Next Article in Journal
Exploring the Impact of Metal-Based Nanofertilizers: A Case Study on Sunflower Pollen Morphology and Yield in Field Conditions
Next Article in Special Issue
The Content of Antioxidant Compounds and VOCs in Sorghum Grain Grown in Central and Eastern Europe
Previous Article in Journal
Impacts of Multi-Strategy Nitrogen Fertilizer Management on Potato Yield and Economic Gains in Northeast China
Previous Article in Special Issue
Effect of Reduced Nitrogen Fertilization on the Chemical and Biological Traits of Soils under Maize Crops
 
 
Font Type:
Arial Georgia Verdana
Font Size:
Aa Aa Aa
Line Spacing:
Column Width:
Background:
Article

Bacterial Inoculation and Extracts of Opuntia Rackets or Marine Algae Trigger Distinct Proline Balances in Tomato Salt Stress Alleviation

1
Laboratoire de Gestion et Valorisation des Ressources Naturelles et Assurance Qualité, Faculté SNVST, Université Akli Mohand Oulhadj, Bouira 10000, Algeria
2
cE3c—Centro de Ecologia, Evolução e Alterações Ambientais (Centre for Ecology, Evolution and Environmental Changes) & Global Change and Sustainability Institute (CHANGE), Faculdade de Ciências, Universidade de Lisboa, Campo Grande Bloco C-2, Piso 5, Sala 03, 1749-016 Lisboa, Portugal
3
Laboratoire de Maitrise des Energies Renouvelables (LMER), Université de Bejaia, FSNV, Equipe de Biomasse et Environnement, Targa Ouzemmour, Bejaia 06000, Algeria
*
Author to whom correspondence should be addressed.
Agronomy 2023, 13(12), 2921; https://doi.org/10.3390/agronomy13122921
Submission received: 21 October 2023 / Revised: 22 November 2023 / Accepted: 25 November 2023 / Published: 28 November 2023
(This article belongs to the Special Issue Recent Insights in Sustainable Agriculture and Nutrient Management)

Abstract

:
High salt levels in soil can severely limit plant development and diminish the positive effect of plant-growth-promoting rhizobacteria (PGPR). However, extracts of organisms adapted to high salinity, such as Opuntia ficus-indica (OFI) and Enteromorpha intestinalis (EI), can restore the growth of PGPR. Therefore, we used OFI or EI extracts and their combination with the PGPR Achromobacter xylosoxidans BOA4 to evaluate salt stress relief in tomato (Solanum lycopersicum). The experimental setup consisted of a plant pot trial under greenhouse conditions with 12 treatments: control, irrigation with OFI extract; EI extract; BOA4-inoculated plus OFI extract and BOA4-inoculated plus EI extract under no salinity or salinity conditions (150 mM NaCl). The percentage of germination, and plant’s fresh and dry weight were registered 30 and 46 days after sowing. At 46 days, the ratio between proline and glutamic acid concentration (PR/GA) was determined, expecting high PR/GA ratios in plants more responsive to salt stress since proline is an osmolyte mainly synthesized from glutamate. The results showed that 52% of the control seeds under salt stress germinated, a figure that was increased to 92% in OFI-treated seeds. Tomato plants were shown to be very sensitive to salt stress since the dry weight was ca. one fourth that of the plants grown without salinity. However, EI or BOA4 plus EI stimulated plant biomass by ca. 3 times compared to the control with salt, restoring plant biomass to values comparable to those of control plants grown without salinity. The joint treatments with BOA4 and EI or OFI caused distinct PR/GA levels in plant tissues. An inverse relationship between the sum of relative shoot proline and glutamic acid contents and shoot biomass accumulation was observed, namely in treatments accumulating more biomass under no salinity and salinity conditions. This indicates that the proline/glutamate pathway represents a carbon sink that is needed to fight stress and is competing with the carbon flow used for growth.

1. Introduction

About 6% of the globe surface is affected by salinity, corresponding to 20% of the irrigated area worldwide [1]. These sites are predominantly localized in arid and semi-arid zones of the globe where more than 90% of agriculture depends on irrigation, and rainfall is insufficient to leach salts from soil [2]. Moreover, 50% of agricultural lands are at risk of being affected by salinity by the end of 2050 [3,4]. Thus, soil salinization poses enormous challenges for both scientists and farmers, requiring better exploitation of natural resources. Cultivating new salt-tolerant varieties, researching and selecting germplasm from potential crops, producing genetically modified crops and applying exogenous osmoprotective compounds are regarded as major strategies for promoting agricultural performance under salt stress [5].
In soil, all organisms (including plants and bacteria) are subjected to similar constraints. At the cellular level, salt stress decreases water activity in the cytoplasm, disturbing protein functioning and inhibiting many biological processes such as macromolecules’ synthesis and DNA replication [6]. The synthesis and accumulation of compatible solutes (or osmoprotectants), which are low-molecular-weight organic compounds with strong water binding properties [7,8], constitute an important aspect of the biochemical adaptation to environments with high extracellular solute concentrations [9]. Thus, the name “compatible solutes” refers to molecules that are compatible with cell functioning [10]; sugars and derivatives (sucrose, trehalose, sulfo-trehalose, etc.), amino acids and derivatives (proline, glycine-betaine, etc.), ectoine and derivatives, and polyhydric alcohols (glycerol, arabitol and mannitol) are the main groups of compatible solutes accumulated in response to osmotic stress [11,12] At the first level, plant accumulation of endogenous osmolytes under high salinity is a strategy to avoid water deficiency by decreasing cell osmotic potential so that the decreases in soil water potential can be balanced with the increase in water uptake and the consequent maintenance of cell water content and turgor [13]. Nevertheless, osmolytes are also involved in many other physiological processes besides cellular osmolarity adjustment. Amino acids participate in ion transport regulation, stomatal opening modulation, and heavy metal detoxification [14,15,16].
Proline (PR) accumulation occurs as an adaptive response to stresses causing dehydration of plant tissues such as drought, salinity and freezing [17], but can also occur at lower levels in response to other abiotic and biotic stimuli [18]. Proline contributes to plant stress tolerance in several ways, many of which depend on the intrinsic chemical properties of proline. Proline is the most water-soluble amino acid and exists in a zwitterionic state, a property shared with other compatible solutes [7]. These characteristics allow proline accumulation to high levels without the disruption of cell structure, which is stabilized through hydrophilic interactions and hydrogen bonding when cellular water content decreases. Additionally, proline itself may act as an ROS-scavenger [19,20], the reactive oxygen species (ROS) being overproduced during stress conditions. Proline may also intervene in stress relief through the “proline cycle”, where it is synthesized from glutamate in the chloroplast and cytosol using NADPH and catabolized to glutamate in the mitochondria with the release of reductant. NADPH consumption in the chloroplast may be linked to the oxidative pentose phosphate pathway (PPP) as a way of moving reductant and buffering the chloroplast redox status [21].
In the PPP, ribulose-5phosphate is synthesized with the generation of NADPH and CO2; the former can then be used in the synthesis of proline and the latter re-assimilated by carbon fixation, a benefit under stress conditions where CO2 in the chloroplast can be limited due to stomatal closure. The resulting proline can be transported into the mitochondria to pass reductant into the electron transport chain or can be transported to roots as a substrate for continued growth or osmotic adjustment. Thus, proline is a “buffer” for cellular redox status under stress, acting as a transfer and as a reductant storage molecule [18]. Consequently, adjusting proline synthesis and degradation can alleviate bias of the cell redox status. Additionally, proline may act as a metabolic signal via its transport between different parts of the plant [21,22], because it can modulate the activity and the gene expression of proline cycle enzymes. Proline induces the expression of the gene encoding proline oxidase (ProDH), the first enzyme of the proline catabolism pathway in mitochondria [23]. During stress, ProDH is downregulated [24]. The downregulation of proline catabolism together with the transcriptional upregulation of its synthesis from glutamate are thought to control proline levels during stress [18]. Although other pathways might contribute to proline synthesis, glutamate is considered the main precursor of proline during stress [23], and there is evidence that mitochondrial glutamate dehydrogenase (GDH; EC 1.4.1.2) is important in supplying glutamate for proline synthesis [25]. Additionally, it has been shown that glutamate application to drought-stressed plants caused a synergetic interaction between hormonal signaling and proline synthesis, with further enhancement of proline-synthesis-related gene expression [26]. Noteworthily, glutamate itself is an osmolyte, and its accumulation has been reported in bacteria and archaea in response to hypertonicity [27].
Exogenous sources of amino acids such as proline or glutamate might thus change plant proline balance. Opuntia ficus-indica is a species of cactus and a crop grown throughout arid and semi-arid world regions, known for its tolerance to water stress through its ability to accumulate high amounts of free amino acids and other compatible solutes, thus constituting a potential source of osmoprotectants [28,29,30]. Enteromorpha intestinalis is a marine alga, also a source of macronutrients and osmoprotectants, and proline is a known osmolyte of this seaweed [31]. A positive effect of bacterial addition on osmoprotectant accumulation by plants has been described for plant-growth-promoting rhizobacteria (PGPR), e.g., [32,33], and genes encoding for glycine betaine/proline transporters and proline metabolizing genes, such as gltB and gltD, have been detected in the genome of the bacterium Achromobacter xylosoxidans [34]. Achromobacter species are known to hydrolyze the ethylene precursor 1-aminocyclopropane-1-carboxylate (ACC) by ACC deaminase to reduce stress ethylene production in plants and alleviate abiotic stress effects, a characteristic of PGPR. Mayak et al. (2004) [35] showed that Achromobacter piechaudii significantly increased the biomass of tomato plants grown in the presence of NaCl by reducing plant ethylene production. Importantly, Rai et al. [36] showed that the strain A. xylosoxidans BOA4 has several plant-growth-promoting (PGP) traits, such as nitrogen fixation, siderophore secretion and phosphate solubilization, and that extracts of Opuntia ficus-indica rackets and Enteromorpha intestinalis enhanced BOA4 halotolerance [36,37].
High salt levels in the soil may diminish the positive effect of rhizobacteria, namely of PGPR. Considering the above mentioned, we tested the hypothesis that extracts of organisms adapted to high salinity, such as extracts from Opuntia ficus-indica (OFI) and Enteromorpha intestinalis (EI), used in combination with salt-stress-protected PGPR (A. xylosoxidans BOA4), can be efficient in restoring tomato plant (Solanum lycopersicum, variety Marmande) growth under salt stress. The tomato is one of the most consumed vegetables worldwide and most of the commercial tomato cultivars are sensitive to moderate levels of salinity. Salt tolerance breeding programs have been restricted by the insufficient knowledge of its genetic and physiological tolerance-related traits [38]. The combined use of extracts of organisms adapted to salinity and PGPR for salt stress relief in crops has not been sufficiently studied. Additionally, the accumulation of proline and glutamic acid was explored and the ratio between proline and glutamic acid concentration (PR/GA) was determined; we expected higher PR/GA ratios in plants more responsive to salt stress since proline is an important osmolyte mainly synthesized from glutamate. An additional output of our study was the finding of a relationship between the sum of relative shoot proline and glutamic acid contents and shoot biomass accumulation. The results herein provide further insight into the distinct physiological mechanisms of tomato tolerance to salt stress related to the proline cycle, which were triggered by the presence of BOA4 and/or OFI and/or EI extracts.

