Yield Prediction Models for ‘Royal Gala’ and ‘Fuji Suprema’ Apple Varieties Cultivated under a Subtropical Climate
Abstract
1. Introduction
2. Materials and Methods
2.1. Location of Experimental Areas
2.2. Experiment Set-Up
2.3. Sampling of Leaves and Fruits and Trunk-Diameter Measurement
2.4. Leaf and Fruit Pulp Mineral Analyses
2.5. Climate Variables
2.6. Statistical Analysis
3. Results
3.1. Fruit Yield and Yield Components
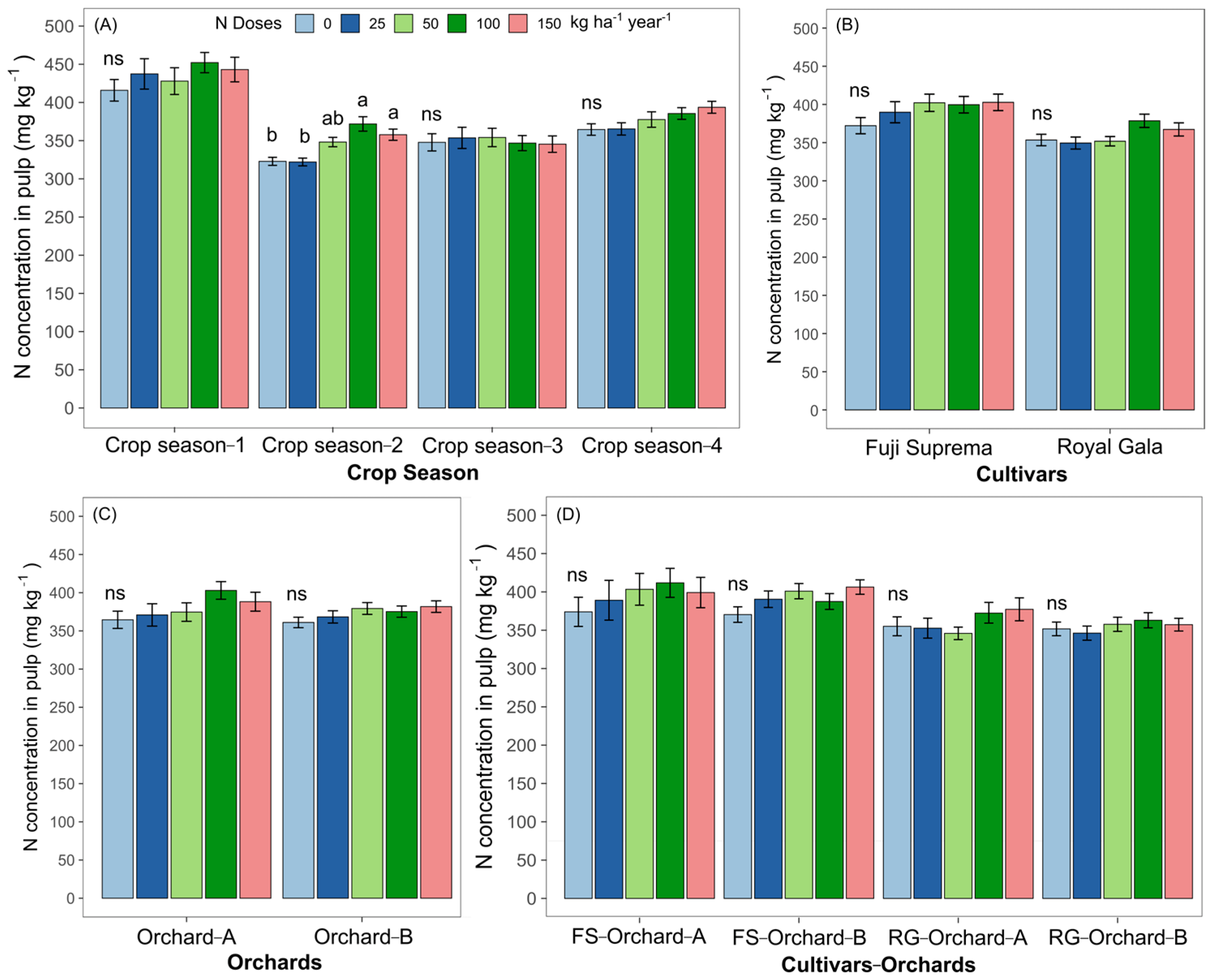
3.2. Yield and N Concentration in the Leaves and Fruits Response
3.3. Apple-Yield Prediction Models
4. Discussion
5. Conclusions
Supplementary Materials
Author Contributions
Funding
Data Availability Statement
Acknowledgments
Conflicts of Interest
References
- Van Cleemput, O. Subsoils: Chemo-and biological denitrification, N2O and N2 emissions. Nutr. Cycl. Agroecosyst. 1998, 52, 187–194. [Google Scholar] [CrossRef]
- Carranca, C. Principais Processos do Ciclo do Azoto numa Agricultura Sustentável. Avaliação Através do Marcador 15N; INIA/Fundo Social Europeu de Orientação e Garantia Agrícola, EAN: Oeiras, Portugal, 2000; p. 118. [Google Scholar]
- Behera, S.N.; Sharma, M.; Aneja, V.P.; Balasubramanian, R. Ammonia in the atmosphere: A review on emission sources, atmospheric chemistry and deposition on terrestrial bodies. Environ. Sci. Pollut. Res. 2013, 20, 8092–8131. [Google Scholar] [CrossRef]
- Wang, Y.; Ying, H.; Yin, Y.; Zheng, H.; Cui, Z. Estimating soil nitrate leaching of nitrogen fertilizer from global meta-analysis. Sci. Total Environ. 2019, 657, 96–102. [Google Scholar] [CrossRef]
- Drake, S.R.; Raese, J.T.; Smith, T.J. Time of nitrogen application and its influence on ‘golden delicious’ apple yield and fruit quality. J. Plant Nutr. 2002, 25, 143–157. [Google Scholar] [CrossRef]
- Nava, G.; Dechen, A.R. Long-term annual fertilization with nitrogen and potassium affect yield and mineral composition of ‘fuji’ apple. Sci. Agric. 2009, 66, 377–385. [Google Scholar] [CrossRef]
- Carranca, C.; Brunetto, G.; Tagliavini, M. Nitrogen nutrition of fruit trees to reconcile productivity and environmental concerns. Plants 2018, 7, 4. [Google Scholar] [CrossRef] [PubMed]
- Kalcsits, L.; Lotze, E.; Tagliavini, M.; Hannam, K.D.; Mimmo, T.; Neilsen, D.; Neilsen, G.; Atkinson, D.; Biasuz, E.C.; Borruso, L.; et al. Recent achievements and new research opportunities for optimizing macronutrient availability, acquisition, and distribution for perennial fruit crops. Agronomy 2020, 10, 1738. [Google Scholar] [CrossRef]
- Hu, Y.; Burucs, Z.; Von Tucher, S.; Schmidhalter, U. Short-term effects of drought and salinity on mineral nutrient distribution along growing leaves of maize seedlings. Environ. Exp. Bot. 2007, 60, 268–275. [Google Scholar] [CrossRef]
