Deep Straw Burial Accelerates Straw Decomposition and Improves Soil Water Repellency
Abstract
1. Introduction
2. Materials and Methods
2.1. Study Site
2.2. Experimental Materials
2.3. Experimental Design
2.4. Sample Collection
2.5. Physicochemical Analysis
2.5.1. Soil Carbon and Nitrogen Content
2.5.2. Determination of Straw Composition
2.5.3. SWR Determination
2.6. Calculations and Statistical Analysis
3. Results
3.1. Soil Organic Carbon and Total Nitrogen Content
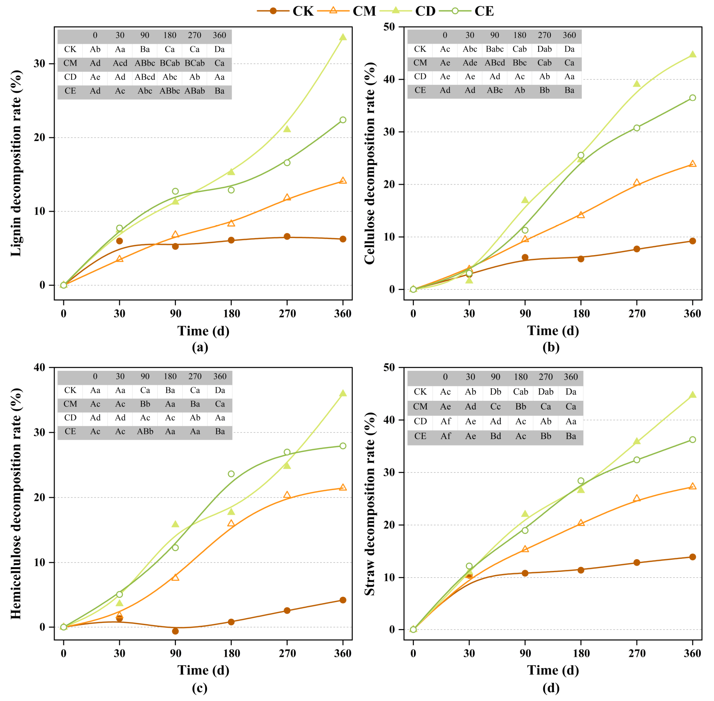
3.2. Straw Composition
3.3. Soil Water Repellency
3.4. Analysis of the Relationship between Different Straw Addition Methods and SWR
4. Discussion
4.1. Straw Addition Methods Affect Soil Carbon and Nitrogen Content
4.2. Different Straw Addition Methods Affect the Decomposition of Straw and Its Components
4.3. Different Straw Addition Methods Affect SWR
5. Conclusions
Author Contributions
Funding
Data Availability Statement
Conflicts of Interest
References
- Li, X.; Li, H.; Yang, L.; Ren, Y. Assessment of Soil Quality of Croplands in the Corn Belt of Northeast China. Sustainability 2018, 10, 248. [Google Scholar] [CrossRef]
- Zhang, X.; Dou, S.; Ndzelu, B.S.; Guan, X.W.; Zhang, B.Y.; Bai, Y. Effects of Different Corn Straw Amendments on Humus Composition and Structural Characteristics of Humic Acid in Black Soil. Commun. Soil Sci. Plant Anal. 2020, 51, 107–117. [Google Scholar] [CrossRef]
- Chen, S.Y.; Zhang, X.Y.; Pei, D.; Sun, H.Y.; Chen, S.L. Effects of Straw Mulching on Soil Temperature, Evaporation and Yield of Winter Wheat: Field Experiments on the North China Plain. Ann. Appl. Biol. 2007, 150, 261–268. [Google Scholar] [CrossRef]
- Johnson, J.M.; Hough-Goldstein, J.A.; Vangessel, M.J. Effects of Straw Mulch on Pest Insects, Predators, and Weeds in Watermelons and Potatoes. Environ. Entomol. 2004, 33, 1632–1643. [Google Scholar] [CrossRef]
- Kalkhajeh, Y.K.; He, Z.; Yang, X.; Lu, Y.; Zhou, J.; Gao, H.; Ma, C. Co-Application of Nitrogen and Straw-Decomposing Microbial Inoculant Enhanced Wheat Straw Decomposition and Rice Yield in a Paddy Soil. J. Agric. Food Res. 2021, 4, 100134. [Google Scholar] [CrossRef]
- Wang, X.; Sun, B.; Mao, J.; Sui, Y.; Cao, X. Structural Convergence of Maize and Wheat Straw during Two-Year Decomposition under Different Climate Conditions. Environ. Sci. Technol. 2012, 46, 7159–7165. [Google Scholar] [CrossRef]
- Zhang, G.; Bai, J.; Zhao, Q.; Jia, J.; Wang, X.; Wang, W.; Wang, X. Soil Carbon Storage and Carbon Sources under Different Spartina Alterniflora Invasion Periods in a Salt Marsh Ecosystem. CATENA 2021, 196, 104831. [Google Scholar] [CrossRef]
- Hewins, D.B.; Archer, S.R.; Okin, G.S.; McCulley, R.L.; Throop, H.L. Soil–Litter Mixing Accelerates Decomposition in a Chihuahuan Desert Grassland. Ecosystems 2013, 16, 183–195. [Google Scholar] [CrossRef]
- Shahbaz, M.; Kuzyakov, Y.; Sanaullah, M.; Heitkamp, F.; Zelenev, V.; Kumar, A.; Blagodatskaya, E. Microbial Decomposition of Soil Organic Matter Is Mediated by Quality and Quantity of Crop Residues: Mechanisms and Thresholds. Biol. Fertil. Soils 2017, 53, 287–301. [Google Scholar] [CrossRef]
- Cotrufo, M.F.; Soong, J.L.; Horton, A.J.; Campbell, E.E.; Haddix, M.L.; Wall, D.H.; Parton, W.J. Formation of Soil Organic Matter via Biochemical and Physical Pathways of Litter Mass Loss. Nat. Geosci. 2015, 8, 776–779. [Google Scholar] [CrossRef]
