Next Article in Journal
Genetics and Environmental Factors Associated with Resistance to Fusarium graminearum, the Causal Agent of Gibberella Ear Rot in Maize
Previous Article in Journal
Developing Plant-Growth-Promoting Rhizobacteria: A Crucial Approach for Achieving Sustainable Agriculture
 
 
Font Type:
Arial Georgia Verdana
Font Size:
Aa Aa Aa
Line Spacing:
Column Width:
Background:
Article

Grain Yield of Maize Crops under Nitrogen Fertigation Using Wastewater from Swine and Fish Farming

by
Daniely Karen Matias Alves
,
Marconi Batista Teixeira
,
Fernando Nobre Cunha
*,
Fernando Rodrigues Cabral Filho
,
Gabriela Nobre Cunha
and
Christiano Lima Lobo de Andrade
Department of Irrigation and Hydraulics, Federal Institute of Education, Science and Technology Goiano, Rio Verde 75909-120, GO, Brazil
*
Author to whom correspondence should be addressed.
Agronomy 2023, 13(7), 1834; https://doi.org/10.3390/agronomy13071834
Submission received: 5 June 2023 / Revised: 29 June 2023 / Accepted: 5 July 2023 / Published: 11 July 2023

Abstract

Maize is one of the most important cereals in the world. It is a crop demanding in nitrogen. Therefore, alternative sources of fertilization bring agronomic, environmental and economic benefits. The objective of this study was to evaluate the biomass and productivity of maize fertigated with wastewater from swine and fish farming in different dilutions. The soil used is classified as Dystroferric Red Latosol, Cerrado phase, with clayey texture. The experimental design used was randomized blocks in 2 × 4 split plots with three replications. The treatments consisted of two sources of wastewater (fish farming and swine farming) diluted with the recommended dose of wastewater + 0, 25, 50 and 75% of its volume in water. The accumulation of dry mass (leaf, stalk and aerial parts) was evaluated at 30, 60, 90 and 110 days after sowing. The evaluation of yield variables (number of grain rows, number of grains per row, grain sizes, grain dry weight, gran yield and harvest index) occurred at 130 days after sowing. The largest accumulation of dry biomass at the end of the maize cycle and evaluated productivity variables were obtained with the application of swine farming wastewater. Wastewater from fish farming applied via an irrigation system without dilution (0%) is the most suitable for obtaining the productivity of corn grains. The two sources of wastewater have the potential to partially replace mineral nitrogen fertilizer in maize.

1. Introduction

Maize crops are part of a highly important socioeconomic production chain of the agribusiness in Brazil [1]. The total maize production in Brazil was 127 million Mg in the 2022–2023 crop season, with a mean yield of 5309 kg ha−1 [2]. The importance of this cereal is associated with its versatility, as it can be used for the production of animal feed and high-technology industrial products [3], has high energy value and can be used as food [4].
Maize yield and quality are affected positively by the application of nitrogen (N) fertilizer, which results in increases in the number of grains per ear and protein and mineral nutrient contents [5,6]. Nitrogen is the most required nutrient by maize crops and the one that most limits grain yield since it has important functions in biochemical processes of plants; is a constituent of proteins, enzymes, coenzymes, nucleic acids, phytochromes and chlorophyll; and acts in cell division and expansion processes [7].
The main source of N for plants is the soil, and organic matter is a soil fraction rich in this nutrient. However, adding N to soil in maize production systems is needed to meet the nutritional demands of maize crops and replace the N exported by the harvest of grains [3], which is mainly carried out using mineral nitrogen fertilizers.
Many nutrients needed for the plant development are found in considerable levels in wastewaters from animal origin, especially from swine and fish farming and from plant origins, such as residues from the sugar-alcohol sector (vinasse) [8]. The application of wastewater as a source of nitrogen is one of the alternatives for decreasing the consumption of mineral fertilizers for maize and other crops.
The application of wastewater provides nutrients to the soil, such as nitrogen, phosphorus, potassium, calcium and magnesium, which are essential for the growth, development and yield of several crops [9]. The reuse of effluents from swine and fish farming in arable areas via fertigation is feasible to significantly increase productivity parameters, confirmed by several scientific studies around the world [10,11,12,13].
In many countries, legislation on reuse is non-existent, very lenient or restrictive, and there is a lack of studies that show what are the safe rates of application for each crop and what are the real damages that each contaminant can cause to the soil–water–plant system [14,15]. Thus, it is of fundamental importance that water intended for reuse in irrigation meets the recommendations of the World Health Organization for microbiological quality [16].
Therefore, when using wastewater, proper management must be carried out during its application, monitoring fertirrigation to minimize the risks of contamination of the soil/groundwater via leaching, in order to keep the nutrients from these wastes in the soil layers exploited by the root system, ensuring the availability and absorption of nutrients necessary for the full development and grain productivity of maize plants.
Thus, the application of wastewater in agricultural areas is a viable alternative for final disposal from an environmental, agricultural and economic point of view, as it avoids the inappropriate disposal of effluent into water resources, contributes to gains in productivity through the contribution and recycling of nutrients from wastewater and reduces costs with the acquisition and application of mineral fertilizers for crops. Based on the hypothesis that the concentrations wastewater from swine and fish (dilution rates in public water) influence the growth, development and yield of maize.
In this context, the objective of this work was to evaluate and compare the effects of fertigation with wastewaters from swine and fish farming at different dilution rates on grain yield of maize crops.

