Abstract
Crop yield is the ultimate manifestation of all physiological changes of crops and external environmental influence. A controlled study was conducted to investigate the effects of exogenous gibberellin on the morphological and physiological characteristics and yield formation of sesbania pea grown in saline soils. Seeds were presoaked with four levels of Gibberellin (GA3) solutions (0, 202.1, 404.2 and 606.3 µM) for 6 h, and then manually direct-sown with a seeding rate of 45 kg ha−1. The morphological parameters (plant height, root length, dry weight), photosynthesis (chlorophyll a and b content), the activities of antioxidant enzymes (superoxide dismutase (SOD); peroxidase (POD); catalase (CAT)), the contents of soluble protein and NSC (non-structural carbohydrates), and seed yield increased with the application of exogenous gibberellin, especially at the level of 404.2 µM GA3. But GA3 had no significant effects on 1000-seed weight. Our study suggested that the appropriate application of exogenous gibberellin could improve the yield of sesbania pea grown in saline soils by increasing photosynthesis and antioxidative defense.
1. Introduction
Sesbania pea (Sesbania cannabina (Retz.) Poir.) is an annual herb shrub that is widely gorwn in Asian, African and Australian tropical regions [1,2]. It is tolerant to various stress conditions, such as waterlogging, high salinity, drought, etc. [3]. It also seems to have potential for plantation in constructed wetland systems to clean high strength wastewater [4]. Wild sesbania pea plants have been found to proliferate in seashore wetlands and on high-saline farmlands along the Yellow Sea coast in China. Therefore, it has been introduced to the Yellow River Delta as a pioneer plant to improve the saline–alkaline soils [1].
In the soils along the coastal lines, salinity is a major threat to plant growth and productivity. Excepting natural reasons, such as pollution from parent rocks and marine salts and salt water on the coasts, incorrect cultivation practices (poor irrigation system, irrigation with saline water, overuse of fertilizer, etc.) have increased salt concentrations in the rhizosphere [5]. Salinity stress delays the onset, reduces the rate and increases the dispersion of seed germination, resulting in reductions in plant growth and crop yield [6,7].
Pre-priming with exogenous plant growth regulators is one strategy and, under some stress conditions, such as temperature, salinity and drought, might lead to enhanced germination and emergence [8]. Gibberellin, a plant growth regulator, can promote stem elongation [9], enhance dry matter accumulation [10] and increase crop yield [11,12]. Shahzad et al. reported that GA3 application enhanced maize growth, decreased oxidative stress, and increased the activities of antioxidant enzymes and antioxidant gene expression under salinity stress [13]. However, the stimulating effect of GA3 is not universal and this effect varies with germination conditions and plant species [14]. At present, most of the studies on GA3 alleviating salt stress in plants focus on the germination and seedling stage, with little information available for all growth stages, especially under field conditions.
We hypothesized that GA3 could improve the photosynthesis and antioxidative defense of sesbania pea grown in saline soil to enhance yield. For this, we determined the changes in agronomic characteristics, photosynthetic pigments, antioxidant enzyme activities, and osmotic regulation substances of sesbania pea at different growth stages grown in saline soils, as well as yield formation, to clarify the response characteristics of sesbania pea to exogenous GA3 under salt stress. This study is valuable as it provides a theoretical basis for improving the growth and yield of sesbania peas grown in saline soils and making full use of saline soils.
2. Materials and Methods
2.1. Site Description and Treatments
A field experiment was conducted from April to October 2017 at the Coastal Forest Farm of Dafeng, Dafeng town (33°20′ N, 120°47′ E), Yancheng City, Jiangsu Province, China. Before seeding, composite soil samples were collected at the site in the surface layer (0–20 cm) to measure chemical and physical properties. Soil total N was measured with the Kjeldahl method [15]. Soil Olsen-P was determined following the method of Page et al. [16]. Soil-available K was measured according to McLean and Watson [17]. Soil organic matter was based on the method of Tiessen and Moir [18]. Soil pH was determined following the method of Hendershot et al. [19]. Salt content of soil was measured according to Lu [20]. Soil properties are presented in Table 1.
Table 1.
Soil characteristics at Dafeng experimental site.
A field study was arranged in a randomized complete block with three replicates for each treatment. The experimental factor was the concentration of gibberellin (GA3) used for seed presoaking. It had four levels: 0, 202.1, 404.2, and 606.3 µM. There were 12 plots in total and each plot’s size was 1.2 × 8.5 m. Sesbania pea seeds, a widely used local variety, was provided by the Coastal Forest Farm of Dafeng. The 1000-grain weight was 14.10 g. The seeds were kept in a seed cabinet at 4 °C for less than 12 months. Before sowing, seeds were presoaked in three different levels of GA3 solution (GA3 solution completely covered the seeds) as well as in distilled water (control) for 6 h. GA3 was first dissolved with 95% ethanol and then diluted with distilled water to the specified concentrations. After presoaked, seeds were manually direct-sown at the seeding rate of 45 kg ha−1 on 26 April 2017. A total of 77 days after planting (DAP), 380 kg N ha−1 as urea and 120 kg P2O5 ha−1 as calcium superphosphate were applied for all the treatments. Other field management practices, such as pest and disease control and weeding, were properly adopted throughout the growing season to ensure good crop growth.
