Wild Oats Offer New Possibilities for Forage Because of the Higher Nutrition Content and Feed Value
Abstract
1. Introduction
2. Materials and Methods
2.1. Test Materials
2.2. Test Methodology
2.3. Measurement Indicators and Methods
2.4. Data Analysis
3. Results and Analysis
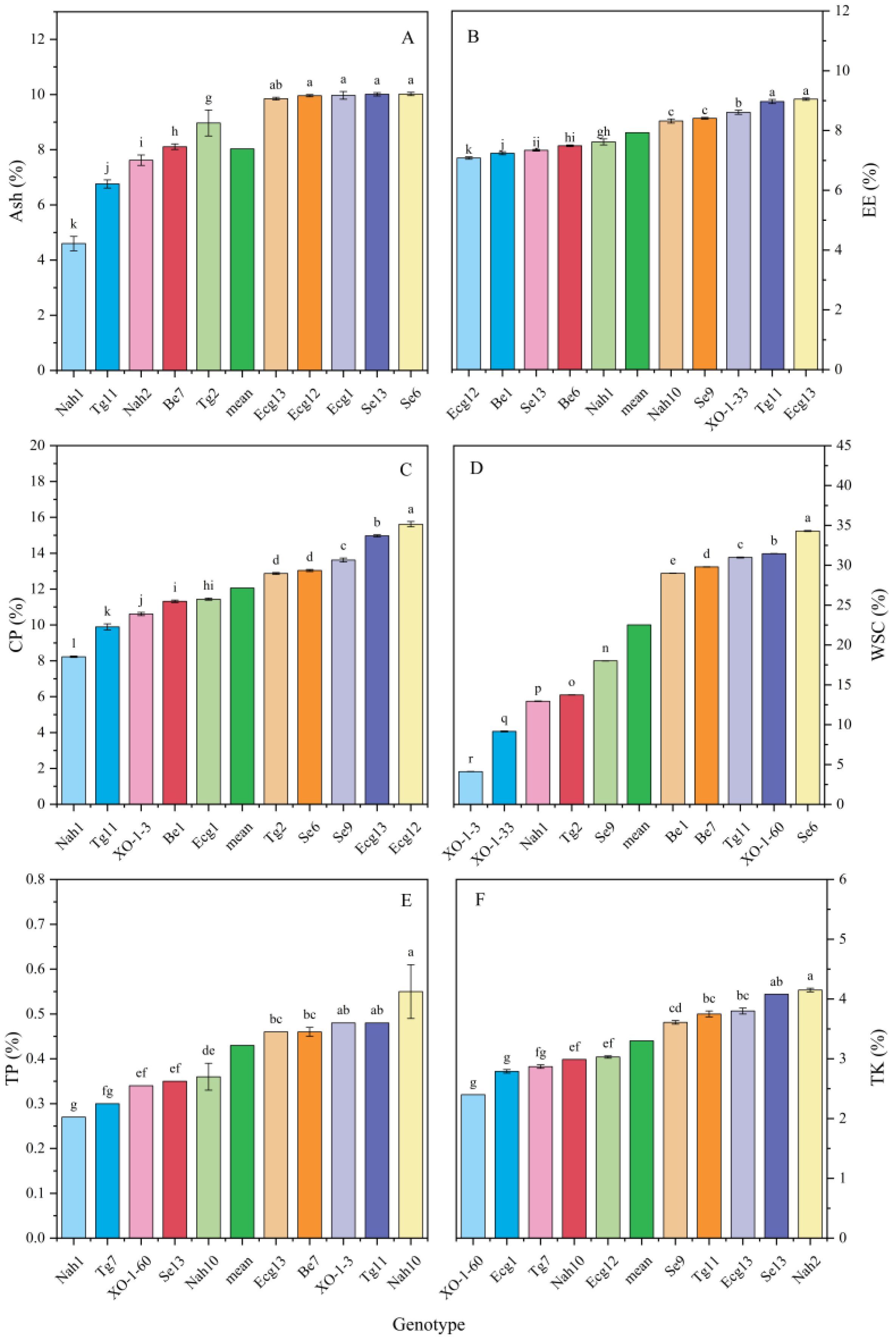
3.1. Nutritional Content Analysis of Different Oat Populations
3.2. Feed Value Analysis of Different Oat Populations
3.3. The Nutritional Content of Oat Populations Correlated with a Place of Origin
3.4. Correlation between Feed Value and Place of Origin in Oat Populations
3.5. Principle Component Analysis (PCA)
3.6. Cluster Plotting
4. Discussion
5. Conclusions
Supplementary Materials
Author Contributions
Funding
Data Availability Statement
Acknowledgments
Conflicts of Interest
References
- Masood, S.B.; Tahir-Nadeem, M.; Khan, M.K.; Shabir, R.; Butt, M.S. Oat: Unique among the cereals. J. Eur. J. Nutr. 2008, 47, 68–79. [Google Scholar]
- Hoffmann, L.A. World production and use of oats. In The Oat Crop—Production and Utilization; Springer: Dordrecht, The Netherland, 1995; pp. 34–61. [Google Scholar]
- Meen Narayan, J.B.R.K. Oat is a multifunctional cereal crop. Innov. Farm. 2017, 2, 114–116. [Google Scholar]
- Li, Y.; Mao, P. Progress of research on germplasm resources of oats. Anhui Agric. Sci. 2013, 41, 72–76. [Google Scholar]
- Li, Y.; Zhai, Y.; Mu, L. Comparative trials of oat introduction. Inn. Mong. Agric. Sci. Technol. 2010, 6, 30. [Google Scholar]
- Xiao, X.; Zhou, Q.; Chen, Y. Effect of seed sowing on the production performance and photosynthetic characteristics of Linnaean oats in alpine grazing areas. Grass Sci. 2017, 34, 761–771. [Google Scholar]
- Biel, W.; Kazimierska, K.; Bashutska, U. Nutritional value of wheat, triticale barley, and oat grains. Acta Sci. Pol. Zootech. 2020, 19, 19–28. [Google Scholar] [CrossRef]
- Suttle, J.M.; Reynolds, S.G. Fodder Oats: A World Overview; Publishing Management Service: Rome, Italy, 2004. [Google Scholar]
- Varma, P.; Bhankharia, H.; Bhatia, S. Oats: A multi-functional grain. J. Clin. Prev. Cardiol. 2016, 5, 9–17. [Google Scholar] [CrossRef]
- Wang, S.; Wang, Y.; Schnug, E.; Haneklaus, S.; Fleckenstein, J. Effects of nitrogen and sulphur fertilization on oats yield, quality and digestibility and nitrogen and Sulphur metabolism of sheep in the Inner Mongolia Steppes of China. Nutr. Cycl. Agroecosyst. 2002, 62, 195–202. [Google Scholar] [CrossRef]
