Next Article in Journal
GLD-Det: Guava Leaf Disease Detection in Real-Time Using Lightweight Deep Learning Approach Based on MobileNet
Previous Article in Journal
A Comprehensive Review of the Research of the “Eye–Brain–Hand” Harvesting System in Smart Agriculture
 
 
Font Type:
Arial Georgia Verdana
Font Size:
Aa Aa Aa
Line Spacing:
Column Width:
Background:
Article

Effects of Saline-Alkali Stress on Sugar Metabolism of Jujube Fruit: A Metabolomic Analysis

1
College of Horticulture and Forestry, Tarim University, Alar 843300, China
2
College of Life Science and Technology, Tarim University, Alar 843300, China
3
National-Local Joint Engineering Laboratory of High Efficiency and Superior Quality Cultivation and Fruit Deep Processing Technology on Characteristic Fruit Trees, Alar 843300, China
*
Author to whom correspondence should be addressed.
Agronomy 2023, 13(9), 2239; https://doi.org/10.3390/agronomy13092239
Submission received: 15 July 2023 / Revised: 24 August 2023 / Accepted: 24 August 2023 / Published: 26 August 2023
(This article belongs to the Section Horticultural and Floricultural Crops)

Abstract

:
There have been numerous studies on the effects of salt stress on jujube fruit; however, only a few studies have reported the changes in fruit quality, particularly sugar content, under conditions of combined salt and alkali stress. Therefore, the present study aimed to investigate the performance of jujube fruits under Saline-Alkali stress and the changes in sugar content in fruits. To achieve this, jujube fruits were treated with varying concentrations of salt and alkali during five developmental periods. The content of relevant sugar components was determined, and metabolomics data were analyzed in combination with relevant quantitative gene data. The results indicated that 100 days after flowering, the surface color of jujube fruit gradually turned red, and the cell structure of the fruit gradually loosened with increasing salt and alkali concentration. The content of sugar components at each stage showed that glucose and fructose primarily accumulate in the early stage of development, while sucrose is the main component in the later stage of development. Metabolomic correlation network maps showed that six differentially accumulated metabolites were closely related to specific genes. Among these metabolites, sucrose was identified as the core metabolite in the metabolic pathway. Quantitative analysis of the related genes revealed that ZjvINV2 and ZjHK2 exhibited prolonged adaptability to stress. Additionally, the expression levels of ZjSS1 and ZjSPS2 under Saline-Alkali stress were consistent with the trend of sucrose content during the same period. In conclusion, the variations in sugar content in jujube fruits during different growth stages and under Saline-Alkali treatment conditions were recorded as reference data, and the primary metabolic substances and related regulatory genes produced in jujube fruits under Saline-Alkali stress were preliminarily identified.