2. Materials and Methods

2.1. Biological Materials

The bacterial strain BOA4 was isolated from agricultural land in the province of Bouira (36°7′41.29″ N, 3°32′55.89″ E; northern Algeria) and molecularly identified as Achromobacter xylosoxidans [36].
Opuntia ficus-indica (OFI) rackets and Enteromorpha intestinalis (EI) were collected from Boulimat beach in the province of Bejaia, Northern Algeria (36°48′05.5″ N 5°00′15.7″ E and 36°48′54.5″ N 4°59′11.1″ E, respectively). The collected material was cut to fine pieces, air dried in darkness and then powdered using an electric grinder to produce homogeneous material of 2 mm diameter. OFI and EI aqueous extracts were prepared by suspending the respective powders in distilled water (1% w/v) and autoclaving the mixtures at 110 °C for 30 min.
Tomato seeds (Solanum lycopersicum, Marmande variety) were provided by the Centre for Ecology, Evolution and Environmental Change (cE3c) of the Faculty of Sciences-University of Lisbon (Portugal). This variety is characterized by early maturation, facilitating short-term studies. The variety is marketed under the license “Vilmorin”.

2.2. Greenhouse Assay

Tomato seeds were surface sterilized for 4 min with (0.7% w/v) sodium hypochlorite (NaOCl) and washed five times with sterile distilled water [39]. Seeds were then brought in contact with the strain BOA4 for 30 min under occasional agitation (control seeds were kept in contact with sterile physiological water). The bacterial inoculum was prepared from a culture pellet obtained on Luria–Bertani (LB) broth medium (10 g tryptone; 5 g NaCl; 5 g yeast extract in 1 L distilled water. pH 7 ± 0.2). Cultures were grown for 24 h at 30 °C, then centrifuged (3000 rpm for 10 min at room temperature). The collected pellet was washed three times in sterile physiological water and finally standardized (optical density = 0.8; λ = 600 nm).
A low-mineral-content soil provided by the cE3c was thoroughly mixed with vermiculite (50/50 v/v) before use. Tomato seeds were sown in 6 × 20 cm pots (five seeds/pot at a depth of about 1 cm in the soil–vermiculite mixture). Each treatment was produced with 5 biological replicates. Pots were irrigated with 15 mL of water or 15 mL of 150 mM NaCl (controls), or OFI/EI extracts (prepared in either water or 150 mM NaCl).
During the first 15 days, pots were irrigated with the same solutions every 3 days, then with tap water (municipal treated water) every 2 days for 15 days (30 mL/pot). The germination was followed daily, and the germination percentage (GP) in each treatment was registered at the end of the first month. Tomato plants’ fresh weight (FW) was determined, and the experiment was pursued to 46 days with only three plants per treatment, after being transferred to 14 × 15 cm pots, irrigated one time with the same solutions as the first 15 days, then with tap water for the rest of the assay. At the end of 46 days, the aerial parts of the plants were collected for FW and dry weight (DW) determination and for amino acid analysis using high-performance liquid chromatography. Note that FW and DW were measured for each plant and expressed in mg or g, while g/plant or mg/plant refers to the average FW or DW obtained from the different plants in each treatment. The total productivity in terms of both FW (TPFW) and DW (TPDW) was also estimated in the absence and presence of salinity by multiplying plants’ FW (g) and DW (g) in each treatment by its corresponding number of germinated seeds (NGS); TPFW = FW × NGS; TPDW = DW × NGS.

2.3. High-Performance Liquid Chromatography

HPLC was performed on extracts prepared from tomato plants, harvested at the end of the experiment, according to the protocol of Fabiani et al. (2002) [40] to determine PR and GA concentrations in plant tissues.
The harvested aerial parts of tomato plants were dried at 60 °C, powdered under liquid nitrogen and dissolved at ca. 100 mg/mL in ultra-pure water. The obtained suspensions were vortexed, then centrifuged in a Spectrafuge 16M Microcentrifuge (Labnet, Edison, NJ, USA) (10,000 rpm for 10 min) and the supernatant was recovered. Sample derivatization was carried out at room temperature adding to 300 µL of the supernatant the following solutions: 600 μL of 200 mM borate buffer (pH 10); 600 μL of 15 mM 9-fluorenylmethyl-chloroformate (FMOC-Cl) (left to react for 5 min); 600 μL of 300 mM 1-amino-adamantane hydrochloride (ADAM) solution (left to react for 1 min). The reaction mixture was filtered through a polytetrafluoroethylene (PTFE) membrane (0.45 μm).
HPLC (Waters 600 system, Milford, MA, USA, EUA) was carried out using an RP-18 column (250 × 4 mm, 5 μm) (Lichrocart Purospher, Merck, Darmstadt, Germany) protected with a guard column of the same material. The column was operated at 25 °C with a flow rate of 1.0 mL/min using 50 mM acetate buffer (pH 4.2) as eluent A and acetonitrile as eluent B. Amino acids were separated with the following gradient elution conditions (time (min)/eluent A%): 0/72, 3/72, 27/55, 32/0, 37/0, 39/72, and 47/72. Wavelength detection (Waters 2487 detector, Milford, MA, USA, EUA) was fixed at 263 nm. Identification and amino acid quantification were performed by comparison with standards prepared at different concentrations and analyzed using the same protocol, and by extrapolation to the obtained calibration curves. The ratio of PR/GA was determined as it provides insights into the balance between osmotic stress responses and proline metabolism. We also calculated the relative contents (RCs) of PR and of GA: RC = ((mg amino acid/mg shoot sample analyzed by HPLC)/shoot DW (mg)), as well as the SRC (sum of the RC of PR and the RC of GA).

