Changes in Soil Sulfate Sulfur Content as an Effect of Fertilizer Granules Containing Elemental Sulfur, Halloysite and Phosphate Rock
Abstract
1. Introduction
2. Materials and Methods
2.1. Establishing the Model Incubation Experiment
2.2. Methods of Laboratory Analysis
2.2.1. Soil pH
2.2.2. Available Sulfur and Phosphorus
2.2.3. Dehydrogenase Activity
2.2.4. Properties of Soil Material before Establishing the Experiment
2.3. Statistical Analysis of the Results
3. Results and Discussion
3.1. Value of Soil pH
3.2. Content of Available Sulfur
3.3. Content of Available Phosphorus
3.4. Activity of Dehydrogenase
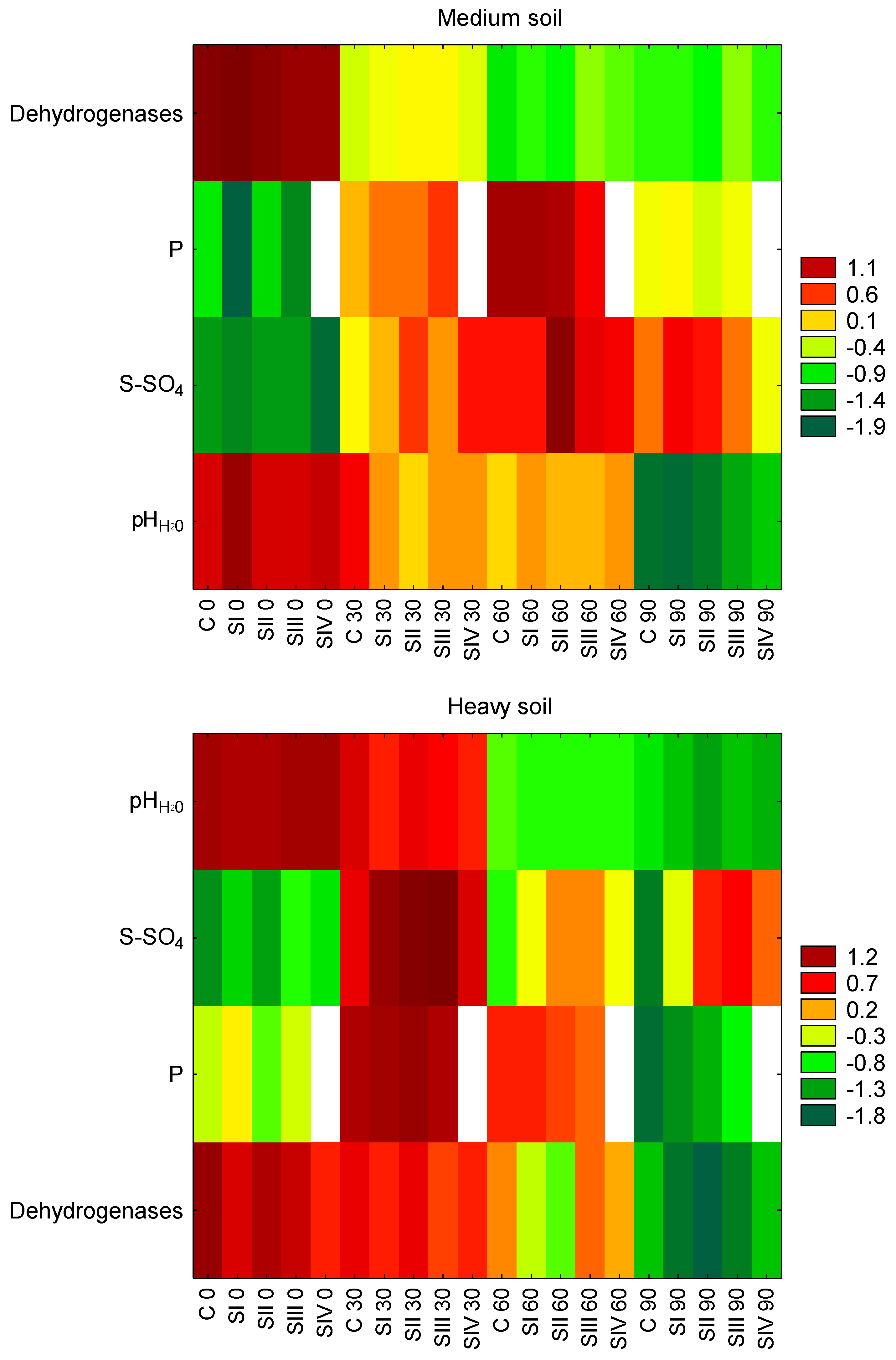
3.5. Relationships between Soil Parameters
4. Conclusions
Author Contributions
Funding
Data Availability Statement
Conflicts of Interest
References
- Prasad, R. Major sulphur compounds in plants and their role in human nutrition and health—An overview. Proc. Indian Natl. Sci. Acad. 2014, 80, 1045–1054. [Google Scholar] [CrossRef]
- Crespo, C.; Wyngaard, N.; Sainz Rozas, H.; Barbagelata, P.; Barraco, M.; Gudelj, V.; Barbieri, P. Improving soil organic nitrogen and sulfur pools by cover cropping and crop fertilization in soybean-based cropping systems. Soil Tillage Res. 2021, 213, 105138. [Google Scholar] [CrossRef]
- Santana, M.M.; Dias, T.; Gonzalez, J.M.; Cruz, C. Transformation of organic and inorganic sulfur—Adding perspectives to new players in soil and rhizosphere. Soil Biol. Biochem. 2021, 160, 108306. [Google Scholar] [CrossRef]
- Lal, R. Restoring soil quality to mitigate soil degradation. Sustainability 2015, 7, 5875–5895. [Google Scholar] [CrossRef]
