Improving Stem Lodging Resistance, Yield, and Water Efficiency of Wheat by Adjusting Supplemental Irrigation Frequency
Abstract
:1. Introduction
2. Materials and Methods
2.1. Experimental Design
2.2. Determination Index and Experimental Method
2.2.1. Stem Morphology and Structure
2.2.2. Lodging Index
2.2.3. Dry Matter Transport
2.2.4. Grain Filling Rate
2.2.5. Yield and WUE
2.3. Data Analysis
3. Results
3.1. Stem Length and Stem Diameter at the Anthesis Stage
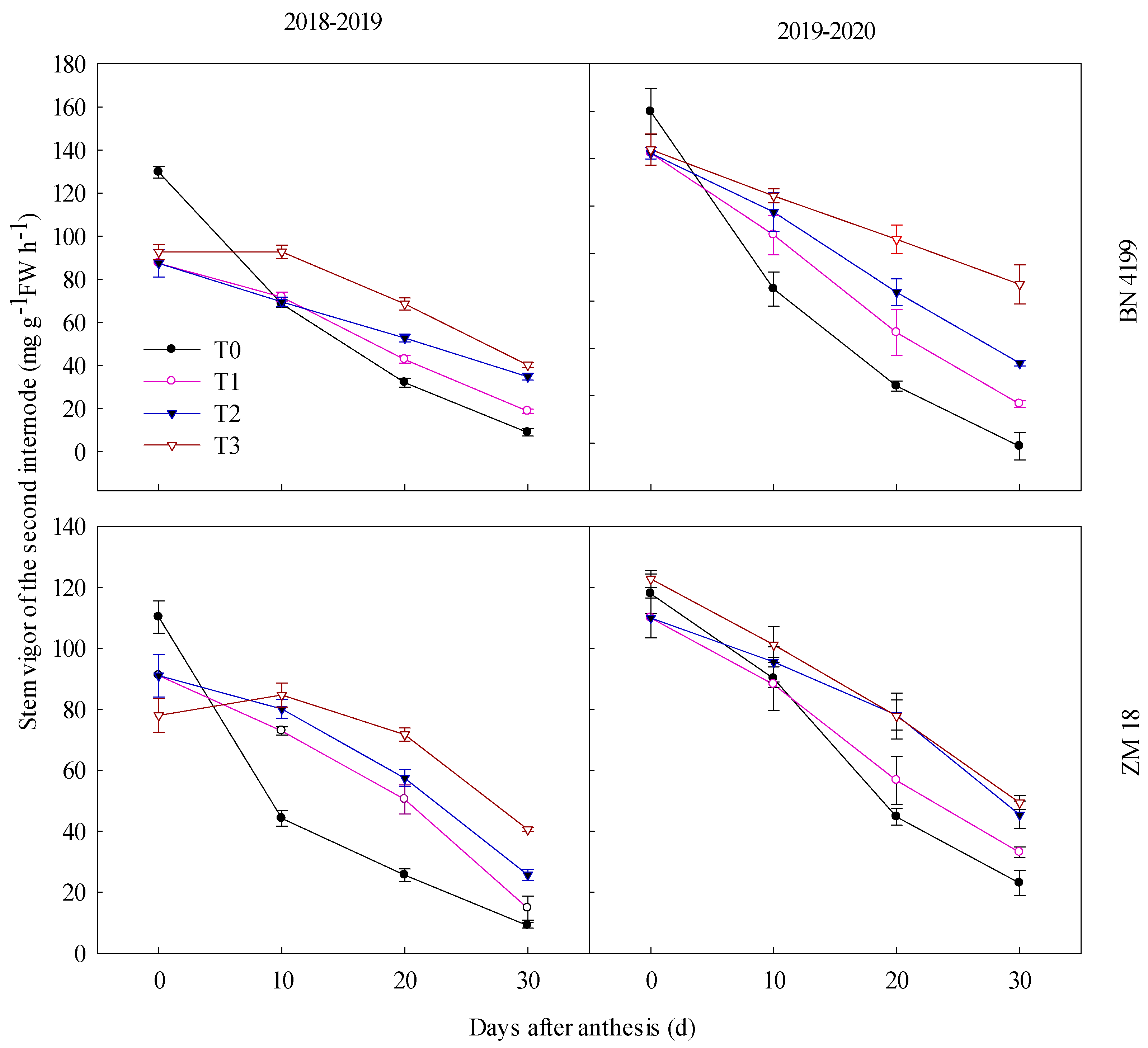
3.2. Stem Vigor
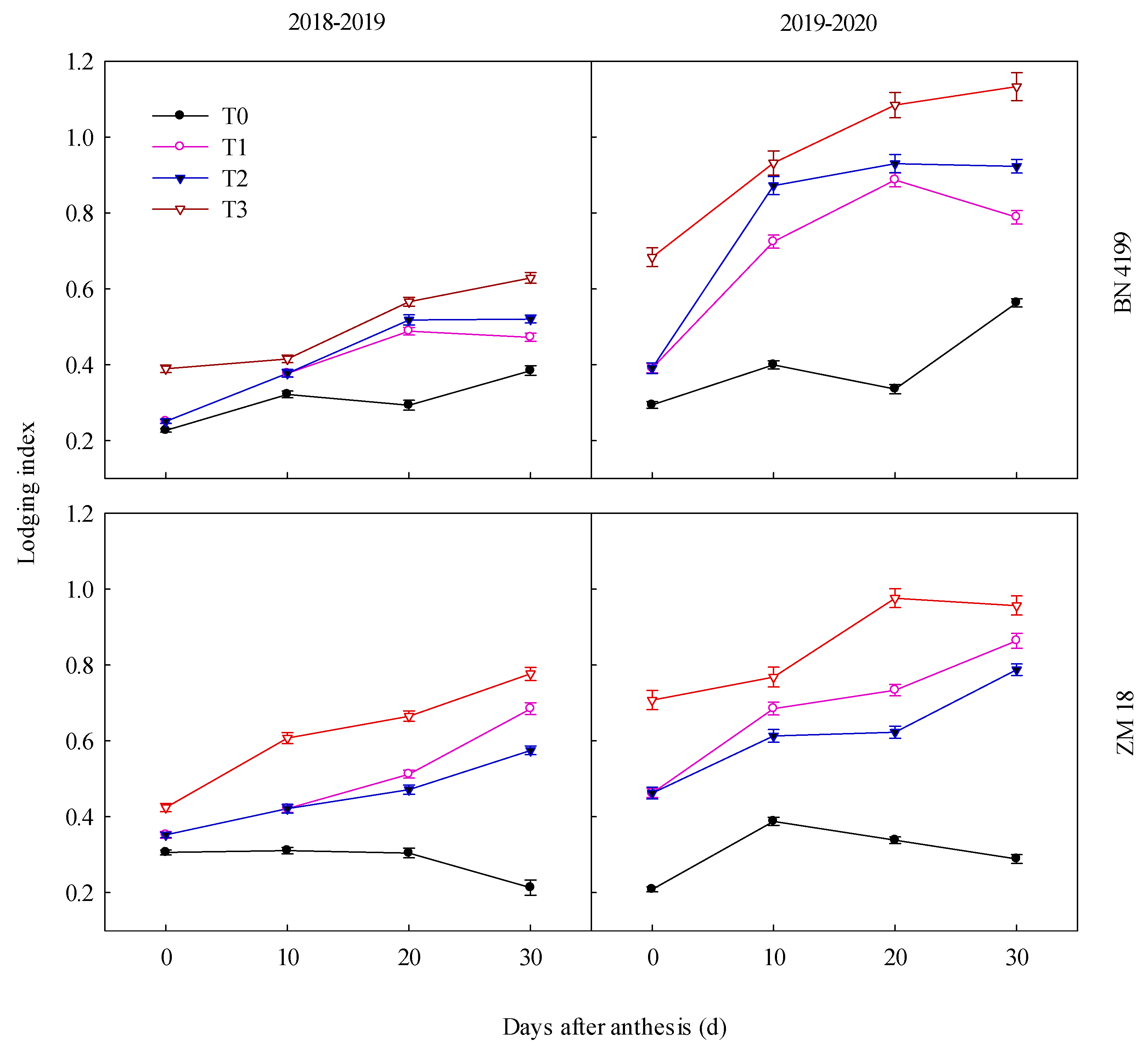
3.3. Lodging Index
3.4. Grain Filling
3.5. Yield and WUE
3.6. Correlation Analysis
4. Discussion
4.1. Effects of SI on Stem Structural Characteristics
4.2. Relationship between Stem Internode Characteristic Parameters and Yield and Lodging Resistance in Wheat
4.3. Effects of SI on the Yield and WUE of Wheat
5. Conclusions
Author Contributions
Funding
Data Availability Statement
Conflicts of Interest
References
- Li, C.; Chang, Y.; Luo, Y.; Li, W.; Jin, M.; Wang, Y.; Cui, H.; Sun, S.; Li, Y.; Wang, Z. Nitrogen regulates stem lodging resistance by breaking the balance of photosynthetic carbon allocation in wheat. Field Crop. Res. 2023, 296, 108908. [Google Scholar] [CrossRef]
- Berry, P.M.; Spink, J. Predicting yield losses caused by lodging in wheat. Field Crop. Res. 2012, 196, 268–275. [Google Scholar] [CrossRef]
- Peng, D.; Chen, X.; Yin, Y.; Lu, K.; Yang, W.; Tang, Y.; Wang, Z. Lodging resistance of winter wheat (Triticum aestivum L.): Lignin accumulation and its related enzymes activities due to the application of paclobutrazol or gibberellin acid. Field Crop. Res. 2014, 157, 1–7. [Google Scholar] [CrossRef]
- Wu, W.; Ma, B.; Fan, J.; Sun, M.; Yi, Y.; Guo, W. Management of nitrogen fertilization to balance reducing lodging risk and increasing yield and protein content in spring wheat. Field Crop. Res. 2019, 241, 107584. [Google Scholar] [CrossRef]
- Chen, X.; Wang, J.; Wang, Z.; Li, W.; Wang, C.; Yan, S.; Li, H.; Zhang, A.; Tang, Z.; Wei, M. Optimized nitrogen fertilizer application mode increased culms lignin accumulation and lodging resistance in culms of winter wheat. Field Crop. Res. 2018, 228, 31–38. [Google Scholar] [CrossRef]
- Tripathi, S.C.; Sayre, K.D.; Kaul, J.N.; Narang, R.S. Growth and morphology of spring wheat (Triticum aestivum L.) culms and their association with lodging: Effects of genotypes, N levels and ethephon. Field Crop. Res. 2004, 84, 207–220. [Google Scholar] [CrossRef]