2.2. Observations and Measurements
2.2.1. Growth Characteristics
At 47, 77, 107 and 138 days after planting (DAP), five plants from each plot were randomly selected and carefully dug from the soil to determine growth characteristics. Plant height was measured as the length from the node of cotyledons to the top of the plants. Roots were cut from the shoot and washed to determine weight and length. All the plant samples were divided into three parts, including leaves, stems, and roots. The samples were then dried at 105 °C for 30 min, and subsequently at 80 °C to a constant weight for dry weight (DW) determination.
2.2.2. Physiological Characteristics
At 77, 107 and 138 DAP, chlorophyll a and b contents were determined using two fully mature leaves without any discoloration. Leaf disks of 0.1 g were sampled and soaked in 80% aqueous acetone (v/v) for chlorophyll extraction. The absorbance readings were measured at 645, 652, and 663 nm using a spectrophotometer [21].
At 77, 107, and 138 DAP, for each plot, about 10 g of fully expanded penultimate leaves from the top were sampled. Leaf samples were immersed in liquid nitrogen for 15 min and stored in a low-temperature freezer (−80 °C) to determine soluble protein as described by Bradford [22], superoxide dismutase (SOD) as described by Beauchamp and Fridovich [23], catalase (CAT) as described by Bergmeyer [24], and peroxidase (POD) as described by Upadhyaya et al. [25].
After weighing the leaf DW, stem DW and root DW, the dried samples were ground to determine non-structural carbohydrates (NSC) using a spectrophotometer. The content of soluble sugar was determined following the method of Zou [26] and the starch content was measured according to He [27]. NSC (mg g−1) was calculated as the sum of soluble sugar (mg g−1) and starch (mg g−1).
2.2.3. Seed Yield and Yield Components
At maturity, all the seeds on the plants were manually harvested. Ten random plant samples were selected from each plot. All the plant samples were dried at 105 °C for 30 min and at 80 °C to constant weight. On ten randomly selected plants, pod numbers per plant, seed numbers per pod and 1000-seed weight were measured. One square meter area was randomly selected to measure seed yield.
2.3. Statistical Analysis
The experiment was designed as a randomized complete block with three replications. The average values for each treatment were calculated. Analysis of variance (ANOVA) was performed on the data of each variable using the statistical SPSS 22.0 package for windows. When the F-values were significant, the means were separated by Duncan’s test (p ≤ 0.05). Pearson correlation coefficients were used to compare the correlations of measured parameters.
3. Results
This experiment was performed during the vegetative (47 to 107 DAP) and reproductive (138 DAP) growth stages of sesbania pea. The vegetative stage was characterized by a rapid increase in plant height, root length, leaf DW, stem DW, and root DW (with an increase of 95.1–119.9%, 58.7–82.4%, 186.6–354.1%, 514.8–673.6%, and 214.5–407.8% at 107 DAP as compared with 77 DAP) (Figure 1 and Table 2). The reproductive stage was characterized by a slower increase in plant growth (with an increase of 10.3–15.3% in plant height, 5.0–9.6% in root length, 37.7–61.9% stem DW, and 4.8–21.4% in root DW at 138 DAP as compared with 107 DAP) and a decrease in leaf DW (25.9–37.7% at 138 DAP as compared with 107 DAP) due to leaf senescence. Furthermore, some physiological and biochemical changes were observed during the growing season, with reductions in leaf soluble protein content, SOD and POD activities (51.8–67.1% in leaf soluble protein, 3.8–20.2% in SOD, and 62.0–69.0% in POD at 138 DAP as compared with 77 DAP). Leaf chlorophyll a and b, plant NSC content and leaf CAT activity reached their levels at 107 DAP (the end of vegetative growth), showing increases of 98.4–104.9%, 33.0–50.9%, 26.9–35.0%, and 25.2–36.3%, respectively, as compared with 77 DAP (Figure 2, Table 3 and Table 4).
Figure 1.
The effects of GA3 level on the height and root length of sesbania pea at four growing dates grown in saline soils. Within each group, the data marked with different letters are statistically different at the 0.05 probability level.
Table 2.
The effects of GA3 level on the leaf dry weight, stem dry weight and root dry weight of sesbania pea at four growing dates grown in saline soils.
Figure 2.
The effects of GA3 level on the chlorophyll a and b of sesbania pea at three growing dates grown in saline soils. Within each group, the data marked with different letters are statistically different at the 0.05 probability level.