2. Materials and Methods

The experiment was carried under field conditions out at the experimental station of the Federal Institute Goiano (IFGoiano) in Rio Verde, GO, Brazil (17°48′28″ S and 50°53′57″ W, and 720 m of altitude). The region presents an Aw, tropical climate [17], with a rainy season from October to May and a dry season from June to September.
The mean annual temperatures in the region vary from 20 to 35 °C; the mean annual rainfall depths vary from 1500 to 1800 mm; and the relief is slightly wavy (6% slope). Rainfall (mm), air temperature (°C) and air moisture (%) recorded in the months of corn cultivation during the 2019–2020 growing season were as follows: January (267.30 mm, 22.5 °C and 81%); February (241.20 mm, 23.7 °C and 78%); March (182.30 mm, 23.1 °C and 76%); and April (96 mm, 22.5 °C and 70%). Data were collected by a meteorological station installed in the experiment area. The soil in this region is classified as Dystroferric Red Latosol of clayey texture according to the Brazilian Soil Classification System [18], as Oxisol (Rhodic Haplustox) according to the USDA soil taxonomy [19] and as Ferralsol according to WRB/FAO [20]. We analyzed the soil physical and chemical characteristics [18], and the results are shown in Table 1.
The soil density and soil porosity at a depth of 0.20 was 1.27 g cm−3 and 0.55 cm3 cm−3.
A randomized block experimental design was use, in a 2 × 4 split-plot arrangement with three replications. The treatments consisted of the application of two wastewater sources (swine and fish farming) at four concentrations (dilution rates in public water): the recommended rate [21] wastewater + public water at 0%, 25%, 50% and 75% of its volume, totaling 24 experimental plots.
Each plot consisted of 8.0 rows of 4.0 m in length with 0.45 m spacing between rows. Hybrid maize 2A401PW was used for planting.
For treatments using fertigation with wastewater sources, the subsurface drip irrigation method was used. The drip line was installed at 0.20 m below ground and had the following characteristics: 16,150 PC Dripnet model with thin wall, working pressure of 1 bar, nominal flow rate of 1.0 L h−1 and drip spacing of 0.50 m.
Swine farming wastewater came from a finishing swine farm, and fish farming wastewater was obtained from a fish farming tank for the production of tilapia (Oreochromis niloticus). The wastewaters used for fertigation were subjected to physical and chemical characterization, according to methodologies described in the Standard Methods for Examination of Water and Wastewater [22], and the results are shown in Table 2.
To determine the wastewater dose necessary for maize fertigation, the methodology recommended by [23] was used, which considers the demand for nitrogen (N) by the plant, the amount of N present in the adopted soil and the concentration of N provided by wastewater (Equation (1)).
D A R = 1000 × [ N a b s T m 1 × M . O × p s × P × 10 7 × 0.05 × n 12 ] T m 2 × n 12 × N o r g + ( N a m o n + N n i t r a t o ) × P R
where
  • DAR—wastewater dose to be applied (m3 ha−1);
  • Nabs—N absorption to obtain the desired productivity (kg ha−1);
  • Tm1—annual rate of mineralization of organic matter already existing in the soil (dimensionless);
  • M.O—soil organic matter content (kg kg−1);
  • ρs—soil density (t m−3);
  • P—soil depth considered (m);
  • n—duration of the crop cycle;
  • Tm2—organic nitrogen mineralization rate (dimensionless);
  • Norg—organic nitrogen (mg L−1);
  • Namon—ammoniacal nitrogen (mg L−1);
  • Nnitrate—nitric nitrogen (mg L−1);
  • PR—recovery of mineral N by culture (dimensionless).
All treatments were fertilized with nitrogen, phosphorus and potassium at sowing and after planting with only phosphorus and potassium at the phenological stage of maize V4 (four fully developed leaves).
Nitrogen supply after planting was carried out via fertigation with wastewater from swine and fish farming, at phenological stages V4 and V6, according to the recommendation of 100 kg ha−1 of nitrogen, following the treatments described.
Daily monitoring of soil moisture was carried out using FDR (frequency domain reflectometry) moisture sensors, which had their rods completely inserted into the soil at a radius of 0.10 m from the maize planting line and at a depth of 0.10 m. Irrigation management was performed, keeping soil moisture close to 100% of field capacity. The field capacity of the soil was 51.83 m3 m−3.
The accumulation of dry mass of aerial parts by maize plants was evaluated at 30, 60, 90 and 110 days after sowing (DAS). It was quantified: leaf dry matter (LDM—g plant−1), dry mass of the aerial part (DMAP—g plant−1) and stalk dry mass (SDM—g plant−1). Leaf dry mass, dry mass of aerial parts and stalk dry mass of the plants were also evaluated. Leaves and stalks of each plant were separated, packed in numbered paper bags according to each treatment and dried in a forced-air circulation oven at 65 °C for 48 h to evaluate their dry weights. The weighing was carried out in a balance with accuracy of 0.01 g. Subsequently, the leaves were passed through a Wiley-type mill and the nitrogen (N) content was determined.
The following variables were determined at the harvest, 130 days after sowing: number of ears per plant, number of grain rows, number of grains per row, grain size (mm), grain dry weight (g plant−1), grain yield (kg ha−1) and harvest index. Grain size was measured from the difference between ear diameter and cob diameter, using Equation (2):
GS = ED − CD
where
  • GS—grain size (mm);
  • ED—ear diameter (mm);
  • CD—cob diameter (mm).
The grains were placed in paper bags previously identified with the treatments and taken to a forced air circulation oven at 65 °C until the grains reached 13% moisture. Grain dry weight was then determined in an analytical balance with precision of 0.001 g.
Grain yield and harvest index were estimated using Equations (3) and (4):
GY = DGWe × NEP × 70,000
HI = DGW/(DGW + DMAP)
where
  • GY—grain yield corrected to 13% moisture (kg ha−1);
  • DGWe—dry grain weight per ear (kg ear−1);
  • NEP—number of ears per plant;
  • 70,000 = number of plants per hectare;
  • HI—harvest index;
  • DGW—grain dry weight (g plant−1);
  • DMAP—dry matter of aerial parts (g plant−1).
The data of production variables were subjected to analysis of variance by the F test at 5% probability level, and when significant, the data were subjected to polynomial linear and quadratic regression analyses for the wastewater dilution rates. These models were used because the relation between the independent (dilution rates) and dependent variable that are evaluated in the maize crop generally presents a linear and quadratic relation. The means were compared to each other by Tukey’s test at 5% probability for the factor wastewater sources, using the statistical software SISVAR® 5.6 [24].