- Feng, S.; Ru, Z.; Ding, W.; Hu, T.; Li, G. Study of the relationship between field lodging and stem quality traits of winter wheat in the north China plain. Crop Pasture Sci. 2019, 70, 772–780. [Google Scholar] [CrossRef]
- Piñera-Chávez, F.J.; Berry, P.M.; Foulkes, M.J.; Molero, G.; Reynolds, M.P. Avoiding lodging in irrigated spring wheat. II. Genetic variation of stem and root structural properties. Field Crop. Res. 2016, 196, 64–74. [Google Scholar] [CrossRef]
- Zhang, R.; Jia, Z.; Ma, X.; Ma, H.; Zhao, Y. Characterising the morphological characters and carbohydrate metabolism of oat culms and their association with lodging resistance. Plant Biol. 2019, 22, 267–276. [Google Scholar] [CrossRef]
- Wang, Y.; Jin, M.; Luo, Y.; Chang, Y.; Zhu, J.; Li, Y.; Wang, Z. Effects of irrigation on stem lignin and breaking strength of winter wheat with different planting densities. Field Crop. Res. 2022, 282, 108518. [Google Scholar] [CrossRef]
- Islam, M.; Peng, S.; Visperas, R.; Ereful, N.; Bhuiya, M.; Julfiquar, A. Lodging-related morphological traits of hybrid rice in a tropical irrigated ecosystem. Field Crop. Res. 2007, 101, 240–248. [Google Scholar] [CrossRef]
- Zheng, M.; Chen, J.; Shi, Y.; Li, Y.; Yin, Y.; Yang, D.; Luo, Y.; Pang, D.; Xu, X.; Li, W.; et al. Manipulation of lignin metabolism by plant densities and its relationship with lodging resistance in wheat. Sci. Rep. 2017, 7, srep41805. [Google Scholar] [CrossRef] [PubMed]
- Niu, Y.; Chen, T.; Zhao, C.; Zhou, M. Lodging prevention in cereals: Morphological, biochemical, anatomical traits and their molecular mechanisms, management and breeding strategies. Field Crop. Res. 2022, 289, 108733. [Google Scholar] [CrossRef]
- Li, W.; Han, M.; Pang, D.; Chen, J.; Wang, Y.; Dong, H.; Chang, Y.; Jin, M.; Luo, Y.; Li, Y.; et al. Characteristics of lodging resistance of high-yield winter wheat as affected by nitrogen rate and irrigation managements. J. Int. Agric. 2022, 21, 1290–1309. [Google Scholar] [CrossRef]
- Zhang, J.; Li, G.; Song, Y.; Liu, Z.; Yang, C.; Tang, S.; Zheng, C.; Wang, S.; Ding, Y. Lodging resistance characteristics of high-yielding rice populations. Field Crop. Res. 2014, 161, 64–74. [Google Scholar] [CrossRef]
- Deng, Y.; Liu, W.; Yuan, X.; Yuan, J.; Zou, J.; Du, J.; Yang, W. Relationship between cellulose synthesis metabolism and lodging resistance in intercropping soybean at seedling stage. Chin. J. Appl. Ecol. 2016, 27, 469–476, (In Chinese with an English Abstract). [Google Scholar] [CrossRef]
