The Impact of Fertilizer Type on Dry Matter, Nitrogen Partitioning, and Yield of Spring Maize with Film-Side Sowing
Abstract
:1. Introduction
2. Materials and Methods
2.1. Experimental Site
2.2. Experimental Design
2.3. Sampling and Measurements
2.3.1. Dry Matter Accumulation and Nitrogen Use Efficiency Index
2.3.2. Contribution of Dry Matter and Nitrogen Translocation to Grain, Dry Matter, and Nitrogen Partitioning
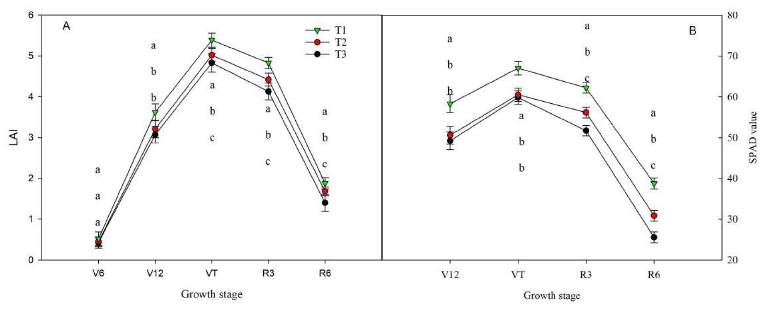
2.3.3. Leaf Area Index (LAI)
2.3.4. SPAD Value
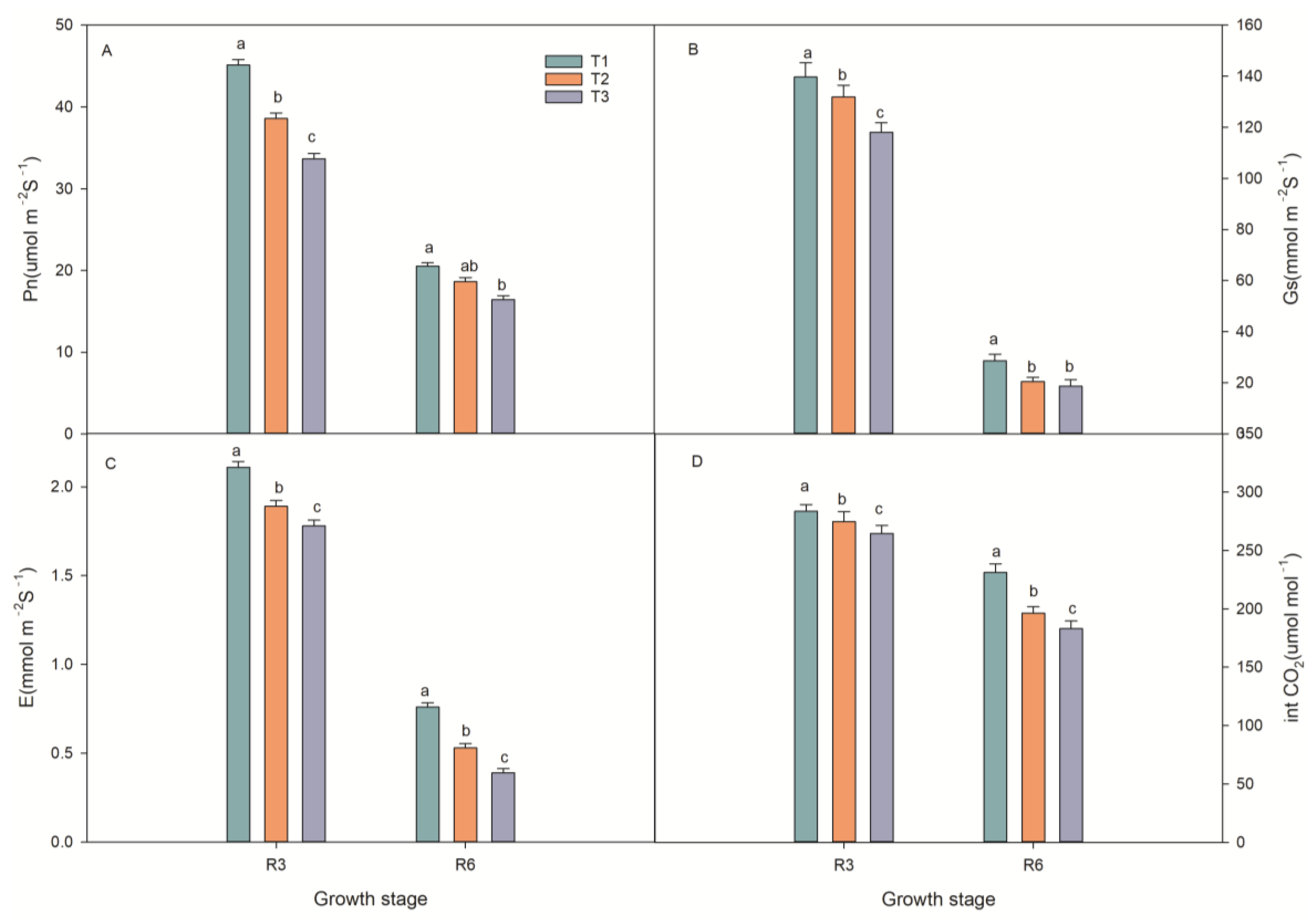
2.3.5. Photosynthetic Characteristics
2.3.6. Yield
2.3.7. Statistical Analysis
3. Results
3.1. Yield of Spring Maize
3.2. Leaf Area Index and SPAD Value
3.3. Photosynthetic Characteristics
3.4. Dry Matter and N Content Accumulation
3.5. Nitrogen Transportation and Nitrogen Use Efficiency
3.6. The Proportion of Dry Matter and Nitrogen in Plant Organs
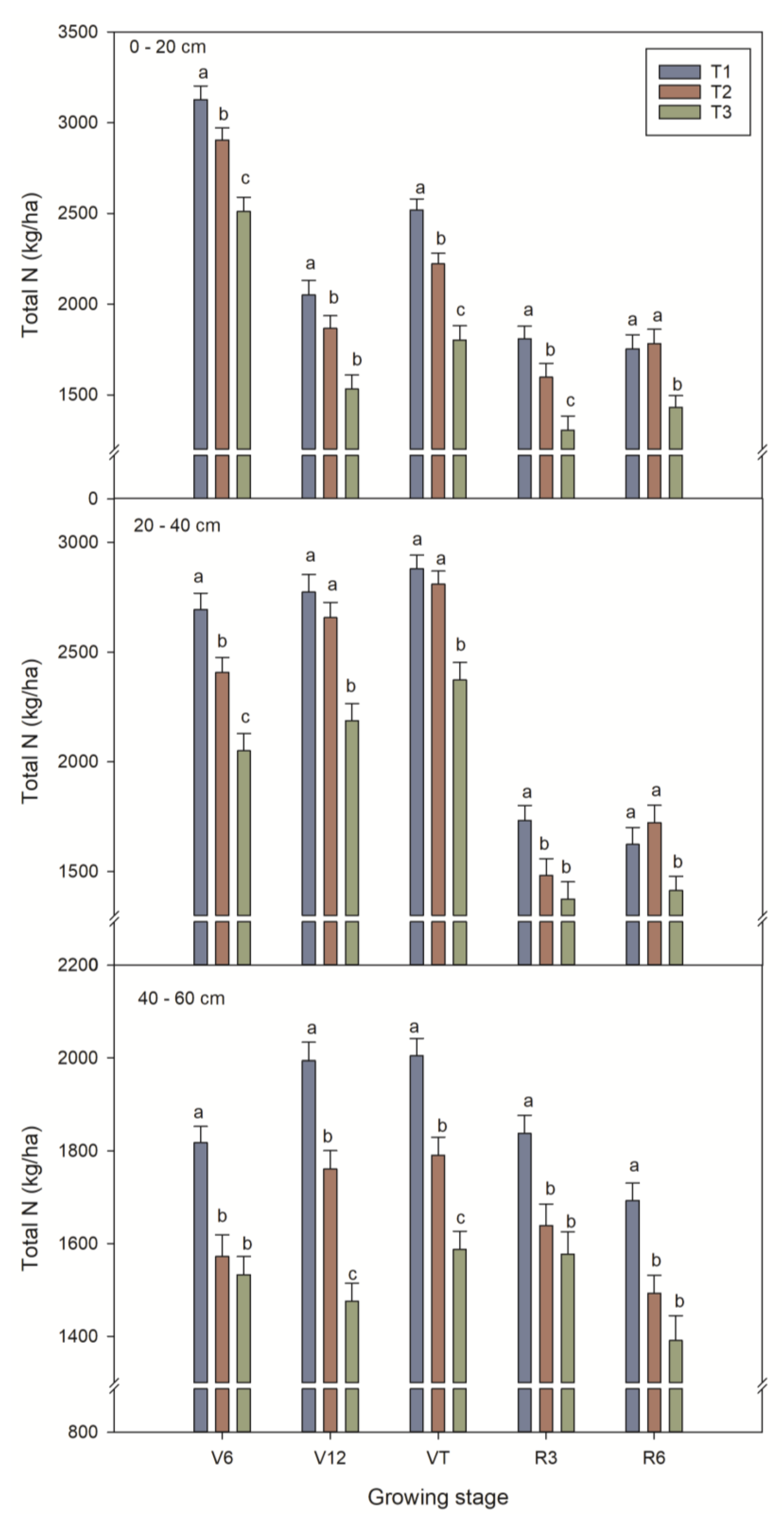
3.7. Soil Nitrogen Accumulation
4. Discussion
5. Conclusions
Author Contributions
Funding
Data Availability Statement
Acknowledgments
Conflicts of Interest
References
- Zhang, Y.; Han, H.; Zhang, D.; Li, J.; Gong, X.; Feng, B.; Xue, Z.; Yang, P. Effects of ridging and mulching combined practices on proso millet growth and yield in semi-arid regions of China. Field Crops Res. 2017, 213, 65–74. [Google Scholar] [CrossRef]
 - D’Amato, R.; Feudis, M.D.; Guiducci, M.; Businelli, D. Zea mays L. Grain: Increase in Nutraceutical and Antioxidant Properties Due to Se Fortification in Low and High Water Regimes. J. Agric. Food Chem. 2019, 67, 7050–7059. [Google Scholar] [CrossRef] [PubMed]
 - Bocchini, M.; D’Amato, R.; Ciancaleoni, S.; Fontanella, M.C.; Palmerini, C.A.; Beone, G.M.; Onofri, A.; Negri, V.; Marconi, G.; Albertini, E. Soil Selenium (Se) Biofortification Changes the Physiological, Biochemical and Epigenetic Responses to Water Stress in Zea mays L. by Inducing a Higher Drought Tolerance. Front. Plant Sci. 2018, 9, 389. [Google Scholar] [CrossRef] [PubMed]
 - Quinn, D.J.; Poffenbarger, H.J.; Miguez, F.E.; Lee, C.D. Corn optimum nitrogen fertilizer rate and application timing when following a rye cover crop. Field Crops Res. 2023, 291, 108794. [Google Scholar] [CrossRef]