3. Results

As for leaf dry matter (LDM), dry mass of the aerial part (DMAP) and stalk dry mass (SDM) at 30 and 60 days after sowing (DAS), there was a significant effect of dilution rates (DR) and wastewater sources (WS). As for dry mass of the aerial part (DMAP) and stalk dry mass (SDM) at 90 and 110 days after sowing (DAS), there was a significant effect of wastewater sources (WS) (Table 3).
There was no significant effect of the interaction dilution versus wastewater sources for the evaluated leaf dry mass and dry mass of aerial parts. For the variable leaf dry mass and dry mass of aerial parts, there was a significant effect for dilution rates and wastewater sources in isolation at 30 and 60 DAS. There was an isolated effect of the wastewater sources factor for dry mass of aerial parts at 90 and 110 DAS.
The leaf dry mass of the maize at 30 DAS as a function of dilution rates was fitted to a quadratic model, with R2 above 90% (Figure 1a). The leaf dry mass of the maize decreased until dilution rate was 25.5% when they reached the minimum leaf dry mass, approximately 1.53 g plant−1.
The leaf dry mass of the maize fertigated with wastewater from fish farming was 9.07% higher than maize fertigated with wastewater from swine farming at 30 DAS (Figure 1b).
The leaf dry mass of the maize at 60 DAS as a function of dilution rates was fitted to a linear model, with R2 above 91% (Figure 1c). The maximum leaf dry mass value was estimated at 0% dilution (32.05 g plant−1). The leaf dry mass of the maize at 60 DAS showed a decrease of 6.86% (2.20 g planta−1) for every dilution rate of 25%.
The leaf dry mass of the maize fertigated with wastewater from swine farming was 13.51% higher than maize fertigated with wastewater from fish farming at 60 DAS (Figure 1d).
The dry mass of aerial parts of the maize at 30 DAS as a function of dilution rates was fitted to a quadratic model, with R2 above 96% (Figure 2a). The dry mass of aerial parts of the maize decreased until the dilution rate was 26.16% when they reached the minimum dry mass of aerial parts, approximately 2.29 g plant−1.
The dry mass of aerial parts of the maize fertigated with wastewater from fish farming was 10.43% higher than maize fertigated with wastewater from swine farming at 30 DAS (Figure 2b).
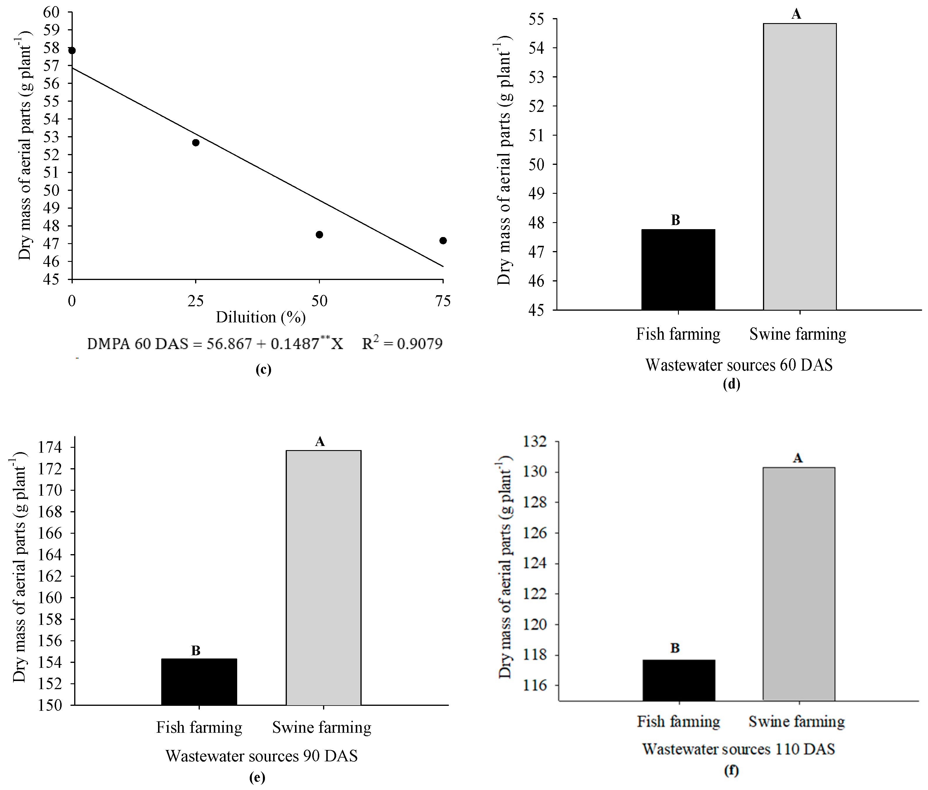
The dry mass of aerial parts of the maize at 60 DAS as a function of dilution rates was fitted to a linear model, with R2 above 91% (Figure 2c). The dry mass of aerial parts of the maize at 60 DAS showed a decrease of 6.53% (3.72 g planta−1) for every dilution rate of 25%.
The dry mass of aerial parts of the maize fertigated with wastewater from swine farming was 12.92, 11.17 and 9.69% higher than maize fertigated with wastewater from fish farming at 60, 90 and 110 DAS, respectively (Figure 2d–f).
The stalk dry mass of the maize at 30 DAS as a function of dilution rates was fitted to a quadratic model, with R2 above 99% (Figure 3a). The stalk dry mass of the maize decreased until the dilution rate was 27% when they reached the minimum stalk dry mass, approximately 0.76 g plant−1.
The stalk dry mass of the maize fertigated with wastewater from fish farming was 13.04% higher than maize fertigated with wastewater from swine farming at 30 DAS (Figure 3b).
The stalk dry mass of the maize at 60 DAS as a function of dilution rates was fitted to a linear model, with R2 above 83% (Figure 3c). The stalk dry mass of the maize at 60 DAS showed a decrease of 6.11% (1.51 g planta−1) for every dilution rate of 25%.
The stalk dry mass of the maize fertigated with wastewater from swine farming was 12.15, 12.98 and 13.79% higher than maize fertigated with wastewater from fish farming at 60, 90 and 110 DAS, respectively (Figure 3d–f).
Maize plants cultivated with wastewater sources had a nitrogen content of 14.55 g kg−1.
As for the number of grain rows (NGR), there was a significant effect of dilution rates (DR). As for number of grains per row (NGPR) and harvest index (HI), there was a significant effect of wastewater sources (WS). It was observed by variance analysis that grain sizes (GS), grain dry weight (GDW) and grain yield (GY) were significantly influenced by the interactions DR × WS (Table 4).
Regarding the maize grain production indexes evaluated at harvest (130 days after sowing), the different wastewater dilution rates and sources presented no significant effect on the number of ears per plant (prolificacy); all treatments presented one ear plant−1.
The result found for the number of grain rows and number of grains per row (130 days after sowing) showed no significant differences when evaluated for the dilution rates within each wastewater source (Figure 4). The greater number of grain rows was estimated with the dilution rate of 0% (17.23), whose values decreased up to the estimated dilution rate of 43%, which showed the lowest number of grain rows per ear 15.73 (Figure 4a).
The decrease was 8.7%, reducing the number of grain rows per plant by 1.5. The number of grains per row in treatments with wastewater from swine farming (WSF) was 31.48 grains per row, which was 14.62% higher than that found in treatments with wastewater from fish farming (WFF) (Figure 4b).
The dilution rates of 20% and 40% resulted in the largest and smallest grain sizes (7.97 and 7.70 mm, respectively) for the sources wastewater fish farming (WFF) and wastewater swine farming (WSF), respectively (Figure 5a). Significant differences in grain size were found between WFF and WSF for the dilution rates 0% and 75%; WSF resulted in 14.32% and 38.03% larger grain size, respectively, when compared to WFF (Figure 5b).
The result found for grain dry weight at harvest (130 days after sowing) showed significant differences when evaluated for the dilution rates within each wastewater source (Figure 6a). The increase of 25% in the wastewater dilution rate resulted in an increase of 7.66% (9.06 g plant−1) in grain dry weight for the source WSF; however, it decreased grain dry weight by 8.45 g plant−1 for the source WFF. Thus, grain dry weight decreased 33.36% when comparing the dilution rates of 0% and 75% for the source WFF.
The wastewater sources used presented significant difference only for the dilution rates of 50% and 75% (Figure 6b); the source WSF resulted in 48.21% and 57.83% increases, respectively, in grain dry weight when compared to WFF. Considering the direct correlation between grain dry weight and grain dry weight per ear, the number of ears per plant was 1, and these variables presented equal values.
When using the source WFF, the highest grain yield (5667.8 kg ha−1) (94.46 bags per hectare/bag = equivalent to 60 kg of grains with 13% moisture) were found for the dilution rate of 0%; these grain yields were 10.35%, 20.71% and 31.03% higher than those found for the dilution rates of 25%, 50% and 75%, respectively.
When using the source WSF, the dilution rate of 75% resulted in the highest grain yield, estimated at 8874.22 kg ha−1, equivalent to 114 bags per hectare, which was 22.98% higher than that found for the dilution rate of 0% with this wastewater (Figure 7a).
The wastewater sources presented significant differences in gran yield for the dilution rates of 50% and 75%; the source WSF presented 48.21% and 56.08% higher gran yields than the source WFF, respectively (Figure 7b).
Considering the wastewater sources applied, the highest harvest index (0.44) was found in plants fertigated with WSF, which was 21.70% higher than that found with application of WFF (0.35), regardless of the use of dilution rates (Figure 8).