- Guan, X.-K.; Wei, L.; Turner, N.C.; Ma, S.-C.; Yang, M.-D.; Wang, T.-C. Improved Straw Management Practices Promote in Situ Straw Decomposition and Nutrient Release, and Increase Crop Production. J. Clean. Prod. 2020, 250, 119514. [Google Scholar] [CrossRef]
- Curtin, D.; Francis, G.S.; McCallum, F.M. Decomposition Rate of Cereal Straw as Affected by Soil Placement. Soil Res. 2008, 46, 152. [Google Scholar] [CrossRef]
- Moorhead, D.L.; Sinsabaugh, R.L.; Linkins, A.E.; Reynolds, J.F. Decomposition Processes: Modelling Approaches and Applications. Sci. Total Environ. 1996, 183, 137–149. [Google Scholar] [CrossRef]
- Gaind, S.; Nain, L. Chemical and Biological Properties of Wheat Soil in Response to Paddy Straw Incorporation and Its Biodegradation by Fungal Inoculants. Biodegradation 2007, 18, 495–503. [Google Scholar] [CrossRef]
- Hofmann, A.; Heim, A.; Christensen, B.T.; Miltner, A.; Gehre, M.; Schmidt, M.W.I. Lignin Dynamics in Two 13 C-Labelled Arable Soils during 18 Years. Eur. J. Soil Sci. 2009, 60, 250–257. [Google Scholar] [CrossRef]
- Yanni, S.F.; Whalen, J.K.; Simpson, M.J.; Janzen, H.H. Plant Lignin and Nitrogen Contents Control Carbon Dioxide Production and Nitrogen Mineralization in Soils Incubated with Bt and Non-Bt Corn Residues. Soil Biol. Biochem. 2011, 43, 63–69. [Google Scholar] [CrossRef]
- Austin, A.T.; Ballaré, C.L.; Schlesinger, W.H. Dual Role of Lignin in Plant Litter Decomposition in Terrestrial Ecosystems. Proc. Natl. Acad. Sci. USA 2010, 107, 4618–4622. [Google Scholar] [CrossRef]
- Lorenz, K.; Lal, R.; Preston, C.M.; Nierop, K.G.J. Strengthening the Soil Organic Carbon Pool by Increasing Contributions from Recalcitrant Aliphatic Bio(Macro)Molecules. Geoderma 2007, 142, 1–10. [Google Scholar] [CrossRef]
- Pérez-Lucas, G.; El Aatik, A.; Vela, N.; Fenoll, J.; Navarro, S. Exogenous Organic Matter as Strategy to Reduce Pesticide Leaching through the Soil. Arch. Agron. Soil Sci. 2021, 67, 934–945. [Google Scholar] [CrossRef]
- Isikgor, F.H.; Becer, C.R. Lignocellulosic Biomass: A Sustainable Platform for the Production of Bio-Based Chemicals and Polymers. Polym. Chem. 2015, 6, 4497–4559. [Google Scholar] [CrossRef]
- Pérez, J.; Muñoz-Dorado, J.; de la Rubia, T.; Martínez, J. Biodegradation and Biological Treatments of Cellulose, Hemicellulose and Lignin: An Overview. Int. Microbiol. 2002, 5, 53–63. [Google Scholar] [CrossRef] [PubMed]
- Comino, F.; Aranda, V.; Domínguez-Vidal, A.; Ayora-Cañada, M.J. Thermal Destruction of Organic Waste Hydrophobicity for Agricultural Soils Application. J. Environ. Manag. 2017, 202, 94–105. [Google Scholar] [CrossRef]
- Feng, G.L.; Letey, J.; Wu, L. Water Ponding Depths Affect Temporal Infiltration Rates in a Water-Repellent Sand. Soil Sci. Soc. Am. J. 2001, 65, 315–320. [Google Scholar] [CrossRef]
- Wallis, M.; Scotter, D.; Horne, D. An Evaluation of the Intrinsic Sorptivity Water Repellency Index on a Range of New Zealand Soils. Soil Res. 1991, 29, 353. [Google Scholar] [CrossRef]
- Doerr, S.H.; Shakesby, R.A.; Walsh, R.P.D. Soil Water Repellency: Its Causes, Characteristics and Hydro-Geomorphological Significance. Earth-Sci. Rev. 2000, 51, 33–65. [Google Scholar] [CrossRef]
- Blanco-Canqui, H.; Lal, R. Extent of Soil Water Repellency under Long-Term No-till Soils. Geoderma 2009, 149, 171–180. [Google Scholar] [CrossRef]