 - Ward, D.; Kirkman, K.; Hagenah, N.; Tsvuura, Z. Soil respiration declines with increasing nitrogen fertilization and is not related to productivity in long-term grassland experiments. Soil Biol. Biochem. 2017, 115, 415–422. [Google Scholar] [CrossRef]
 - Chen, J.Q.; Chen, H.K.; Zhang, M.; Sun, D.F.; Chen, H.N.; Wang, L.P. Nutrient release characteristics of controlled release compound fertilizer in the field and its effect on nitrate and ammonium accumulation. J. Soil Water Conserv. 2011, 25, 110–120. [Google Scholar]
 - Zhang, A.P.; Liu, R.L.; Yang, S.Q.; Zhang, Q.W.; Li, Y.H.; Yang, Z.L. Effect of sidebar fertilization technology based on slow-release fertilizer on rice yield and nitrogen losses. J. Agro-Environ. Sci. 2012, 31, 555–562. [Google Scholar]
 - Xu, M.G.; Li, D.C.; Li, J.M.; Qin, D.Z.; Hosen, Y.; Shen, H.P.; Cong, R.H.; He, X.H. Polyolefin-coated urea decreases ammonia volatilization in a double rice system of Southern China. Agron. J. 2013, 105, 277–284. [Google Scholar] [CrossRef]
 - Guo, J.; Fan, J.; Zhang, F.; Yan, S.; Zheng, J.; Wu, Y.; Li, J.; Wang, Y.; Sun, X.; Liu, X.; et al. Blending urea and slow-release nitrogen fertilizer increases dryland maize yield and nitrogen use efficiency while mitigating ammonia volatilization. Sci. Total Environ. 2021, 790, 148058. [Google Scholar] [CrossRef]
 - Gao, Y.; Song, X.; Liu, K.; Li, T.; Zheng, W.; Wang, Y.; Liu, Z.; Zhang, M.; Chen, Q.; Li, Z.; et al. The mixture of controlled-release and conventional urea fertilizer application changed soil aggregate stability, humic acid molecular composition, and maize nitrogen uptake. Sci. Total Environ. 2021, 789, 147778. [Google Scholar] [CrossRef]
 - Vejan, P.; Khadiran, T.; Abdullah, R.; Ahmad, N. Controlled release fertilizer: A review on developments, applications and potential in agriculture. J. Control. Release 2021, 339, 321–334. [Google Scholar] [CrossRef] [PubMed]
 - Kumar, R.; Bishop, E.; Bridges, W.C.; Tharayil, N.; Sekhon, R.S. Sugar partitioning and source-sink interaction are key determinants of leaf senescence in maize. Plant Cell Environ. 2019, 42, 2597–2611. [Google Scholar] [CrossRef]
 - Liu, Z.; Sha, Y.; Huang, Y.W.; Hao, Z.H.; Guo, W.Q.; Ke, L.H.; Chen, F.J.; Yuan, L.X.; Mi, G.H. Efficient nitrogen allocation and reallocation into the ear to the superior vascular system in low-nitrogen tolerant maize hybrid. Field Crops Res. 2022, 284, 108580. [Google Scholar] [CrossRef]