4. Discussion

Nitrogen is an important nutrient in plants, where it plays a crucial role in the photosynthesis process. Proper application leads to high levels of utilization of the nutrient by the maize plant, which may result in increases in grain productivity and dry mass of leaves and stems [25]. Therefore, its deficiency leads to reduction in their growth and development [26].
Ref. [27] in studies on the application of organic fertilizer in the maize crop found an increase in leaf dry mass under conditions of lower dilutions of organic fertilizer in water 60 days after sowing, obtaining leaf dry mass values close to 40 g plant−1. High concentrations of nitrogen and phosphorus in wastewater from swine farming stimulate greater plant development, which provides more suitable conditions for increasing the dry mass of the aerial part [28].
In the plant, nitrogen is responsible for the production of new cells and tissues, stimulating growth and root activity, with positive effects on nutrient absorption and the amount of dry mass produced [29].
Wastewater from fish farming has a higher electrical conductivity than wastewater from swine farming (Table 2Section 2), indicating a higher amount of salts in this water source. The salinity in water used in plant irrigation reduces vegetative growth, whose reductions in dry matter production can be greater than 40% [30].
Ref. [31] found that the accumulation of dry matter in the stems, leaves and shoots is proportional to the amount of mineral nitrogen supplied to the maize plant, corroborating the results obtained in this study, as wastewater from swine farming has a higher amount of mineral nitrogen available for uptake by maize plants (Table 2Section 2).
Ref. [32] point out that the greater supply of nitrogen results in more vigorous maize plants and with greater production of dry biomass. For [33], the greater dry matter mass of the stalk compared to the other plant compartments results in a greater accumulation of total nitrogen.
The high nutritive value of wastewater had a positive impact on maize plant yield values. Such responses for wastewater irrigation indicated that the nutritive potential of wastewater is an inductive factor in increasing crop production. Therefore, the various benefits that the use of swine and fish wastewater can bring to the corn plant are confirmed, mainly in relation to the production of dry mass. However, one must be aware of the management conditions: in lower soil moisture conditions, a partial increase in osmotic potential results from the higher salinity of wastewater compared to freshwater, resulting in lower maize yields [34,35].
Studies about the application of nitrogen fertilizer combined with organic compounds for maize crops found a mean number of 16.91 for grain rows [36].
Others studies evaluated fertigated maize production and found a mean grain dry weight of 116.89 g plant−1, a similar result to that found in the present study (118.31 g plant−1) [37].
The highest grain yields found for the two wastewater sources were lower than those found in other experiments [38,39], which found grain yields of 14,400 and 11,494 kg ha−1 for fertigated maize, respectively. Although the values were lower in the present study, they showed an increasing linear trend for grain yield as the N availability was increased by both wastewater sources, denoting the potential of these sources for supplying N, as well as other nutrients, to plants.
According to a survey of the Brazilian National Food Supply Company [40], the maize mean yield was 5610 kg ha−1 in Brazil and 6390 kg ha−1 in the state of Goiás. Thus, the mean maize grain yield found in the present study when using the source WFF (4788 kg ha−1) was lower than the national mean, and a higher mean was found when using WSF (7855 kg ha−1). A similar study showed that the effect of pig slurry as fertilizer, partially combined with mineral nitrogen fertilizer application as topdressing, can reduce costs for implementation and establishment of maize crops, thus ensuring high yields [41].
Most production variables (grain size, grain dry weight, and maize grain yield) presented similar results regarding the wastewater dilution rates and sources used. When using WFF, the highest values of production variables were found for the dilution rate of 0%, which decreased gradually as the wastewater dilution rate in the public water was increased.
N can be lost by the leaching process due to the percolation of water through the soil profile [42]. Despite N being present in the soil, it can only be absorbed by plants as ammonium (NH4+) or nitrate (NO3); 40.5% of the total N in the WFF is in the form of NO3. However, it is the form of N most susceptible to losses, mainly when large volumes of water percolate from surface to deeper soil layers [43], making it difficult for plants to absorb N and causing negative effects on plant development and productivity.
When using the source WSF, the production variables increased as the dilution rate of the wastewater in the public water was increased. Ammonia (NH3) is the predominant form of N in WSF; it reacts rapidly with water in the soil forming ammonium (NH4+) ions [44] that are absorbed by plants and have positive effects on plant growth, quality, biomass production and reproduction [45].
According to [46], one of the ways to evaluate the efficiency of the use of nitrogen applied in the corn crop is through the internal efficiency (amount of nitrogen that is transformed into grain yield), which can be measured by the relationship between the mass of grains and the total mass produced by the plant, called the harvest index. In this sense, the higher the harvest index is, the greater the efficiency of nitrogen use is.
The wastewater from swine farming provided a significant harvest Index value, higher than wastewater from fish farming—in this case, 44% of the plant mass was produced as grains. Working with chemical and organic fertilizer, ref. [47] observed harvest index values for corn equal to 0.43 and 0.54.
Nitrogen is an important nutrient for the accumulation of dry matter, a component of amino acids, proteins and hormones directly influencing corn grain productivity [48], as well as an important fundamental part of grain formation [49].
In recent years, the amount of nitrogen applied via chemical fertilizer has increased around five times, along with grain yield, suggesting that the high use of nitrogen fertilizer caused this increase [50,51]. But its overuse, however, leads to decreased nitrogen fertilization use efficiency, increases nitrate leaching into groundwater and nitrate enrichment of vegetables, and is therefore considered an unsustainable method [52].
The results obtained in the present work for the productivity parameters—the number of grain rows per ear, number of grains per row, grain sizes, grain dry weight, grain yield and harvest index of maize crops—are reinforced by [53] who verified positive influences on productivity when applying by-products of organic origin.
Corroborating with the results of dry biomass evaluated, [54] concluded that the dry mass of the leaf and stem when receiving wastewater applied in irrigation showed results very close to treatments cultivated conventionally, which demonstrates the potential of wastewater to partially meet the demand for nutrients of the plants.
Therefore, based on the results found, wastewater from swine and fish farming has great potential to supplement the nitrogen required by the corn crop. However, the form of management must be observed, as the intense dilution reduces the efficiency of the wastewater fish farming.

5. Conclusions

The application of wastewater from swine farming to the soil for maize crops results in larger grain size and higher grain dry weight, grain yield and harvest index, regardless of the wastewater dilution rate in public water used.
The wastewater from fish farming, applied through a drip irrigation system without dilution (0%) or wastewater from swine farming at the dilution rate of 75%, is the most adequate for increasing grain size, grain dry weight and grain yield of maize crops.
Fertigation with wastewaters from swine and fish farming is a very important technique to reach the maximum productive potential of maize. Fertigation with wastewaters from swine and fish farming can be used to generate savings in mineral fertilizers used in maize, mainly due to the high presence of minerals such as nitrogen and organic matter, generating an increase in crop yield.
The use of wastewaters from swine and fish farming as a fertilizer for the maize crop is a good alternative for wastewater disposal, in addition to promoting environmental and economic advantages due to the reduction in the use of fertilizers. The two sources of wastewater have the potential to partially replace mineral nitrogen fertilizer in maize.
The results of the present study show that wastewater used in agriculture is an important source of nutrients for plants, favoring the development and productivity of corn through the recycling of nutrients, especially nitrogen, thus comprising an alternative to the dependence on fertilizers minerals, promoting savings in the importation of fertilizers and avoiding the release of large volumes of wastewater into water bodies.
However, due to the variable composition of wastewater, a rigorous characterization of the applied effluent as well as the adopted soil is necessary. The excess of nutrients from wastewater can cause greater infiltration of liquid into the soil, and these retained nutrients can reach subsurface layers of the soil and groundwater via leaching and may cause environmental contamination.

Author Contributions

Conceptualization, D.K.M.A., M.B.T. and F.R.C.F.; data curation, D.K.M.A., F.N.C. and F.R.C.F.; methodology and supervision, D.K.M.A., M.B.T. and F.N.C.; validation and writing—original draft, D.K.M.A., G.N.C. and C.L.L.d.A.; writing—review and editing, D.K.M.A., M.B.T., F.N.C., F.R.C.F., G.N.C. and C.L.L.d.A.; funding acquisition, M.B.T. and F.N.C. All authors have read and agreed to the published version of the manuscript.

Funding

This research was funded by National Council for Scientific and Technological Development–CNPq grant number 435698/2018-4 and 152190/2020-1, Ministry of Science, Technology, and Innovation–MCTI, Financier of Studies and Projects-FINEP, the Coordination for the Improvement for Higher Level Personnel-CAPES, the Research Support Foundation of the State of Goiás-FAPEG grant number 202210267000890, CEAGRE and the APC was funded by Federal Institute of Education, Science, and Technology Goiano (IFGoiano)—Campus Rio Verde.

Data Availability Statement

Not applicable.