1. Introduction

Jujube (Ziziphus jujuba Mill.), a deciduous shrub belonging to the Rhamnus family, is native to China and distributed in both the northern and southern regions of the country. The cultivation of jujube trees is rapidly expanding in northwest China, particularly in Xinjiang, where soil salinization is a significant issue. Therefore, Saline-Alkali stress has become the primary limiting factor that affects the growth of fruit trees in the region [1].
When plants are exposed to salt and alkali stress, their ability to absorb, accumulate, and distribute water and nutrients is affected. This leads to morphological changes in the plants, which are both an adaptation to adversity and a self-protection mechanism [2]. The most direct harm caused by salt and alkali in soil is to the roots of plants. Salt and alkali stress reduce the total length of jujube roots, mainly by inhibiting the elongation of fine roots [3]. Leaves are the organs responsible for plant photosynthesis. After undergoing Saline-Alkali stress treatment, the majority of seedlings experience a significant decrease in the number of leaves, plant height, and relative water content in both their above-ground and underground parts. When jujube trees are subjected to salt stress, their leaves become thicker and fleshier, the number of layers in the palisade tissue increases, and the stomata collapse [4]. Moreover, soil salinity is a crucial factor that impacts the composition of the rhizosphere microbial community and the symbiotic relationship among microorganisms. The increase in soil salinity can lead to a reduction in microbial diversity and abundance, resulting in a more uniform community composition [5]. Currently, research on Saline-Alkali stress primarily focuses on plant growth and rhizosphere microorganisms. However, reports on the effects of Saline-Alkali stress on fruit quality, particularly sugar metabolism, are limited.
Most previous studies have shown that carbohydrates are essential substances for the growth and development of fruit trees [1,3]. They participate in the growth and development of fruit trees as an energy source, act as a signaling substance in the signal transduction pathway, and can resist external abiotic stress [6,7]. For instance, carbohydrates contribute to cassava’s ability to resist drought and salt stress [8]. Moreover, sugar metabolism and signal transduction enhance the sugar beet’s tolerance to low temperatures [9]. Sorghum seedlings alleviate drought stress by regulating the antioxidant system and sugar content [10]. Simultaneously, stress can also increase the concentration of sugar substances in fruit trees to a certain extent [11,12].
Moderate Saline-Alkali stress can improve the quality of fruit, which is a self-regulatory mechanism for plants to respond to stress [13]. The activation of the response mechanism in fruit trees to Saline-Alkali stress is primarily related to the expression and regulation of stress-responsive genes. The expression of stress-induced genes is key to resisting abiotic stress [14,15]. Genes encoding enzymes involved in sucrose metabolism can regulate the activity of related enzymes in response to stress, thereby controlling sugar accumulation in fruits. NaCl stress enhances the expression of the sucrose synthase and acid invertase genes, thereby regulating the accumulation of fructose and glucose [16]. Moreover, high levels of salt, high temperatures, and drought stress have been shown to significantly increase the expression of the sucrose synthase gene in grapes [17], maize [18], and other plants. This, in turn, promotes the accumulation of sucrose. Transcriptomic analysis, expression profiling, and functional enrichment analysis of salt-responsive differential genes in triticale have revealed that certain differentially expressed genes are significantly enriched in sucrose metabolic pathways associated with salt tolerance [19].
The high sugar content in jujube fruit is attributed to the interaction between the sugar synthesis and sugar transport genes. The sucrose content in jujube fruit has been demonstrated to show a positive correlation with the expression levels of ZjSPS1 (sucrose phosphor synthase), ZjSPS2, and ZjSS2 (Sucrose synthase) [20]. Studies on sucrose content, metabolization-related enzyme activities, and genes in different stages of jujube fruit development have indicated that ZjSPS3 and ZjSPS4 are the primary genes responsible for regulating sugar accumulation during the development of jujube fruit [21]. Furthermore, Zhang et al. conducted a genome sequencing-based screening and identified five key genes (ZjSPS1, ZjSPS2, ZjSS1, ZjSS2, and ZjSS3) for sucrose synthesis in jujube [22]. The interconversion of different types of sugar components is also influenced by the regulation of associated genes. The low expression of invertase genes (vINV, nINV, and cINV) in jujube fruits is a significant factor contributing to the higher sucrose content compared to fructose and glucose content. The low expression level of INV genes, which encode enzymes catalyzing the hydrolysis of sucrose into glucose and fructose, contributes to the accumulation of sucrose in jujube fruits [22].
Most scholars have studied the effects of salt stress on jujube [23,24]. However, there have been only limited studies on the adaptability and fruit quality of jujube under complex Saline-Alkali stress. It remains unclear how carbohydrate substances respond to salinity stress in jujube fruits and how related genes regulate carbohydrate accumulation. In this instance, metabolomics technology can provide qualitative and quantitative data on metabolites, enabling effective and comprehensive analysis of changes in metabolites in abiotic stress systems. This information can be used to establish the relationship between genes and metabolites and construct the regulatory network of corresponding metabolites [25,26,27]. Therefore, the present study utilized metabolomics to preliminarily analyze the physiological, biochemical, and molecular regulatory mechanisms in response to stress, thereby providing reference and technical support for the cultivation of jujube in Saline-Alkali conditions.