- Paula, B.V.D.; Rozane, D.E.; Melo, G.W.B.D.; Natale, W.; Marques, A.C.R.; Brunetto, G. Kinetic parameters estimation for increasing the efficiency of nutrient absorption in fruit trees. Rev. Bras. Frutic. 2021, 43, e-743. [Google Scholar] [CrossRef]
- Hassink, J.; Bouwman, L.A.; Zwart, K.B.; Bloem, J.; Brussaard, L. Relationships between soil texture, physical protection of organic matter, soil biota, and c and n mineralization in grassland soils. Geoderma 1993, 57, 105–128. [Google Scholar] [CrossRef]
- Singh, M.; Sarkar, B.; Sarkar, S.; Churchman, J.; Bolan, N.; Mandal, S.; Menon, M.; Purakayastha, T.J.; Beerling, D.J. Stabilization of soil organic carbon as influenced by clay mineralogy. Adv. Agron. 2018, 148, 33–84. [Google Scholar] [CrossRef]
- Alshameri, A.; He, H.; Zhu, J.; Xi, Y.; Zhu, R.; Ma, L.; Tao, Q. Adsorption of ammonium by different natural clay minerals: Characterization, kinetics and adsorption isotherms. Appl. Clay Sci. 2018, 159, 83–93. [Google Scholar] [CrossRef]
- Neilsen, D.; Neilsen, G.H.; Gregory, D.; Forge, T.; Zebarth, B. Drainage losses of water, N and P from micro-irrigation systems in a young high-density apple planting. Acta Hortic. 2008, 792, 483–490. [Google Scholar] [CrossRef]
- Sugiura, T.; Ogawa, H.; Fukuda, N.; Moriguchi, T. Changes in the taste and textural attributes of apples in response to climate change. Sci. Rep. 2013, 3, 113. [Google Scholar] [CrossRef] [PubMed]
- Zhang, Q.; Zhou, B.; Li, M.; Wei, Q.; Han, Z. Multivariate analysis between meteorological factor and fruit quality. J. Integr. Agric. 2018, 17, 1338–1347. [Google Scholar] [CrossRef]
- Lawrence, B.T.; Melgar, J.C. Variable fall climate influences nutrient resorption and reserve storage in young peach trees. Front. Plant Sci. 2018, 9, 1819. [Google Scholar] [CrossRef]
- Guntiñas, M.E.; Leirós, M.C.; Trasar-Cepeda, C.; Gil-Sotres, F. Effects of moisture and temperature on net soil nitrogen mineralization: A laboratory study. Eur. J. Soil Biol. 2012, 48, 73–80. [Google Scholar] [CrossRef]
- Benbi, D.K.; Boparai, A.K.; Brar, K. Decomposition of particulate organic matter is more sensitive to temperature than the mineral associated organic matter. Soil Biol. Biochem. 2014, 70, 183–192. [Google Scholar] [CrossRef]
- Oyewole, O.A.; Inselsbacher, E.; Nasholm, T. Direct estimation of mass flow and diffusion of nitrogen compounds in solution and soil. New Phytol. 2014, 201, 1056–1064. [Google Scholar] [CrossRef]
- Hamada, N.A.; Moreira, R.R.; Nesi, C.N.; De Mio, L.L.M. Pathogen dispersal and Glomerella leaf spot progress within apple canopy in Brazil. Plant Dis. 2019, 103, 3209–3217. [Google Scholar] [CrossRef]