Acknowledgments

The authors thank the National Council for Scientific and Technological Development (CNPq); the Coordination for the Improvement for Higher Level Personnel (CAPES); the Research Support Foundation of the State of Goiás (FAPEG); the Financier of Studies and Projects (FINEP); the Ministry of Science, Technology, and Innovation (MCTI); the Research Group Irrigated Agriculture in the Cerrado Area (AGRICE); CEAGRE and the Federal Institute of Education, Science, and Technology Goiano (IFGoiano)—Campus Rio Verde for the financial and structural support to conduct this study.

Conflicts of Interest

The authors declare no conflict of interest.

References

  1. Abreu, P.A.S. Irrigação por Sulcos com Efluente de Fossa Séptica Biodigestor como Fonte de Nitrogênio na Cultura do Milho. Master’s Thesis, Universidade Estadual de São Paulo, Botucatu, Brazil, 2019. [Google Scholar]
  2. CONAB—Companhia Nacional de Abastecimento. Acompanhamento da Safra Brasileira de Grãos, v.6, Safra 2022/23—Nono Levantamento; CONAB: Brasília, Brazil, 2023. [Google Scholar]
  3. Oliveira Neto, T.I.; Costa, M.C.G.; Oliveira, V.P.V. Acúmulo de nitrogênio em plantas de milho crioulo em resposta à adubação orgânica. Rev. Equador 2016, 5, 207–220. [Google Scholar] [CrossRef]
  4. Sologuren, L. Demanda mundial cresce e Brasil tem espaço para expandir produção. Visão Agrícola 2015, 13, 8–13. [Google Scholar]
  5. Cantarella, H. Nitrogênio. In Fertilidade do Solo; Novais, R.F., Alvarez, V.V.H., Barros, N.F., Fontes, R.L.F., Cantarutti, R.B., Neves, J.C.L., Eds.; SBCS: Viçosa, Brazil, 2007; pp. 375–470. [Google Scholar]
  6. Silva, S.; Dantas Neto, J.; Teodoro, I.; Souza, J.L.; Lyra, G.B.; Santos, M.A.L. Demanda hídrica da cana-de-açúcar irrigada por gotejamento nos tabuleiros costeiros de Alagoas. Rev. Bras. Eng. Agrícola Ambient. 2015, 19, 849–856. [Google Scholar] [CrossRef]
  7. Fornasieri Filho, D. Manual da Cultura do Milho; Funep: Jaboticabal, Brazil, 2007. [Google Scholar]
  8. Alves, P.F.S.; Santos, S.R.D.; Kondo, M.K.; Araújo, E.D.; Oliveira, P.M.D. Fertirrigação do milho com água residuária sanitária tratada: Crescimento e produção. Eng. Sanitária Ambient. 2018, 23, 833–839. [Google Scholar] [CrossRef]
  9. Silva, J.R.M. Aplicação de Efluente de Estação de Tratamento de Esgoto em solo Cultivado com Grama Esmeralda (Zoysia japonica). Ph.D. Thesis, Universidade Federal de Lavras, Lavras, Brazil, 2017. [Google Scholar]
  10. Ahmad, I.; Wajid, S.A.; Ahmad, A.; Cheema, M.J.M.; Judge, J. Optimizing irrigation and nitrogen requirements for maize through empirical modeling insemi-arid environment. Environ. Sci. Pollut. Res. 2019, 26, 1227–1237. [Google Scholar] [CrossRef] [PubMed]
  11. Shim, S.; Reza, A.; Kim, S.; Won, S.; Ra, C. Nutrient recovery from swine wastewater at full-scale: An integrated technical, economic and environmental feasibility assessment. Chemosphere 2021, 277, 130309. [Google Scholar] [CrossRef] [PubMed]
  12. Ndagi, A.; Adeoye, P.A.; Usman, B.I. Effect of fishpond wastewater irrigation on receiving soils and crops in dry season farming. Direct Res. J. Eng. Inf. Technol. 2020, 7, 75–83. [Google Scholar]
  13. Payebo, C.O.; Ogidi, I.A. Evaluation of fish pond water on the growth and yield of maize at Wilberforce Island, Amassoma. Afr. J. Crop Sci. 2020, 8, 1–7. [Google Scholar]
  14. Oliveira, E.L. Manual de Utilização de Águas Residuárias em Irrigação, 1st ed.; Fepaf: Botucatu, Brazil, 2012. [Google Scholar]
  15. Ribeiro, J.C. Reuso de Efluentes na Agricultura. Ph.D. Thesis, Universidade Estadual Paulista (UNESP), São Paulo, Brazil, 2013. [Google Scholar]
  16. World Health Organization. Guidelines for the Safe Use of Wastewater, Excreta and Greywater; World Health Organization: Paris, France, 2006; Volume 2, ISBN 92-4-154683-2. [Google Scholar]
  17. Köppen, W.; Geiger, R. Klimate der Erde; Wall-map 150 cm × 200 cm; Verlag Justus Perthes: Gotha, Germany, 1928. [Google Scholar]
  18. Santos, H.G.; Dos Jacomine, P.K.T.; Anjos, L.H.C.; Dos Oliveira, V.A.; De Lumbreras, J.F.; Coelho, M.R.; Almeida, J.A.; de Araujo Filho, J.C.; De Oliveira, J.B.; De Cunha, T.J.F. Sistema Brasileiro de Classificação de Solos, 5th ed.; Embrapa: Brasília, Brazil, 2018. [Google Scholar]
  19. USDA-United States Department of Agriculture Natural Resources Conservation Service. Soil Taxonomy: A Basic System of Soil Classification for Making and Interpreting Soil Surveys, 2nd ed.; USDA: Washington, DC, USA, 1999; 863p. [Google Scholar]
  20. FAO—Food and Agriculture Organization of the United Nations. World Reference Base for Soil Resources 2014: International Soil Classification System for Naming Soils and Creating Legends for Soil Maps; FAO: Rome, Italy, 2015; 192p. [Google Scholar]
  21. Teixeira, W.G. Manual de Métodos de Análise de Solo, 3rd ed.; Edição Revista e Ampliada; Embrapa: Brasília, Brazil, 2017; 574p. [Google Scholar]
  22. Matos, A.T.; Matos, M.P. Disposição de Águas Residuárias no Solo e em Sistemas Alagados Construídos, 1st ed.; Editora UFV: Viçosa, Brazil, 2017; Volume 1, 371p. [Google Scholar]
  23. APHA. Standard Methods for the Examination of Water and Wastewater, 21st ed.; American Public Health Association: Washington, DC, USA, 2005. [Google Scholar]
  24. Ferreira, D.F. Sisvar: A computer statistical analysis system. Ciênc. Agrotec. 2011, 35, 1039–1042. [Google Scholar] [CrossRef]
  25. Nasar, J.; Khan, W.; Khan, M.Z.; Gitari, H.I.; Gbolayori, J.F.; Moussa, A.A.; Mandozai, A.; Rizwan, N.; Anwari, G.; Maroof, S.M. Photosynthetic Activities and Photosynthetic Nitrogen Use Efficiency of Maize Crop Under Different Planting Patterns and Nitrogen Fertilization. J. Soil Sci. Plant Nutr. 2021, 21, 2274–2284. [Google Scholar] [CrossRef]
  26. Nenova, L.; Benkova, M.; Simeonova, T.; Atanassova, I. Nitrogen, phosphorus and potassium content in maize dry biomass under the effect of different levels of mineral fertilization. Agric. Sci. Technol. 2019, 11, 311–316. [Google Scholar] [CrossRef]
  27. Lima, j.G.A.; Viana, T.V.A.; Sousa, G.G.; Wanderley, J.A.C.; Neto, L.G.P.; Azevedo, B.M. Crescimento inicial do milho fertirrigado com biofertilizante. Agropecuária Científica No Semiárido 2012, 8, 39–44. [Google Scholar]
  28. Spósito, T.H.N. Matéria Seca e Acúmulo de Nutrientes No Aguapé Utilizado para Fitorremediação em águas Residuárias de Suinocultura. Ph.D. Thesis, Faculdade de Engenharia de Ilha Solteira—UNESP, Ilha Solteira, Brazil, 2018. [Google Scholar]
  29. Medeiros, L.C. Dinâmica do Nitrogênio e Potássio Nos Resíduos Culturais de Milho Submetido à Adubação Mineral. Ph.D. Thesis, Universidade Federal da Paraíba, Areia, Brazil, 2018. [Google Scholar]
  30. Bezerra, A.K.P.; Lacerda, C.F.; Hernandez, F.F.F.; Silva, F.B.; Gheyi, H.R. Rotação cultural feijão caupi/milho utilizando-se águas de salinidades diferentes. Ciência Rural Santa Maria 2010, 40, 1075–1082. [Google Scholar] [CrossRef]
  31. Dutra, A.D. Adubação Nitrogenada via Fertirrigação em Arroz Irrigado por Aspersão. Ph.D. Thesis, Universidade Federal de Pelotas, Pelotas, Brazil, 2016. [Google Scholar]
  32. Simão, E.D.P.; Resende, A.V.; Gontijo Neto, M.M.; Borghi, E.; Martins, D.C.; Vanin, A. Demanda de nutrientes pelo milho safrinha em função da época de semeadura e adubação. Embrapa Milho Sorgo 2017, 16, 481–494. [Google Scholar] [CrossRef]
  33. Franco, H.C.J.; Trivelin, P.C.O.; Eduardo, F.C.; Vitti, A.C.; Otto, R. Stalk yield and technological attributes of planted cane as related to nitrogen fertilization. Sci. Agric. 2010, 67, 579–590. [Google Scholar] [CrossRef]
  34. Gloaguen, T.V.; Gonçalves, R.A.B.; Forti, M.C.; Lucas, Y.; Montes, C.R. Irrigation with domestic wastewater: A multivariate analysis of main soil changes. Rev. Bras. Ciência Solo 2010, 34, 1427–1434. [Google Scholar] [CrossRef]