2.4. Statistical Analysis

Statistical analysis was carried out using Graph Pad prism (Version 9.3.1). All experiments were analyzed, comparing the treatments’ effects to their corresponding untreated controls, using the ANOVA (Fisher LSD test) for column analysis. The correlation between the DW (mg/plant) and SRC for no-salt and salt-stressed plants was assessed through the Pearson coefficient (r) using the IBM SPSS statistics software 20.0.0.0 (Armonk, NY, USA). The statistical significance of the correlation was considered at the 0.01 level.

3. Results

3.1. Germination Percentage (GP)

To assess whether the applied treatments had the potential to increase plant productivity through a positive effect on germination, we determined the GP. In the absence of salt stress, all treatments were efficient in increasing the GP. The OFI and EI extracts resulted in a GP increase from 64 to 100% and 88%, respectively, while bacterial inoculation resulted in a germination rate of 84% (Table 1). In the presence of salt stress, the OFI extract greatly improved the final germination percentage (from 52 to 92%) (Table 1).

3.2. Plant’s Fresh Weight (FW) and Dry Weight (DW)

The FW and DW of no-stress and salt-stressed tomato plants were measured to evaluate the effect of the different treatments on biomass accumulation.

3.2.1. Thirty Days after Sowing

Thirty days after sowing, all treatments, except BOA4, resulted in plant FW improvement in the absence of salt stress. EI extract, alone or in combination with the strain BOA4, enhanced plant FW to 135.7 and 140.1 mg/plant, respectively (Figure 1A). Salt stress application resulted in plant FW reduction from 75.8 to 38.7 mg/plant. However, all treatments restored the plant’s FW to values similar to the unstressed control. The BOA4 + EI combination yielded the best tomato FW improvement under salt stress (FW of 86.6 mg/plant) (Figure 1B).

3.2.2. Forty-Six Days after Sowing

Forty-six days after sowing, the aerial parts’ FW and DW of tomato plants were determined. Without salt, plant FW was statistically similar in all treatments, except BOA4 + OFI. The latter enhanced plants’ FW from 0.66 to 0.96 g/plant compared to the control (Figure 2A). Parallelly, plants’ DW increased by ca. 2.5-fold when treated with the combination of BOA4 + OFI (from 45.4 to 111.1 mg/plant). However, the separate application of BOA4, OFI and EI did not result in a significant increase in plants’ DW as compared to the untreated control. Salt stress severely reduced plants’ FW and DW to 0.22 g/plant and 12.9 mg/plant, respectively (Figure 2B,D), but the treatment of EI and its combination with BOA4 significantly restored the plants’ FW to 0.59 and 0.62 g/plant, respectively. In addition, all the treatments significantly enhanced plants’ DW. EI, alone or in combination with BOA4, increased tomato DW to 36.3 and 38.4 mg/plant, respectively.

3.3. Estimated Productivity

To infer the effect of the treatments on overall plant productivity, i.e., considering both the GP and the shoot biomass, we calculated TP; the total productivity (TP) was estimated by referring the plant’s FW and DW (g) in each treatment to its corresponding number of germinated seeds (Figure 3). In the absence of salt, the total productivity in terms of FW (TPFW) was significantly enhanced by the treatments EI, BOA4 + OFI and BOA4 + EI. However, the separate application of BOA4 or OFI did not affect TPFW (Figure 3A). In terms of DW, the treatment BOA4 + OFI greatly increased TPDW from 0.726 to 2.44 g (Figure 3C). Under salt stress, all the treatments, except BOA4, significantly increased both TPFW and TPDW. The combination BOA4 + EI had the most notable effect. It enhanced TPFW and TPDW from 2.88 to 10.59 g and from 0.17 to 0.65 g, respectively, corresponding to a ca. four-fold enhancement. However, the separate application of OFI or EI resulted in an over three-fold enhancement of the estimated TPDW (Figure 3D).

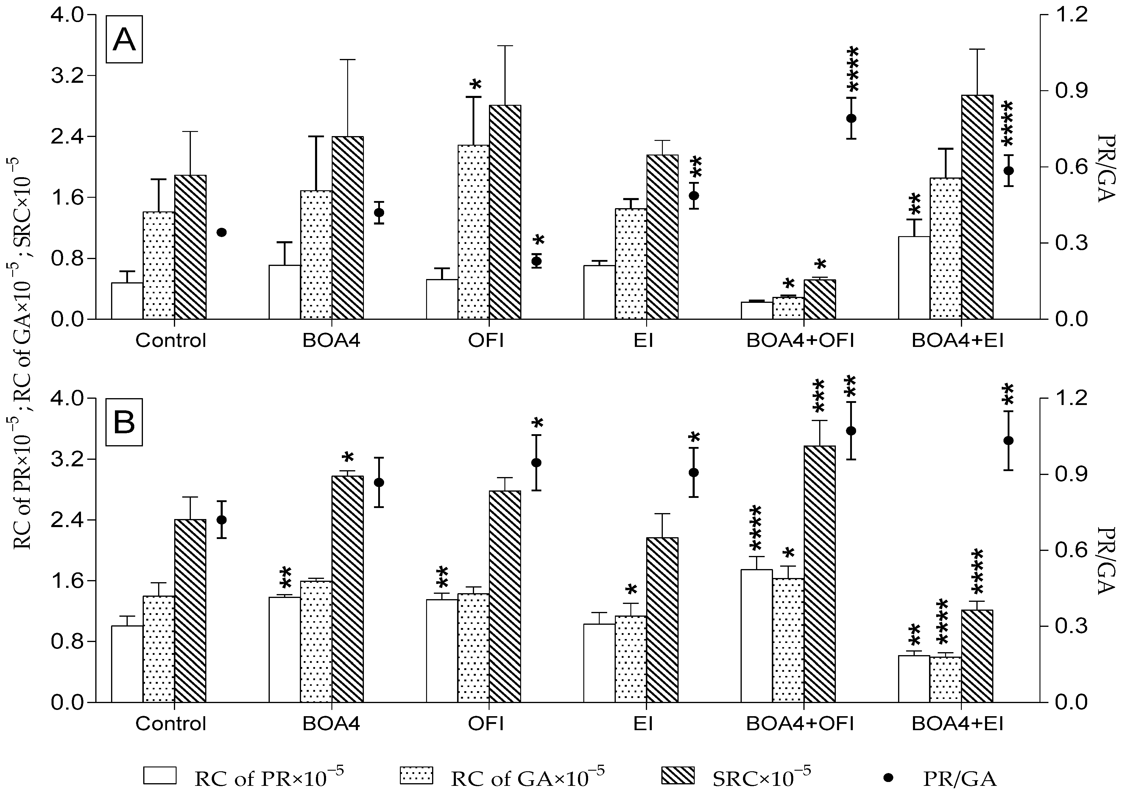
3.4. Relative Proline and Glutamic Acid Content in Tomato Plants

To inspect the accumulation of important amino acids, namely of Proline (PR) and Glutamic Acid (GA), their contents per mg of shoot sample were determined. The resulting values were referred to the total shoot biomass (DW) for an actual comparison of the amino acids’ relative content (see Section 2). The sum of the relative proline and glutamic acid contents was also determined (Figure 4).
Without salt (Figure 4A), the joint treatment BOA4 + OFI resulted in a drastic decrease in the RC of GA and in the SRC (ca. five-fold and ca. four-fold, respectively). The calculated PR/GA ratio for the concomitant treatment of tomato plants with BOA4 and OFI increased from 0.342 to 0.792. The OFI treatment caused an increase of GA relative content (from 1.413 to 2.289) and a consequent decrease in PR/GA to 0.229. The relative PR content was higher with the EI treatments, compared to the 0 mM control and to the OFI treatments; the RC of PR increased by 46.3 and 125% in the single EI treatment and its combination with BOA4, respectively, while the PR/GA ratio increased to 0.487 and 0.585 under the same treatments, respectively. Moreover, the joint treatment BOA4 + EI resulted in a 55% increase in the SRC.
In the presence of salt (Figure 4B), the relative PR content increased by ca. two-fold as compared to the unstressed control. The SRC also increased by ca. 27% when tomato plants were submitted to salt stress. OFI treatment or BOA4 inoculation enhanced the relative PR content under salt stress, and OFI addition to BOA4-inoculated plants further improved it; an increase of 73.3% for the relative PR content was registered for the BOA4 plus OFI treatment compared to the 150 mM control. The SRC was increased by ca. 24 and ca. 40% under treatment with BOA4 and BOA4 + OFI, respectively. The RC of GA in the control, BOA4 and OFI treatments were similar. As an overall consequence, the PR/GA ratios increased, BOA4 slightly enhanced the PR/GA ratio from 0.721 to 0.868, and the OFI and BOA4 plus OFI treatments significantly augmented this ratio to 0.945 and 1.072, respectively (Figure 4B). The EI extract did not cause a further increase in the RC of PR, of GA or of the SRC as compared to the 150 mM NaCl control. The use of EI extract together with BOA4 drastically reduced those values by 38.8, 57.3 and 49.6%, respectively. The PR/GA ratio increased with the EI and BOA4 plus EI treatments from 0.721 to 0.908 and 1.033, respectively.
An inverse relationship between the sum of the relative shoot proline and glutamic acid contents and plant biomass accumulation (Figure 5) was observed, namely in treatments accumulating more biomass under no salinity (BOA4 + OFI) and salinity conditions (EI and BOA4 + EI).