- Quinlan, J. Learning with Continuous Classes. In Proceedings AI’92, 5th Australian Conference on Artificial Intelligence; Adams, A., Sterling, L., Eds.; World Scientific: Singapore, 1992; pp. 343–348. [Google Scholar]
- Aggelopoulou, A.D.; Bochtis, D.; Fountas, S.; Swain, K.C.; Gemtos, T.A.; Nanos, G.D. Yield prediction in apple orchards based on image processing. Precis. Agric. 2011, 12, 448–456. [Google Scholar] [CrossRef]
- Bai, X.; Li, Z.; Li, W.; Zhao, Y.; Li, M.; Chen, H.; Zhu, X. Comparison of Machine-Learning and CASA Models for Predicting Apple Fruit Yields from Time-Series Planet Imageries. Remote Sens. 2021, 13, 3073. [Google Scholar] [CrossRef]
- Alvares, C.A.; Stape, J.L.; Sentelhas, P.C.; Gonçalves, J.L.M.; Sparovek, G. Köppen’s climate classification map for Brazil. Meteorol. Z. 2013, 22, 711–728. [Google Scholar] [CrossRef]
- Soil Survey Staff. Keys to Soil Taxonomy, 12th ed.; USDA-NRCS: Washington, DC, USA, 2014. [Google Scholar]
- Epagri-Empresa de Pesquisa Agropecuária e Extensão Rural de Santa Catarina. A Cultura da Macieira; Epagri-Empresa de Pesquisa Agropecuária e Extensão Rural de Santa Catarina: Florianópolis, SC, Brazil, 2022. [Google Scholar]
- CQFS-RS/SC-Comissão de Química e Fertilidade do Solo-RS/SC. Manual de Adubação Para os Estados do Rio Grande do Sul e de Santa Catarina; Sociedade Brasileira de Ciência do Solo: Porto Alegre, RS, Brazil, 2016. [Google Scholar]
- Embrapa-Empresa Brasileira de Pesquisa Agropecuária. Manual de Análises Químicas de Solos, Plantas e Fertilizantes, 2nd ed.; Rev. Ampl. Embrapa: Brasília, Brazil, 2009. [Google Scholar]
- Bataglia, O.C.; Furlani, A.M.C.; Teixeira, J.P.F.; Furlani, P.R.; Galo, J.R. Métodos de Análise Química de Plantas; Instituto Agronômico: Campinas, SP, Brazil, 1983. [Google Scholar]
- Tedesco, M.J. Análise de Solo, Plantas e Outros Materiais, 2nd ed.; Universidade Federal do Rio Grande do Sul: Porto Alegre, RS, Brazil, 1995. [Google Scholar]
- Murphy, J.; Riley, J.P. A modified single solution methods for the determination of phosphate in natural waters. Anal. Chim. Acta 1962, 27, 31–36. [Google Scholar] [CrossRef]
- Epagri-Empresa de Pesquisa Agropecuária e Extensão Rural de Santa Catarina. Banco de Dados de Variáveis Ambientais de Santa Catarina; Documentes 310; Epagri-Empresa de Pesquisa Agropecuária e Extensão Rural de Santa Catarina: Florianópolis, SC, Brazil, 2020. [Google Scholar]
- Ebert, A.; Petri, J.L.; Bender, R.J.; Braga, H.J. First experiences with chill-unit models in Southern Brazil. Acta Hortic. 1986, 184, 79–86. [Google Scholar] [CrossRef]
- R Core Team. R: A Language and Environment for Statistical Computing; R Foundation for Statistical Computing: Vienna, Austria, 2022; Available online: https://www.R-project.org/ (accessed on 5 June 2022).
