995, 40, 87–94. [Google Scholar] [CrossRef]
- Chen, K.; Camberato, J.J.; Tuinstra, M.R.; Kumudini, S.V.; Tollenaar, T.J.M. Vyn Genetic improvement in density and nitrogen stress tolerance traits over 38 years of commercial maize hybrid release. Field Crops Res. 2016, 196, 438–451. [Google Scholar] [CrossRef] [Green Version]
- Kamara, A.Y.; Menkir, A.; Abubakar, A.W.; Tofa, A.I.; Ademulegun, T.D.; Omoigui, L.O.; Kamai, N. Maize hybrids response to high plant density in the Guinea savannah of Nigeria. J. Crop Improv. 2021, 35, 1–20. [Google Scholar] [CrossRef]
- Lalonde, S.; Tegede, M.; Throne-Holst, M.; Frommer, W.B.; Patrick, J.W. Phloem loading and unloading of sugars and amino acids. Plant Cell Environ. 2003, 26, 37–56. [Google Scholar] [CrossRef] [Green Version]
- Hirel, B.; Berti, P.; Quilleré, I.; Bourdoncle, W.; Attagnant, C.; Dellay, C.; Gouy, A.; Cadiou, S.; Retailliau, C.; Falque, M.; et al. Towards a better understanding of the genetic and physiological basis for nitrogen use efficiency in maize. Plant Physiol. 2001, 125, 1258–1270. [Google Scholar] [CrossRef] [Green Version]
- Martin, A.; Lee, J.; Kichey, T. Two cytosolic glutamine synthetase isoforms of maize are specifically involved in the control of kernel production. Plant Cell. 2006, 18, 3252–3274. [Google Scholar] [CrossRef] [Green Version]
- Causse, M.; Rocher, J.P.; Pelleschi, S.; Barriére, Y.; de Vienne, D.; Priou-l, J.L. Sucrose Phosphate Synthase: An enzyme with heterotic activity correlated with Maize Growth. Crop Sci. 1995, 35, 995–1001. [Google Scholar] [CrossRef]
- Pan, Y.Q.; Lou, H.L.; Li, Y.R. Soluble acid invertase and sucrose phosphate synthase: Key enzymes in regulating sucrose accumulation in sugarcane stalk. J. Sugar Tech. 2009, 13, 28–33. [Google Scholar] [CrossRef]
- Fu, J.; Huang, Z.H.; Wang, Z.Q.; Yang, J.C.; Zhang, J.H. Pre-anthesis nonstructural carbohydrate reserve in the stem enhances the sink strength of inferior spikelets during grain filling of rice. Field Crop Res. 2011, 123, 170–182. [Google Scholar] [CrossRef]
- He, P.; Zhou, W.; Jin, J.Y. Carbon and nitrogen metabolism related to grain formation in two different senescent types of maize. J. Plant Nutr. 2004, 27, 295–311. [Google Scholar] [CrossRef]
- Wilkinson, J.M.; Hill, J. Effect on yield and dry-matter distribution of the stay-green characteristic in cultivars of forage maize grown in England. Grass Forage Sci. 2003, 58, 258–264. [Google Scholar] [CrossRef]
- Ren, H.; Jiang, Y.; Zhao, M.; Qi, H.; Li, C.F. Nitrogen supply regulates vascular bundle structure and matter transport characteristics of spring maize under high plant density. Front. Plant Sci. 2021, 11, 602739. [Google Scholar] [CrossRef] [PubMed]
- Wang, N.; Liu, J.; Zhou, Y. Structural responses of vascular bundles in different maize stems to water deficit during seedling stage: A compensating development. Res. Crop. 2014, 15, 532–538. [Google Scholar] [CrossRef]
- Shane, M.W.; McCully, M.E.; Canny, M.J. The vascular system of maize stems revisited: Implications for water transport and xylem safety. Ann. Bot. 2000, 86, 245–258. [Google Scholar] [CrossRef] [Green Version]
- Huang, C.; Chen, Q.Y.; Xu, G.H.; Xu, D.Y.; Tian, J.G.; Tian, F. Identification and fine mapping of quantitative trait loci for the number of vascular bundle in maize stem. J. Integr. Plant Biol. 2016, 58, 81–90. [Google Scholar] [CrossRef] [PubMed] [Green Version]