 - Chen, W.; Wang, L.L.; Siddique, K.H.M.; Deng, X.P.; Chen, Y.L. Nitrogen Vertical Distribution Differed in Foliar and Nonfoliar Organs of Dryland Wheat during Grain Filling. Agron. J. 2019, 111, 1218–1228. [Google Scholar] [CrossRef]
 - Fan, P.P.; Ming, B.; Evers, J.B.; Li, Y.Y.; Li, S.K.; Xie, R.Z.; Anten, N.P.R. Nitrogen availability determines the vertical patterns of accumulation, partitioning, and reallocation of dry matter and nitrogen in maize. Field Crops Res. 2023, 297, 108927. [Google Scholar] [CrossRef]
 - Molla, M.S.H.; Nakasathien, S.; Ali, M.A.; Khan, A.; Alam, M.R.; Hossain, A.; Farooq, M.; El Sabagh, A. Influence of nitrogen application on dry biomass allocation and translocation in two maize varieties under short pre-anthesis and prolonged bracketing flowering periods of drought. Arch. Agron. Soil Sci. 2018, 65, 928–944. [Google Scholar] [CrossRef]
 - Chen, K.R.; Kumudini, S.V.; Tollenaar, M.; Vyn, T.J. Plant biomass and nitrogen partitioning changes between silking and maturity in newer versus older maize hybrids. Field Crops Res. 2015, 183, 315–328. [Google Scholar] [CrossRef]
 - Evans, J.R.; Clark, V.C. The nitrogen cost of photosynthesis. J. Exp. Bot. 2019, 70, 7–15. [Google Scholar] [CrossRef]
 - Liu, G.; Hou, P.; Xie, R.; Ming, B.; Wang, K.; Xu, W.; Liu, W.; Yang, Y.; Li, S. Canopy characteristics of high-yield maize with yield potential of 22.5 Mg ha−1. Field Crops Res. 2017, 213, 221–230. [Google Scholar] [CrossRef]
 - Zhang, W.; Li, H.; Zhang, J.; Shen, J.; Brown, H.; Wang, E. Contrasting patterns of accumulation, partitioning, and remobilization of biomass and phosphorus in a maize cultivar. Crop J. 2022, 10, 254–261. [Google Scholar] [CrossRef]
 - Miller, W.P.; Miller, D.M. A micro-pipette method for soil mechanical analysis. Commun. Soil Sci. Plant Anal. 1987, 18, 1–15. [Google Scholar] [CrossRef]
 - Bremner, J.M. Determination of nitrogen in soil by the Kjeldahl method. J. Agric. Sci. 1960, 55, 11–33. [Google Scholar] [CrossRef]
 - Wang, X.; Wang, N.; Xing, Y.; Yun, J.; Zhang, H. Effects of Plastic Mulching and Basal Nitrogen Application Depth on Nitrogen Use Efficiency and Yield in Maize. Front. Plant Sci. 2018, 9, 1446. [Google Scholar] [CrossRef]