  35. Cakmakci, T.; Sahin, U. Improving silage maize productivity using recycled wastewater under different irrigation methods. Agric. Water Manag. 2021, 255, 107051. [Google Scholar] [CrossRef]
  36. Pinheiro, R.C. Produtividade de Milho em Plantio Direto com Diferentes Doses de Adubação Química Associado à Adubação Biológica. Ph.D. Thesis, UniEvangélica, Anápolis, Brazil, 2018. [Google Scholar]
  37. Araújo, N.C.D.; Lima, V.L.A.D.; Sena, L.F.; Lima, G.S.D.; Andrade, E.M.G.; Cardoso, J.A.F.; Oliveira, S.J.C. Produção de milho Potiguar fertirrigado com água amarela e manipueira. Revista Ciências Agrárias 2019, 42, 161–170. [Google Scholar]
  38. Costa, Z.V.B.D.; Gurgel, M.T.; Costa, L.R.; Alves, S.M.C.; Ferreira Neto, M.; Batista, R.O. Efeito da aplicação de esgoto doméstico primário na produção de milho no assentamento Milagres (Apodi-RN). Revista Ambiente Água 2014, 9, 737–751. [Google Scholar]
  39. Cabral Filho, F.R. Desempenho Agronômico e Balanço Nutricional na Planta de Milho Fertirrigado com Vinhaça Concentrada e Cloreto de Potássio. Ph.D. Thesis, Instituto Federal Goiano—Campus Rio Verde, Rio Verde, Brazil, 2019. [Google Scholar]
  40. CONAB—Companhia Nacional De Abastecimento. Acompanhamento da Safra Brasileira de Grãos, v.6, Safra 2019/20—Nono Levantamento; CONAB: Brasília, Brazil, 2020. [Google Scholar]
  41. Locatelli, J.L.; Bratti, F.; Ribeiro, R.H.; Besen, M.R.; Turcatel, D.; Piva, J.T. Uso de dejeto líquido de suínos permite reduzir a adubação mineral na cultura do milho? Revista Ciências Agrárias 2019, 42, 628–637. [Google Scholar]
  42. Carvalho, N.L.; Zabot, V. Nitrogênio: Nutriente ou poluente? Rev. Eletrônica Gestão Educ. Tecnol. Ambient. 2012, 6, 960–974. [Google Scholar] [CrossRef]
  43. Peixoto, M.F.S.P. Ciclo do Nitrogênio; Biologia do solo; Universidade Federal do Recôncavo da Bahia, Centro de ciências agrárias, ambientais e biológicas, CCA-034: Cachoeira, Brazil, 2008; pp. 1–24. [Google Scholar]
  44. Vieira, R.F. Ciclo do nitrogênio em sistemas agrícolas. In Embrapa Meio Ambiente-Livro Científico, 1st ed.; Embrapa: Brasília, Brazil, 2017; pp. 1–163. [Google Scholar]
  45. Lane, D.R.; BassiriRad, H. Differential responses of tallgrass prairie species to nitrogen loading and varying ratios of NO3—to NH4+. Funct. Plant Biol. 2002, 29, 1227–1235. [Google Scholar] [CrossRef] [PubMed]
  46. Mueller, S.M.; Messina, C.D.; Vyn, T.J. Simultaneous gains in grain yield and nitrogen efficiency over 70 years of maize genetic improvement. Sci. Rep. 2019, 9, 9095. [Google Scholar] [CrossRef] [PubMed]
  47. Filho, F.R.C.; Soares, F.A.L.; Alves, D.K.M.; Teixeira, M.B.; Cunha, F.N.; da Silva, E.C.; Costa, C.T.S.; da Silva, N.F.; Cunha, G.N.; Cavalcante, W.S.D.S. Biomass Accumulation and Technical and Economic Efficiency of Potassium Sources Applied via Fertigation to Corn. Agriculture 2022, 12, 497. [Google Scholar] [CrossRef]
  48. Wen, B.; Xiao, W.; Mu, Q.; Li, D.; Chen, X.; Wu, H.; Li, L.; Peng, F. How does nitrate regulate plant senescence? Plant Physiol. Biochem. 2020, 157, 60–69. [Google Scholar] [CrossRef] [PubMed]
  49. Zhang, Z.; Xia, J.; Alfatih, A.; Song, Y.; Huang, Y.; Sun, L.; Wan, G.; Wang, S.; Wang, Y.; Hu, B.; et al. Rice NIN-LIKE PROTEIN 3 modulates nitrogen use efficiency and grain yield under nitrate-sufficient conditions. Plant Cell Environ. 2022, 45, 1520–1536. [Google Scholar] [CrossRef] [PubMed]
  50. Xing, Y.; Jiang, W.; He, X.; Fiaz, S.; Ahmad, S.; Lei, X.; Wang, W.; Wang, Y.; Wang, X. A review of nitrogen translocation and nitrogen-use efficiency. J. Plant Nutr. 2019, 42, 2624–2641. [Google Scholar] [CrossRef]
  51. Hu, Y.; Zeeshan, M.; Wang, G.; Pan, Y.; Liu, Y.; Zhou, X. Supplementary irrigation and varying nitrogen fertilizer rate mediate grain yield, soil-maize nitrogen accumulation and metabolism. Agric. Water Manag. 2023, 276, 108066. [Google Scholar] [CrossRef]
  52. Quan, Z.; Zhang, X.; Davidson, E.A.; Zhu, F.; Li, S.; Zhao, X.; Chen, X.; Zhang, L.; He, J.; Wei, W.; et al. Fates and Use Efficiency of Nitrogen Fertilizer in Maize Cropping Systems and Their Responses to Technologies and Management Practices: A Global Analysis on Field 15 N Tracer Studies. Earth’s Future 2021, 9, e2020EF001514. [Google Scholar] [CrossRef]
  53. Corrêa, R.S.; Barbosa, J.Z.; Poggere, G.C.; Magri, E.; de Oliveira, S.A. Grain and Foliar Nutritional Responses of Corn (Zea mays L.) to Sewage Sludge Soil Application. Waste Biomass-Valorization 2023, 14, 1–13. [Google Scholar] [CrossRef]
  54. Fernandes, J.N.V.; Dantas, M.S.M.; de Azevedo, B.M.; Fernandes, C.N.V.; Vasconcelos, D.V.; Araújo, I.C.D.S. Development of elephant grass in response to irrigation with different levels of domestic sewage. Rev. Ciência Agronômica 2022, 54, e20217846. [Google Scholar] [CrossRef]
Figure 1. Maize leaf dry mass (LDM) as a function of dilutions and wastewater sources at 30 (a,b) and 60 (c,d) days after sowing (DAS), Rio Verde, Goiás, Brazil. ** significant at p < 0.01 probability according to the F test. Means followed by different uppercase letters, differ by Tukey test (p < 0.05).
Figure 1. Maize leaf dry mass (LDM) as a function of dilutions and wastewater sources at 30 (a,b) and 60 (c,d) days after sowing (DAS), Rio Verde, Goiás, Brazil. ** significant at p < 0.01 probability according to the F test. Means followed by different uppercase letters, differ by Tukey test (p < 0.05).
Agronomy 13 01834 g001aAgronomy 13 01834 g001b
Figure 2. Maize dry mass of aerial parts (DMPA) as a function of dilutions and wastewater sources at 30 (a,b) and 60 (c,d) days after sowing (DAS), and DMPA as a function of wastewater sources at 90 (e) and 110 (f) DAS, Rio Verde, Goiás, Brazil. ** and * significant at p < 0.01 and p < 0.05 probability according to the F test. Means followed by different uppercase letters, differ by Tukey test (p < 0.05).
Figure 2. Maize dry mass of aerial parts (DMPA) as a function of dilutions and wastewater sources at 30 (a,b) and 60 (c,d) days after sowing (DAS), and DMPA as a function of wastewater sources at 90 (e) and 110 (f) DAS, Rio Verde, Goiás, Brazil. ** and * significant at p < 0.01 and p < 0.05 probability according to the F test. Means followed by different uppercase letters, differ by Tukey test (p < 0.05).
Agronomy 13 01834 g002aAgronomy 13 01834 g002b
Figure 3. Maize stalk dry mass (SDM) as a function of dilutions and wastewater sources at 30 (a,b) and 60 (c,d) days after sowing (DAS) and SDM as a function of wastewater sources at 90 (e) and 110 (f) DAS, Rio Verde, Goiás, Brazil. ** and * significant at p < 0.01 and p < 0.05 probability according to the F test. Means followed by different uppercase letters, differ by Tukey test (p < 0.05).
Figure 3. Maize stalk dry mass (SDM) as a function of dilutions and wastewater sources at 30 (a,b) and 60 (c,d) days after sowing (DAS) and SDM as a function of wastewater sources at 90 (e) and 110 (f) DAS, Rio Verde, Goiás, Brazil. ** and * significant at p < 0.01 and p < 0.05 probability according to the F test. Means followed by different uppercase letters, differ by Tukey test (p < 0.05).
Agronomy 13 01834 g003
Figure 4. Number of grain rows per ear of maize as a function of dilution rates of wastewater (a) and number of grains per row as a function of wastewater sources (b), Rio Verde, Goiás, Brazil. ** significant at p < 0.01 probability according to the F test. Means followed by different uppercase letters, differ by Tukey test (p < 0.05).
Figure 4. Number of grain rows per ear of maize as a function of dilution rates of wastewater (a) and number of grains per row as a function of wastewater sources (b), Rio Verde, Goiás, Brazil. ** significant at p < 0.01 probability according to the F test. Means followed by different uppercase letters, differ by Tukey test (p < 0.05).
Agronomy 13 01834 g004
Figure 5. Maize grain sizes as a function of dilution rates of wastewater (a) and in relation to the wastewater sources from swine and fish farming (b), Rio Verde, Goiás, Brazil. ** significant at p < 0.01 probability according to the F test. Means followed by different uppercase letters, differ by Tukey test (p < 0.05).