- Wang, Z.G.; Liang, H.W.; Gao, J.L.; Yu, X.F.; Sun, J.Y.; Su, Z.J.; Hu, S.P.; Yu, S.B.; Li, Y.J.; Wei, S.L.; et al. Relationship of sink activity with endogenous hormones and polyamine contents in inferior kernels of maize. Acta Agron. Sin. 2017, 43, 1196–1204. [Google Scholar] [CrossRef]
- Xu, Y.J.; Gu, D.J.; Zhang, B.B.; Zhang, H.; Wang, Z.Q.; Yang, J.C. Hormone contents in kernels at different positions on an ear and their relationship with endosperm development and kernel filling in maize. Acta Agron. Sin. 2013, 39, 1452–1461. [Google Scholar] [CrossRef]
- Liu, Y.; Sui, Y.W.; Gu, D.D.; Wen, X.X.; Chen, Y.; Li, C.J.; Liao, Y.C. Effects of conservation tillage on grain filling and hormonal changes in wheat under simulated rain fall conditions. Field Crops Res. 2013, 144, 43–51. [Google Scholar] [CrossRef]
- Ober, E.S.; Setter, T.L. Water deficit induces abscisic-acid accumulation in endosperm of maize viviparous mutants. Plant Physiol. 1992, 98, 353–356. [Google Scholar] [CrossRef] [Green Version]
- Mahouachi, J.; Gómez, G.A.; Primo-Millo, E.; Talon, M. Antagonistic changes between abscisic acid and gibberellins in citrus fruits subjected to a series of different water conditions. J. Plant Growth Regul. 2005, 24, 179–187. [Google Scholar] [CrossRef]
- Pirasteh, A.H.; Emam, Y.; Pessarakli, M. Changes in endogenous hormonal status in corn (Zea mays) hybrid under drought stress. J. Plant Nutr. 2013, 36, 1695–1707. [Google Scholar] [CrossRef]
- Zhang, Z.X.; Chen, J.; Lin, S.S.; Li, Z.; Cheng, R.H.; Fang, C.X.; Chen, H.F.; Lin, W.X. Proteomic and phosphorproteomic determination of ABA’s effects on grain filling of Oryza sativa L. inferior spikelets. Plant Sci. 2012, 185, 259–273. [Google Scholar] [CrossRef] [PubMed]
- Wei, S.S.; Wang, X.Y.; Li, G.H.; Qin, Y.Y.; Jiang, D.; Dong, S.T. Plant density and nitrogen supply affect the grain-filling parameters of maize kernels located in different ear positions. Front. Plant Sci. 2019, 10, 180. [Google Scholar] [CrossRef] [PubMed] [Green Version]
- Wang, F.; Cheng, F.; Zhang, G. The relationship between grain filling and hormone content as affected by genotype and source-sink relation. Plant Growth Regul. 2006, 49, 1–8. [Google Scholar] [CrossRef]
- Chen, Y.L.; Xiao, C.X.; Wu, D.L.; Xia, T.T.; Chen, Q.W.; Chen, F.J.; Yuan, L.X.; Mi, G.H. Effects of nitrogen application rate on grain yield and grain nitrogen concentration in two maize hybrids with contrasting nitrogen remobilization efficiency. Eur. J. Agron. 2015, 62, 79–89. [Google Scholar] [CrossRef]
- Edreira, J.I.; Mayer, R.; Luis, I.; Otegui, M.E. Heat stress in temperate and tropical maize hybrids: Kernel growth, water relations and assimilate availability for grain filling. Field Crops Res. 2014, 166, 162–172. [Google Scholar] [CrossRef]
- Liu, X.W.; Wang, X.L.; Wang, X.Y.; Gao, J.; Luo, N.; Meng, Q.F.; Wang, P. Dissecting the critical stage in the response of maize kernel set to individual and combined drought and heat stress around flowering. Environ. Exp. Bot. 2020, 179, 104213. [Google Scholar] [CrossRef]
- Yagioka, A.; Hayashi, S.; Kimiwada, K.; Kondo, M. Sink production and grain-filling ability of a new high-yielding rice variety, Kitagenki. Field Crops Res. 2021, 260, 107991. [Google Scholar] [CrossRef]
- Campos, H. Estatística Experimental Não-Paramétrica, 4th ed.; Departamento de Matemáticae Estatística-ESALQ: Piracicaba, Brazil, 1983. [Google Scholar]
- Steel, R.G.D.; Torrie, J.H.; Dickey, D.A. Principles and Procedures of Statistics: A Biometrical Approach, 3rd ed.; McGraw Hill Book: New York, NY, USA, 1997. [Google Scholar]