 - Wang, L.H.; Zhang, H.Z.; Zhang, Y.Q.; Li, J.f.; Wang, C.; Gao, X.; Shi, J.; Wang, C.H.; Xia, J.Q.; Fan, Z.R. Analysis of dry matter production, transport and nitrogen fertilizer utilization in the formation of yield differences of winter wheat at different yield levels. Xinjiang Agric. Sci. 2023, 60, 2152–2162. [Google Scholar]
 - Gao, F.; Li, B.; Ren, B.Z.; Zhao, B.; Liu, P.; Zhang, J.W. Achieve simultaneous increase in straw resources efficiency and nitrogen efficiency under crop yield stabilization—A case study of NCP in China for up to 8 years. Field Crops Res. 2022, 278, 108431. [Google Scholar] [CrossRef]
 - Xu, T.J.; Lu, T.F.; Zhao, J.R.; Wang, R.H.; Chen, C.Y.; Liu, Y.; Liu, C. Photosynthetic characteristics, dry matter accumulation and translocation, and irrigation characteristics of three main promoted varieties for maize production. J. Crops 2018, 3, 414–422. [Google Scholar]
 - Guo, X.; Li, G.H.; Ding, X.P.; Zhang, J.W.; Ren, B.Z.; Liu, P.; Zhang, S.G.; Zhao, B. Response of Leaf Senescence, Photosynthetic Characteristics, and Yield of Summer Maize to Controlled-Release Urea-Based Application Depth. Agronomy 2022, 12, 687. [Google Scholar] [CrossRef]
 - Lü, L.-H. Canopy structure and photosynthesis traits of summer maize under different planting densities. Acta Agron. Sin. 2008, 34, 447–455. [Google Scholar] [CrossRef]
 - Wang, Y.Q.; Tao, H.B.; Yang, L.H.; Qi, L.P.; Zhang, G.G.; Chen, P.F.; Wang, P. Effects of nitrogen managements on canopy structure and nitrogen absorption utilization of summer maize. J. Maize Sci. 2013, 21, 125–130. [Google Scholar]
 - Li, S.D.; Li, Z.X.; Bi, X.J.; Feng, B.; Wang, Z.S.; Wang, F.H.; Si, J.S.; Shi, J.P.; Liu, K.C. Nitrogen fertilizer management on wheat yield and nitrogen utilization. J. Plant Nutr. 2022, 45, 1953–1960. [Google Scholar] [CrossRef]
 - Winterhalter, L.; Mistele, B.; Schmidhalter, U. Assessing the vertical footprint of reflectance measurements to characterize nitrogen uptake and biomass distribution in maize canopies. Field Crops Res. 2012, 129, 14–20. [Google Scholar] [CrossRef]
 - Sun, H.C.; Li, C.D.; Zhou, Y.Z. Effects of different nitrogen levels on the physiological characteristics of cotton functional leaves, plant traits, and yield composition. J. Hebei Agric. Univ. 2005, 28, 9–14. [Google Scholar]
 - Cao, C.L.; Li, S.X. Influence of nitrogen form on crop physiological characteristics and growth. J. Huazhong Agric. Univ. 2004, 23, 581–586. [Google Scholar]