- Fuentes-Lara, L.O.; Medrano-Macías, J.; Pérez-Labrada, F.; Rivas-Martínez, E.N.; García-Enciso, E.L.; González-Morales, S.; Juárez-Maldonado, A.; Rincón-Sánchez, F.; Benavides-Mendoza, A. From elemental sulfur to hydrogen sulfide in agricultural soils and plants. Molecules 2019, 24, 2282. [Google Scholar] [CrossRef]
- Baikhamurova, M.O.; Sainova, G.A.; Akbasova, A.D.; Anarbekova, G.D.; Ozler, M.A. The influence of the mixture of vermicompost and sulphur-perlite-containing waste on the yield and the quality of crops. J. Water Land Dev. 2021, 49, 213–218. [Google Scholar] [CrossRef]
- Kulczycki, G. The effect of elemental sulfur fertilization on plant yields and soil properties. Adv. Agron. 2021, 167, 105–181. [Google Scholar] [CrossRef]
- Marcinkowska, M.A.; Jeleń, H.H. Role of sulfur compounds in vegetable and mushroom aroma. Molecules 2022, 27, 6116. [Google Scholar] [CrossRef]
- Olson, R. Is Sulphur the Missing Ingredient? TSI Review. The Sulphur Institute. 2021. Available online: https://www.sulphurinstitute.org/pub/?id=BE62AA02-1866-DAAC-99FB-4AE5712BF1C7 (accessed on 18 February 2023).
- Liana, E.; Kolanek, A.; Pobudejski, M.; Miszuk, B.; Rawa, W. Monitoring Chemizmu Opadów Atmosferycznych i Ocena Depozycji Zanieczyszczeń do Podłoża w Latach 2021–2022; Raport Roczny z Badań Monitoringowych; IMGW-PIB: Warszawa, Poland, 2022; p. 493. [Google Scholar]
- National Atmospheric Deposition Program. National Atmospheric Deposition Program, 2021 Annual Summary; Wisconsin State Laboratory of Hygiene, University of Wisconsin-Madison: Madison, WI, USA, 2021; p. 28. Available online: https://nadp.slh.wisc.edu/wp-content/uploads/2022/11/2021as.pdf (accessed on 18 February 2023).