2. Materials and Methods

2.1. Plant Materials and Treatments

The experimental site was located in Alar (Xinjiang, China; 40°22′ N–40°57′ N). The region experiences a warm temperate, extreme continental arid desert climate, and approximately one-third of the total farmland area is secondary salinized farmland. Herein, a completely randomized experimental design was used, and the neutral salt NaCl and basic salt NaHCO3 were mixed in a molar ratio of 3:1 to prepare the treatment solution [1]. Starting from the young fruit stage, the jujube trees were irrigated with a Saline-Alkali solution every 14 days. The concentration gradients of the Saline-Alkali solution were 0 mmol·L−1, control check (CK), 120 mmol·L−1, low Saline-Alkali stress (LS), and 300 mmol·L−1, high Saline-Alkali stress (HS). Five trees were selected as fixed investigation samples for each treatment, with three biological replicates. To prevent the infiltration of Saline-Alkali solution, each treatment’s rows were separated by a double layer of plastic film. During the test, a plastic canopy with ventilation around the area was provided.
The jujube fruits located in the center of the tree and hanging outside the crown were tagged 10 days after flowering (DAF). A total of 30 fruit samples of equal size were collected at 60, 70, 85, 100, and 110 DAF from various parts of the tree. They were promptly transported to the laboratory, wiped clean, cored, mashed, and mixed. The mixture was then stored in an ultra-low temperature refrigerator at −80 °C for testing.

2.2. Determination of the Microstructure of Jujube Fruit

The microstructure of jujube fruit was analyzed through the paraffin sectioning method [28]. A Thermofisher microtome (HM325, Nashville TN, USA) was used for sectioning. Briefly, A 3 mm × 5 mm × 5 mm sample of equatorial pulp from a date fruit was fixed in a 4% solution of formaldehyde–acetic acid–ethanol fixative, trimmed, dehydrated, waxed, embedded, sliced, glued, dewaxed, stained, mounted, and digitally photographed following standard operating procedures.

2.3. Determination of Sugar Composition

The sugar content in jujube fruit was determined using high performance liquid chromatography (HPLC). Briefly, 1 g of quick-frozen pulp was accurately weighed using a scale precise to 0.001 g. Further, the pulp was transferred to a mortar and ground until homogenized. The homogenate was then placed in an 80 °C water bath for 30 min, ensuring continuous oscillation during this period. Next, the mixture was centrifuged at 4000 rpm for 15 min, after which the supernatant was transferred into a 25-mL volumetric flask using a filter membrane with a pore size of 0.22 μm. The sample was separated using an HPLC column, detected using an evaporative light scattering detector (ELSD), and quantified using the external standard method. Chromatographic conditions included the use of a Waters XBridgeTM BEH Amide column (4.6 mm × 250 mm, 5 μm) at a column temperature of 30 °C. The mobile phase consisted of a 76:24 volume ratio of acetonitrile to water, and the flow rate was 0.35 mL/min. The injection volume was 10 μL, the running time was 18 min, and each sample was measured three times in parallel. The standard curve was created using mass concentration (X) and peak area (Y), and the regression equation was established, which is presented in Table 1. The content of sugar components was calculated according to the peak area of the sample and the regression equation in Table 1.

2.4. Metabolomics Assay

The method for extracting metabolites was slightly modified based on the approach described by Zou et al. [29]. Briefly, 100 mg of freeze-dried jujube fruit powder was weighed, dissolved in 1.0 mL of extraction solution (which is a 70% methanol solution containing 0.1 mg/L lidocaine), and placed in a refrigerator at 4 °C overnight. The solution was swirled three times during this period to ensure proper mixing. After extraction, the sample was centrifuged at 12,000 rpm for 10 min. The supernatant was then filtered through a microporous filter membrane with a pore size of 0.22 μm and stored in an injection bottle for testing. Further, data were collected using ultra-performance liquid chromatography (UPLC) and tandem mass spectrometry (MS/MS). The Analyst 1.6.1 software was utilized to conduct orthogonal partial least squares discriminant analysis (OPLS-DA) on the normalized data matrix. Variable Importance in Projection (VIP) values and univariate statistical analysis, including t-test p-values, were employed to identify significant differences in metabolites between the various comparison groups. The threshold for a significant difference was set at a VIP value ≥ 1 and a t-test p-value of less than 0.05. After normalizing the data, we conducted cluster analysis as well as Gene Ontology (GO) and Kyoto Encyclopedia of Genes and Genomes (KEGG) function analyses.

2.5. Quantitative Real-Time PCR (qRT-PCR)

The qRT-PCR test was conducted following the instructions of the TransStart® Green qPCR SuperMix kit, with slight modifications [30]. When using UBQ2 as the internal reference gene, the reaction system should include 10 μL of total volume, 0.5 μL of cDNA template, 0.5 μL of both anterior and posterior primers, 5 μL of 2× PerfectStartTM Green qPCR SuperMix, 0.5 μL of Passive Reference Dye, 4.5 μL of ddH2O. Relative gene expression was calculated using the 2−ΔΔCT method, as described by Livak et al. The data are expressed as the mean ± standard error (SE) of three repetitions. The primers utilized for qRT-PCR are presented in Table 2.