 - Zhang, M.; He, Z.; Wang, C.; Zhang, H.; Ding, J.; Sun, X. Effects of soil nutrient supply characteristics of five new fertilizers on photosynthetic characteristics and yield of summer maize. J. Anhui Agric. Univ. 2023, 50, 22–28. [Google Scholar]
 - Ning, P.; Li, S.; Yu, P.; Zhang, Y.; Li, C.J. Post-silking accumulation and partitioning of dry matter, nitrogen, phosphorus, and potassium in maize varieties differing in leaf longevity. Field Crops Res. 2013, 144, 19–27. [Google Scholar] [CrossRef]
 - Parco, M.D.; Andrea, K.E.; Maddonni, G.A. Maize prolificacy under contrasting plant densities and N supplies: I. Plant growth, biomass allocation, and development of apical and sub-apical ears from floral induction to silking. Field Crops Res. 2022, 284, 108553. [Google Scholar] [CrossRef]
 - Liu, G.Z.; Yang, Y.S.; Guo, X.X.; Liu, W.M.; Xie, R.Z.; Ming, B.; Xue, J.; Wang, K.R.; Li, S.K.; Hou, P. A global analysis of dry matter accumulation and allocation for maize yield breakthrough from 1.0 to 25.0 Mg ha−1. Resour. Conserv. Recycl. 2023, 188, 106656. [Google Scholar] [CrossRef]
 - Guerena, D.; Lehmann, J.; Hanley, K.; Enders, A.; Hyland, C.; Riha, S. Nitrogen dynamics following field application of biochar in a temperate North American maize-based production system. Plant Soil 2013, 365, 239–254. [Google Scholar] [CrossRef]
 - Liu, Z.; Hu, C.H.; Wang, Y.N.; Sha, Y.; Hao, Z.H.; Chen, F.J.; Yuan, L.X.; Mi, G.H. Nitrogen allocation and remobilization contribute to low-nitrogen tolerance in stay-green maize. Field Crops Res. 2021, 263, 108078. [Google Scholar] [CrossRef]
 - Gallais, A.; Coque, M.L.; Gouis, J.; Prioul, J.L.; Hirel, B.; Quilléré, I. Estimating the Proportion of Nitrogen Remobilization and Postsilking Nitrogen Uptake Allocated to Maize Kernels by Nitrogen-15 Labeling. Crop Sci. 2007, 47, 685–691. [Google Scholar] [CrossRef]
 - Liu, K.H.; Niu, Y.J.; Konishi, M.Y.W.; Chang, S.H.; Li, L.; Boudsocq, M.; Mccormack, M.; Maekawa, S.; Ishida, T.; Zhang, C.; et al. Discovery of nitrate-CPK-NLP signalling in central nutrient-growth networks. Nature 2017, 545, 311–316. [Google Scholar] [CrossRef] [PubMed]
 - Foulkes, M.J.; Hawkesford, M.J.; Barraclough, P.B.; Holdsworth, M.J.; Kerr, S.; Kightley, S.; Shewry, P.R. Identifying traits to improve the nitrogen economy of wheat: Recent advances and prospects. Field Crops Res. 2009, 114, 329–342. [Google Scholar] [CrossRef]