4. Discussion

Treatments with OFI and EI extracts and/or BOA4 had a positive effect on tomato plant productivity already at the germination stage, since all the treatments improved germination in the absence of salt stress, whereas OFI extract greatly stimulated the germination of tomato seeds in the absence and presence of salt stress conditions. This improvement could be related to Opuntia ficus-indica nutrients and phytochemicals. Several studies revealed that OFI is a source of carbohydrates and proteins, vitamins, fatty acids, minerals such as Mg, K, and also of osmoprotective compounds, especially N-organic molecules and free amino acids, which could explain its ability to promote plant growth in the absence and presence of salt stress by improving poor soil fertility and providing osmoprotective solutes to the stressed tomato plants [28,29,30,41,42]. According to Shoukat et al. (2023) [43] and references therein, glutamine is the main amino acid in OFI rackets (36.12 g/100 g), while proline is only present in trace amounts. Noteworthily, under salt stress, the addition of BOA4, either alone or with OFI, had no significant effect on germination. This bacterial effect was already reported by Santana et al. [37], who proposed that in spite of the previously demonstrated BOA4 halotolerance, the scavenging of seed nutrients by this strain might have occurred in the soil in order to cope with salt addition; also, the nutrients provided by OFI extract were certainly not sufficient to surpass this competition between BOA4 (and soil microbial community) and seed germination.
As with OFI extract, EI extract was also able to promote tomato growth in the absence and presence of salt (Figure 1 and Figure 2). Enteromorpha intestinalis extract is rich in sugars, polyols, amino acids and other N-organic molecules, constituting an important source of nutrients for both plant and bacteria in soil, and participating in plant growth enhancement [31,36,44,45]. It is also well admitted that Enteromorpha species accumulate high amounts of osmoprotectants such as amino acids, and quaternary ammonium and tertiary sulfonium compounds [46]. Unlike OFI rackets, proline constitutes a major amino acid in the composition of the marine macroalga EI [47].
A. xylosoxidans BOA4 possesses several PGP traits that may be important in plant germination and growth. For example, BOA4 is able to produce the phytohormone indole-3-acetic acid (IAA), known to be implicated in several aspects of seeds germination, which could explain BOA4’s ability to enhance tomato germination in the absence of salt stress. BOA4 expresses a wide range of PGP traits such as nitrogen fixation, lytic enzymes (protease, lipase, esterase, cellulase, etc.), siderophore secretion and phosphate solubilization [36], which might have been important in the plant growth improvement of tomato under salt stress (Figure 1 and Figure 2). Additionally, a positive effect of BOA4 on osmoprotectants’ accumulation by the plant may be envisaged as already described for other PGPR, e.g., [32,33]. Mayak et al. (2004) [35] showed that a strain of Achromobacter piechaudii significantly increased the biomass of tomato plants grown in the presence of NaCl. The bacterium reduced ethylene production by the plants, but not the sodium content. However, it slightly increased phosphorous and potassium uptake, which could have contributed to the activation of processes involved in salt effect attenuation.
Thirty days after sowing, the positive effect of most treatments on tomato plants’ FW in the absence and presence of salt stress was highly significant (Figure 1). Forty-six days after sowing, the synergistic effect of BOA4 and OFI in the increment of plant DW of the non-salt-stressed plants was clear (Figure 2C); this could be due to benefits provided by the extract to both plants and bacteria. Moreover, the lytic enzymes known to be produced by BOA4 [36] could be implicated in the mineralization of OFI organic composition, providing more nutrients for tomato plants. In opposition, treatment with EI extract, alone or in combination with BOA4, did not significantly increase the plants’ FW or DW in the absence of salt stress (Figure 2A,C), while being able to augment plant FW at 30 days (Figure 1A). This could be partially explained by the fact that EI is a marine organism and thus contains molecules that are less degradable by the soil flora and the terrestrial strain BOA4 [36]. Under stress conditions, an improvement of plant biomass was observed with the addition of the EI extract to BOA4-inoculated plants (Figure 2D). Enteromorpha has been used for bacterial growth enhancement under salt stress [46], which could explain the positive effect observed when adding both EI extract and the strain BOA4, particularly in terms of TP (Figure 3B,D). Rai et al. (2018) [36] previously showed that both EI and OFI extracts enhanced BOA4 halotolerance under salt stress, and this could account for the salt stress relief in the plants when subjected to the treatments with bacterial inoculation and extracts addition (Figure 3B,D).
The treatments herein caused distinct PR and GA accumulation in plant tissues, which resulted in different PR/GA ratios. It could be that the augmentation of the relative PR contents in non-stressed plants due to BOA4 inoculation (alone or with EI) was caused by a perception of a plant stress simile status induced by the bacteria. In this context, few studies have reported major transcriptional changes of stress response and hormone-related genes upon PGPR inoculation [48,49]; for instance, genes involved in auxin pathways were upregulated by PGPR inoculation [49], auxin being essential for root development and thus for the absorption of nutrients. Herein, the IAA producer BOA4 would thereby enhance the uptake of nutrients by the root, such as the uptake of proline provided by EI extract. The stress simile status could be “relieved” by the joint treatment with OFI extract, which could, by a yet unknown mechanism, increase PR and glutamate turnover and their use in processes of plant growth. Indeed, BOA4 plus OFI extract reduced the RC of PR and of GA; however, the PR/GA ratio increased by two-fold (Figure 4A), suggesting an increment in the proline cycle rate, but also in glutamate (and PR) consumption. On the other hand, the OFI treatment caused a PR/GA reduction associated with no significant change in the RC of PR but an increase in the relative GA content. This increase in relative GA content caused by the OFI treatment may have a role in the “relief mechanism” suggested for the joint treatment, by increasing the glutamate pool in the proline cycle. This gain could have been due to an increase in the uptake of glutamate and/or glutamine by the plant root, in agreement with the rich glutamine and glutamate content found in Opuntia ficus-indica [41,43].
The relative proline content was higher with the EI treatments, compared to the control without salt and to OFI treatment (Figure 4A). PR accumulation has been registered under physiological non-stressed conditions, and it has been proposed that this accrual provides energy to sustain metabolically demanding developmental processes involving rapid cell growth [50]. Examples are the elongation of the hairy roots in dicotyledonous plants infected by Agrobacterium rhizogenes [51] and the elongation of the pollen tube [52]. PR correlation with cell elongation might also be related to protein synthesis, since it is a major component of hydroxyproline-rich glycoproteins, which are important structural constituents of the plant cell wall with a role in cell division, cell wall assembly and extension [50,53]. Although a role of PR for protein synthesis could be considered herein, there was no significant increase in the aerial part’s DW. It could be envisaged that proline uptake increased, thanks to the richness in proline of the added EI extract [47], assuring PR accumulation for future cellular processes. Proline transporters (ProT family) are integral membrane proteins demonstrated to have roles in proline and glycine–betaine uptake through the roots [54,55]. The expression level of ProT family members is frequently correlated with conditions of stress (see below) or high PR concentrations [54].
In the presence of salt, the RC of PR increased by two-fold as compared to the control with no salt (Figure 4B). As aforesaid, in response to salt stress, both plant and soil bacteria accumulate osmoprotectants. PR is known to be accumulated under salt stress, contributing to salt stress tolerance as an osmolyte and an ROS-detoxifier [19,20,56]. Additionally, PGPR inoculation contributes to the increased accumulation of PR by plants. Qurashi and Sabri (2011) [32] found that endogenous PR accumulation in lentil plants increased by 68% at 100 mM NaCl, and plant inoculation with a halotolerant strain of Staphylococcus saprophyticus increased that value to 98%. Kim et al. (2014) [33] showed that Enterobacter sp. EJ01 improved plant growth and relieved salt stress in tomato and Arabidopsis, increasing the expression of genes involved in salt stress response, as well as the expression of PR biosynthetic genes. Herein, BOA4 inoculation also enhanced PR accumulation, and OFI addition further improved it. This behavior could be related to the increased halotolerance conferred to BOA4 by OFI extract [36] and resulted in tomato plant salt stress tolerance. In addition, it is known that the expression of plant ProT family transporters is often correlated to stress conditions; for instance, the steady-state mRNA levels of mangrove ProT transporters increased under salt stress conditions [57], and HvProT expression in barley roots was increased by salt stress [58]. Hence, an increase in PR uptake by the plant could have been a factor for the observed relative PR content increment under salt stress associated with the OFI extract, which had over 36 μg/mL PR (results not shown). Also, it is known that glutamate application to drought-stressed plants, herein provided by the OFI extract [41], can cause a synergetic interaction between hormonal signaling and proline synthesis [26] The decrease in PR catabolism to glutamate in the proline cycle could have also contributed to this increment, and the observed similitude of relative GA contents in the control and OFI treatments (Figure 4B) suggest that the glutamate pool was fueled thanks to the glutamine and glutamate present in OFI extract [41].
Treatment of tomato plants under salt stress with EI extract did not cause a further increase in the relative PR or GA content, as compared to the control with salt. On the contrary, the use of EI extract together with BOA4 drastically reduced those values. These results together with the 43.3% increase in the PR/GA ratio suggest that an increased turnover of the proline cycle associated with the cell’s use of both glutamate and PR in metabolism lead to stress relief and plant growth.
It is not consensual that proline accumulation is an adaptive response to stress; instead, it has been correlated with slower growth and necrosis, hence considered an indicator of general cellular damage in plants [59]. Proline concentration was not consistent with salt tolerance in barley, where the more tolerant cultivar had increased levels of hexose phosphates and TCA cycle intermediates, whereas elevated levels of proline were found for the more sensitive cultivar [59]. Our results suggest that proline accumulation followed by a rapid turnover (probably due to the use of proline as an energy source, protein building block, and a “redox buffer” associated with the PPP pathway) is the metabolic status achieved with stress relief, while proline accumulation per se corresponds to a partial response to stress, which possibly may not be sufficient for prolonged exposure to stress. In terms of the relative PR plus GA contents, this will result in an inverse relationship between that sum and plant biomass accumulation (Figure 5), as these amino acids are directed for plant growth processes, and clearly observed in treatments accumulating more biomass under both no salinity and salinity conditions. In agreement with this hypothesis, Hayano-Kanashiro et al. (2009) [60] observed rapid decreases in maize proline levels after stress recovery, associated with transcriptional regulation of proline cycle enzymes, which may be one factor in the resumption of growth after stress, an important element of overall stress tolerance.
Our work points to a new avenue for future research, as bio-stimulants meant to alleviate salt stress can differ in their effect on proline balance; the most promising bio-stimulants will be those that “surpass” the plant’s need for proline accumulation per se, while allowing proline to be also used for protein synthesis by giving the plants osmoprotective compounds and additional nutrients for their growth. We propose further inspection of the relative PR plus GA content in other crops treated with bio-stimulants and the use of supplementary methods, for instance isotope labeling, to fully ascertain the association between the use of bio-stimulants and proline balance.
The successful restoration of plant growth under salinity conditions by PGPR application and the concomitant use of aqueous extracts of marine algae has already been reported, providing promising approaches in seed inoculum formulation for plant growth restoration under salt stress [6]. The restoration achieved by the EI extract indicates that spreading the use of Enteromorpha intestinalis in coastal environments may be desirable. So far, no clear antithesis has been made against algae application as biofertilizers, with the advantage of marine algae such as Enteromorpha being widely distributed in most of the planet’s coastal regions. Nevertheless, the long-term application of algae and their high salt content can increase its quantity in soil, which could be avoided by including soil rest and rain-flushing periods to reduce soil salt content [61,62]. Otherwise, the algal organic compounds such as carrageenans, laminarins and ulvans are different compared to those belonging to terrestrial plants such as cellulose, hemicellulose and lignin, which may expose the soil microbial community to new and less degradable compounds [63,64]. Algae are also considered heavy metal accumulators in marine environments [65]. Additionally, the anaerobic decomposition of sulfate compounds in algae leads to the production of sulfides; their microbial oxidation increases hydrogen ion concentrations in soil and therefore causes soil acidification [66]. On the other hand, the application of OFI extract in this work revealed the effectiveness of Opuntia ficus-indica as a significant alternative to the use of marine macroalgae, both in saline-stressed and non-stressed soils. In addition, the resistant nature of prickly pear to periods of prolonged water stress, a major characteristic of arid and semi-arid regions, offer perspectives for the application of this plant in modern agriculture as a biofertilizer for better exploitation of an abundant terrestrial bioresource. Using Achromobacter xylosoxidans BOA4, characterized for its ability to produce metabolites of agricultural interest [36], together with cost-effective aqueous extracts of Enteromorpha intestinalis or Opuntia ficus-indica at saline stressed soils, would be advantageous and an ecofriendly alternative to the use of expensive and pollutant chemical fertilizers.