- Kuhn, M. Caret: Classification and Regression Training. R package version 6.0-73; Astrophysics Source Code Library, p. ascl: 1505.003. 2015. Available online: https://CRAN.R-project.org/package=caret (accessed on 5 June 2022).
- Tartachnyk, I.I.; Blanke, M.M. Effect of delayed fruit harvest on photosynthesis, transpiration and nutrient remobilization of apple leaves. New Phytol. 2004, 164, 441–450. [Google Scholar] [CrossRef]
- Pereira, A.J.; Pasa, M.S. Desempenho produtivo de macieiras ‘Royal Gala’ e ‘Fuji’ submetidas a diferentes densidades de plantio e porta-enxertos. Pesq. Agropec. Bras. 2016, 51, 348–356. [Google Scholar] [CrossRef]
- Reig, G.; Lordan, J.; Sazoc, M.M.; Hoying, S.; Fargione, M.; Reginato, G.; Donahue, D.J.; Francescatto, P.; Faziob, G.; Robinson, T. Long-term performance of ‘Gala’, Fuji’ and ‘Honeycrisp’ apple trees grafted on Geneva rootstocks and trained to four production systems under New York State climatic conditions. Sci. Hortic. 2019, 244, 277–293. [Google Scholar] [CrossRef]
- Toselli, M.; Zavalloni, C.; Marangoni, B.; Flore, J.A. Nitrogen partitioning in apple trees as affected by application time. HortTechnology 2000, 10, 136–141. [Google Scholar] [CrossRef]
- Zanotelli, D.; Rechenmacher, M.; Guerra, W.; Cassar, A.; Tagliavini, M. Seasonal uptake rate dynamics and partitioning of mineral nutrients by bourse shoots of field-grown apple trees. Eur. J. Hortic. Sci. 2014, 4, 203–211. [Google Scholar]
- Hawerroth, F.J.; Herter, F.G.; Petri, J.L.; Marafon, A.C.; Leonetti, J.F. Evaluation of winter temperatures on apple budbreak using grafted twigs. Rev. Bras. Frut. 2013, 35, 713–721. [Google Scholar] [CrossRef]
- Pertille, R.H.; Citadin, I.; Patto, L.S.; Oldoni, T.L.C.; Scariotto, S.; Grigolo, C.R.; Lauri, P.-É. High-chilling requirement apple cultivar has more accentuated acrotony than low-chilling one in mild winter region. Trees 2021, 35, 1135–1150. [Google Scholar] [CrossRef]
- Palmer, J.W.; Privé, J.P.; Tustin, D.S. Temperature. In Apples: Botany, Production and Uses; Ferree, D.C., Warrington, I.J., Eds.; CABI Publishing: Wallingford, UK, 2003; pp. 217–236. [Google Scholar]
- Taiz, L.; Zeiger, E.; Møller, I.M.; Murphy, A. Fundamentals of Plant Physiology; Sinauer Associates, Oxford University Press: Sunderland, MA, USA, 2018. [Google Scholar]
- Neilsen, G.; Forge, T.; Angers, D.; Neilsen, D.; Hogue, E. Suitable orchard floor management strategies in organic apple orchards that augment soil organic matter and maintain tree performance. Plant Soil 2014, 378, 325–335. [Google Scholar] [CrossRef]
- Tagliavini, M.; Scandellari, F. Methodologies and concepts in the study of nutrient uptake requirements and partitioning in fruit trees. Acta Hortic. 2013, 984, 47–56. [Google Scholar] [CrossRef]
- Carranca, C. Nitrogen Use Efficiency by Annual and Perennial Crops. In Farming for Food and Water Security. Series: Sustainable Agriculture Reviews; Lichtfouse, E., Ed.; Springer Science+Business Media Dordrecht: Berlin, Germany, 2012; Volume 10, pp. 57–82. [Google Scholar] [CrossRef]
- Grab, S.; Craparo, A. Advance of apple and pear tree full bloom dates in response to climate change in the southwestern Cape, South Africa: 1973–2009. Agric. For. Meteorol. 2011, 151, 406–413. [Google Scholar] [CrossRef]