 - Muurinen, S.; Slafer, G.A.; Peltonen-Sainio, P. Breeding effects on nitrogen use efficiency of spring cereals under northern conditions. Crop Sci. 2006, 46, 561–568. [Google Scholar] [CrossRef]
 





| Soil Layer (cm)  | Organic Matter (g kg−1)  | Total Nitrogen (g kg−1)  | Available Phosphorus (mg kg−1)  | Available Potassium (mg kg−1)  | 
|---|---|---|---|---|
| 0–20 | 14.04 | 1.03 | 13.3 | 154.53 | 
| 20–40 | 12.11 | 0.83 | 10.7 | 140.94 | 
| 40–60 | 8.53 | 0.62 | 8.48 | 106.15 | 
| Treatment | Name of Fertilizer | The Periods and Rates of Fertilizer Application (kg ha−1) | Fertilizer Manufacturer | ||
|---|---|---|---|---|---|
| Fertilizer | Pre-Seeding | At the Nine-Leaf Stage (V9) | |||
| T1 | 28-15-8 (IKPS) | N | 254 | 0 | A kind of fertilizer developed by the School of Resources and Environment of Southwest University, which is highly efficient without chasing fertilizers and low carbon emissions, not currently marketed. | 
| P2O5 | 139 | 0 | |||
| K2O | 74 | 0 | |||
| T2 | 27-15-10 | N | 245 | 0 | Zhongnong Shuntian Ecological Fertilizer Co., Ltd., Linyi City, Shandong Province, China. | 
| P2O5 | 136 | 0 | |||
| K2O | 91 | 0 | |||
| T3 | NPK | N | 90 | 165 | Urea, potassium sulfate: Zhongnong Shuntian Ecological Fertilizer Co., Ltd., Shandong Province, China; calcium superphosphate: Yuxi Chemical Fertilizer Factory Co., Ltd., Yuxi City, Yunnan Province, China. | 
| P2O5 | 123 | 0 | |||
| K2O | 94 | 0 | |||
| Treatment | Ears | Kernels | TKW | Grain Yield | 
|---|---|---|---|---|
| (ears ha−1) | per Ear | (g) | (kg ha−1) | |
| T1 | 79,902.35 a | 598 a | 385.13 a | 13,386.3 a | 
| T2 | 79,047.85 b | 580.67 b | 381.38 a | 12,936.45 b | 
| T3 | 75,979.9 c | 577.33 b | 368.29 b | 12,722.7 b | 
| Indicators/Treatment | T1 | T2 | T3 | 
|---|---|---|---|
| Dry matter accumulation after silking (kg ha−1) | 15,323.18 a | 13,752.45 b | 13,593.15 c | 
| Transfer amount of dry matter (kg ha−1) | 2506.7 a | 1613.25 b | 1512.675 c | 
| Transfer rate of dry matter (%) | 22.49 a | 15.41 b | 14.59 b | 
| Contribution to grain of dry matter transportation (%) | 16 a | 11 b | 10.5 b | 
| VT nitrogen accumulation (kg ha−1) | 146.05 a | 134.29 b | 117.5 c | 