- Wang, Z.; Wu, Q.J.; Wu, L.; Ritsema, C.J.; Dekker, L.W.; Feyen, J. Effects of Soil Water Repellency on Infiltration Rate and Flow Instability. J. Hydrol. 2000, 231–232, 265–276. [Google Scholar] [CrossRef]
- Piccolo, A.; Mbagwu, J.S.C. Role of Hydrophobic Components of Soil Organic Matter in Soil Aggregate Stability. Soil Sci. Soc. Am. J. 1999, 63, 1801–1810. [Google Scholar] [CrossRef]
- Czachor, H.; Doerr, S.H.; Lichner, L. Water Retention of Repellent and Subcritical Repellent Soils: New Insights from Model and Experimental Investigations. J. Hydrol. 2010, 380, 104–111. [Google Scholar] [CrossRef]
- de Jonge, L.W.; Moldrup, P.; Jacobsen, O.H. Soil-Water Content Dependency of Water Repellency in soils. Soil Sci. 2007, 172, 577–588. [Google Scholar] [CrossRef]
- Kawamoto, K.; Moldrup, P.; Komatsu, T.; de Jonge, L.W.; Oda, M. Water Repellency of Aggregate Size Fractions of a Volcanic Ash Soil. Soil Sci. Soc. Am. J. 2007, 71, 1658–1666. [Google Scholar] [CrossRef]
- de Blas, E.; Rodríguez-Alleres, M.; Almendros, G. Speciation of Lipid and Humic Fractions in Soils under Pine and Eucalyptus Forest in Northwest Spain and Its Effect on Water Repellency. Geoderma 2010, 155, 242–248. [Google Scholar] [CrossRef]
- Schaumann, G.E.; Braun, B.; Kirchner, D.; Rotard, W.; Szewzyk, U.; Grohmann, E. Influence of Biofilms on the Water Repellency of Urban Soil Samples. Hydrol. Process. 2007, 21, 2276–2284. [Google Scholar] [CrossRef]
- Roy, J.L.; McGill, W.B. Assessing Soil Water Repellency Using the Molarity of Ethanol Droplet (MED) Test. Soil Sci. 2002, 167, 83–97. [Google Scholar] [CrossRef]
- Franco, C.M.M.; Michelsen, P.P.; Oades, J.M. Amelioration of Water Repellency: Application of Slow-Release Fertilisers to Stimulate Microbial Breakdown of Waxes. J. Hydrol. 2000, 231–232, 342–351. [Google Scholar] [CrossRef]
- Deurer, M.; Müller, K.; Van Den Dijssel, C.; Mason, K.; Carter, J.; Clothier, B.E. Is Soil Water Repellency a Function of Soil Order and Proneness to Drought? A Survey of Soils under Pasture in the North Island of New Zealand. Eur. J. Soil Sci. 2011, 62, 765–779. [Google Scholar] [CrossRef]
- Bull, I.D.; van Bergen, P.F.; Nott, C.J.; Poulton, P.R.; Evershed, R.P. Organic Geochemical Studies of Soils from the Rothamsted Classical ExperimentsÐV. The Fate of Lipids in Different Long-Term Experiments. Org. Geochem. 2000, 31, 389–408. [Google Scholar] [CrossRef]
- Nierop, K.G.J.; Naafs, D.F.W.; van Bergen, P.F. Origin, Occurrence and Fate of Extractable Lipids in Dutch Coastal Dune Soils along a PH Gradient. Org. Geochem. 2005, 36, 555–566. [Google Scholar] [CrossRef]
- Scott, D.F. Soil Wettability in Forested Catchments in South Africa; as Measured by Different Methods and as Affected by Vegetation Cover and Soil Characteristics. J. Hydrol. 2000, 231–232, 87–104. [Google Scholar] [CrossRef]
- Mohawesh, O.; Mahmoud, M.; Janssen, M.; Lennartz, B. Effect of Irrigation with Olive Mill Wastewater on Soil Hydraulic and Solute Transport Properties. Int. J. Environ. Sci. Technol. 2014, 11, 927–934. [Google Scholar] [CrossRef]
- Doerr, S.H.; Thomas, A.D. The Role of Soil Moisture in Controlling Water Repellency: New Evidence from Forest Soils in Portugal. J. Hydrol. 2000, 231–232, 134–147. [Google Scholar] [CrossRef]
- Aranda, V.; Calero, J.; Plaza, I.; Ontiveros-Ortega, A. Long-Term Effects of Olive Mill Pomace Co-Compost on Wettability and Soil Quality in Olive Groves. Geoderma 2016, 267, 185–195. [Google Scholar] [CrossRef]