- Chen, J.Z.; Wang, M.; Chen, L.; Lu, Y.; Wang, Y. Analysis of nutritional composition attributes of oat varieties of different origins. Agric. Prod. Process. 2020, 24, 43–45+48. [Google Scholar]
- John, V. Naked oatsin the oat crop. Prod. Util. 1995, 504–532. [Google Scholar] [CrossRef]
- Webster, F.H.; Wood, P.J. Oats: Chemistry and technology. J. Cereal Sci. 2011, 53, 10–51. [Google Scholar]
- Sojka, R.E.; Lentz, R.D.; Westerman, D.T. Water and erosion man-agement with multiple application of polvacrylamide in furow irriation. Soil Sci. Soc. Am. 1998, 62, 1672–1680. [Google Scholar] [CrossRef]
- Sui, H.; Dong, J.; Li, X.; Liu, Q.; Sun, X.; Zheng, S.; Xing, P. Effects of drolght-control and water-retention agent on wheat growth. Tianin Agric. Univ. 2018, 15, 11–13. [Google Scholar]
- Xu, C. Comparative study on growth characteristics of different oat varieties in alpine pasture. J. Grass Ind. 2012, 21, 280–285. [Google Scholar]
- Enciso, U.Y.; Wiedenteld, B. Subsurface drip irrigation of on-ons: Effects of drip tape emitter spacing on yield and quality. Agric. Water Manag. 2007, 92, 126–130. [Google Scholar] [CrossRef]
- Ngouajio, M.; Wang, G.; Goldy, R. Withholding of drip irrigation between transplanting and flowering increases the vield offield-arown tomato under plastic mulch. Agric Water Manag. 2007, 87, 285–291. [Google Scholar] [CrossRef]
- Oktem, A.; Simsek, M.; Oktem, A.G. Deficit irrigation efects on sweet corn(Zea mays saccharata Sturt)with drip irigation system ina semi-arid region. Agric. Water Manag. 2003, 61, 63–74. [Google Scholar] [CrossRef]
- Wu, N.; Zhao, B. Effect of water retention agent dosage on yield and quality of naked oats under two types of irrigation. J. Crop Sci. 2009, 35, 1552–1557. [Google Scholar]
- Li, F.; Song, L. Study on the suitable sowing period of oats in alpine pasture in Qinghai. Grass Sci. 1996, 13, 32–34. [Google Scholar]
- Li, S.; An, P.; Wang, F.; Li, X.; Liu, Y. Farmers’ initiative on adaptation to climate change in the Northern Agro-pastoral Ecotone. Int. J. Disaster Risk Reduct. 2015, 12, 278–284. [Google Scholar] [CrossRef]
- Ma, X.; Zhao, G.; Gong, J. Effect of sowing date and nitrogen fertilization on growth characteristics of oats in alpine pasture. Grass Sci. 2010, 4, 63–67. [Google Scholar]
- Ma, X.; Zhao, G.; Gong, J. Effect of sowing date and nitrogen fertilizer on the components of oat seed yield. Grass Sci. 2010, 27, 88–92. [Google Scholar]