Figure 5. Maize grain sizes as a function of dilution rates of wastewater (a) and in relation to the wastewater sources from swine and fish farming (b), Rio Verde, Goiás, Brazil. ** significant at p < 0.01 probability according to the F test. Means followed by different uppercase letters, differ by Tukey test (p < 0.05).
Agronomy 13 01834 g005
Figure 6. Maize grain dry weight as a function of dilution rates of wastewater (a) and in relation to the wastewater sources from swine and fish farming (b), Rio Verde, Goiás, Brazil. * significant at p < 0.05 probability according to the F test. Means followed by different uppercase letters, differ by Tukey test (p < 0.05).
Figure 6. Maize grain dry weight as a function of dilution rates of wastewater (a) and in relation to the wastewater sources from swine and fish farming (b), Rio Verde, Goiás, Brazil. * significant at p < 0.05 probability according to the F test. Means followed by different uppercase letters, differ by Tukey test (p < 0.05).
Agronomy 13 01834 g006
Figure 7. Maize grain yield as a function of dilution rates of wastewater (a) and in relation to the wastewater sources from swine and fish farming (b), Rio Verde, Goiás, Brazil. * significant at p < 0.05 probability according to the F test. Means followed by different uppercase letters, differ by Tukey test (p < 0.05).
Figure 7. Maize grain yield as a function of dilution rates of wastewater (a) and in relation to the wastewater sources from swine and fish farming (b), Rio Verde, Goiás, Brazil. * significant at p < 0.05 probability according to the F test. Means followed by different uppercase letters, differ by Tukey test (p < 0.05).
Agronomy 13 01834 g007
Figure 8. Harvest index of maize crops as a function of application of swine and fish farming wastewaters, Rio Verde, Goiás, Brazil. Means followed by different uppercase letters, differ by Tukey test (p < 0.05).
Figure 8. Harvest index of maize crops as a function of application of swine and fish farming wastewaters, Rio Verde, Goiás, Brazil. Means followed by different uppercase letters, differ by Tukey test (p < 0.05).
Agronomy 13 01834 g008
Table 1. Physical and chemical characteristics of the 0.00–0.20 m layer of the soil.
Table 1. Physical and chemical characteristics of the 0.00–0.20 m layer of the soil.
CaMgCa + MgAlH + AlKKSPpH
cmolc·dm−3mg dm−3CaCl2
0.770.341.110.042.150.05189.90.475.2
NaFeMnCuZnBCTCSBVm
Micronutrients (mg dm−3)cmolc·dm−3%%
-75.5612.964.163.93-3.311.16353.3
Texture (g kg−1)M.O.Ca/MgCa/KMg/KCa/CTCMg/CTCK/CTC
ClaySiltSandg dm−3Relationship between bases
5024944915.22.315.46.823.2610.271.51
Ca, Mg and Al: 1 mol L−1 KCl; K and S: 0.01 mol L−1 Ca(H2PO4)2; P, Na, Fe, Mn, Cu and Zn: Mehlich 1; B: hot water; CTC: cation exchange capacity; SB: base sum; V: base saturation; m: aluminum saturation; M.O.: organic matter (colorimetric method); pH: hydrogen potential; P (phosphorus), K (Potassium); Na (Sodium); Cu (Copper); Fe (Iron); Mn (Manganese); Zn (Zinc); Ca (Calcium); Mg (Magnesium); Al (Aluminum); S (Sulfur); B (Boron).
Table 2. Physical and chemical characteristics of the wastewaters from swine and fish farming used for fertigation in maize crops.
Table 2. Physical and chemical characteristics of the wastewaters from swine and fish farming used for fertigation in maize crops.
ParameterWastewater
Swine FarmingFish Farming
pH8.107.67
Turbidity (NTU)280.003.79
Temperature (°C)22.9722.15
Electrical conductivity (dS m−1)0.010.43
Chemical oxygen demand (mg L−1)966.94587.5
Dissolved oxygen (mg L−1)3.434.60
Total solids (mg L−1)5472.22175.69
Fixed solids (mg L−1)3822.9273.29
Volatile solids (mg L−1)1649.30102.40
Total nitrogen (mg L−1)478.9291.17
Ammonia (mg L−1)408.0830.00
Nitrite (mg L−1)<0.01<0.01
Nitrate (mg L−1)41.0037.00
Nitrogen-Kjeldahl (mg L−1)437.9254.17
Organic nitrogen (mg L−1)29.1224.17
Phosphorus (mg L−1)9.195
Potassium (mg L−1)147.4921.0
Calcium (mg L−1)26.6511.9
Magnesium (mg L−1)26.6511.9
Table 3. Summary of the analysis of variance for the variables leaf dry matter (LDM), dry mass of the aerial part (DMAP) and stalk dry mass (SDM) at 30, 60, 90 and 110 days after sowing (DAS) of maize as a function of dilution rates and wastewater sources, Rio Verde, GO, Brazil.
Table 3. Summary of the analysis of variance for the variables leaf dry matter (LDM), dry mass of the aerial part (DMAP) and stalk dry mass (SDM) at 30, 60, 90 and 110 days after sowing (DAS) of maize as a function of dilution rates and wastewater sources, Rio Verde, GO, Brazil.
PV 1DFMS
Leaf dry matter (days after sowing)
306090110
DR30.0000002 *0.000053 *0.000220 ns0.000590 ns
Block20.00000002 ns0.000008 ns0.000007 ns0.000019 ns
Residue 160.000000030.0000080.0000070.000047
WS10.0000002 *0.000104 **0.000021 ns0.000013 ns
DR × WS30.00000004 ns0.000025 ns0.000013 ns0.000015 ns
Residue 280.00000020.0000090.0000110.000023
CV 1 (%)-10.259.626.8714.16
CV 2 (%)-7.7310.348.839.85
PV 1DFMS
Dry mass of the aerial part (days after sowing)
306090110
DR30.0000007 **0.00015 *0.00088 ns0.000030 ns
Block20.00000005 ns0.000071 ns0.000086 ns0.000085 ns
Residue 160.000000050.0000170.000590.00017
WS10.0000005 **0.00030 *0.00226 *0.00087 *
DR × WS30.00000009 ns0.000081 ns0.00032 ns0.00010 ns
Residue 280.00000030.0000310.000320.00013
CV 1 (%)-8.218.0514.8710.60
CV 2 (%)-6.3010.9311.029.16
PV 1DFMS
Stalk dry mass (days after sowing)
306090110
DR30.0000001 **0.000028 *0.000851 ns0.000078 ns
Block20.000000009 ns0.000031 *0.000107 ns0.000104 ns
Residue 160.0000000050.0000030.000520.000058
WS10.00000009 **0.000051 *0.001846 *0.000776 *
DR × WS30.00000002 ns0.000017 ns0.000266 ns0.000123 ns
Residue 280.0000000070.0000080.0002530.000070
CV 1 (%)-7.757.9518.089.96
CV 2 (%)-9.5112.6512.5910.95
1 Wastewater sources (WS) and Dilution rates (DR). Source of variation (PV), Degree of freedom (DF), Mean square (MS) and Coefficient of variation (CV). ** and * significant at 1 and 5% probability, respectively, ns not significant by the 5% probability F test.
Table 4. Summary of the analysis of variance for the variables number of grain rows (NGR), number of grains per row (NGPR) grain sizes (GS), grain dry weight (GDW), grain yield (GY) and harvest index (HI) of maize as a function of dilution rates and wastewater sources, Rio Verde, GO, Brazil.
Table 4. Summary of the analysis of variance for the variables number of grain rows (NGR), number of grains per row (NGPR) grain sizes (GS), grain dry weight (GDW), grain yield (GY) and harvest index (HI) of maize as a function of dilution rates and wastewater sources, Rio Verde, GO, Brazil.
PV 1DFMS
NGRNGPRGSGDWGYHI
DR32.84 *9.44 ns1.52 **15.44107606 ns29.89 ns
Block20.40 ns1.44 ns0.06 ns44.22 ns332530 ns92.36 ns
Residue 160.246.030.08124.31601896167.19
WS10.26 ns127.19 *10.18 **10290 ns56441257 ns15678 *
DR × WS34.87 ns23.13 ns3.44 **856.81 **4508573 **1252 ns
Residue 281.7815.630.21154.99905647251.56
CV 1 (%)-3.008.423.7713.2712.2712.50
CV 2 (%)-8.1813.555.9014.8215.0617.02
1 Wastewater sources (WS) and Dilution rates (DR). Source of variation (PV), Degree of freedom (DF), Mean square (MS) and Coefficient of variation (CV). Number of grain rows (NGR), number of grains per row (NGPR), grain sizes (GS), grain dry weight (GDW), grain yield (GY) and harvest index (HI). ** and * significant at 1 and 5% probability, respectively, ns not significant by the 5% probability F test.
Disclaimer/Publisher’s Note: The statements, opinions and data contained in all publications are solely those of the individual author(s) and contributor(s) and not of MDPI and/or the editor(s). MDPI and/or the editor(s) disclaim responsibility for any injury to people or property resulting from any ideas, methods, instructions or products referred to in the content.