- Zhang, Y.; Xu, W.; Wang, H.; Dong, H.; Qi, X.; Zhao, M.; Fang, Y.; Gao, C.; Hu, L. Progress in genetic improvement of grain yield and related physiological traits of Chinese wheat in Henan Province. Field Crop. Res. 2016, 199, 117–128. [Google Scholar] [CrossRef]
- Fang, Q.; Chen, Y.; Li, Q.; Yu, S.; Yu, S.; Dong, Q.; Luo, Y.; Yu, Q.; Ou-Yang, Z. Effects of irrigation on photosynthate supply and conversion and related enzymes activity during grain filling period. Acta Agron Sin. 2004, 30, 1113–1118. [Google Scholar]
- Zhang, H.; Han, K.; Gu, S.; Wang, D. Effects of supplemental irrigation on the accumulation, distribution and transportation of 13C-photosynthate, yield and water use efficiency of winter wheat. Agric. Water Manag. 2019, 214, 1–8. [Google Scholar] [CrossRef]
- Fathian, M.; Bazrafshan, O.; Jamshidi, S.; Jafari, L. Impacts of climate change on water footprint components of rainfed and irrigated wheat in a semi-arid environment. Environ. Monit. Assess. 2023, 195, 324. [Google Scholar] [CrossRef]
- Jamshidi, S.; Zand-Parsa, S.; Kamgar-Haghighi, A.; Shahsavar, A.; Niyogi, D. Evapotranspiration, crop coefficients, and physiological responses of citrus trees in semi-arid climatic conditions. Agric. Water Manag. 2020, 227, 105838. [Google Scholar] [CrossRef]
- Reynolds, M.; Foulkes, M.J.; Slafer, G.A.; Berry, P.; Parry, M.A.J.; Snape, J.W.; Angus, W.J. Raising yield potential in wheat. J. Exp. Bot. 2009, 60, 1899–1918. [Google Scholar] [CrossRef] [PubMed]
- Wang, C.; Zhao, J.; Feng, Y.; Shang, M.; Bo, X.; Gao, Z.; Chen, F.; Chu, Q. Optimizing tillage method and irrigation schedule for greenhouse gas mitigation, yield improvement, and water conservation in wheat–maize cropping systems. Agric. Water Manag. 2021, 248, 106762. [Google Scholar] [CrossRef]
- Ma, S.; Duan, A.; Ma, S.; Yang, S. Effect of early-stage regulated deficit irrigation on stem lodging resistance, leaf photosynthesis, root respiration and yield stability of winter wheat under post-anthesis water stress conditions. Irrig. Drain. 2016, 65, 673–681. [Google Scholar] [CrossRef]
- Naghdyzadegan, J.; Zand-Parsa, S.; Razzaghi, F.; Jamshidi, S.; Didari, S.; Doosthosseini, A.; Pourghasemi, H. Developing machine learning models for wheat yield prediction using ground-based data, satellite-based actual evapotranspiration and vegetation indices. Eur. J. Agric. 2023, 146, 126820. [Google Scholar] [CrossRef]