- Zhao, F.J.; McGrath, S.P.; Blake-Kalff, M.M.A.; Link, A.; Tucker, M. Crop Responses to Sulphur Fertilisation in Europe; International Fertiliser Society: Colchester, UK, 2002. [Google Scholar]
- Engardt, M.; Simpson, D.; Schwikowski, M.; Granat, L. Deposition of sulphur and nitrogen in Europe 1900-2050. Model calculations and comparison to historical observations. Tellus B Chem. Phys. Meteorol. 2017, 69, 1328945. [Google Scholar] [CrossRef]
- Singh, S.; Sarkar, D.; Mehjabeen; Bhudevi, M.; Rakesh, S.; Singh, R.K.; Kar, S.; Rakshit, A. Advanced forms of sulphur formulations for improving use efficiency in crop species. Annu. Res. Rev. Biol. 2018, 27, 1–14. [Google Scholar] [CrossRef]
- Hinckley, E.L.S.; Crawford, J.T.; Fakhraei, H.; Driscoll, C.T. A shift in sulfur-cycle manipulation from atmospheric emissions to agricultural additions. Nat. Geosci. 2020, 13, 597–604. [Google Scholar] [CrossRef]
- The Sulphur Institute. Learn More About Sulphur. 2023. Available online: https://go.nature.com/32OHX87 (accessed on 18 February 2023).
- Johnston, F.; McAmish, L. A study of the rates of sulfur production in acid thiosulfate solutions using S-35. J. Colloid Interface Sci. 1973, 42, 112–119. [Google Scholar] [CrossRef]
- Degryse, F.; Ajiboye, B.; Baird, R.; da Silva, R.C.; McLaughlin, M.J. Oxidation of elemental sulfur in granular fertilizers depends on the soil-exposed surface area. Soil Sci. Soc. Am. J. 2016, 80, 294–305. [Google Scholar] [CrossRef]
- Analiza Chemiczno-Rolnicza Gleby—Pobieranie Próbek. Opracowana na Podstawie PN-R-04031:1997. Available online: http://oschr-bydgoszcz.pl/Dokumenty/Instrukcja%20pobierania%20probek%20glebowych.pdf (accessed on 16 February 2023).
- Kabata-Pendias, A.; Piotrowska, M.; Motowicka-Terelak, T.; Maliszewska-Kordybach, B.; Filipiak, K.; Krakowiak, A.; Pietruch, C. Podstawy Oceny Chemicznego Zanieczyszczenia Gleb. Metale Ciężkie, Siarka i WWA. Biblioteka Monitoringu Środowiska; PIOŚ, IUNG: Warszawa, Poland, 1995; p. 41. [Google Scholar]
- Ostrowska, A.; Gawliński, S.; Szczubiałka, Z. Metody Analizy i Oceny Właściwości Gleb i Roślin: Katalog; Instytut Ochrony Środowiska: Warszawa, Poland, 1991. [Google Scholar]
- Mehlich, A. Mehlich 3 soil test extractant: A modification of Mehlich 2 extractant. Commun. Soil Sci. Plant Anal. 1984, 15, 1409–1416. [Google Scholar] [CrossRef]
- Thalmann, A. Methods of dehydrogenase activity determination with triphenyltetrazoliumchlorid (TTC). Landwirtsch. Forsch. 1968, 21, 249–258. [Google Scholar]
- Warzyński, H.; Sosnowska, A.; Harasimiuk, A. Effect of variable content of organic matter and carbonates on results of determination of granulometric composition by means of Casagrande’s areometric method in modification by Prószyński. Soil Sci. Annu. 2018, 69, 39–48. [Google Scholar] [CrossRef]
- Operating Instructions Vario MAX Cube Analyzer. Elementar Analysensysteme GmbH; Version 12.11.2013; Mechanical Engineer: Langenselbold, Germany, 2013. [Google Scholar]
- Karimizarchi, M.; Aminuddin, H.; Khanif, M.Y.; Radziah, O. Effect of elemental sulphur timing and application rates on soil P release and concentration in maize. Pertanika J. Trop. Agric. Sci. 2016, 39, 235–248. [Google Scholar] [CrossRef]