| R6 nitrogen accumulation (kg ha−1) | 230.85 a | 187.69 b | 163.72 c | 
| Transfer amount of nitrogen (kg ha−1) | 84.8 a | 53.4 b | 46.22 c | 
| Nitrogen content of grain (kg ha−1) | 153.81 a | 129.77 b | 113.68 c | 
| Transfer amount of nitrogen/nitrogen content of grain (%) | 55.1 a | 41.1 b | 40.7 b | 
| Treatment | PNRA | PNRE (%) | PNAA | CPNA (%) | NHI | UPE | NUE | 
|---|---|---|---|---|---|---|---|
| T1 | 95.34 a | 65.28 a | 84.80 a | 45.80 a | 0.69 b | 88.96 a | 51.58 a | 
| T2 | 85.35 b | 63.55 a | 53.40 b | 38.55 b | 0.73 ab | 76.49 b | 52.72 a | 
| T3 | 77.17 c | 65.68 a | 46.23 c | 38.39 b | 0.75 a | 59.51 c | 46.25 b | 
Disclaimer/Publisher’s Note: The statements, opinions and data contained in all publications are solely those of the individual author(s) and contributor(s) and not of MDPI and/or the editor(s). MDPI and/or the editor(s) disclaim responsibility for any injury to people or property resulting from any ideas, methods, instructions or products referred to in the content.  | 
© 2023 by the authors. Licensee MDPI, Basel, Switzerland. This article is an open access article distributed under the terms and conditions of the Creative Commons Attribution (CC BY) license (https://creativecommons.org/licenses/by/4.0/).
Share and Cite
Zhang, T.; Liu, J.; Zhang, H.; Lian, A.; Gao, F.; Zhang, Z.; Guo, Z. The Impact of Fertilizer Type on Dry Matter, Nitrogen Partitioning, and Yield of Spring Maize with Film-Side Sowing. Agronomy 2023, 13, 2999. https://doi.org/10.3390/agronomy13122999
Zhang T, Liu J, Zhang H, Lian A, Gao F, Zhang Z, Guo Z. The Impact of Fertilizer Type on Dry Matter, Nitrogen Partitioning, and Yield of Spring Maize with Film-Side Sowing. Agronomy. 2023; 13(12):2999. https://doi.org/10.3390/agronomy13122999
Chicago/Turabian StyleZhang, Tingting, Jing Liu, Haichao Zhang, Ao Lian, Fei Gao, Zhongdong Zhang, and Zhengyu Guo. 2023. "The Impact of Fertilizer Type on Dry Matter, Nitrogen Partitioning, and Yield of Spring Maize with Film-Side Sowing" Agronomy 13, no. 12: 2999. https://doi.org/10.3390/agronomy13122999
APA StyleZhang, T., Liu, J., Zhang, H., Lian, A., Gao, F., Zhang, Z., & Guo, Z. (2023). The Impact of Fertilizer Type on Dry Matter, Nitrogen Partitioning, and Yield of Spring Maize with Film-Side Sowing. Agronomy, 13(12), 2999. https://doi.org/10.3390/agronomy13122999
        