Share and Cite

MDPI and ACS Style

Alves, D.K.M.; Teixeira, M.B.; Cunha, F.N.; Cabral Filho, F.R.; Cunha, G.N.; Andrade, C.L.L.d. Grain Yield of Maize Crops under Nitrogen Fertigation Using Wastewater from Swine and Fish Farming. Agronomy 2023, 13, 1834. https://doi.org/10.3390/agronomy13071834

AMA Style

Alves DKM, Teixeira MB, Cunha FN, Cabral Filho FR, Cunha GN, Andrade CLLd. Grain Yield of Maize Crops under Nitrogen Fertigation Using Wastewater from Swine and Fish Farming. Agronomy. 2023; 13(7):1834. https://doi.org/10.3390/agronomy13071834

Chicago/Turabian Style

Alves, Daniely Karen Matias, Marconi Batista Teixeira, Fernando Nobre Cunha, Fernando Rodrigues Cabral Filho, Gabriela Nobre Cunha, and Christiano Lima Lobo de Andrade. 2023. "Grain Yield of Maize Crops under Nitrogen Fertigation Using Wastewater from Swine and Fish Farming" Agronomy 13, no. 7: 1834. https://doi.org/10.3390/agronomy13071834

APA Style

Alves, D. K. M., Teixeira, M. B., Cunha, F. N., Cabral Filho, F. R., Cunha, G. N., & Andrade, C. L. L. d. (2023). Grain Yield of Maize Crops under Nitrogen Fertigation Using Wastewater from Swine and Fish Farming. Agronomy, 13(7), 1834. https://doi.org/10.3390/agronomy13071834

Note that from the first issue of 2016, this journal uses article numbers instead of page numbers. See further details here.

Article Metrics

Back to TopTop