Table 3.
The effects of GA3 level on the leaf soluble protein content and NSC of sesbania pea at different growing dates grown in saline soils.
Table 4.
The effects of GA3 level on the SOD, CAT and POD of sesbania pea leaves at three growing dates grown in saline soils.
Gibberellin treatment had a significant effect on all the traits listed in Figure 1 and Table 2. These traits generally reached their optimum at the 404.2 µM GA3 level (increased plant height, root length, leaf DW, stem DW, and root DW by 14.7%, 39.7%, 23.1%, 31.3%, and 30.3%, respectively at 107 DAP, as compared with the non-GA3 treatment). Except for 47 DAP, 202.1 and 606.3 µM GA3 had no significant effects on root length at other three sampling dates. GA3 at 202.1 µM also produced the best effect on plant height at all the sampling dates, leaf DW at the third and fourth sampling dates (107 and 138 DAP), and stem DW at the fourth sampling date (138 DAP).
There were positive effects of gibberellin on all the physiological and biochemical traits (Figure 2, Table 3 and Table 4). The treatment of seeds with 404.2 µM GA3 showed the largest increase in these traits, followed by 606.3 and 202.1 µM GA3 treatments. At most sampling dates, chlorophyll a and b content, leaf soluble protein, SOD and POD activities at 606.3 µM GA3 level were lower than these at 404.2 µM GA3 level, but the differences were not significant. At 107 DAP, 404.2 µM GA3 level increased the contents of chlorophyll a and b, leaf soluble protein, and NSC by 8.7%, 22.9%, 36.4%, and 56.6%, and the activity of SOD, CAT, and POD by 24.6%, 22.3%, and 41.5%.
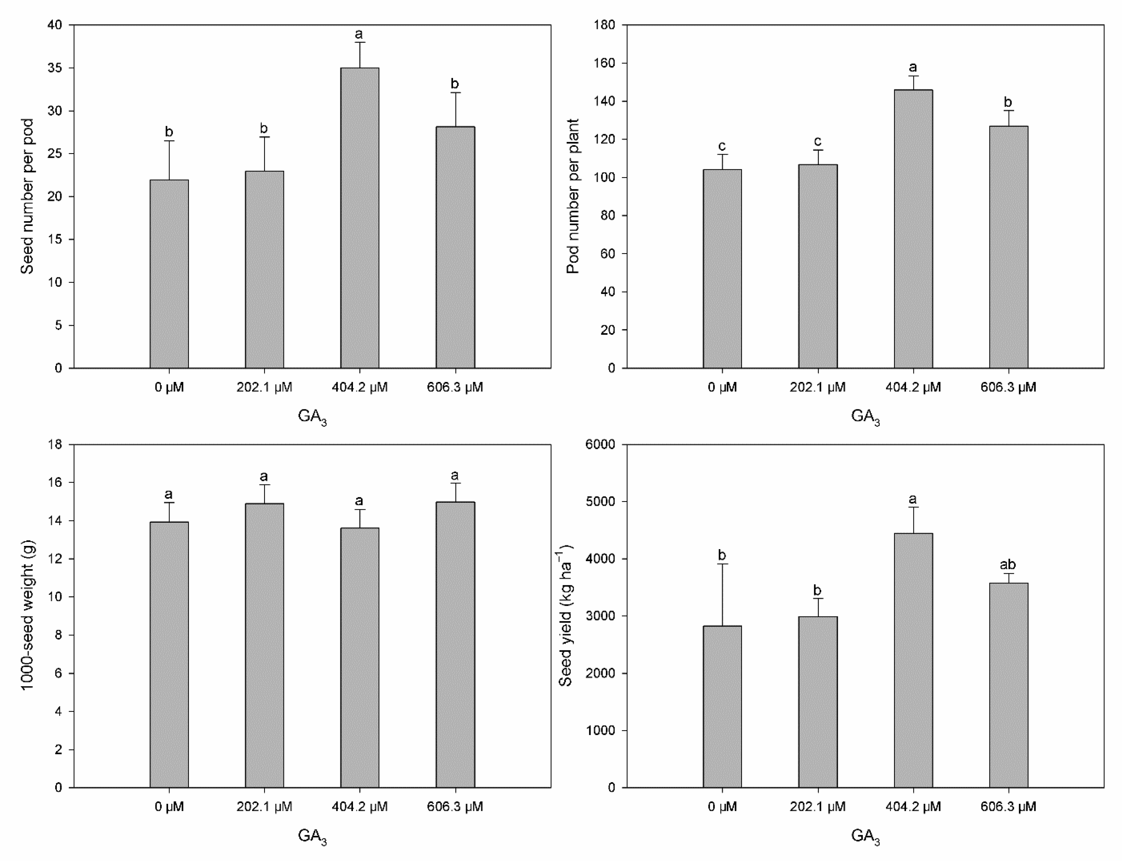
Seed yield, pod number per plant and seed number per pod were significantly affected by GA3. However, there was no significant effect on 1000-seed weight (Figure 3). These traits reached their highest levels at the 404.2 µM GA3 level, which remarkably increased seed yield by 57.6%, pod number per plant by 40.4%, and seed number per pod by 59.1%, compared with the non-GA3 treatment. The second-best results were obtained with the treatment of 606.3 µM GA3, as the corresponding values were significantly enhanced by 26.7%, 22.1%, and 27.3%, respectively. Although GA3 at 202.1 µM level improved these three traits compared with non-GA3 treatment, the increases were not statistically significant.