- Lützow, M.V.; Kögel-Knabner, I.; Ekschmitt, K.; Matzner, E.; Guggenberger, G.; Marschner, B.; Flessa, H. Stabilization of Organic Matter in Temperate Soils: Mechanisms and Their Relevance under Different Soil Conditions—A Review: Mechanisms for Organic Matter Stabilization in Soils. Eur. J. Soil Sci. 2006, 57, 426–445. [Google Scholar] [CrossRef]
- Bünemann, E.K.; Bongiorno, G.; Bai, Z.; Creamer, R.E.; De Deyn, G.; de Goede, R.; Fleskens, L.; Geissen, V.; Kuyper, T.W.; Mäder, P.; et al. Soil Quality—A Critical Review. Soil Biol. Biochem. 2018, 120, 105–125. [Google Scholar] [CrossRef]
- Cervera-Mata, A.; Aranda, V.; Ontiveros-Ortega, A.; Comino, F.; Martín-García, J.M.; Vela-Cano, M.; Delgado, G. Hydrophobicity and Surface Free Energy to Assess Spent Coffee Grounds as Soil Amendment. Relationships with Soil Quality. CATENA 2021, 196, 104826. [Google Scholar] [CrossRef]
- Leelamanie, D.A.L.; Karube, J.; Yoshida, A. Characterizing Water Repellency Indices: Contact Angle and Water Drop Penetration Time of Hydrophobized Sand. Soil Sci. Plant Nutr. 2008, 54, 179–187. [Google Scholar] [CrossRef]
- Nelson, D.W.; Sommers, L.E. Total Carbon, Organic Carbon, and Organic Matter. In Methods of Soil Analysis; Agronomy Monographs; American Society of Agronomy, Crop Science Society of America, and Soil Science Society of America: Madison, WI, USA, 1983; pp. 539–579. ISBN 978-0-89118-977-0. [Google Scholar]
- Guntiñas, M.E.; Leirós, M.C.; Trasar-Cepeda, C.; Gil-Sotres, F. Effects of Moisture and Temperature on Net Soil Nitrogen Mineralization: A Laboratory Study. Eur. J. Soil Biol. 2012, 48, 73–80. [Google Scholar] [CrossRef]
- Li, S.; Xu, S.; Liu, S.; Yang, C.; Lu, Q. Fast Pyrolysis of Biomass in Free-Fall Reactor for Hydrogen-Rich Gas. Fuel Process. Technol. 2004, 85, 1201–1211. [Google Scholar] [CrossRef]
- Li, J.; Li, H.; Zhang, Q.; Shao, H.; Gao, C.; Zhang, X. Effects of Fertilization and Straw Return Methods on the Soil Carbon Pool and CO2 Emission in a Reclaimed Mine Spoil in Shanxi Province, China. Soil Tillage Res. 2019, 195, 104361. [Google Scholar] [CrossRef]
- Liu, B.; Xia, H.; Jiang, C.; Riaz, M.; Yang, L.; Chen, Y.; Fan, X.; Xia, X. 14 Year Applications of Chemical Fertilizers and Crop Straw Effects on Soil Labile Organic Carbon Fractions, Enzyme Activities and Microbial Community in Rice-Wheat Rotation of Middle China. Sci. Total Environ. 2022, 841, 156608. [Google Scholar] [CrossRef]
- Guan, S.; Liu, S.; Liu, R.; Zhang, J.; Ren, J.; Cai, H.; Lin, X. Soil Organic Carbon Associated with Aggregate-Size and Density Fractions in a Mollisol Amended with Charred and Uncharred Maize Straw. J. Integr. Agric. 2019, 18, 1496–1507. [Google Scholar] [CrossRef]
- Li, Z.; Shen, Y.; Zhang, W.; Zhang, H.; Liu, L.; Wang, Z.; Gu, J.; Yang, J. Effects of Long-Term Straw Returning on Rice Yield and Soil Properties and Bacterial Community in a Rice-Wheat Rotation System. Field Crops Res. 2023, 291, 108800. [Google Scholar] [CrossRef]
- Ndzelu, B.S.; Dou, S.; Zhang, X.; Zhang, Y. Molecular Composition and Structure of Organic Matter in Density Fractions of Soils Amended with Corn Straw for Five Years. Pedosphere 2023, 33, 372–380. [Google Scholar] [CrossRef]
- Ahmed, W.; Qaswar, M.; Jing, H.; Wenjun, D.; Geng, S.; Kailou, L.; Ying, M.; Ao, T.; Mei, S.; Chao, L.; et al. Tillage Practices Improve Rice Yield and Soil Phosphorus Fractions in Two Typical Paddy Soils. J. Soils Sediments 2020, 20, 850–861. [Google Scholar] [CrossRef]