- Jaggi, R.C.; Aulakh, M.S.; Sharma, A.R. Impacts of elemental S applied under various temperature and moisture regimes on pH and available P in acidic, neutral and alkaline soils. Biol. Fertil. Soils 2005, 41, 52–58. [Google Scholar] [CrossRef]
- Ye, R.; Wright, A.L.; McCray, J.M. Seasonal changes in nutrient availability for sulfur-amended everglades soils under sugarcane. J. Plant Nutr. 2011, 34, 2095–2113. [Google Scholar] [CrossRef]
- Deubel, A.; Braune, H.; Tanneberg, H.; Merbach, W. Conversion and acidifying effect of elemental sulphur in an alkaline loess soil. Arch. Agron. Soil Sci. 2007, 53, 161–171. [Google Scholar] [CrossRef]
- Modaihsh, A.S.; Al-Mustafa, W.A.; Metwally, A.I. Effect of elemental sulphur on chemical changes and nutrient availability in calcareous soils. Plant Soil 1989, 116, 95–101. [Google Scholar] [CrossRef]
- Aulakh, M.S.; Jaggi, R.C.; Sharma, R. Mineralization-immobilization of soil organic S and oxidation of elemental S in subtropical soils under flooded and nonflooded conditions. Biol. Fertil. Soils 2002, 35, 197–203. [Google Scholar] [CrossRef]
- Wen, G.; Schoenau, J.J.; Yamamoto, T.; Inoue, M. A model of oxidation of an elemental sulfur fertilizer in soil. Soil Sci. 2001, 166, 607–613. [Google Scholar] [CrossRef]
- Degryse, F.; da Silva, R.C.; Baird, R.; Beyrer, T.; Below, F.; McLaughlin, M.J. Uptake of elemental or sulfate-S from fall- or spring-applied co-granulated fertilizer by corn—A stable isotope and modeling study. Field Crops Res. 2018, 221, 322–332. [Google Scholar] [CrossRef]
- Malik, K.M.; Khan, K.S.; Billah, M.; Akhtar, M.S.; Rukh, S.; Alam, S.; Munir, A.; Mahmood Aulakh, A.; Rahim, M.; Qaisrani, M.M.; et al. Organic amendments and elemental sulfur stimulate microbial biomass and sulfur oxidation in alkaline subtropical soils. Agronomy 2021, 11, 2514. [Google Scholar] [CrossRef]
- Jaggi, A.C.; Aulakh, M.S.; Sharma, R. Temperature effects on soil organic sulphur mineralization and elemental sulphur oxidation in subtropical soils of varying pH. Nutr. Cycl. Agroecosyst. 1999, 54, 175–182. [Google Scholar] [CrossRef]
- Kertesz, M.A.; Mirleau, P. The role of soil microbes in plant sulphur nutrition. J. Exp. Bot. 2004, 55, 1939–1945. [Google Scholar] [CrossRef]
- Lawrence, J.R.; Germida, J.J. Relationship between microbial biomass and elemental sulfur oxidation in agricultural soils. Soil Sci. Soc. Am. J. 1988, 52, 672–677. [Google Scholar] [CrossRef]
- Tabak, M.; Lisowska, A.; Filipek-Mazur, B. Bioavailability of sulfur from waste obtained during biogas desulfurization and the effect of sulfur on soil acidity and biological activity. Processes 2020, 8, 863. [Google Scholar] [CrossRef]
- Lucheta, A.R.; Lambais, M.R. Sulfur in agriculture. Rev. Bras. Ciênc. Solo 2012, 36, 1369–1379. [Google Scholar] [CrossRef]
- Fawzi, M.A. Rate of elemental sulfur oxidation in some soils of Egypt as affected by the salinity level, moisture, texture, temperature and inoculation. Beitr. Trop. Landwirtsch. Veterinarmed. 1976, 14, 179–185. [Google Scholar]