2.6. Data Analysis

IBM SPSS Statistics version 26.0 was utilized for data analysis, and Duncan’s multirange test was employed to determine significant differences at a significance level of p < 0.05. Charts were created using Microsoft Excel 2019 (Redmond, WA, USA) and Origin 2018 (San Rafael, CA, USA).

3. Results

3.1. Phenotypic Changes in Jujube Fruit under Different Salinity-Alkali Treatments

At 100 DAF, the control fruits displayed a partially red fruit surface, while the LS fruits exhibited a redder fruit surface, and the HS fruits displayed a completely red fruit surface (Figure 1A). HS fruits matured earlier, as indicated by the color of their fruit surface. The color of the fruit’s surface indicates that Saline-Alkali treatment may accelerate fruit ripening. Paraffin sections of jujube fruits with three different salinity levels were prepared simultaneously (see Figure 1B). As evident in the figure, the structure of CK was complete, with closely arranged epidermal cells, plump flesh cells, and a smooth surface. The structure of LS flesh cells was orderly; however, the arrangement of these cells was loose, resulting in the formation of some cavities of varying sizes. The structure of the HS network was more complex, with an increased degree of irregularity, and some cells appeared slightly damaged.

3.2. Change in Sugar Component Content

The sugar composition of fruits was determined between 60 and 110 DAF (Figure 2). Generally, the content of fructose, glucose, and sucrose increased with the extension of growth time and sharply increased by 70 DAF. This indicates that the period of 70 DAF is a crucial time for glucose metabolism and fruit quality (Figure 2). The levels of fructose and glucose increased under Saline-Alkali stress (Figure 2A,B), whereas the sucrose content initially increased and then decreased with increasing Saline-Alkali stress conditions (Figure 2C). The change trend of total sugar content was similar to that of sucrose (as shown in Figure 2D), since jujube is a fruit that accumulates sucrose and has a relatively high sucrose content [31]. Our study showed that low Saline-Alkali stress promotes sugar accumulation, whereas high Saline-Alkali stress inhibits sugar accumulation.

3.3. Metabolomics Analysis

Metabolomics was performed on samples of jujube fruit from five different periods under three different treatments. Based on the results of OPLS-DA of metabolomics data (Figure 3A), the processed data within each group were relatively concentrated, and the samples in each comparison group were significantly separated from one another. The degree of separation in the data processed at different periods was greater than that of the data processed during the same period. The separation of metabolites changed consistently throughout the fruit’s development, indicating excellent repeatability and the acquisition of reliable and accurate data. The correlation clustering heat map of the samples (shown in Figure 3B) revealed that 60 and 70 DAF samples were clustered into one class, whereas 85, 100, and 110 DAF samples were clustered together in another class. This suggests that the critical period for metabolite transformation in jujube fruit is between 70 and 85 DAF, which is consistent with the findings shown in Figure 2.
We analyzed the KEGG annotation pathway of differential metabolites, and the results showed that the differential metabolites among treatments were enriched in several pathways, including “glycolysis gluconeogenesis”, “secondary metabolite synthesis”, “cofactor biosynthesis”, “abc transporter”, “carbon metabolism”, and “amino acid biosynthesis” (Figure 3C,D). Based on the threshold of significant differential metabolites (VIP ≥ 1 and p-value < 0.05), a total of 537 differential metabolites were identified (see Supplementary S1). Among these, 257 were adjusted upward and 280 were adjusted downward (refer to Table S1). After calculating the log2FC (fold change) based on the difference in multiples of differentially-accumulated metabolites (DAMs) between the treatment and control groups, the DAMs were classified according to the screening criteria of fold change ≥1.5 and ≤0.5, as shown in Supplementary S2. The identified metabolites included 39 amino acids and their derivatives, 104 phenolic acid metabolites, 27 nucleotides and their derivatives, 66 flavonoid metabolites, 22 lignans and coumarin metabolites, 24 other metabolites (such as sugars and alcohols), 47 alkaloid metabolites, 29 terpene metabolites, 26 organic acid metabolites, 151 lipid metabolites, and 2 tannin metabolites.