5. Conclusions

The results herein provide valuable insights into enhancing salt stress tolerance in tomato plants, suggesting the potential use of the bacterium Achromobacter xylosoxidans BOA4 and aqueous extracts of Opuntia ficus-indica and Enteromorpha intestinalis for mitigating the negative effects of high salinity on crop productivity. The determination of the relative contents of proline and glutamic acid indicated that the BOA4, OFI and EI treatments triggered different proline balances in tomato plants to increase their salt stress tolerance. Further research can explore the underlying molecular mechanisms and optimize the application of these ecological resources in a large-scale agriculture set.

Author Contributions

Conceptualization, A.R., E.N. and C.C.; Methodology, A.R. and R.N.M.; Investigation, A.R., M.M.S., R.N.M. and J.T.; Writing – original draft, A.R.; Writing – review & editing, M.M.S. and C.C.; Supervision, E.N. and C.C. All authors have read and agreed to the published version of the manuscript.

Funding

This research was funded by Fundação para a Ciência e a Tecnologia (project UIDB/00329/2020, researcher contract to MMS, and grant SFRH/BPD/109079/2015 to MMS).

Data Availability Statement

No new data were created or analyzed in this study. Data sharing is not applicable to this article.

Conflicts of Interest

The authors declare no conflict of interest.