- Zhang, Y.; Zhang, L.; Yang, N.; Huth, N.; Wang, E.; van der Werf, W.; Evers, J.B.; Wang, Q.; Zhang, D.; Wang, R.; et al. Optimized sowing time windows mitigate climate risks for oats production under cool semi-arid growing condition. Agric. For. Meteorol. 2019, 266–267, 184–197. [Google Scholar] [CrossRef]
- Akhtar, M.; Cheema, M.S.; Jamil, M. Effect of sowing time on wheat wheat genotypes for important traits in wheat. Agric. Res. 2006, 44, 255–259. [Google Scholar]
- Costa, R.P.; Pinheirom, N.; Almeida, A.S.; Gomes, C.; Coutinho, J.; Coco, J.; Costa, A.; Macas, B. Effect of sowing date and seeding rate on bread wheat yield and test weight under Mediterranean conditions. J. Food Agric. 2014, 25, 951–961. [Google Scholar]
- Du, Y.; Ma, J.; Chang, K. Cultivation techniques for productive naked oats in the southern Ningxia mountains. Inn. Mong. Agric. Sci. Technol. 2008, 12, 103–104. [Google Scholar]
- Robertson, M.J.; Holland, J.F.; Bambach, R. Response of canola and Indian mustard to sowing in the grain belt of northeastern Australia. Aust. Exp. Agron. J. 2004, 44, 43–52. [Google Scholar] [CrossRef]
- Li, X.; Yang, L.; Zhang, G. Effect of different sowing periods on the production characteristics of oats in “circle nests” in highland family pastures. Grass Sci. 2001, 18, 14–17. [Google Scholar]
- Zhang, G.; Li, X.; Ma, Z. Study on the effect of sowing period and sowing density on the yield of oats in the “circle nest”. Grass Sci. 2002, 19, 21–24. [Google Scholar]
- Zhou, L.; Wang, L.; Zhao, B.; Mi, J.; Wang, F.; Liu, J.; Zhang, D.; Liu, Y.-K. Effects of different sowing and mowing periods on yield and quality of oat forage in the northern agro-pastoral interlacing area. Grass Sci. 2021, 29, 2363–2365. [Google Scholar]
- Loskutov, I.G.; Shelenga, T.; Konarev, A.V.; Shavarda, A.; Blinova, E.V.; Dzubenko, N.I. The metabolomic approach to the comparative analysis of wild and cultivated speries of oats (Avena L.). Russ. J. Genet. Appl. Res. 2017, 12, 501–508. [Google Scholar] [CrossRef]
- Welch, R.W.; Leggett, J.M. Nitrogen content, oil content and oil composition of oat Cultivars (A. sativa) and wild avian species in relation to nitrogen fertility yield and partitioning of assimilates. J. Cereal Sci. 1997, 26, 321–328. [Google Scholar] [CrossRef]
- Xu, X.; Luo, J.; Wang, M.; Yu, L.; Liu, S.; Cheng, X.; Zhao, G.; Yan, J. Analysis of wild oats forage value and ecogeographic factors of origin in Israel. Feed Res. 2020, 43, 102–106. [Google Scholar]