- Chen, Q.; Liu, Z.; Zhou, J.; Xu, X.; Zhu, Y. Long-Term Straw Mulching with Nitrogen Fertilization Increases Nutrient and Microbial Determinants of Soil Quality in a Maize–Wheat Rotation on China’s Loess Plateau. Sci. Total Environ. 2021, 775, 145930. [Google Scholar] [CrossRef]
- Chen, S.; Zhang, X.; Shao, L.; Sun, H.; Niu, J.; Liu, X. Effects of Straw and Manure Management on Soil and Crop Performance in North China Plain. CATENA 2020, 187, 104359. [Google Scholar] [CrossRef]
- Zhu, F.; Lin, X.; Guan, S.; Dou, S. Deep Incorporation of Corn Straw Benefits Soil Organic Carbon and Microbial Community Composition in a Black Soil of Northeast China. Soil Use Manag. 2022, 38, 1266–1279. [Google Scholar] [CrossRef]
- Zhao, X.M.; He, L.; Zhang, Z.D.; Wang, H.B.; Zhao, L.P. Simulation of Accumulation and Mineralization (CO2 Release) of Organic Carbon in Chernozem under Different Straw Return Ways after Corn Harvesting. Soil Tillage Res. 2016, 156, 148–154. [Google Scholar] [CrossRef]
- Lobe, I.; Sandhage-Hofmann, A.; Brodowski, S.; Du Preez, C.C.; Amelung, W. Aggregate Dynamics and Associated Soil Organic Matter Contents as Influenced by Prolonged Arable Cropping in the South African Highveld. Geoderma 2011, 162, 251–259. [Google Scholar] [CrossRef]
- Zuber, S.M.; Behnke, G.D.; Nafziger, E.D.; Villamil, M.B. Crop Rotation and Tillage Effects on Soil Physical and Chemical Properties in Illinois. Agron. J. 2015, 107, 971–978. [Google Scholar] [CrossRef]
- Huang, T.; Yang, N.; Lu, C.; Qin, X.; Siddique, K.H.M. Soil Organic Carbon, Total Nitrogen, Available Nutrients, and Yield under Different Straw Returning Methods. Soil Tillage Res. 2021, 214, 105171. [Google Scholar] [CrossRef]
- Jin, Z.; Shah, T.; Zhang, L.; Liu, H.; Peng, S.; Nie, L. Effect of Straw Returning on Soil Organic Carbon in Rice–Wheat Rotation System: A Review. Food Energy Secur 2020, 9, e200. [Google Scholar] [CrossRef]
- Wang, J.; Wang, X.; Xu, M.; Feng, G.; Zhang, W.; Lu, C. Crop Yield and Soil Organic Matter after Long-Term Straw Return to Soil in China. Nutr. Cycl. Agroecosyst. 2015, 102, 371–381. [Google Scholar] [CrossRef]
- Chen, J.; Lærke, P.E.; Jørgensen, U. Optimized Crop Rotations Increase Biomass Production without Significantly Changing Soil Carbon and Nitrogen Stock. Ecol. Indic. 2020, 117, 106669. [Google Scholar] [CrossRef]
- Wang, S.; Lu, C.; Huai, S.; Yan, Z.; Wang, J.; Sun, J.; Raza, S. Straw Burial Depth and Manure Application Affect the Straw-C and N Sequestration: Evidence from 13C & 15N-Tracing. Soil Tillage Res. 2021, 208, 104884. [Google Scholar] [CrossRef]
- Huang, Q.; Zhang, G.; Ma, J.; Song, K.; Zhu, X.; Shen, W.; Xu, H. Dynamic Interactions of Nitrogen Fertilizer and Straw Application on Greenhouse Gas Emissions and Sequestration of Soil Carbon and Nitrogen: A 13-Year Field Study. Agric. Ecosyst. Environ. 2022, 325, 107753. [Google Scholar] [CrossRef]
- Fan, F.; Yin, C.; Tang, Y.; Li, Z.; Song, A.; Wakelin, S.A.; Zou, J.; Liang, Y. Probing Potential Microbial Coupling of Carbon and Nitrogen Cycling during Decomposition of Maize Residue by 13C-DNA-SIP. Soil Biol. Biochem. 2014, 70, 12–21. [Google Scholar] [CrossRef]
- Kallenbach, C.M.; Frey, S.D.; Grandy, A.S. Direct Evidence for Microbial-Derived Soil Organic Matter Formation and Its Ecophysiological Controls. Nat. Commun. 2016, 7, 13630. [Google Scholar] [CrossRef]