References

  1. Hussain, S.; Shaukat, M.; Ashraf, M.; Zhu, C.; Jin, Q.; Zhang, J. Salinity Stress in Arid and Semi-Arid Climates: Effects and Management in Field Crops. Climate Change and Agriculture; IntechOpen: London, UK, 2019. [Google Scholar] [CrossRef]
  2. Devkota, K.P.; Devkota, M.; Rezaei, M.; Oosterbaan, R. Managing salinity for sustainable agricultural production in salt-affected soils of irrigated drylands. Agric. Syst. 2022, 198, 103390. [Google Scholar] [CrossRef]
  3. Machado, R.M.A.; Serralheiro, R.P. Soil Salinity: Effect on Vegetable Crop Growth. Management Practices to Prevent and Mitigate Soil Salinization. Horticulturae 2017, 3, 30. [Google Scholar] [CrossRef]
  4. Kumar, P.; Sharma, P.K. Soil salinity and food security in India. Front. Sustain. Food Syst. 2020, 4, 533781. [Google Scholar] [CrossRef]
  5. Ashraf, M.; Ahmad, M.S.A.; Öztürk, M.; Aksoy, A. Crop Improvement through different means: Challenges and prospects. In Crop Production for Agricultural Improvement; Ashraf, M., Öztürk, M., Ahmad, M., Aksoy, A., Eds.; Springer Science+Business Media B.V.: Dordrecht, The Netherlands, 2012; pp. 1–15. [Google Scholar]
  6. Nabti, E.; Sahnoune, M.; Ghoul, M.; Fischer, D.; Hoffmann, A.; Rothballer, M.; Schmid, M.; Hartman, A. Restoration of growth of Durum wheat (Triticum durum var. Waha) under saline conditions due to inoculation with the rhizosphere bacterium Azospirillum brasilense NH and extracts of the marine alga Ulva lactuca. J. Plant Growth Regul. 2010, 29, 6–22. [Google Scholar] [CrossRef]
  7. Yancey, P.H. Organic osmolytes as compatible, metabolic, and counteracting cytoprotectants in high osmolarity and other stresses. J. Experim. Biol. 2005, 208, 2819–2830. [Google Scholar] [CrossRef] [PubMed]
  8. Smiatek, J.; Harishchandra, R.K.; Rubner, O.; Galla, H.J.; Heuer, A. Properties of compatible solutes in aqueous solution. Biophys. Chem. 2012, 160, 62–68. [Google Scholar] [CrossRef] [PubMed]
  9. Prescott, L.M. Microbiology, 5th ed.; The McGraw−Hill Companies: New York, NY, USA, 2002. [Google Scholar]
  10. Oren, A. Organic compatible solutes. In Cellular Origin and Life in Extreme Habitats, Volume 5: Halophilic Microorganisms and Their Environments; Oren, A., Ed.; Kluwer Academic: Dordrecht, The Netherlands, 2003; pp. 279–305. [Google Scholar]
  11. Botsford, J.L.; Lewis, T.A. Osmoregulation in Rhizobium meliloti: Production of glutamic acid in response to osmotic stress. Appl. Environ. Microbiol. 1990, 56, 488–494. [Google Scholar] [CrossRef] [PubMed]
  12. Courtenay, E.S.; Capp, M.W.; Anderson, C.F.; Record, J.M.T. Vapor pressure osmometry studies of osmolyte-protein interactions: Implications for the action of osmoprotectants in vivo and for the interpretation of “osmotic stress” experiments in vitro. Biochemistry 2000, 39, 4455–4471. [Google Scholar] [CrossRef]
  13. Nemati, I.; Moradi, F.; Gholizadeh, S.; Esmaeili, M.A.; Bihamta, M.R. The effect of salinity stress on ions and soluble sugars distribution in leaves, leaf sheaths, and roots of rice (Oryza sativa L.) seedlings. Plant Soil Environ. 2011, 57, 26–33. [Google Scholar] [CrossRef]
  14. Aziz, A.; Martin-Tanguy, J.; Larher, F. Salt stress-induced proline accumulation and changes in tyramine polyamine levels are linked to ionic adjustment in tomato leaf discs. Plant Sci. 1999, 145, 83–91. [Google Scholar] [CrossRef]
  15. Rai, V.K. Role of amino acids in plant responses to salt stresses. Biol. Plant. 2002, 45, 481–487. [Google Scholar] [CrossRef]
  16. Amini, F.; Ehsanpour, A.A. Soluble proteins, proline, carbohydrates, and Na+/K+ changes in two tomato (Lycopersicon esculentum Mill.) cultivars under in vitro salt stress. Am. J. Biochem. Biotech. 2005, 1, 212–216. [Google Scholar] [CrossRef]
  17. Verslues, P.E.; Agarwal, M.; Katiyar-Agarwal, S.; Zhu, J.; Zhu, J.K. Methods and concepts in quantifying resistance to drought, salt, and freezing, abiotic stresses that affect plant water status. Plant J. 2006, 45, 523–539. [Google Scholar] [CrossRef] [PubMed]
  18. Verslues, P.E.; Sharma, S. Proline metabolism and its implications for plant-environment interaction. Arab. Book 2010, 8, e0140e. [Google Scholar] [CrossRef] [PubMed]
  19. Smirnoff, N.; Cumbes, Q.J. Hydroxyl radical scavenging activity of compatible solutes. Phytochemistry 1989, 28, 1057–1060. [Google Scholar] [CrossRef]
  20. Signorelli, S.; Dans, P.D.; Coitiño, E.L.; Borsani, O.; Monza, J. Connecting proline and γ-aminobutyric acid in stressed plants through non-enzymatic reactions. PLoS ONE 2015, 10, e0115349. [Google Scholar] [CrossRef]
  21. Hare, P.D.; Cress, W.A.; Van Staden, J. Dissecting the roles of osmolyte accumulation during stress. Plant Cell Environ. 1998, 21, 535–553. [Google Scholar] [CrossRef]
  22. Hare, P.D.; Cress, W.A.; Van Staden, J. Proline synthesis and degradation: A model system for elucidating stress-related signal transduction. J. Experim. Bot. 1999, 50, 413–434. [Google Scholar] [CrossRef]
  23. Sharma, S.; Verslues, P.E. Mechanisms independent of abscisic acid (ABA) or proline feedback have a predominant role in transcriptional regulation of proline metabolism during low water potential and stress recovery. Plant Cell Environ. 2010, 33, 1838–1851. [Google Scholar] [CrossRef]
  24. Miller, G.; Stein, H.; Honig, A.; Kapulnik, Y.; Zilberstein, A. Responsive modes of Medicago sativa proline dehydrogenase genes during salt stress and recovery dictate free proline accumulation. Planta 2005, 222, 70–79. [Google Scholar] [CrossRef]
  25. Skopelitis, D.S.; Paranychianakis, N.V.; Paschalidis, K.A.; Pliakonis, E.D.; Delis, I.D.; Yakoumakis, D.I.; Roubelakis-Angelakis, K.A. Abiotic stress generates ROS that signal expression of anionic glutamate dehydrogenases to form glutamate for proline synthesis in tobacco and grapevine. Plant Cell 2006, 18, 2767–2781. [Google Scholar] [CrossRef]
  26. La, V.H.; Lee, B.-R.; Islam, M.T.; Mamun, M.A.; Park, S.-H.; Bae, D.-W.; Kim, T.-H. Characterization of Glutamate-Mediated Hormonal Regulatory Pathway of the Drought Responses in Relation to Proline Metabolism in Brassica napus L. Plants 2020, 9, 512. [Google Scholar] [CrossRef]
  27. Kempf, B.; Bremer, E. Uptake and synthesis of compatible solutes as microbial stress responses to high-osmolality environments. Arch. Microbiol. 1998, 170, 319–330. [Google Scholar] [CrossRef]
  28. Sadok, T.H.; Fatiha, A.; Bellal, M.; Abdul Hussain, M.S. Composition chimique des jeunes cladodes d’Opuntia ficus-indica et possibilités de valorisation alimentaire. JASP 2008, 1, 39–48. [Google Scholar]
  29. Sáenz, C.; Berger, H.; Félix, A.R.; Galletti, L.; García, J.C.; Sepúlveda, E.; Varnero, M.T.; de Cortázar, V.G.; García, R.C.; Arias, E.; et al. Agro-Industrial Utilization of Cactus Pear; FAO: Rome, Italy, 2013. [Google Scholar]
  30. Mondragón-Jacobo, C.; Pérez-González, S. Cactus (Opuntia spp.) as Forage. FAO, Plant Production and Protection Paper 169. 2015. Available online: http://www.fao.org/docrep/005/Y2808E/Y2808E00.HTM (accessed on 1 January 2023).
  31. Edwards, D.M.; Reed, R.H.; Stewart, W.D.P. Osmoacclimation in Enteromorpha intestinalis: Long-Term Effects of Osmotic Stress on organic solute accumulation. Marine Biol. 1988, 98, 467–476. [Google Scholar] [CrossRef]
  32. Qurashi, A.W.; Sabri, A.N. Osmoadaptation and plant growth promotion by salt-tolerant bacteria under salt stress. Afr. J. Microbiol. Res. 2011, 5, 3546–3554. [Google Scholar]
  33. Kim, K.; Jang, Y.J.; Lee, S.M.; Oh, B.T.; Chae, J.C.; Lee, K.J. Alleviation of salt stress by Enterobacter sp. EJ01 in Tomato and Arabidopsis is accompanied by up-regulation of conserved salinity responsive factors in plants. Mol. Cells 2014, 37, 109–117. [Google Scholar] [CrossRef] [PubMed]
  34. Jana, G.A.; Yaish, M.W. Genome analysis of a salinity adapted Achromobacter xylosoxidans rhizobacteria from the date palm. Rhizosphere 2021, 19, 100401. [Google Scholar] [CrossRef]
  35. Mayak, S.; Tirosh, T.; Glick, B.R. Plant growth-promoting bacteria confer resistance in tomato plants to salt stress. Plant Physiol. Biochem. 2004, 42, 565–572. [Google Scholar] [CrossRef] [PubMed]
  36. Rai, A.; Cherif, A.; Cristina, C.; Nabti, E. Extracts from seaweeds and Opuntia ficus-indica cladodes enhance diazotrophic-PGPR halotolerance, their enzymatic potential, and their impact on wheat germination under salt stress. Pedosphere 2018, 28, 241–254. [Google Scholar] [CrossRef]
  37. Santana, M.M.; Rosa, A.P.; Zamarreño, A.M.; García-Mina, J.M.; Rai, A.; Cruz, C. Achromobacter xylosoxidans and Enteromorpha intestinalis Extract Improve Tomato Growth under Salt Stress. Agronomy 2022, 12, 934. [Google Scholar] [CrossRef]
  38. Singh, J.; Divakar Sastry, E.V.; Singh, V. Effect of salinity on tomato (Lycopersicon esculentum Mill.) during the seed germination stage. Physiol. Mol. Biol. Plants 2012, 18, 45–50. [Google Scholar] [CrossRef] [PubMed]
  39. Appenroth, K.J.; Lenk, G.; Goldau, L.; Sharma, R. Tomato seed germination: Regulation of different response modes by phytochrome B2 and phytochrome A. Plant Cell Environ. 2006, 29, 701–709. [Google Scholar] [CrossRef] [PubMed]
  40. Fabiani, A.; Versari, A.; Parpinello, G.P.; Castellari, M.; Galassi, S. High-performance liquid chromatographic analysis of free amino acids in fruit juices using derivatization with 9-fluorenylmethyl-chloroformate. J. Chromatogr. Sci. 2002, 40, 14–18. [Google Scholar] [CrossRef] [PubMed]
  41. El-Mostafa, K.; EL Kharrassi, Y.; Badreddine, A.; Andreoletti, P.; Vamecq, J.; El Kebbaj, M.S.; Malki, M.C. Nopal Cactus (Opuntia ficus-indica) as a source of bioactive compounds for nutrition, health, and disease. Molecules 2014, 19, 14879–14901. [Google Scholar] [CrossRef] [PubMed]
  42. Hayik, I. Cacti and Cacti Parts for Use as Pesticides, Fertilizers, and Regeneration and Growth Enhancers of Plants. WO2017033199A3, 12 March 2017. [Google Scholar]
  43. Shoukat, R.; Cappai, M.; Pia, G.; Pilia, L. An Updated Review: Opuntia ficus indica (OFI) Chemistry and Its Diverse Applications. Appl. Sci. 2023, 13, 7724. [Google Scholar] [CrossRef]
  44. Kirst, G.O. Osmotic adjustment in phytoplankton and macroalgae. The Use of Dimethylsulfoniopropionate (DMSP). In Biological and Environmental Chemistry of DMSP and Related Sulfonium Compounds; Kiene, R.P., Visscher, P.T., Keller, M.D., Kirst, G.O., Eds.; Plenum Press: New York, NY, USA, 1996; pp. 121–129. [Google Scholar]
  45. Haroon, A.M.; Szaniawska, A.; Normant, M.; Janas, U. The biochemical composition of Enteromorpha spp. from the Gulf of Gdańsk coast on the southern Baltic Sea. Oceanologia 2000, 42, 19–28. [Google Scholar]
  46. Ghoul, M.; Minet, J.; Bernard, T.; Dupray, E.; Cormier, M. Marine Macroalgae as a Source for Osmoprotection for Escherichia coli. Microb. Ecol. 1995, 30, 171–181. [Google Scholar] [CrossRef]
  47. Lewis, E.J.; Gonzalves, E.A. Amino acid contents of some marine algae from Bombay. New Phytol. 1960, 59, 109–115. [Google Scholar] [CrossRef]