- Bazrafshan, O.; Ehteram, M.; Moshizi, Z.; Jamshidi, S. Evaluation and uncertainty assessment of wheat yield prediction by multilayer perceptron model with bayesian and copula bayesian approaches. Agric. Water Manag. 2022, 273, 107881. [Google Scholar] [CrossRef]
- Li, Q.; Bian, C.; Liu, X.; Ma, C.; Liu, Q. Winter wheat grain yield and water use efficiency in wide-precision planting pattern under deficit irrigation in North China Plain. Agric. Water Manag. 2015, 153, 71–76. [Google Scholar] [CrossRef]
- Zhang, Y.; Zhang, Y.; Wang, Z.; Wang, Z. Characteristics of canopy structure and contributions of non-leaf organs to yield in winter wheat under different irrigated conditions. Field Crop. Res. 2011, 123, 187–195. [Google Scholar] [CrossRef]
- You, Y.; Song, P.; Yang, X.; Zheng, Y.; Dong, L.; Chen, J. Optimizing irrigation for winter wheat to maximize yield and maintain high-efficient water use in a semi-arid environment. Agric. Water Manag. 2022, 273, 107901. [Google Scholar] [CrossRef]
- Niu, L.; Feng, S.; Ru, Z.; Li, G.; Zhang, Z.; Wang, Z. Rapid determination of single-stalk and population lodging resistance strengths and an assessment of the stem lodging wind speeds for winter wheat. Field Crop. Res. 2012, 139, 1–8. [Google Scholar] [CrossRef]
- Feng, S.; Ding, W.; Shi, C.; Zhu, X.; Hu, T.; Ru, Z. Optimizing the spatial distribution of roots by supplemental irrigation to improve grain yield and water use efficiency of wheat in the North China Plain. Agric. Water Manag. 2023, 275, 107989. [Google Scholar] [CrossRef]
- Wang, Y.; Li, Q. Evaluation method of stem lodging resistance in wheat. Acta Agric. Boreali-Sin. 1995, 10, 84–88, (In Chinese with an English Abstract). [Google Scholar]
- Feng, S.; Gu, S.; Zhang, H.; Wang, D. Root vertical distribution is important to improve water use efficiency and grain yield of wheat. Field Crop. Res. 2017, 214, 131–141. [Google Scholar] [CrossRef]
- Wang, T.; Wei, L.; Wang, H.; Ma, S.; Ma, B. Responses of rainwater conservation, precipitation-use efficiency and grain yield of summer maize to a furrow-planting and straw-mulching system in northern China. Field Crop. Res. 2011, 124, 223–230. [Google Scholar] [CrossRef]
- Wu, L.; Zhang, W.; Ding, Y.; Zhang, J.; Cambula, E.D.; Weng, F.; Liu, Z.; Ding, C.; Tang, S.; Chen, L.; et al. Shading contributes to the reduction of stem mechanical strength by decreasing cell wall synthesis in japonica rice (Oryza sativa L.). Front. Plant Sci. 2017, 8, 881. [Google Scholar] [CrossRef]