- Paul, E.A. The Nature and Dynamics of Soil Organic Matter: Plant Inputs, Microbial Transformations, and Organic Matter Stabilization. Soil Biol. Biochem. 2016, 98, 109–126. [Google Scholar] [CrossRef]
- Yang, C.-X.; Wang, T.; Gao, L.-N.; Yin, H.-J.; Lü, X. Isolation, Identification and Characterization of Lignin-degrading Bacteria from Qinling, China. J. Appl. Microbiol. 2017, 123, 1447–1460. [Google Scholar] [CrossRef]
- Martens, D. Plant Residue Biochemistry Regulates Soil Carbon Cycling and Carbon Sequestration. Soil Biol. Biochem. 2000, 32, 361–369. [Google Scholar] [CrossRef]
- Bahri, H.; Rasse, D.P.; Rumpel, C.; Dignac, M.-F.; Bardoux, G.; Mariotti, A. Lignin Degradation during a Laboratory Incubation Followed by 13C Isotope Analysis. Soil Biol. Biochem. 2008, 40, 1916–1922. [Google Scholar] [CrossRef]
- Liu, N.; He, H.; Xie, H.; Bai, Z.; Zhang, X.; Peng, C.; Zhu, P.; Ren, J.; Wang, L. Impacts of Long-Term Inorganic and Organic Fertilization on Lignin in a Mollisol. J. Soils Sediments 2010, 10, 1466–1474. [Google Scholar] [CrossRef]
- Stott, D.E.; Kassim, G.; Jarrell, W.M.; Martin, J.P.; Haider, K. Stabilization and Incorporation into Biomass of Specific Plant Carbons during Biodegradation in Soil. Plant Soil 1983, 70, 15–26. [Google Scholar] [CrossRef]
- Osono, T.; Takeda, H.; Azuma, J. Carbon Isotope Dynamics during Leaf Litter Decomposition with Reference to Lignin Fractions. Ecol. Res. 2008, 23, 51–55. [Google Scholar] [CrossRef]
- Kösters, R.; Du Preez, C.C.; Amelung, W. Lignin Dynamics in Secondary Pasture Soils of the South African Highveld. Geoderma 2018, 319, 113–121. [Google Scholar] [CrossRef]
- Wang, J.-J.; Bowden, R.D.; Lajtha, K.; Washko, S.E.; Wurzbacher, S.J.; Simpson, M.J. Long-Term Nitrogen Addition Suppresses Microbial Degradation, Enhances Soil Carbon Storage, and Alters the Molecular Composition of Soil Organic Matter. Biogeochemistry 2019, 142, 299–313. [Google Scholar] [CrossRef]
- Heim, A.; Schmidt, M.W.I. Lignin Turnover in Arable Soil and Grassland Analysed with Two Different Labelling Approaches. Eur. J. Soil Sci. 2007, 58, 599–608. [Google Scholar] [CrossRef]
- Kiem, R.; Kögel-Knabner, I. Contribution of Lignin and Polysaccharides to the Refractory Carbon Pool in C-Depleted Arable Soils. Soil Biol. Biochem. 2003, 35, 101–118. [Google Scholar] [CrossRef]
- Ma, T.; Zhu, S.; Wang, Z.; Chen, D.; Dai, G.; Feng, B.; Su, X.; Hu, H.; Li, K.; Han, W.; et al. Divergent Accumulation of Microbial Necromass and Plant Lignin Components in Grassland Soils. Nat. Commun. 2018, 9, 3480. [Google Scholar] [CrossRef]
- Thevenot, M.; Dignac, M.-F.; Rumpel, C. Fate of Lignins in Soils: A Review. Soil Biol. Biochem. 2010, 42, 1200–1211. [Google Scholar] [CrossRef]
- Song, A.; Zhang, J.; Xu, D.; Wang, E.; Bi, J.; Asante-Badu, B.; Njyenawe, M.C.; Sun, M.; Xue, P.; Wang, S.; et al. Keystone Microbial Taxa Drive the Accelerated Decompositions of Cellulose and Lignin by Long-Term Resource Enrichments. Sci. Total Environ. 2022, 842, 156814. [Google Scholar] [CrossRef] [PubMed]
- Xu, J.M.; Tang, C.; Chen, Z.L. Chemical Composition Controls Residue Decomposition in Soils Differing in Initial PH. Soil Biol. Biochem. 2006, 38, 544–552. [Google Scholar] [CrossRef]
- Jiang, C.; Cheng, Y.; Zang, H.; Chen, X.; Wang, Y.; Zhang, Y.; Wang, J.; Shen, X.; Li, C. Biodegradation of Lignin and the Associated Degradation Pathway by Psychrotrophic Arthrobacter Sp. C2 from the Cold Region of China. Cellulose 2020, 27, 1423–1440. [Google Scholar] [CrossRef]