- Germida, J.J.; Janzen, H.H. Factors affecting the oxidation of elemental sulfur in soils. Fertil. Res. 1993, 35, 101–114. [Google Scholar] [CrossRef]
- Harahuc, L.; Lizama, H.M.; Suzuki, I. Selective inhibition of the oxidation of ferrous iron or sulfur in Thiobacillus ferrooxidans. Appl. Environ. Microbiol. 2000, 66, 1031–1037. [Google Scholar] [CrossRef]
- Lettl, A.; Langkramer, O.; Lochman, V. Some factors influencing production of sulphate by oxidation of elemental sulphur and thiosulphate in upper horizons of spruce forest soils. Folia Microbiol. 1981, 26, 158–163. [Google Scholar] [CrossRef]
- Islam, M.D.; Akmal, M.; Khan, M.A. Effect of phosphorus and sulphur application on soil nutrient balance under chickpea (Cicer arietinum) monocropping. Rom. Agric. Res. 2013, 30, 223–232. [Google Scholar]
- Pasricha, N.S.; Baddesha, H.S.; Aulakh, M.S.; Nayyar, V.K. The zinc quantity-intensity relationships in four different soils as influenced by phosphorus. Soil Sci. 1987, 143, 1–4. [Google Scholar] [CrossRef]
- Fageria, N.K.; Baligar, V.C. Ameliorating soil acidity of tropical oxisols by liming for sustainable crop production. Adv. Agron. 2008, 99, 345–399. [Google Scholar] [CrossRef]
- Abdelazeem, S.A.E.M.; Al-Werwary, S.M.; Mehana, T.A.E.; El-Hamahmy, M.A.; Kalaji, H.M.; Rastogi, A.; Elsheery, N.I. Use of plant growth-promoting rhizobacteria isolates as a potential biofertiliser for wheat. J. Water Land Dev. 2022, 99–111. [Google Scholar] [CrossRef]
- Vig, A.C.; Bahl, G.S.; Chand, M. Phosphorus—Its transformation and management under rice-wheat system. Fert. News 1999, 44, 33–46. [Google Scholar]
- Lisowska, A.; Filipek-Mazur, B.; Komorowska, M.; Niemiec, M.; Bar-Michalczyk, D.; Kuboń, M.; Tabor, S.; Gródek-Szostak, Z.; Szeląg-Sikora, A.; Sikora, J.; et al. Environmental and production aspects of using fertilizers based on waste elemental sulfur and organic materials. Materials 2022, 15, 3387. [Google Scholar] [CrossRef]
- Mierzwa-Hersztek, M.; Wolny-Koładka, K.; Gondek, K.; Gałązka, A.; Gawryjołek, K. Effect of coapplication of biochar and nutrients on microbiocenotic composition, dehydrogenase activity index and chemical properties of sandy soil. Waste Biomass Valor. 2020, 11, 3911–3923. [Google Scholar] [CrossRef]
- Hammerschmiedt, T.; Holatko, J.; Huska, D.; Kintl, A.; Skarpa, P.; Bytesnikova, Z.; Pekarkova, J.; Kucerik, J.; Mustafa, A.; Radziemska, M.; et al. Impact of smart combinations of graphene oxide and micro/nanosized sulfur particles on soil health and plant biomass accumulation. Chem. Biol. Technol. Agric. 2022, 9, 53. [Google Scholar] [CrossRef]
- Filipek-Mazur, B.; Gorczyca, O.; Tabak, M. The effect of sulphur-containing fertilizers on soil biological properties. Water Environ. Rural Areas 2017, 17, 69–81. [Google Scholar]
- Gupta, V.V.S.R.; Lawrence, J.R.; Germida, J.J. Impact of elemental sulfur fertilization on agricultural soils. I. Effects on microbial biomass and enzyme activities. Can. J. Soil Sci. 1988, 68, 463–473. [Google Scholar] [CrossRef]
- Cooper, J.M.; Warman, P.R. Effects of three fertility amendments on soil dehydrogenase activity, organic C and pH. Can. J. Soil Sci. 1997, 77, 281–283. [Google Scholar] [CrossRef]