- Back, A.J.; Gonçalves, F.N.; Fan, F.M. Spatial, seasonal, and temporal variations in rainfall aggressiveness in the south of Brazil. Eng. Agric. 2019, 39, 466–475. [Google Scholar] [CrossRef]
- Denski, A.P.N.; Back, A.J. Tendência climatológica nos elementos meteorológicos e na evapotranspiração de referência de Urussanga-SC. Rev. Bras. Clim. 2015, 17, 262–274. [Google Scholar] [CrossRef]







| Prediction Models | R2 | RMSE | Bias |
|---|---|---|---|
| t ha−1 | |||
| Model 1—crop yield: N concentration in leaves | 0.86 * | 6.96 | −0.59 |
| Model 2—crop yield: N concentration in fruit pulp | 0.78 * | 9.64 | −2.67 |
| Model 3—crop yield: climatic variables | 0.30 * | 16.27 | −3.80 |
| Model 4—crop yield: N concentration in leaves + climatic variables | 0.90 * | 5.62 | −0.50 |
| Model 5—crop yield: N concentration in pulp + climatic variables | 0.84 * | 9.10 | −2.60 |
| Model 6—crop yield: N concentration in leaves and pulp + climate variables | 0.98 * | 0.50 | −0.07 |
| Predictor Variables | Model 1 | Model 2 | Model 3 | Model 4 | Model 5 | Model 6 |
|---|---|---|---|---|---|---|
| Relative Importance (%) | ||||||
| N in leaves | 100 | - | - | 50 | - | 50 |
| N in pulp | - | 100 | - | - | 45 | 50 |
| Minimum air temperature | - | - | 73 | 50 | 50 | 50 |
| Average air temperature | - | - | 0 | 0 | 0 | 0 |
| Maximum air temperature | - | - | 0 | 0 | 0 | 0 |
| Annual rainfall | - | - | 28 | 30 | 25 | 35 |
| Relative humidity | - | - | 0 | 0 | 0 | 0 |
| Chilling units | - | - | 0 | 0 | 0 | 0 |
| Chilling hours ≤ 7.2 °C | - | - | 65 | 50 | 50 | 50 |
Disclaimer/Publisher’s Note: The statements, opinions and data contained in all publications are solely those of the individual author(s) and contributor(s) and not of MDPI and/or the editor(s). MDPI and/or the editor(s) disclaim responsibility for any injury to people or property resulting from any ideas, methods, instructions or products referred to in the content. |
© 2023 by the authors. Licensee MDPI, Basel, Switzerland. This article is an open access article distributed under the terms and conditions of the Creative Commons Attribution (CC BY) license (https://creativecommons.org/licenses/by/4.0/).
Share and Cite
Hahn, L.; Basso, C.; Moura-Bueno, J.M.; Argenta, L.C.; Toselli, M.; Carranca, C.; Rech, M.; Hahn, I.S.; Brunetto, G. Yield Prediction Models for ‘Royal Gala’ and ‘Fuji Suprema’ Apple Varieties Cultivated under a Subtropical Climate. Agronomy 2023, 13, 514. https://doi.org/10.3390/agronomy13020514
Hahn L, Basso C, Moura-Bueno JM, Argenta LC, Toselli M, Carranca C, Rech M, Hahn IS, Brunetto G. Yield Prediction Models for ‘Royal Gala’ and ‘Fuji Suprema’ Apple Varieties Cultivated under a Subtropical Climate. Agronomy. 2023; 13(2):514. https://doi.org/10.3390/agronomy13020514
Chicago/Turabian StyleHahn, Leandro, Clori Basso, Jean M. Moura-Bueno, Luiz Carlos Argenta, Moreno Toselli, Corina Carranca, Matheus Rech, Ivanete Schneider Hahn, and Gustavo Brunetto. 2023. "Yield Prediction Models for ‘Royal Gala’ and ‘Fuji Suprema’ Apple Varieties Cultivated under a Subtropical Climate" Agronomy 13, no. 2: 514. https://doi.org/10.3390/agronomy13020514
APA StyleHahn, L., Basso, C., Moura-Bueno, J. M., Argenta, L. C., Toselli, M., Carranca, C., Rech, M., Hahn, I. S., & Brunetto, G. (2023). Yield Prediction Models for ‘Royal Gala’ and ‘Fuji Suprema’ Apple Varieties Cultivated under a Subtropical Climate. Agronomy, 13(2), 514. https://doi.org/10.3390/agronomy13020514