- Cheng, Y.; Huang, M.; Shen, X.; Jiang, C. Enhanced Cornstalk Decomposition by a Psychrotrophic Bacterial Consortium Comprising Cellulose, Hemicellulose, and Lignin Degraders with Biochar as a Carrier for Carbon Neutrality. Bioresour. Technol. 2022, 344, 126259. [Google Scholar] [CrossRef]
- Wilhelm, R.C.; Singh, R.; Eltis, L.D.; Mohn, W.W. Bacterial Contributions to Delignification and Lignocellulose Degradation in Forest Soils with Metagenomic and Quantitative Stable Isotope Probing. ISME J. 2019, 13, 413–429. [Google Scholar] [CrossRef]
- Fan, W.; Wu, J. Short-Term Effects of Returning Granulated Straw on Soil Microbial Community and Organic Carbon Fractions in Dryland Farming. J. Microbiol. 2020, 58, 657–667. [Google Scholar] [CrossRef]
- Song, K.; Zhou, C.; Li, H.; Zhou, Z.; Ni, G.; Yin, X. Effects of Rumen Microorganisms on Straw Returning to Soil at Different Depths. Eur. J. Soil Biol. 2023, 114, 103454. [Google Scholar] [CrossRef]
- Alonso, D.M.; Wettstein, S.G.; Dumesic, J.A. Bimetallic Catalysts for Upgrading of Biomass to Fuels and Chemicals. Chem. Soc. Rev. 2012, 41, 8075. [Google Scholar] [CrossRef]
- Puentes-Téllez, P.E.; Falcao Salles, J. Construction of Effective Minimal Active Microbial Consortia for Lignocellulose Degradation. Microb. Ecol. 2018, 76, 419–429. [Google Scholar] [CrossRef]
- Shinde, R.; Shahi, D.K.; Mahapatra, P.; Naik, S.K.; Thombare, N.; Singh, A.K. Potential of Lignocellulose Degrading Microorganisms for Agricultural Residue Decomposition in Soil: A Review. J. Environ. Manag. 2022, 320, 115843. [Google Scholar] [CrossRef] [PubMed]
- Mainwaring, K.; Hallin, I.L.; Douglas, P.; Doerr, S.H.; Morley, C.P. The Role of Naturally Occurring Organic Compounds in Causing Soil Water Repellency: Soil Water Repellency from Organic Compounds. Eur. J. Soil Sci. 2013, 64, 667–680. [Google Scholar] [CrossRef]
- Maryganova, V.; Szajdak, L.W.; Tychinskaya, L. Hydrophobic and Hydrophilic Properties of Humic Acids from Soils under Shelterbelts of Different Ages. Chem. Ecol. 2010, 26, 25–33. [Google Scholar] [CrossRef]
- Olk, D.C.; Bloom, P.R.; De Nobili, M.; Chen, Y.; McKnight, D.M.; Wells, M.J.M.; Weber, J. Using Humic Fractions to Understand Natural Organic Matter Processes in Soil and Water: Selected Studies and Applications. J. Environ. Qual. 2019, 48, 1633–1643. [Google Scholar] [CrossRef]
- Weber, J.; Chen, Y.; Jamroz, E.; Miano, T. Preface: Humic Substances in the Environment. J. Soils Sediments 2018, 18, 2665–2667. [Google Scholar] [CrossRef]
- Vogelmann, E.S.; Reichert, J.M.; Prevedello, J.; Consensa, C.O.B.; Oliveira, A.É.; Awe, G.O.; Mataix-Solera, J. Threshold Water Content beyond Which Hydrophobic Soils Become Hydrophilic: The Role of Soil Texture and Organic Matter Content. Geoderma 2013, 209–210, 177–187. [Google Scholar] [CrossRef]
- Leue, M.; Gerke, H.H.; Godow, S.C. Droplet Infiltration and Organic Matter Composition of Intact Crack and Biopore Surfaces from Clay-illuvial Horizons. J. Plant Nutr. Soil Sci. 2015, 178, 250–260. [Google Scholar] [CrossRef]
- Liyanage, T.D.P.; Leelamanie, D.A.L. Influence of Organic Manure Amendments on Water Repellency, Water Entry Value, and Water Retention of Soil Samples from a Tropical Ultisol. J. Hydrol. Hydromech. 2016, 64, 160–166. [Google Scholar] [CrossRef]