- Zheng, D.; Zhang, Z. Foreign introduction and utilization of oat germplasm resources in China. J. Plant Genet. Resour. 2017, 18, 1001–1005. [Google Scholar]
- Li, Y.; Zhang, L. Feed Analysis and Feed Quality Testing Technology; China Agricultural University Press: Beijing, China, 2016. [Google Scholar]
- Yuan, C.; Hee, X.; Ma, L. Research progress of phytic acid and its detection method. Food Ind. 2021, 42, 396–400. [Google Scholar]
- Rohweder, D.A.; Barnes, R.F.; Proposed, J.N. Hay grading standards based on laboratory analyses for evaluating quality. J. Anim. Sci. 1978, 47, 747–759. [Google Scholar] [CrossRef]
- Zhong, G. Determination of inorganic and organic phosphorus in feedstuffs. Feed Ind. 2003, 7, 33–34. [Google Scholar]
- Zheng, M.; Li, Y.; Liang, X.Z. Grey correlation analysis and comprehensive evaluation of introduced alfalfa varieties in northern Jinjiang. Grass Sci. 2017, 22, 631–637. [Google Scholar]
- Zhu, H.; Wang, L.; Lin, Y. Research on the production performance and feeding value of foreign forage sorghum varieties in Ningxia Yellow Irrigation Region. Chin. J. Grassl. 2019, 41, 40–46. [Google Scholar]
- Nevo, E.; Beiles, A.; Gutterman, Y.; Storch, N.; Kaplan, D. Genetic resources of wildcereals in lsrael and the vicinity: Phenotypic variation within andbetween populations of wid barley Hordeum spontaneum. Euphvtica 1984, 33, 737–756. [Google Scholar] [CrossRef]
- Turpeinen, T.; Tenhola, T.; Manninen, O.; Nevo, E.; Nissilä, E. Manninen Microsatellite diversity associated with ecological factors in Hordeum spontaneum populations in lsrael. Mol. Ecol. 2001, 10, 1577–1591. [Google Scholar] [CrossRef]
- Harris, P.J.; Mares, D.J. The content and composition of the protein of oats and barley. J. Sci. Food Agric. 1974, 25. [Google Scholar]
- Gao, X.; Tian, Z. Effect of different N and K fertilizer ratios on yield and quality of oats. Qinghai Agric. For. Technol. 2015, 4, 5–8. [Google Scholar]
- Liu, W.; Yang, C.; Zhang, X.; Bai, J.; Yang, X.; Li, T.; Zhou, H. Nutritional quality and correlation analysis of oat in different regions of China. Quat. Res. 2019, 12, 151–155. [Google Scholar]
- Peterson, D. Oat: A Mulifunctional Grainlal. Biology 2004, 51, 21–26. [Google Scholar]
- Peltonen-Sainio, P.; Kontturi, M.; Rajala, A. Impact dehuling oat grain to improve quality of on-farm produced feed: 1. Hullability and associated changes in nutritive value and energy content. Agric. Food Sci. 2004, 13, 18–28. [Google Scholar] [CrossRef][Green Version]