Figure 3.
The effects of GA3 level on the seed yield and yield components of sesbania pea grown in saline soils. Within each group, the data marked with different letters are statistically different at the 0.05 probability level.
The Pearson correlation analysis in Table 5 showed that seed yield was significantly and positively correlated with the root length, soluble protein, NSC, SOD, CAT and POD activities of sesbania pea. Among these, the correlation between seed yield and root length was the strongest, with a correlation coefficient reaching 0.759. This was followed by CAT activity and NSC content. The correlation coefficient was the smallest (0.346) between seed yield and height. Similarly, DW also had positive correlations with root length, soluble protein, NSC, SOD, CAT and POD activities. The largest correlation coefficient (0.806) was found to be between DW and NSC, while the smallest (0.544) was obtained between DW and height.
Table 5.
Correlation between height, root length, DW, chlorophyll a + b, soluble protein, NSC, SOD, CAT, POD and seed yield of sesbania pea at 138 DAP grown in saline soil.
4. Discussions
Many studies have shown that the gibberellin could promote plant growth under saline conditions [28,29,30]. In the present study, we found that seed presoaking of GA3 at different concentrations had diverse effects on the growth, physiological and biochemical parameters, and yield of sesbania pea plants grown in saline soils. This study is beneficial to the growth and productivity of sesbania pea in coastal areas, where salinity poses a threat to the growth and production of conventional field crops.
In our study, the morphological traits of sesbania pea plants were positively affected by gibberellin. The aerial and root biomass generally increased when the seeds were treated with 404.2 µM GA3. The effects on plant height were significant when the seeds were treated with GA3 of as low as 202.1 µM. Similar results were also observed in plant dry weight, indicating that stem was more sensitive to gibberellin than root. Jiao et al. obtained similar results, reporting that plant height was the highest with the 250 µM GA3 treatment under 50 mM NaCl treatment [31]. Jamil and Rha also reported that, in terms of root length, priming seeds with 100 mg L−1 GA3 (equivalent to 288.7 µM) mitigated the adverse effects of salt stress on sugar beet [32]. The differences between these studies might be because gibberellin must reach a certain concentration to affect roots and the 202.1 µM GA3 level is too low, with little effect on roots.
Chlorophyll is the main pigment for plant photosynthesis. GA3 plays a vital role in improving chlorophyll synthesis and plant growth, especially under stress conditions [33]. Our results showed that the chlorophyll content of gibberellin-treated sesbania pea plants was higher than the control. Similar results were found by Erbil, who reported that GA3 application caused a significant increase in chlorophyll content in salt-stressed groundnut plants (Arachis hypogaea L.) [34]. The increase in chlorophyll content might be because the application of exogenous gibberellin reduced the enzyme activities involved in chlorophyll catabolism and alleviated the oxidative chlorophyll bleaching, thereby inhibiting chlorophyll catabolism [35].
Salt stress usually induces the production of reactive oxygen species (ROS) in plants, which can result in damage to the cell membrane and the accumulation of membrane lipid peroxide. The antioxidant enzyme system plays an important role in the physiological processes of scavenging reactive oxygen species. This system contains many enzymatic and non-enzymatic antioxidants, such as SOD, POD, and CAT [36]. Our results showed that gibberellin increased the activities of SOD, POD and CAT, suggesting that suitable gibberellin treatment improved the protective enzyme activities of sesbania pea under salt stress, and consequently eliminated the excess active oxygen produced by plants and mitigated or resisted the damage to some degree, finally ensuring the normal growth of plants. Khalid and Aftab reported that GA3 successfully alleviated the harmful effects of salt stress on all the studied growth parameters, including SOD and POD activities [37]. These results are also consistent with the results of Li et al., who reported that GA3 treatment reduced the excessive accumulation of ROS and the mitigating effects were strongly related to the increased activities of antioxidant enzymes, including CAT, SOD, guaiacol peroxidase (GPX) and ascorbate peroxidase (APX) [38]. In our study, SOD and POD activities continuously decreased and CAT also decreased after 107 DAP, suggesting that a long period of adverse stress also caused damage to sesbania pea.