  48. Schwachtje, J.; Karojet, S.; Thormählen, I.; Bernholz, C.; Kunz, S.; Brouwer, S.; Schwochow, M.; Köhl, K.; van Dongen, J.T. A naturally associated rhizobacterium of Arabidopsis thaliana induces a starvation-like transcriptional response while promoting growth. PLoS ONE 2011, 6, e29382. [Google Scholar] [CrossRef]
  49. Poupin, M.J.; Timmermann, T.; Vega, A.; Zuñiga, A.; González, B. Effects of the plant growth-promoting bacterium Burkholderia phytofirmans PsJN throughout the life cycle of Arabidopsis thaliana. PLoS ONE 2013, 8, e69435. [Google Scholar] [CrossRef]
  50. Mattioli, R.; Costantino, P.; Trovato, M. Proline accumulation in plants: Not only stress. Plant Signal. Behav. 2009, 4, 1016–1018. [Google Scholar] [CrossRef] [PubMed]
  51. Trovato, M.; Maras, B.; Linhares, F.; Costantino, P. The plant oncogene rolD encodes a functional ornithine cyclodeaminase. Proc. Nat. Acad. Sci. USA 2001, 298, 13449–13453. [Google Scholar] [CrossRef]
  52. Schwacke, R.; Grallath, S.; Breitkreuz, K.E.; Stransky, H.; Frommer, W.B.; Rentsch, D. LeProT1, a transporter for proline, glycine betaine, and γ-amino butyric acid in tomato pollen. Plant Cell 1999, 11, 377–391. [Google Scholar] [PubMed]
  53. Snowalter, A.M. Structure and function of plant cell wall proteins. Plant Cell 1993, 5, 9–23. [Google Scholar]
  54. Grallath, S.; Weimar, T.; Meyer, A.; Gumy, C.; Suter-Grotemeyer, M.; Neuhaus, J.M.; Rentsch, D. The AtProT family. Compatible solute transporters with similar substrate specificity but differential expression patterns. Plant Physiol. 2005, 137, 117–126. [Google Scholar] [PubMed]
  55. Tegeder, M. Transporters for amino acids in plant cells: Some functions and many unknowns. Curr. Opi. Plant Biol. 2012, 15, 315–321. [Google Scholar] [CrossRef]
  56. Hayat, S.; Hayat, Q.; Alyemeni, M.N.; Wani, A.S.; Pichtel, J.; Ahmad, A. Role of proline under changing environments: A review. Plant Signal. Behav. 2012, 7, 1456–1466. [Google Scholar] [CrossRef]
  57. Waditee, R.; Hibino, T.; Tanaka, Y.; Nakamura, T.; Incharoensakdi, A.; Hayakawa, S.; Suzuki, S.; Futsuhara, Y.; Kawamitsu, Y.; Takabe, T. Functional characterization of betaine/proline transporters in betaine-accumulating mangrove. J. Biol. Chem. 2002, 277, 18373–18382. [Google Scholar] [CrossRef]
  58. Ueda, A.; Shi, W.M.; Sanmiya, K.; Shono, M.; Takabe, T. Functional analysis of salt-inducible proline transporter of barley roots. Plant Cell Physiol. 2001, 42, 1282–1289. [Google Scholar] [CrossRef]
  59. Widodo Patterson, J.H.; Newbigin, E.; Tester, M.; Bacic, A.; Roessner, U. Metabolic responses to salt stress of barley (Hordeum vulgare L.) cultivars, Sahara and Clipper, which differ in salinity tolerance. J. Experim. Bot. 2009, 60, 4089–4103. [Google Scholar] [CrossRef] [PubMed]
  60. Hayano-Kanashiro, C.; Calderon-Vazquez, C.; Ibarra-Laclette, E.; Herrera-Estrella, L.; Simpson, J. Analysis of gene expression and physiological responses in three Mexican maize landraces under drought stress and recovery irrigation. PLoS ONE 2009, 4, e7531. [Google Scholar] [CrossRef] [PubMed]
  61. Angus, S.; Dargie, T. The UK Machair habitat action plan: Progress and problems. Bot. J. Scotl. 2002, 54, 63–74. [Google Scholar] [CrossRef]
  62. MacArtain, P.; Gill, C.I.; Brooks, M.; Campbell, R.; Rowland, I.R. Nutritional value of edible seaweeds. Nutr. Rev. 2007, 65, 535–543. [Google Scholar] [CrossRef] [PubMed]
  63. Jiménez-Escrig, A.; Sánchez-Muniz, F.J. Dietary fibre from edible seaweeds: Chemical structure, physicochemical properties and effects on cholesterol metabolism. Nutr. Res. 2000, 20, 585–598. [Google Scholar] [CrossRef]
  64. Jaulneau, V.; Lafitte, C.; Jacquet, C.; Fournier, S.; Salamagne, S.; Briand, X.; Esquerré-Tugayé, T.; Dumas, B. Ulvan, a sulfated polysaccharide from green algae, activates plant immunity through the jasmonic acid signaling pathway. BioMed Res. Int. 2010, 2010, 525291. [Google Scholar] [CrossRef] [PubMed]
  65. Dadolahi-Sohrab, A.; Nikvarz, A.; Nabavi, S.M.B.; Safahyeh, A.; Ketal-Mohseni, M. Environmental monitoring of heavy metals in seaweed and associated sediment from the Strait of Hormuz, IR Iran. WJFMS 2011, 3, 576–589. [Google Scholar]
  66. Brady, N.C.; Weil, R.R.; Weil, R.R. The Nature and Properties of Soils; Prentice Hall: Upper Saddle River, NJ, USA, 2008; Volume 13, pp. 662–710. [Google Scholar]
Figure 1. Effect of Achromobacter xylosoxidans (BOA4), O. ficus-indica (OFI) and Enteromorpha intestinalis (EI) extracts, and the combinations BOA4 + OFI and BOA4 + EI on tomato plants’ average fresh weight (FW) 30 days after sowing; (A) no salt addition, (B) 150 mM NaCl treatment. Vertical bars represent standard deviation. Statistical significance (one-way ANOVA, Fisher LSD test): ** p < 0.005; *** p < 0.001; **** p < 0.0001.
Figure 1. Effect of Achromobacter xylosoxidans (BOA4), O. ficus-indica (OFI) and Enteromorpha intestinalis (EI) extracts, and the combinations BOA4 + OFI and BOA4 + EI on tomato plants’ average fresh weight (FW) 30 days after sowing; (A) no salt addition, (B) 150 mM NaCl treatment. Vertical bars represent standard deviation. Statistical significance (one-way ANOVA, Fisher LSD test): ** p < 0.005; *** p < 0.001; **** p < 0.0001.
Agronomy 13 02921 g001
Figure 2. Effect of Achromobacter xylosoxidans (BOA4), Opuntia ficus-indica (OFI) and Enteromorpha intestinalis (EI) extracts, and the combinations BOA4 + OFI and BOA4 + EI on plants’ average fresh weight (FW) and dry weight (DW) 46 days after sowing. Panels (A,B) represent FW; (C,D) represent DW; (A,C) represent no salt addition; (B,D) represent salt stress conditions. Vertical bars represent standard deviation. Statistical significance as compared to controls (one-way ANOVA, Fisher LSD test): * p < 0.05; ** p < 0.005; *** p < 0.001; **** p < 0.0001.
Figure 2. Effect of Achromobacter xylosoxidans (BOA4), Opuntia ficus-indica (OFI) and Enteromorpha intestinalis (EI) extracts, and the combinations BOA4 + OFI and BOA4 + EI on plants’ average fresh weight (FW) and dry weight (DW) 46 days after sowing. Panels (A,B) represent FW; (C,D) represent DW; (A,C) represent no salt addition; (B,D) represent salt stress conditions. Vertical bars represent standard deviation. Statistical significance as compared to controls (one-way ANOVA, Fisher LSD test): * p < 0.05; ** p < 0.005; *** p < 0.001; **** p < 0.0001.
Agronomy 13 02921 g002
Figure 3. Effect of Achromobacter xylosoxidans (BOA4), Opuntia ficus-indica (OFI) and Enteromorpha intestinalis (EI) extracts, and the combinations BOA4 + OFI and BOA4 + EI on the estimated total productivity (TP) 46 days after sowing. TP is estimated in terms of fresh weight (TPFW) and dry weight (TPDW) (see Section 2.2 in the text). Panels (A,B) represent TPFW; (C,D) represent TPDW; (A,C) represent no salt addition; (B,D) represent salt stress conditions. Vertical bars represent standard deviation. Statistical significance as compared to controls (one-way ANOVA, Fisher LSD test): * p < 0.05; ** p < 0.005; **** p < 0.0001.
Figure 3. Effect of Achromobacter xylosoxidans (BOA4), Opuntia ficus-indica (OFI) and Enteromorpha intestinalis (EI) extracts, and the combinations BOA4 + OFI and BOA4 + EI on the estimated total productivity (TP) 46 days after sowing. TP is estimated in terms of fresh weight (TPFW) and dry weight (TPDW) (see Section 2.2 in the text). Panels (A,B) represent TPFW; (C,D) represent TPDW; (A,C) represent no salt addition; (B,D) represent salt stress conditions. Vertical bars represent standard deviation. Statistical significance as compared to controls (one-way ANOVA, Fisher LSD test): * p < 0.05; ** p < 0.005; **** p < 0.0001.
Agronomy 13 02921 g003
Figure 4. Effect of Achromobacter xylosoxidans (BOA4), Opuntia ficus-indica (OFI) and Enteromorpha intestinalis (EI) extracts, and the combinations BOA4 + OFI and BOA4 + EI on the relative contents (RCs) of proline (PR), glutamic acid (GA) and their sum (SRC). The data were obtained from plants collected 46 days after sowing. The relative contents are represented by columns. The PR/GA ratios are represented by black points. (A): absence of salt stress, (B): salt-stressed plants (150 mM NaCl treatment). Vertical bars represent standard deviation. Statistical significance as compared to the control (one-way ANOVA, Fisher LSD test): * p < 0.05; ** p < 0.005; *** p < 0.001; **** p < 0.0001.
Figure 4. Effect of Achromobacter xylosoxidans (BOA4), Opuntia ficus-indica (OFI) and Enteromorpha intestinalis (EI) extracts, and the combinations BOA4 + OFI and BOA4 + EI on the relative contents (RCs) of proline (PR), glutamic acid (GA) and their sum (SRC). The data were obtained from plants collected 46 days after sowing. The relative contents are represented by columns. The PR/GA ratios are represented by black points. (A): absence of salt stress, (B): salt-stressed plants (150 mM NaCl treatment). Vertical bars represent standard deviation. Statistical significance as compared to the control (one-way ANOVA, Fisher LSD test): * p < 0.05; ** p < 0.005; *** p < 0.001; **** p < 0.0001.
Agronomy 13 02921 g004
Figure 5. Inverse relationship between the sum of relative proline and glutamic acid contents (SRC) and average plant biomass accumulation (DW) 46 days after sowing. Panel (A): absence of salt stress, (B): salt-stressed plants (150 mM NaCl treatment); the correlation is significant at the 0.01 level in both cases (**: significant difference p ≤ 0.01); (A) r = − 0.910; (B) r = − 0.707.
Figure 5. Inverse relationship between the sum of relative proline and glutamic acid contents (SRC) and average plant biomass accumulation (DW) 46 days after sowing. Panel (A): absence of salt stress, (B): salt-stressed plants (150 mM NaCl treatment); the correlation is significant at the 0.01 level in both cases (**: significant difference p ≤ 0.01); (A) r = − 0.910; (B) r = − 0.707.
Agronomy 13 02921 g005
Table 1. Final germination percentage of tomato seeds in absence and presence of 150 mM NaCl (n = 25).
Table 1. Final germination percentage of tomato seeds in absence and presence of 150 mM NaCl (n = 25).
Treatment * In Absence of Salt Stress (%)In Presence of Salt Stress (%)
Control6452
OFI 10092
EI8868
BOA48448
BOA4 + OFI8856
BOA4 + EI8868
* BOA4: Achromobacter xylosoxidans BOA4; OFI: extract of Opuntia ficus-indica; EI: extract of Enteromorpha intestinalis. BOA4 + OFI: joint treatment with BOA4 and OFI extract; BOA4 + EI: joint treatment with BOA4 and EI extract.
Disclaimer/Publisher’s Note: The statements, opinions and data contained in all publications are solely those of the individual author(s) and contributor(s) and not of MDPI and/or the editor(s). MDPI and/or the editor(s) disclaim responsibility for any injury to people or property resulting from any ideas, methods, instructions or products referred to in the content.