- Bielińska, E.J.; Futa, B.; Mocek-Płóciniak, A. Soil Enzymes as Bio-Indicators of Soil Health and Quality; Towarzystwo Wydawnictw Naukowych Libropolis: Lublin, Poland, 2014; p. 107. [Google Scholar]
- Wang, B.; Adachi, Y.; Sugiyama, S. Soil productivity and structure of bacterial and fungal communities in unfertilized arable soil. PLoS ONE 2018, 13, e0204085. [Google Scholar] [CrossRef]
- Mocek-Płóciniak, A. Utilisation of enzymatic activity for the evaluation of the impact of anthropogenic changes caused by heavy metals in soil environment. Nauka Przyr. Technol. Uniw. Przyr. W Pozn. 2010, 4, 86. [Google Scholar]
- Frankenberger, W.T.; Dick, W.A. Relationships between enzyme activities and microbial growth and activity indices in soil. Soil Sci. Soc. Am. J. 1983, 47, 945. [Google Scholar] [CrossRef]
- Goyal, S.; Mishra, M.M.; Dhankar, S.S.; Kapoor, K.K.; Batra, R. Microbial biomass turnover and enzyme activities following the application of farmyard manure to field soils with and without previous long-term applications. Biol. Fertil. Soils 1993, 15, 60–64. [Google Scholar] [CrossRef]
- Jośko, I.; Oleszczuk, P.; Futa., B. The efect of inorganic nanoparticles (ZnO, Cr2O3, CuO and Ni) and their bulk counterparts on enzyme activities in diferent soils. Geoderma 2014, 232, 528–537. [Google Scholar] [CrossRef]
- Różyło, K.; Bohacz, J. Microbial and enzyme analysis of soil after the agricultural utilization of biogas digestate and mineral mining waste. Int. J. Environ. Sci. Technol. 2019, 17, 1051–1062. [Google Scholar] [CrossRef]
- Brzezińska, M.; Stępniewska, Z.; Stępniewski, W. Soil oxygen status and dehydrogenase activity. Soil Biol. Biochem. 1998, 30, 1783–1790. [Google Scholar] [CrossRef]
- Ros, M. Soil microbial activity after restoration of a semiarid soil by organic amendments. Soil Biol. Biochem. 2003, 35, 463–469. [Google Scholar] [CrossRef]
- Ross, D.J. Some factors influencing the estimation of dehydrogenase activities of some soils under pasture. Soil Biol. Biochem. 1971, 3, 97–110. [Google Scholar] [CrossRef]
- Garcıa-Gil, J.C.; Plaza, C.; Soler-Rovira, P.; Polo, A. Long-term effects of municipal solid waste compost application on soil enzyme activities and microbial biomass. Soil Biol. Biochem. 2000, 32, 1907–1913. [Google Scholar] [CrossRef]






| Soil | Soil Texture, % | Maximum Water Capacity, % | pH | Hydrolytic Acidity, mmol (+) kg−1 d.m. | ||||
|---|---|---|---|---|---|---|---|---|
| 1–0.1 | 0.1–0.02 | <0.02 | ||||||
| mm | KCl | H2O | ||||||
| Medium | 45 | 32 | 23 | 34.1 | 5.30 | 6.16 | 13.9 | |
| Heavy | 9 | 47 | 44 | 40.6 | 5.60 | 6.36 | 32.6 | |
| Elements | ||||||||
| Available, mg kg−1 d.m. | Total, g kg−1 d.m. | |||||||
| S | P | N | C | S | ||||
| Medium | 9.85 | 98.1 | 1.22 | 11.5 | 0.17 | |||
| Heavy | 17.90 | 151 | 1.68 | 17.8 | 0.23 | |||
| No. | Abbreviation | Experimental Treatment |
|---|---|---|
| 1 | C | Control soil (without additions) |
| 2 | SI | Soil with the addition of fertilizer granulate I: 99.9% elemental sulfur |
| 3 | SII | Soil with the addition of fertilizer granulate II: 75% elemental sulfur + halloysite + phosphate rock powder |