Soluble proteins are important osmotic regulators and nutrients. Their accumulation can increase the water-holding capacity of cells and protect the living substances and biofilms of cells. Our study showed that the gibberellin-treated seed had a higher soluble protein content. Similar results were obtained by Khalid and Aftab, who found that GA3 application increased soluble protein content that was reduced by salt stress [37]. However, our results differ from the study by Yuan, who reported that gibberellin treatment decreased the soluble protein of Prunus persica ‘Terutemomo’ [39]. This difference might be caused by the variations in growth conditions, gibberellin levels, and plant species.
NSCs are the quantization of the differences between plant carbon allocation and carbon consumption, and can reflect the level of photosynthetic product utilization and the plants’ response to their living environment [40]. Our study showed that gibberellin increased the NSC content of sesbania pea plants. Similar results were obtained by Dong et al. in rice [41]. NSCs mainly include soluble sugars and starches. The increase in NSCs might be due to the fact that gibberellin enhanced plant photosynthesis, resulting in increased starch content and, ultimately, increased NSC. In this study, NSC showed a sharp drop after 107 DAP. This drop may be partly due to starch hydrolyzation, which provides the energy needed for grain formation during reproductive growth.
Dry matter weight (leaf and stem), an important index reflecting the photosynthetic capacity of plant leaves, is the material basis of crop yield formation. In this study, gibberellin increased the dry weight of sesbania pea. There may be two reasons for this. On the one hand, gibberellin promoted cell division and cell elongation, which promoted the accumulation of substances. On the other hand, gibberellin enhanced photosynthesis and accumulated more photosynthetic products. Our findings agree with those of Emongor, who reported that the exogenous application of gibberellin increased the plant dry matter accumulation of cowpea [42].
Crop yield is the ultimate manifestation of all the physiological parameters of crops and external environmental conditions. Some studies have shown that gibberellin can increase net photosynthetic rate, number of grains per panicle, seed-setting percentage, and 1000-grain weight of rice plants, as well as effectively delay senescence in the later period and obtain a higher seed yield [43]. Our results showed that the seed yield of sesbania treated with gibberellin was higher than that of the control. In the present study, the main reason for higher yield was that gibberellin application increased the number of pods per plant and the number of seeds per pod. The increase in these two yield components may result from enhanced photosynthesis and higher dry biomass accumulation, which provides a material basis for reproductive growth and yield formation. In addition, the application of gibberellin may also produce a higher emergence rate, resulting in a larger plant population.
The Pearson correlation analysis revealed that seed yield, DW and plant height had strong positive correlations with root length. This was due to the fact that the survival and growth of plant might be attributed to elongation and expansion of root. Root architecture, size, and proliferation may determine a plant’s ability to survive under stress conditions [44]. The activities of all the antioxidant enzymes measured in this study significantly correlated with seed yield. Furthermore, the correlation coefficient between NSC and seed yield was the largest. Seed yield is an adaptive character of plants under stress conditions. These results further demonstrated that GA3 increased the yield of sesbania pea grown under saline soils by promoting photosynthesis and antioxidant capacity.
Moreover, sesbania pea is a symbiotic nodulating plant. It mainly obtains N from biological nitrogen fixation to synthesize protein. We supposed that the increase in seed yield also might be due to the positive effects of GA3 on nodules of sesbania pea. Ferguson et al. reported that the exogenous application of GA3 leads to altered nodulation phenotypes in pea plants, with low concentrations promoting nodulation and high concentrations inhibiting this [45]. Similar results were observed by Chu et al. [46]. However, further studies need to be conducted to prove this hypothesis.
5. Conclusions
Seed priming with gibberellin has positive effects on the growth and yield of sesbania pea grown in saline soils. Our study showed that plant height, root length, dry weight, chlorophyll a and b content, the activities of SOD, POD, and CAT, the content of soluble protein and NSC, and seed yield increased with GA3 treatment. On the one hand, the use of gibberellin improved the photosynthesis of sesbania pea; on the other hand, gibberellin increased antioxidant defense. Hence, the sesbania pea yield increased with the application of GA3. The most remarkable effects of gibberellin were observed at 404.2 µM. This study may offer an effective strategy to mitigate the crop damage caused by salinity stress. However, further research is needed to study the effects of GA3 on the root nodules of sesbania pea grown in saline soils.
Author Contributions
Conceptualization, X.G. and G.Z. (Guisheng Zhou); Methodology, Formal Analysis and Investigation, X.G.; Data Curation, G.Z. (Guisheng Zhou) and G.Z. (Guanglong Zhu); Writing—Original Draft Preparation, X.G.; Writing—Review and Editing, X.G., Q.W., M.E.H.I., G.Z. (Guisheng Zhou) and G.Z. (Guanglong Zhu); Supervision, G.Z. (Guanglong Zhu); Project Administration, G.Z. (Guisheng Zhou); Funding Acquisition, G.Z. (Guisheng Zhou). All authors have read and agreed to the published version of the manuscript.