- Shi, J.; Xue, Y.; Guo, W.; Yu, S.; Lu, W.; Yu, L. Evaluation of forage yield and nutritional value of introduced oat germplasm resources. J. Triticeae Crop. 2019, 39, 1063–1071. [Google Scholar]
- Zhang, G.Y.; Wang, J.; Zhang, H. Comparative study on production performance and nutritional quality of eight importeooat varieties in the Shioatse redion of Tibet. China Pratacult. Sci. 2019, 36, 1117–1125. [Google Scholar]
- Zheng, X.; We, Z.; Wu, Z.N. Adaptability evaluation of different Avena sativa varieties in the Yangzhou Area. Grass Sci. 2013, 21, 272–279. [Google Scholar]
- Demirbas, A. β-Glucan and mineral nutrient contents of cereals grown in Turkey. Food Chem. 2005, 90, 773–777. [Google Scholar] [CrossRef]
- Martínez, M.F.; Arelovich, H.M.; Wehrhahne, L.N. Grain yield, nutrient content and lipid profile of oat genotypes grown in a semiarid environment. Field Crop. Res. 2010, 116, 92–100. [Google Scholar] [CrossRef]
- Zhang, Y.; Chen, Z.; Zhang, X.; Song, S.; Yang, Z.; Yang, Y. Effect of different mowing periods on hay yield and quality of spring and autumn sown oats. Grass Sci. 2016, 25, 124–135. [Google Scholar]
- Kaur, A.; Goyal, M.; Kaur, M.; Mahal, A.K. Interactive effect of planting dates and development stages on digestibility, qualitative traits and yield of forage oat (Avena sativa L.) genotype. Cereal Res. Commun. 2022, 50, 1237–1247. [Google Scholar] [CrossRef]
- Buttar, P.S.; Kingra, P.K.; Singh, S.P. Effect of sowing dates, irrigation, and mulching on growth and yield of wheat. J. Agric. Res. 2018, 55, 243–250. [Google Scholar] [CrossRef]
- Bhatta, R.; Shinde, A.K.; Vaithiyanathan, S.; Ravindra, J.P.; Singh, D. In vitro ruminal fermentation and in sacco evaluation of tropical feedstuffs: I. Forage biomass and tree leaves. Anim. Feed Sci. Technol. 2003, 109, 173–187. [Google Scholar]
- Qin, X.; Li, Y.; Li, L.; Zhang, Y.; Song, Y.; Shi, X. The comparison of the phytochemical profiles and antioxidant activities of different parts of oats. J. Food Sci. Technol. 2019, 56, 4738–4747. [Google Scholar]
- Montilla-Bascón, J.S.-M.; Rispail, N.; Rubiales, D.; Mur, L.; Langdon, T.; Griffiths, I.; Howarth, C.; Prats, E. Genetic Diversity and Population Structure among Oat Cultivars and Landraces. Plant Mol. Biol. Rep. 2013, 31, 1305–1314. [Google Scholar] [CrossRef]
- Kshitiz Pokhrel, L.K.; Pazderů, K.; Capouchova, I.; Bozik, M. Lipid content and fatty acid profile of various European and Canadian hulled and naked oat genotypes. J. Cereal Sci. 2022, 108, 103580. [Google Scholar] [CrossRef]