| 4 | SIII | Soil with the addition of fertilizer granulate III: 85% elemental sulfur + halloysite + phosphate rock powder |
| 5 | SIV | Soil with the addition of fertilizer granulate IV: 89% elemental sulfur + halloysite |
| Treatment * | Number of Incubation Days | |||
|---|---|---|---|---|
| 0 | 30 | 60 | 90 | |
| C | 6.17 ef ** | 6.16 e | 6.13 d | 6.04 a |
| SI | 6.19 f | 6.14 d | 6.13 d | 6.04 a |
| SII | 6.17 ef | 6.13 d | 6.13 d | 6.05 ab |
| SIII | 6.17 ef | 6.14 d | 6.13 d | 6.06 bc |
| SIV | 6.17 ef | 6.14 d | 6.14 d | 6.07 c |
| Treatment * | Number of Incubation Days | |||
|---|---|---|---|---|
| 0 | 30 | 60 | 90 | |
| C | 6.33 f ** | 6.28 e | 6.06 d | 6.02 c |
| SI | 6.32 f | 6.24 e | 6.06 d | 6.00 b |
| SII | 6.33 f | 6.26 e | 6.05 d | 5.97 a |
| SIII | 6.34 f | 6.25 e | 6.06 d | 5.99 b |
| SIV | 6.33 f | 6.24 e | 6.05 d | 5.98 ab |
| Treatment * | Number of Incubation Days | |||
|---|---|---|---|---|
| 0 | 30 | 60 | 90 | |
| C | 9.63 a ** ± 0.75 | 16.26 bc ± 2.08 | 19.73 def ± 1.97 | 18.27 bcdef ± 0.56 |
| SI | 9.36 a ± 0.64 | 17.22 bcd ± 0.84 | 19.81 def ± 1.67 | 20.16 ef ± 2.04 |
| SII | 9.92 a ± 0.67 | 19.02 cdef ± 0.62 | 24.23 g ± 0.78 | 19.52 def ± 1.98 |
| SIII | 9.86 a ± 0.89 | 17.75 bcde ± 0.67 | 20.83 f ± 3.18 | 18.10 bcde ± 1.88 |
| SIV | 7.79 a ± 1.62 | 19.50 def ± 0.79 | 20.02 def ± 1.09 | 16.11 b ± 1.43 |
| Treatment * | Number of Incubation Days | |||
|---|---|---|---|---|
| 0 | 30 | 60 | 90 | |
| C | 17.40 a ** ± 2.25 | 25.37 def ± 1.06 | 19.97 ab ± 0.97 | 17.16 a ± 2.70 |
| SI | 18.86 ab ± 1.43 | 27.47 fg ± 0.82 | 22.18 bcde ± 2.52 | 21.82 bcd ± 3.55 |
| SII | 17.74 a ± 1.87 | 28.83 g ± 1.71 | 23.63 de ± 1.03 | 24.52 def ± 1.60 |
| SIII | 19.94 abc ± 2.37 | 28.93 g ± 1.83 | 23.50 cde ± 2.45 | 24.92 def ± 1.92 |
| SIV | 19.04 ab ± 2.09 | 25.63 efg ± 0.48 | 22.23 bcde ± 0.80 | 23.96 def ± 1.96 |
| Treatment * | Number of Incubation Days | |||
|---|---|---|---|---|
| 0 | 30 | 60 | 90 | |
| C | 97.4 b ** ± 4.6 | 119.1 cde ± 3.3 | 141.6 g ± 5.1 | 112.8 cd ± 10.1 |
| SI | 79.3 a ± 0.7 | 122.5 def ± 7.4 | 140.9 g ± 4.1 | 114.5 cd ± 1.7 |
| SII | 96.5 b ± 10.6 | 123.0 def ± 1.6 | 139.4 g ± 2.2 | 109.9 c ± 2.5 |
| SIII | 88.3 ab ± 5.2 | 127.1 ef ± 3.3 | 130.0 f ± 6.4 | 114.0 cd ± 7.0 |
| SIV | 97.4 b ± 4.6 | 119.1 cde ± 3.3 | 141.6 g ± 5.1 | 112.8 cd ± 10.1 |
| Treatment * | Number of Incubation Days | |||
|---|---|---|---|---|
| 0 | 30 | 60 | 90 | |
| C | 147.6 de ** ± 1.0 | 178.6 h ± 2.7 | 167.0 fgh ± 1.9 | 122.9 a ± 8.3 |
| SI | 155.0 ef ± 11.3 | 179.1 h ± 7.2 | 166.8 fgh ± 3.8 | 129.3 ab ± 10.2 |
| SII | 144.4 cde ± 15.6 | 180.7 h ± 2.0 | 164.4 fg ± 3.1 | 131.9 abc ± 13.7 |
| SIII | 149.6 de ± 7.2 | 177.0 gh ± 3.8 | 163.1 fg ± 1.2 | 140.6 bcd ± 4.0 |
| SIV | 147.6 de ** ± 1.0 | 178.6 h ± 2.7 | 167.0 fgh ± 1.9 | 122.9 a ± 8.3 |
| Treatment * | Number of Incubation Days | |||
|---|---|---|---|---|
| 0 | 30 | 60 | 90 | |
| C | 4.37 g ** ± 0.16 | 1.63 bcdef ± 0.11 | 0.96 a ± 0.17 | 1.24 ab ± 0.11 |
| SI | 4.50 g ± 0.22 | 1.99 def ± 0.18 | 1.21 ab ± 0.11 | 1.16 ab ± 0.03 |
| SII | 4.30 g ± 0.79 | 2.05 ef ± 0.15 | 1.00 ab ± 0.05 | 1.07 ab ± 0.11 |
| SIII | 3.94 g ± 0.56 | 2.13 f ± 0.11 | 1.41 abcd ± 0.04 | 1.49 abcde ± 0.03 |