Funding
This study is financially supported by China National Key R & D Program (2022YFE0113400), Jiangsu Provincial Forestry Science and Technology Innovation and Extension Program (LYKJ (2019)47) and Key Laboratory of Digital Upland Crops of Zhejiang Province (2022E10012).
Institutional Review Board Statement
Not applicable.
Informed Consent Statement
Not applicable.
Data Availability Statement
Data used in this article are present in the tables and figures.
Acknowledgments
We gratefully thank the staff of Dafeng Coastal Forest Farm for their time and resources to support our study.
Conflicts of Interest
The authors declare no conflict of interest.
References
- Li, Y.; Li, X.; Liu, Y.; Wang, E.T.; Ren, C.; Liu, W.; Xu, H.; Wu, H.; Jiang, N.; Li, Y.; et al. Genetic diversity and community structure of rhizobia nodulating Sesbania cannabina in saline-alkaline soils. Syst. Appl. Microbiol. 2016, 39, 195–202. [Google Scholar] [CrossRef] [PubMed]
- Ye, Z.H.; Yang, Z.Y.; Chan, G.Y.S.; Wong, M.H. Growth response of Sesbania rostrata and S. cannabina to sludge-amended lead/zinc mine tailings: A greenhouse study. Environ. Int. 2001, 26, 449–455. [Google Scholar] [CrossRef]
- Bunma, S.; Balslev, H. A review of the economic botany of Sesbania (Leguminosae). Bot. Rev. 2019, 85, 185–251. [Google Scholar] [CrossRef]
- Dan, T.H.; Quang, L.N.; Chiem, N.H.; Brix, H. Treatment of high-strength wastewater in tropical constructed wetlands planted with Sesbania sesban: Horizontal subsurface flow versus vertical downflow. Ecol. Eng. 2011, 37, 711–720. [Google Scholar] [CrossRef] [Green Version]
- Rengasamy, P. Soil processes affecting crop production in salt-affected soils. Funct. Plant Biol. 2010, 37, 613–620. [Google Scholar] [CrossRef]
- Ashraf, M.; Foolad, M.R. Pre-sowing seed treatment—A shotgun approach to improve germination, plant growth, and crop yield under saline and non-saline conditions. Adv. Agron. 2005, 88, 223–271. [Google Scholar]
- Ali, L.; Shaheen, M.R.; Ihsan, M.Z.; Masood, S.; Zubair, M.; Shehzad, F.; Khalid, A. Growth, photosynthesis and antioxidant enzymes modulations in broccoli (Brassica oleracea L. var. italica) under salinity stress. S. Afr. J. Bot. 2022, 148, 104–111. [Google Scholar] [CrossRef]
- Ghorbani, M.J.; Ali, S.; Moradi, F.; Mohammad, S.A.; Sanavy, M.; Allahdadi, I. The role of phytohormones in alleviating salt stress in crop plants. Aust. J. Crop. Sci. 2011, 6, 726–734. [Google Scholar]
- Azimi, S.M.; Eisvand, H.R.; Ismaili, A.; Akbari, N. Effect of gibberellin, nano-nutrition with titanium, zinc and iron on yield and some physiological and qualitative traits of white beans. Not. Bot. Horti Agrobot. Cluj-Napoca 2022, 50, 12538. [Google Scholar] [CrossRef]
- Rogach, V.V.; Kuryata, V.G.; Kosakivska, I.V.; Voitenko, L.V.; Shcherbatiuk, M.M.; Rogach, T.I. Morphogenesis, pigment content, phytohormones and productivity of sweet pepper under the action of gibberellin and tebuconazole. Regul. Mech. Biosyst. 2021, 12, 294–300. [Google Scholar] [CrossRef]
- Wang, J.; Ge, C.M.; Zhu, L.X.; Sun, M.T.; Wang, F.J. The application of selenium combined with gibberellin enhances the yield and quality of Chrysanthemum morifolium Ramat cv. Hangju. J. Plant Nutr. 2021, 44, 791–800. [Google Scholar] [CrossRef]
- Drogoudi, P.; Pantelidis, G.E. Comparative effects of gibberellin A3, glycine betaine, and Si, Ca, and K fertilizers on physiological disorders and yield of pomegranate cv. Wonderful. J. Sci. Food Agric. 2022, 102, 259–267. [Google Scholar] [CrossRef]
- Shahzad, K.; Hussain, S.; Arfan, M.; Hussain, S.; Waraich, E.A.; Zamir, S.; Saddique, M.; Rauf, A.; Kamal, K.Y.; Hano, C.; et al. Exogenously applied gibberellic acid enhances growth and salinity stress tolerance of maize through modulating the morpho-physiological, biochemical and molecular attributes. Biomolecules 2021, 11, 1005. [Google Scholar] [CrossRef]