- Ihsan, M.; Nisar, M.; Nazir, N.; Zahoor, M.; Khalil, A.A.K.; Ghafoor, A.; Khan, A.; Mothana, R.A.; Ullah, R.; Ahmad, N. Genetic diversity in nutritional composition of oat (Avena sativa L.) germplasm reported from Pakistan. Saudi J. Biol. Sci. 2022, 29, 1487–1500. [Google Scholar] [CrossRef] [PubMed]




| Population | Type | Place of Origin | Genotypes |
|---|---|---|---|
| Tabigha | Wild oats | Israeli | Tg2 |
| Tg7 | |||
| Tg11 | |||
| Nahef | Wild oats | Israeli | Nah1 |
| Nah2 | |||
| Nah10 | |||
| Sede Boqer | Wild oats | Israeli | Se6 |
| Se9 | |||
| Se13 | |||
| Evolution Canyon | Wild oats | Israeli | Ecg1 |
| Ecg12 | |||
| Ecg13 | |||
| Beit-Oren | Wild oats | Israeli | Be1 |
| Be6 | |||
| Be7 | |||
| Hu | Cultivated oats | Hebei, China | XO-1-3 |
| XO-1-33 | |||
| XO-1-60 |
| Population | Ln/° | Lt/° | Al/m | Tm/°C | Ta/°C | Tj/°C | Td/°C | Tdd/°C | Ev/mm | Rn/mm | Rd/d | Hu14/% | Huan/% |
|---|---|---|---|---|---|---|---|---|---|---|---|---|---|
| Tabigha | 35.5 | 32.9 | 0.0 | 23.6 | 31.9 | 14.3 | 17.4 | 10.3 | 164.0 | 437.0 | 49.0 | 43.8 | 58.2 |
| Nahef | 35.3 | 32.9 | 275.0 | 15.3 | 23.5 | 8.3 | 15.7 | 8.9 | 156.4 | 662.0 | 53.0 | 50.0 | 62.1 |
| Sede Boqer | 34.9 | 32.5 | 10.0 | 20.1 | 25.9 | 13.4 | 13.5 | 8.9 | 132.0 | 539.0 | 45.0 | 66.2 | 72.3 |
| Evolution Canyon | 34.6 | 32.4 | 90.0 | 22.7 | 27.2 | 14.1 | 13.2 | 9.2 | 144.0 | 602.0 | 50.2 | 65.9 | 65.4 |
| Beit-Oren | 35.0 | 32.7 | 50.0 | 20.2 | 26.2 | 12.7 | 13.0 | 9.0 | 133.0 | 507.0 | 48.2 | 65.5 | 72.5 |
| Hu | 114.5 | 40.5 | 1300.0 | 9.2 | 23.3 | −8.2 | 31.2 | 14.2 | 18.7 | 31.9 | 6.4 | 13.0 | 15.2 |
| Nutrient Content | Geographical Environmental Factors | Relevance | Prob > |ρ| |
|---|---|---|---|
| CP | Hu14 | 0.4965 | 0.0001 |
| Huan | 0.3983 | 0.0029 | |
| Ln | −0.5003 | 0.0001 | |
| Td | −0.4465 | 0.0007 | |
| Tdd | −0.3726 | 0.0055 | |
| Tj | 0.2741 | 0.0449 | |
| Tm | 0.2832 | 0.0380 | |
| Ash | Ev | −0.3417 | 0.0115 |
| Huan | 0.3166 | 0.0197 | |
| Ln | −0.5034 | 0.0001 | |
| Td | −0.3449 | 0.0106 | |
| Tdd | −0.3438 | 0.0109 | |
| WSC | Al | −0.4227 | 0.0015 |
| Hu14 | 0.2700 | 0.0483 | |
| Ln | −0.2787 | 0.0413 | |
| Lt | −0.3558 | 0.0083 | |
| Ta | 0.4893 | 0.0002 | |
| Tm | 0.4916 | 0.0002 |
| Feed Indexes | Geographical Environmental Factors | Relevance | Prob > |ρ| |
|---|---|---|---|
| Lignin | Ln | 0.2985 | 0.0283 |
| Lt | 0.3172 | 0.0194 | |
| Al | 0.2996 | 0.0278 | |
| Tm | −0.4948 | 0.0001 | |
| Tj | −0.3205 | 0.0182 | |
| Td | 0.285 | 0.0367 | |