Share and Cite

MDPI and ACS Style

Rai, A.; Santana, M.M.; Maia, R.N.; Tavares, J.; Nabti, E.; Cruz, C. Bacterial Inoculation and Extracts of Opuntia Rackets or Marine Algae Trigger Distinct Proline Balances in Tomato Salt Stress Alleviation. Agronomy 2023, 13, 2921. https://doi.org/10.3390/agronomy13122921

AMA Style

Rai A, Santana MM, Maia RN, Tavares J, Nabti E, Cruz C. Bacterial Inoculation and Extracts of Opuntia Rackets or Marine Algae Trigger Distinct Proline Balances in Tomato Salt Stress Alleviation. Agronomy. 2023; 13(12):2921. https://doi.org/10.3390/agronomy13122921

Chicago/Turabian Style

Rai, Abdelwahab, Margarida M. Santana, Rodrigo Nascimento Maia, João Tavares, Elhafid Nabti, and Cristina Cruz. 2023. "Bacterial Inoculation and Extracts of Opuntia Rackets or Marine Algae Trigger Distinct Proline Balances in Tomato Salt Stress Alleviation" Agronomy 13, no. 12: 2921. https://doi.org/10.3390/agronomy13122921

APA Style

Rai, A., Santana, M. M., Maia, R. N., Tavares, J., Nabti, E., & Cruz, C. (2023). Bacterial Inoculation and Extracts of Opuntia Rackets or Marine Algae Trigger Distinct Proline Balances in Tomato Salt Stress Alleviation. Agronomy, 13(12), 2921. https://doi.org/10.3390/agronomy13122921

Note that from the first issue of 2016, this journal uses article numbers instead of page numbers. See further details here.

Article Metrics

Back to TopTop