- Okuno, A.; Hirano, K.; Asano, K.; Takase, W.; Matsuoka, R.; Morinaka, Y.; Ueguchi-Tanaka, M.; Kitano, H.; Matsuoka, M. New approach to increasing rice lodging resistance and biomass yield through the use of high gibberellin producing varieties. PLoS ONE. 2014, 9, e86870. [Google Scholar] [CrossRef]
- Gao, Z.; Zhao, L.; Guo, L.; Huang, B.; Li, Y.; Niu, J. Effects of irrigation and nitrogen fertilizer rates on oil seed ffax stem lodging resistance and yield. Chin. J. Eco-Agric. 2015, 23, 544–553, (In Chinese with an English Abstract). [Google Scholar]
- Foulkes, M.J.; Slafer, G.A.; Davies, W.J.; Berry, P.M.; Sylvester-Bradley, R.; Martre, P.; Calderini, D.F.; Griffiths, S.; Reynolds, M.P. Raising yield potential of wheat. III. Optimizing partitioning to grain while maintaining lodging resistance. J. Exp. Bot. 2011, 62, 469–486. [Google Scholar] [CrossRef]
- Xu, X.; Zhang, M.; Li, J.; Liu, Z.; Zhao, Z.; Zhang, Y.; Zhou, S.; Wang, Z. Improving water use efficiency and grain yield of winter wheat by optimizing irrigations in the North China Plain. Field Crop. Res. 2018, 221, 219–227. [Google Scholar] [CrossRef]
- Li, C.; Wen, X.; Wan, X.; Liu, Y.; Han, J.; Liao, Y.; Wu, W. Towards the highly effective use of precipitation by ridge-furrow with plastic film mulching instead of relying on irrigation resources in a dry semi-humid area. Field Crop. Res. 2016, 188, 62–73. [Google Scholar] [CrossRef]
- Zhang, Y.; Xu, W.; Wang, H.; Fang, Y.; Dong, H.; Qi, X. Progress in improving stem lodging resistance of Chinese wheat cultivars. Euphytica 2016, 212, 275–286. [Google Scholar] [CrossRef]
- Rathore, V.S.; Nathawat, N.S.; Bhardwaj, S.; Sasidharan, R.P.; Yadav, B.M.; Kumar, M.; Santra, P.; Yadava, N.D.; Yadav, O.P. Yield, water and nitrogen use efficiencies of sprinkler irrigated wheat grown under different irrigation and nitrogen levels in an arid region. Agric. Water Manag. 2017, 187, 232–245. [Google Scholar] [CrossRef]
- Li, D.; Zhang, D.; Wang, H.; Li, H.; Fang, Q.; Li, H.; Li, R. Optimized Planting Density Maintains High Wheat Yield Under Limiting Irrigation in North China Plain. Int. J. Plant Prod. 2019, 14, 107–117. [Google Scholar] [CrossRef]
- Ma, S.; Wang, T.; Guan, X.; Zhang, X. Effect of sowing time and seeding rate on yield components and water use efficiency of winter wheat by regulating the growth redundancy and physiological traits of root and shoot. Field Crop. Res. 2018, 221, 166–174. [Google Scholar] [CrossRef]
- Xu, C.; Tao, H.; Tian, B.; Gao, Y.; Ren, J.; Wang, P. Limited-irrigation improves water use efficiency and soil reservoir capacity through regulating root and canopy growth of winter wheat. Field Crop. Res. 2016, 196, 268–275. [Google Scholar] [CrossRef]