- Hallett, P.D.; Baumgartl, T.; Young, I.M. Subcritical Water Repellency of Aggregates from a Range of Soil Management Practices. Soil Sci. Soc. Am. J. 2001, 65, 184–190. [Google Scholar] [CrossRef]
- Olorunfemi, I.E.; Fasinmirin, J.T. Land Use Management Effects on Soil Hydrophobicity and Hydraulic Properties in Ekiti State, Forest Vegetative Zone of Nigeria. CATENA 2017, 155, 170–182. [Google Scholar] [CrossRef]
- Horne, D.J.; McIntosh, J.C. Hydrophobic Compounds in Sands in New Zealand—Extraction, Characterisation and Proposed Mechanisms for Repellency Expression. J. Hydrol. 2000, 231–232, 35–46. [Google Scholar] [CrossRef]
- Graber, E.R.; Tagger, S.; Wallach, R. Role of Divalent Fatty Acid Salts in Soil Water Repellency. Soil Sci. Soc. Am. J. 2009, 73, 541–549. [Google Scholar] [CrossRef]
- Morley, C.P.; Mainwaring, K.A.; Doerr, S.H.; Douglas, P.; Llewellyn, C.T.; Dekker, L.W. Organic Compounds at Different Depths in a Sandy Soil and Their Role in Water Repellency. Soil Res. 2005, 43, 239. [Google Scholar] [CrossRef]
- Atanassova, I.; Doerr, S. Organic Compounds of Different Extractability in Total Solvent Extracts from Soils of Contrasting Water Repellency. Eur. J. Soil Sci. 2010, 61, 298–313. [Google Scholar] [CrossRef]
- Doerr, S.H.; Llewellyn, C.T.; Douglas, P.; Morley, C.P.; Mainwaring, K.A.; Haskins, C.; Johnsey, L.; Ritsema, C.J.; Stagnitti, F.; Allinson, G.; et al. Extraction of Compounds Associated with Water Repellency in Sandy Soils of Different Origin. Soil Res. 2005, 43, 225. [Google Scholar] [CrossRef]
- Capriel, P.; Beck, T.; Borchert, H.; Gronholz, J.; Zachmann, G. Hydrophobicity of the Organic Matter in Arable Soils. Soil Biol. Biochem. 1995, 27, 1453–1458. [Google Scholar] [CrossRef]
- McKissock, I.; Gilkes, R.J.; Bronswijk, W. van The Relationship of Soil Water Repellency to Aliphatic C and Kaolin Measured Using DRIFT. Soil Res. 2003, 41, 251. [Google Scholar] [CrossRef]






Disclaimer/Publisher’s Note: The statements, opinions and data contained in all publications are solely those of the individual author(s) and contributor(s) and not of MDPI and/or the editor(s). MDPI and/or the editor(s) disclaim responsibility for any injury to people or property resulting from any ideas, methods, instructions or products referred to in the content. |
© 2023 by the authors. Licensee MDPI, Basel, Switzerland. This article is an open access article distributed under the terms and conditions of the Creative Commons Attribution (CC BY) license (https://creativecommons.org/licenses/by/4.0/).
Share and Cite
Zhang, B.-Y.; Dou, S.; Guan, S.; Yang, C.; Wang, Z. Deep Straw Burial Accelerates Straw Decomposition and Improves Soil Water Repellency. Agronomy 2023, 13, 1927. https://doi.org/10.3390/agronomy13071927
Zhang B-Y, Dou S, Guan S, Yang C, Wang Z. Deep Straw Burial Accelerates Straw Decomposition and Improves Soil Water Repellency. Agronomy. 2023; 13(7):1927. https://doi.org/10.3390/agronomy13071927
Chicago/Turabian StyleZhang, Bo-Yan, Sen Dou, Song Guan, Chuang Yang, and Zhao Wang. 2023. "Deep Straw Burial Accelerates Straw Decomposition and Improves Soil Water Repellency" Agronomy 13, no. 7: 1927. https://doi.org/10.3390/agronomy13071927
APA StyleZhang, B.-Y., Dou, S., Guan, S., Yang, C., & Wang, Z. (2023). Deep Straw Burial Accelerates Straw Decomposition and Improves Soil Water Repellency. Agronomy, 13(7), 1927. https://doi.org/10.3390/agronomy13071927