| Rn | −0.382 | 0.0044 | |
| Cellulose | Ln | 0.3705 | 0.0058 |
| Lt | 0.3946 | 0.0032 | |
| Tm | −0.4783 | 0.0003 | |
| Tj | −0.3246 | 0.0166 | |
| Td | 0.4129 | 0.0019 | |
| Tdd | 0.4979 | 0.0001 | |
| Ev | −0.3778 | 0.0049 | |
| Rn | −0.3308 | 0.0146 | |
| Ta | −0.4544 | 0.0006 | |
| Rd | −0.2698 | 0.0485 | |
| Hu14 | −0.4159 | 0.0018 | |
| Huan | −0.4675 | 0.0004 | |
| DFR | Tm | 0.4333 | 0.0011 |
| Ta | 0.3994 | 0.0028 | |
| Tj | 0.2871 | 0.0353 | |
| Td | 0.3672 | 0.0063 | |
| Rd | 0.4566 | 0.0005 | |
| Huan | −0.402 | 0.0026 | |
| ADF | Lt | 0.501 | 0.0001 |
| Al | 0.3863 | 0.0039 | |
| Rn | −0.3991 | 0.0028 | |
| Rd | −0.2724 | 0.0463 | |
| NDF | Rn | 0.2807 | 0.0398 |
| Rd | 0.4234 | 0.0014 |
Disclaimer/Publisher’s Note: The statements, opinions and data contained in all publications are solely those of the individual author(s) and contributor(s) and not of MDPI and/or the editor(s). MDPI and/or the editor(s) disclaim responsibility for any injury to people or property resulting from any ideas, methods, instructions or products referred to in the content. |
© 2023 by the authors. Licensee MDPI, Basel, Switzerland. This article is an open access article distributed under the terms and conditions of the Creative Commons Attribution (CC BY) license (https://creativecommons.org/licenses/by/4.0/).
Share and Cite
Zhang, J.; Li, X.; Wang, J.; Yang, L.; Yang, Q.; Xiang, D.; Wan, Y.; Nevo, E.; Yan, J.; Fan, Y.; et al. Wild Oats Offer New Possibilities for Forage Because of the Higher Nutrition Content and Feed Value. Agronomy 2023, 13, 2575. https://doi.org/10.3390/agronomy13102575
Zhang J, Li X, Wang J, Yang L, Yang Q, Xiang D, Wan Y, Nevo E, Yan J, Fan Y, et al. Wild Oats Offer New Possibilities for Forage Because of the Higher Nutrition Content and Feed Value. Agronomy. 2023; 13(10):2575. https://doi.org/10.3390/agronomy13102575
Chicago/Turabian StyleZhang, Jieyu, Xiaolong Li, Junzhen Wang, Li Yang, Qiaohui Yang, Dabing Xiang, Yan Wan, Eviatar Nevo, Jun Yan, Yu Fan, and et al. 2023. "Wild Oats Offer New Possibilities for Forage Because of the Higher Nutrition Content and Feed Value" Agronomy 13, no. 10: 2575. https://doi.org/10.3390/agronomy13102575
APA StyleZhang, J., Li, X., Wang, J., Yang, L., Yang, Q., Xiang, D., Wan, Y., Nevo, E., Yan, J., Fan, Y., & Zou, L. (2023). Wild Oats Offer New Possibilities for Forage Because of the Higher Nutrition Content and Feed Value. Agronomy, 13(10), 2575. https://doi.org/10.3390/agronomy13102575