- Greipsson, S. Effects of stratification and GA3 on seed germination of a sand stabilising grass Leymus arenarius used in reclamation. Seed Sci. Technol. 2001, 29, 1–10. [Google Scholar]
- Bremner, J.M. Nitrogen-total. In Methods of Soil Analysis: Part 3-Chemical Methods; Sparks, D.L., Page, A.L., Helmke, P.A., Loeppert, R.H., Soltanpour, P.N., Tabatabai, M.A., Johnston, C.T., Sumner, M.E., Eds.; American Society of Agronomy: Madison, WI, USA, 1996; pp. 1085–1121. [Google Scholar]
- Olsen, S.R.; Sommers, L.E. Phosphorus. In Methods of Soil Analysis: Part 2-Chemical and Microbiological Properties; Page, A.L., Miller, R.H., Keeney, D.R., Eds.; American Society of Agronomy: Madison, WI, USA, 1982; pp. 403–430. [Google Scholar]
- Mclean, E.O.; Watson, M.E. Soil measurements of plant-available potassium. In Potassium in Agriculture; Munson, R.D., Ed.; American Society of Agronomy: Madison, WI, USA, 1985; pp. 277–308. [Google Scholar]
- Tiessen, H.; Moir, J.O. Total and organic carbon. In Soil Sampling and Methods of Analysis; Carter, M.R., Ed.; Lewis Publishers: Boca Raton, FL, USA, 1993; pp. 187–199. [Google Scholar]
- Hendershot, W.H.; Lalande, H.; Duquette, M. Ion exchange and exchangeable cations. In Soil Sampling and Methods of Analysis; Carter, M.R., Ed.; Lewis Publishers: Boca Raton, FL, USA, 1993; pp. 167–176. [Google Scholar]
- Lu, M.Y. Study on the methods of soil salt content determination. Chin. J. Soil. Sci. 1982, 2, 36–39. [Google Scholar] [CrossRef]
- Holden, M. Chlorophylls. In Chemistry and Biochemistry of Plant Pigments; Goodwin, T.W., Ed.; Academic Press: London, UK, 1976; pp. 1–37. [Google Scholar]
- Bradford, M.M. A rapid and sensitive method for the quantification of microgram quantities of protein utilizing the principle of protein-dye binding. Anal. Biochem. 1976, 72, 248–254. [Google Scholar] [CrossRef]
- Beauchamp, C.; Fridovich, I. Superoxide dismutase: Improved assays and applicable to acrylamide gels. Anal. Biochem. 1971, 44, 276–287. [Google Scholar] [CrossRef]
- Bergmeyer, N. Methoden der Enzymatischen Analyse; Akademie Verlag: Berlin, Germany, 1970; Volume 1, pp. 636–647. [Google Scholar]
- Upadhyaya, A.; Sankhla, D.; Davis, T.D.; Sankhla, N.; Smith, B.N. Effect of paclobutrazol on the activities of some enzymes of activated oxygen metabolism and lipid peroxidation in senescing soybean leaves. J. Plant Physiol. 1985, 121, 453–461. [Google Scholar] [CrossRef]
- Zou, Q. Guidebook of Plant Physiology and Biochemistry Experiment; China Agriculture Press: Beijing, China, 1995. (In Chinese) [Google Scholar]
- He, Z.F. Cereals and Oils Quality and Their Analyzing Technique; China Agriculture Press: Beijing, China, 1985; pp. 274–294. (In Chinese) [Google Scholar]
- Kucera, B.; Cohn, M.A.; Leubner-Metzger, G. Plant hormone interactions during seed dormancy release and germination. Seed Sci. Res. 2005, 15, 281–307. [Google Scholar] [CrossRef]
- El Hamdaoui, A.; Mechqoq, H.; El Yaagoubi, M.; Bouglad, A.; Hallouti, A.; El Mousadik, A.; El Aouad, N.; Aoumar, A.A.B.; Msanda, F. Effect of pretreatment, temperature, gibberellin (GA3), salt and water stress on germination of Lavandula mairei Humbert. J. Appl. Res. Med. Aroma 2021, 24, 100314. [Google Scholar] [CrossRef]
- Sanchez, R.A.; Mella, R.A. The exit from dormancy and the induction of germination: Physiological and molecular aspects. In Handbook of Seed Physiology: Applications to Agriculture; Benech-Arnold, R.L., Sanchez, R.A., Eds.; Food Product Press and the Haworth Reference Press: New York, NY, USA, 2004; pp. 221–243. [Google Scholar]
- Jiao, X.R.; Zhi, W.F.; Liu, G.J.; Zhu, G.L.; Feng, G.N.; Nimir, N.E.A.; Ahmad, I.; Zhou, G.S. Responses of foreign GA3 application on seedling growth of castor bean (Ricinus communis L.) under salinity stress conditions. Agronomy 2019, 9, 274. [Google Scholar] [CrossRef] [Green Version]