- Xu, X.; Zhang, Y.; Li, J.; Zhang, M.; Zhou, X.; Zhou, S.; Wang, Z. Optimizing single irrigation scheme to improve water use efficiency by manipulating winter wheat sink-source relationships in northern china plain. PLoS ONE 2018, 13, e0193895. [Google Scholar] [CrossRef] [PubMed]
- Shang, Y.; Wang, S.; Lin, X.; Gu, S.; Wang, D. Supplemental irrigation at jointing improves spike formation of wheat tillers by regulating sugar distribution in ear and stem. Agric. Water Manag. 2023, 279, 108160. [Google Scholar] [CrossRef]
- Ma, J.; Huang, G.; Yang, D.; Chai, Q. Dry matter remobilization and compensatory effects in various internodes of spring wheat under water stress. Crop Sci. 2014, 54, 331–339. [Google Scholar] [CrossRef]










Disclaimer/Publisher’s Note: The statements, opinions and data contained in all publications are solely those of the individual author(s) and contributor(s) and not of MDPI and/or the editor(s). MDPI and/or the editor(s) disclaim responsibility for any injury to people or property resulting from any ideas, methods, instructions or products referred to in the content. |
© 2023 by the authors. Licensee MDPI, Basel, Switzerland. This article is an open access article distributed under the terms and conditions of the Creative Commons Attribution (CC BY) license (https://creativecommons.org/licenses/by/4.0/).
Share and Cite
Feng, S.; Shi, C.; Wang, P.; Ding, W.; Hu, T.; Ru, Z. Improving Stem Lodging Resistance, Yield, and Water Efficiency of Wheat by Adjusting Supplemental Irrigation Frequency. Agronomy 2023, 13, 2208. https://doi.org/10.3390/agronomy13092208
Feng S, Shi C, Wang P, Ding W, Hu T, Ru Z. Improving Stem Lodging Resistance, Yield, and Water Efficiency of Wheat by Adjusting Supplemental Irrigation Frequency. Agronomy. 2023; 13(9):2208. https://doi.org/10.3390/agronomy13092208
Chicago/Turabian StyleFeng, Suwei, Chenchen Shi, Peiyu Wang, Weihua Ding, Tiezhu Hu, and Zhengang Ru. 2023. "Improving Stem Lodging Resistance, Yield, and Water Efficiency of Wheat by Adjusting Supplemental Irrigation Frequency" Agronomy 13, no. 9: 2208. https://doi.org/10.3390/agronomy13092208
APA StyleFeng, S., Shi, C., Wang, P., Ding, W., Hu, T., & Ru, Z. (2023). Improving Stem Lodging Resistance, Yield, and Water Efficiency of Wheat by Adjusting Supplemental Irrigation Frequency. Agronomy, 13(9), 2208. https://doi.org/10.3390/agronomy13092208