| SIV | 3.95 g ± 0.04 | 1.87 cdef ± 0.08 | 1.31 abc ± 0.07 | 1.18 ab ± 0.07 |
| Treatment * | Number of Incubation Days | |||
|---|---|---|---|---|
| 0 | 30 | 60 | 90 | |
| C | 9.53 i ** ± 0.73 | 8.30 efghi ± 0.70 | 7.02 ef ± 1.21 | 3.88 bc ± 0.46 |
| SI | 8.47 fghi ± 0.27 | 7.76 efgh ± 0.42 | 5.36 d ± 0.86 | 2.70 ab ± 0.21 |
| SII | 9.15 hi ± 0.54 | 8.14 efghi ± 0.54 | 5.12 cd ± 0.89 | 2.15 a ± 0.28 |
| SIII | 8.68 ghi ± 0.35 | 7.58 efg ± 0.26 | 7.27 efg ± 0.19 | 2.93 ab ± 0.22 |
| SIV | 7.68 efg ± 0.74 | 7.66 efg ± 0.28 | 6.81 e ± 0.11 | 3.92 bc ± 0.26 |
| Traits | Medium Soil | |||
|---|---|---|---|---|
| pHH2O | S-SO4 | P | Dehydrogenase | |
| pHH2O | 1 | |||
| S-SO4 | –0.5688 * | 1 | ||
| P | –0.2613 | 0.8654 *** | 1 | |
| Dehydrogenase | 0.7061 ** | –0.9279 *** | –0.8211 *** | 1 |
| Heavy soil | ||||
| Traits | pHH2O | S-SO4 | P | Dehydrogenase |
| pHH2O | 1 | |||
| S-SO4 | –0.1307 | 1 | ||
| P | 0.4066 | 0.6148 * | 1 | |
| Dehydrogenase | 0.8872 *** | –0.1192 | 0.5721 * | 1 |
| Soil Type | Regression Equations for S-SO4 (y) | R2 | R2adj. | Se | p | AIC | BIC |
|---|---|---|---|---|---|---|---|
| Medium | y = 24.0073 − 3.3221 ∗ Dehydrogenase | 0.9027 | 0.8957 | 1.8248 | 0.0001 | 63.4801 | 66.5704 |
| Heavy | y = −132.2219 + 21.6746 ∗ pHH2O + 0.2342 ∗ P—2.3467 ∗ Dehydrogenase | 0.7793 | 0.7241 | 2.1376 | 0.0003 | 73.4662 | 77.3292 |
Disclaimer/Publisher’s Note: The statements, opinions and data contained in all publications are solely those of the individual author(s) and contributor(s) and not of MDPI and/or the editor(s). MDPI and/or the editor(s) disclaim responsibility for any injury to people or property resulting from any ideas, methods, instructions or products referred to in the content. |
© 2023 by the authors. Licensee MDPI, Basel, Switzerland. This article is an open access article distributed under the terms and conditions of the Creative Commons Attribution (CC BY) license (https://creativecommons.org/licenses/by/4.0/).
Share and Cite
Lisowska, A.; Filipek-Mazur, B.; Kalisz, A.; Gorczyca, O.; Kowalczyk, A. Changes in Soil Sulfate Sulfur Content as an Effect of Fertilizer Granules Containing Elemental Sulfur, Halloysite and Phosphate Rock. Agronomy 2023, 13, 1410. https://doi.org/10.3390/agronomy13051410
Lisowska A, Filipek-Mazur B, Kalisz A, Gorczyca O, Kowalczyk A. Changes in Soil Sulfate Sulfur Content as an Effect of Fertilizer Granules Containing Elemental Sulfur, Halloysite and Phosphate Rock. Agronomy. 2023; 13(5):1410. https://doi.org/10.3390/agronomy13051410
Chicago/Turabian StyleLisowska, Aneta, Barbara Filipek-Mazur, Andrzej Kalisz, Olga Gorczyca, and Agnieszka Kowalczyk. 2023. "Changes in Soil Sulfate Sulfur Content as an Effect of Fertilizer Granules Containing Elemental Sulfur, Halloysite and Phosphate Rock" Agronomy 13, no. 5: 1410. https://doi.org/10.3390/agronomy13051410
APA StyleLisowska, A., Filipek-Mazur, B., Kalisz, A., Gorczyca, O., & Kowalczyk, A. (2023). Changes in Soil Sulfate Sulfur Content as an Effect of Fertilizer Granules Containing Elemental Sulfur, Halloysite and Phosphate Rock. Agronomy, 13(5), 1410. https://doi.org/10.3390/agronomy13051410