- Muhammad, J.; Eui, S.R. Gibberellic acid (GA3) enhance seed water uptake, germination and early seedling growth in sugar beet under salt stress. Pak. J. Biol. Sci. 2007, 10, 654–658. [Google Scholar]
- Maggio, A.; Barbieri, G.; Raimondi, G.; Pascale, D.S. Contrasting effects of GA3 treatments on tomato plants exposed to increasing salinity. J. Plant Growth Regul. 2010, 29, 63–72. [Google Scholar] [CrossRef]
- Erbil, E. The effects of gibberellic acid (GA3) applications on the physiological features of groundnut (Arachis hypogaea L.) under different salt (NaCl) stress conditions. Legume Res. 2021, 44, 1159–1163. [Google Scholar]
- Li, J.R.; Yu, K.; Wei, J.R.; Ma, Q.; Wang, B.Q.; Yu, D. Gibberellin retards chlorophyll degradation during senescence of Paris polyphylla. Biol. Plant 2010, 54, 395–399. [Google Scholar] [CrossRef]
- Qiu, Z.B.; Li, J.T.; Zhang, M.M.; Bi, Z.Z.; Li, Z.L. He-Ne laser pretreatment protects wheat seedlings against cadmium-induced oxidative stress. Ecotox. Environ. Safe 2013, 88, 135–141. [Google Scholar] [CrossRef]
- Khalid, A.; Aftab, F. Effect of exogenous application of IAA and GA3 on growth, protein content, and antioxidant enzymes of Solanum tuberosum L. grown in vitro under salt stress. Vitr. Cell. Dev. Biol. -Plant 2020, 56, 377–389. [Google Scholar] [CrossRef]
- Li, Q.Z.; Li, C.H.; Yu, X.C.; Shi, Q.H. Gibberellin A3 pretreatment increased antioxidative capacity of cucumber radicles and hypocotyls under suboptimal temperature. Afr. J. Agric. Res. 2011, 6, 4091–4098. [Google Scholar]
- Yuan, X. Effects of Spraying Gibberellin and Salicylic Acid on Flowering of Prunus pesica ‘Terutemomo’. Ph.D. Thesis, Central South University of Forestry and Technology, Changsha, China, 2015. (In Chinese). [Google Scholar]
- Wang, Y.P.; Xu, T.; Zhu, W.R.; Wang, H.T.; Zhang, G.C.; Li, C.R.; Jiang, Y.Z. Seasonal dynamics of carbon and nitrogen in fine roots and their differences between successive rotation poplar plantations. Chin. J. Appl. Ecol. 2015, 26, 3268–3276, (In Chinese with English abstract). [Google Scholar]
- Dong, C.F.; Gu, H.R.; Ding, C.L.; Xu, N.X.; Liu, N.; Qu, H.; Shen, Y.X. Effects of gibberellic acid application after anthesis on the feeding value of double-purpose rice (Oryza sativa L.) straw at harvest. Field Crop. Res. 2012, 131, 75–80. [Google Scholar] [CrossRef]
- Emongor, V. Gibberellic Acid (GA3) Influence on Vegetative Growth, Nodulation and Yield of Cowpea (Vigna unguiculata (L.)) Walp. J. Agron. 2007, 6, 509–517. [Google Scholar]
- Zheng, L.Y.; Wu, W.G.; Yan, C.; Zhang, Y.H.; Xu, Y.Z.; Xu, R.M.; Chen, Z.Q. Effects of plant growth regulators on photosynthetic rate and yield components of rice. Crops 2011, 3, 63–66, (In Chinese with English abstract). [Google Scholar]
- Nouman, W.; Aziz, U. Seed priming improves salinity tolerance in Calotropis procera (Aiton) by increasing photosynthetic pigments, antioxidant activities, and phenolic acids. Biologia 2022, 77, 609–626. [Google Scholar] [CrossRef]
- Ferguson, B.J.; Ross, J.J.; Reid, J.B. Nodulation phenotypes of gibberellin and brassinosteroid mutants of pea. Plant Physiol. 2005, 138, 2396–2405. [Google Scholar] [CrossRef] [Green Version]
- Chu, X.T.; Su, H.N.; Hayashi, S.; Gresshoff, P.M.; Ferguson, B.J. Spatiotemporal changes in gibberellin content are required for soybean nodulation. New Phytol. 2022, 234, 479–493. [Google Scholar] [CrossRef]
Publisher’s Note: MDPI stays neutral with regard to jurisdictional claims in published maps and institutional affiliations. |
© 2022 by the authors. Licensee MDPI, Basel, Switzerland. This article is an open access article distributed under the terms and conditions of the Creative Commons Attribution (CC BY) license (https://creativecommons.org/licenses/by/4.0/).