- Yang, H.S.; Dobermann, A.; Lindquist, J.L.; Walters, D.T.; Arkebauer, T.J. Hybrid maize a maize simulation model that combines two crop modeling approaches. Field Crops Res. 2004, 87, 131–154. [Google Scholar] [CrossRef] [Green Version]
- Gambín, B.L.; Borrás, L.; Otegui, M.E. Kernel weight dependence upon plant growth at different grain-filling stages in maize and sorghum. Aust. J. Agric. Res. 2008, 59, 280–290. [Google Scholar] [CrossRef]
- Chen, Y.L.; Xiao, C.X.; Chen, X.C.; Li, Q.; Zhang, J.; Chen, F.J.; Yuan, L.X.; Mi, G.H. Characterization of the plant traits contributed to high grain yield and high grain nitrogen concentration in maize. Field Crops Res. 2014, 159, 1–9. [Google Scholar] [CrossRef]
- Seebauer, J.R.; Singletary, G.W.; Krumpelman, P.M.; Ruffo, M.L.; Below, F.E. Relationship of source and sink in determining kernel composition of maize. J. Exp. Bot. 2010, 61, 511–519. [Google Scholar] [CrossRef] [PubMed] [Green Version]
- Jones, R.J.; Schreiber, B.M.N.; Roessler, J.A. Kernel Sink Capacity in Maize: Genotypic and Maternal Regulation. Crop Sci. 1996, 36, 301–306. [Google Scholar] [CrossRef]
- Gambín, B.L.; Borras, L.; Otegui, M.E. Source–sink relations and kernel weight differences in maize temperate hybrids. Field Crops Res. 2006, 95, 316–326. [Google Scholar] [CrossRef]
- Shen, L.X.; Huang, Y.K.; Li, T. Top-grain filling characteristics at an early stage of maize (Zea mays L.) with different nitrogen use efficiencies. J. Integr. Agric. 2017, 16, 626–639. [Google Scholar] [CrossRef] [Green Version]
- Gambín, L.B.; Borrás, L. Plasticity of sorghum kernel weight to increased assimilate availability. Field Crops Res. 2007, 100, 272–284. [Google Scholar] [CrossRef]
- Sala, R.G.; Westgate, M.E.; Andrade, F.H. Source/sink ratio and the relationship between maximum water content, maximum volume, and final dry weight of maize kernels. Field Crops Res. 2007, 101, 19–25. [Google Scholar] [CrossRef]
- Lizaso, J.I.; Westgate, M.E.; Batchelor, W.D.; Fonseca, A. Predicting potential kernel set in maize from simple flowering characteristics. Crop Sci. 2003, 43, 892–903. [Google Scholar] [CrossRef]
- Ranwala, A.P.; Miller, W.B. Sucrose-cleaving enzymes and carbohydrate pools in Lilium longiflorum floral organs. Physiol. Plant. 1998, 103, 541–550. [Google Scholar] [CrossRef]
- Zi, Y.; Ding, J.F.; Song, J.M.; Humphreys, G.; Peng, Y.X.; Li, C.Y.; Zhu, X.K.; Guo, W.S. Grain yield, starch content and activities of key enzymes of waxy and nonwaxy wheat (Triticum aestivum L.). Sci. Rep. 2018, 8, 4548. [Google Scholar] [CrossRef]
- Fahy, B.; Siddiqui, H.; David, L.C.; Powers, S.J.; Borrill, P.; Uauy, C.; Smith, A.M. Final grain weight is not limited by the activity of key starch-synthesising enzymes during grain filling in wheat. J. Exp. Bot. 2018, 69, 5461–5475. [Google Scholar] [CrossRef] [PubMed]
- Hans, W.; Ljudmilla, B.; Ulrich, W. Sugar import and metabolism during seed development. Trends Plant Sci. 1997, 2, 169–174. [Google Scholar] [CrossRef]
- Bihmidine, S.; Hunter, C.T.; Johns, C.E.; Koch, K.E.; Braun, D.M. Regulation of assimilate import into sink organs: Update on molecular drivers of sink strength. Front. Plant Sci. 2013, 4, 177. [Google Scholar] [CrossRef] [PubMed] [Green Version]
- Luo, J.; Li, Z.; Mo, F.; Liao, Y.; Liu, Y. Removal of superior wheat kernels promotes filling of inferior kernels by changing carbohydrate metabolism and sink strength. Crop J. 2021, 9, 1375–1385. [Google Scholar] [CrossRef]
- D’Andrea, K.E.; Piedra, C.V.; Mandolino, C.I.; Cirilo, A.G.; Otegui, M.E. Contribution of reserves to kernel weight and grain yield determination in maize: Phenotypic and genotypic variation. Crop Sci. 2016, 56, 697–706. [Google Scholar] [CrossRef]
- Antonietta, M.; Fanello, D.; Acciaresi, D.; Guiamet, H.A. Senescence and yield responses to plant density in stay green and earlier senescing maize hybrids from Argentina. Field Crops Res. 2014, 155, 111–119. [Google Scholar] [CrossRef]
- Teresa, F.M.; Igor, S.; José, M.E.; Begoña, G.M. Late nitrogen fertilization affects carbohydrate mobilization in wheat. J. Plant Nutr. Soil Sci. 2010, 173, 907–919. [Google Scholar] [CrossRef]
- Ning, P.; Yang, L.; Li, C.G.; Fritschi, F.B. Post-silking carbon partitioning under nitrogen deficiency revealed sink limitation of grain yield in maize. J. Exp. Bot. 2018, 69, 1707–1719. [Google Scholar] [CrossRef] [Green Version]
- Cao, Y.J.; Wang, L.C.; Gu, W.R.; Wang, Y.J.; Zhang, J.H. Increasing photosynthetic performance and post-silking N uptake by moderate decreasing leaf source of maize under high planting density. J. Integr. Agr. 2021, 20, 494–510. [Google Scholar] [CrossRef]
- Khan, N.A.; Murayama, S.; Ishimine, Y.; Tsuzuki, E.; Nakamura, I. Physio morphological studies of F1 hybrids in rice (Oryza sativa L.). Photosynthetic ability and yield. Plant Prod. Sci. 1998, 1, 233–239. [Google Scholar] [CrossRef]
- Piao, L.; Qi, H.; Li, C.F.; Zhao, M. Optimized tillage practices and row spacing to improve grain yield and matter transport efficiency in intensive spring maize. Field Crops Res. 2016, 198, 258–268. [Google Scholar] [CrossRef]
- Yang, J.; Zhang, J.; Liu, K.; Wang, Z.; Liu, L. Abscisic acid and ethylene interact in wheat grains in response to soil drying during grain filling. New Phytol. 2006, 171, 293–303. [Google Scholar] [CrossRef] [PubMed]
- Suzuki, N.; Koussevitzky, S.; Mittler, R.; Miller, G. ROS and redox signalling in theresponse of plants to abiotic stress. Plant Cell Environ. 2012, 35, 259–270. [Google Scholar] [CrossRef] [PubMed]
- Lur, H.S.; Setter, T.L. Endosperm development of maize defective kernel (dek) mutants. Auxin and cytokinin levels. Ann. Bot. 1993, 72, 1–6. [Google Scholar] [CrossRef]
- Boyer, J.S. Drought decision-making. J. Exp. Bot. 2010, 61, 3493–3497. [Google Scholar] [CrossRef] [PubMed] [Green Version]
- Wang, Z.; Mambelli, S.; Setter, T.L. Abscisic acid catabolism in maize kernels in response to water deficit at early endosperm development. Ann. Bot. 2002, 90, 623–630. [Google Scholar] [CrossRef] [PubMed] [Green Version]
- Mambelli, S.; Setter, T.L. Inhibition of maize endosperm cell division and endoreduplication by exogenously applied abscisic acid. Physiol. Plant. 1998, 104, 266–272. [Google Scholar] [CrossRef]
- Travaglia, C.; Cohen, A.C.; Reinoso, H.; Castillo, C.; Bottini, R. Exogenous abscisic acid increases carbohydrate accumulation and redistribution to the grains in wheat grown under field conditions of soil water restriction. J. Plant Growth Regul. 2007, 26, 285–289. [Google Scholar] [CrossRef]
- Kende, H.; Zeevaart, J.A.D. The five ‘classical’ plant hormones. Plant Cell. 1997, 9, 1197–1210. [Google Scholar] [CrossRef] [Green Version]
Publisher’s Note: MDPI stays neutral with regard to jurisdictional claims in published maps and institutional affiliations. |
© 2022 by the authors. Licensee MDPI, Basel, Switzerland. This article is an open access article distributed under the terms and conditions of the Creative Commons Attribution (CC BY) license (https://creativecommons.org/licenses/by/4.0/).