3.4. Screening of Differentially-Accumulated Metabolites

Under different Saline-Alkali treatments, the top 10 metabolic pathways enriched with the most metabolites during the five stages of jujube fruit development were identified. These pathways included starch and sucrose metabolism (KO00500), galactose metabolism (KO00052), biosynthesis of secondary metabolites (KO01110), ABC transporter (KO02010), ascorbic acid and alder acid metabolism (KO00053), amino sugar and nucleotide sugar metabolism (KO00520), pentose and glucuronic acid conversion (KO00040), carbon fixation in photosynthetic organisms (KO00710), and carbon metabolism (KO01200). All these pathways are related to carbohydrate metabolism.
In the analysis of the metabolic pathways of starch and sucrose, 10 DAMs were detected (see Figure 4A): glucose, mannose, glucuronic acid, glucose-1-phosphate, glucose-6-phosphate, fructose-6-phosphate, fructose-1, 6-diphosphate, sucrose, and trehalose. These metabolites were found to be present and clustered (see Figure 4A). The content of fructose and glucose was high in one class at 60 and 70 DAF and low at 85–110 DAF. The levels of fructose were higher under high salinity and alkali stress conditions at all times than under control conditions. The contents of glucose-6-phosphate, glucose-1-phosphate, and fructose-6-phosphate were lower under low and high saline stress conditions at each stage than those under control conditions and were clustered into one class. Moreover, the levels of metabolites such as trehalose, sucrose, glucose-1, 6-diphosphate, uridine 5-diphosphoglycerate-glucose, and trehalose 6-phosphate gradually increased with the development of fruits and were grouped into one class. The levels of glucose-1, 6-diphosphate, uridine 5-diphosphoglycerate-glucose, and trehalose 6-phosphate decreased at 85 and 110 DAF with an increase in Saline-Alkali stress (see Figure 4A). The correlation network diagram incorporating 10 DAMs and related genes (Figure 4B) revealed that a total of 6 DAMs, including glucose-1, 6-diphosphate, glucose, trehalose, sucrose, fructose, and glucose-6-phosphate, were strongly correlated with genes. Among these metabolites, sucrose was identified as the core metabolite in the metabolic pathway.

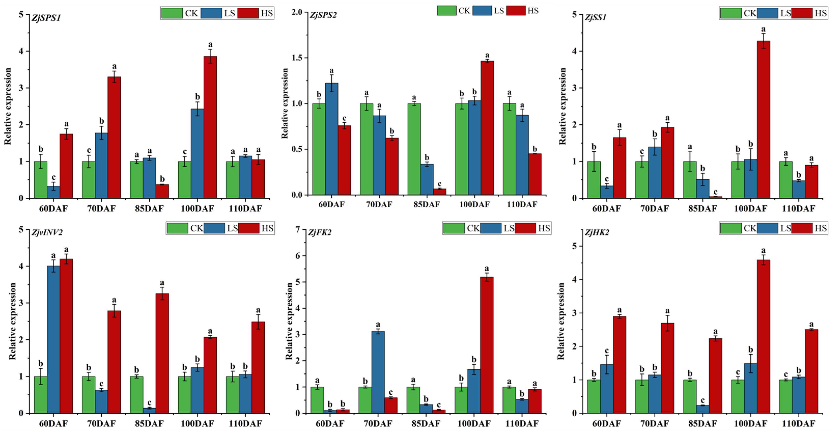
3.5. Expression Analysis of Genes Related to Carbohydrate Metabolism Enzymes

The expression changes in genes (such as sucrose phosphosynthase, hexokinase, and fructokinase) of jujube fruits with the growth and development of fruits and Saline-Alkali stress are shown in Figure 5. In general, with the development of fruit, the expression levels of sucrose phosphate synthetase gene ZjSPS1, sucrose synthase gene ZjSS1, and hexokinase gene ZjFK2 showed a trend of first increasing and then decreasing, with expression levels reaching the maximum at 100 DAF. This suggests that the period of 100 DAF is crucial for the expression of sugar component-related genes. During this time, production should excel in field management. With the intensification of Saline-Alkali stress, the expression levels of ZjSPS1, ZjSS1, ZjvINV2, and ZjHK2 genes were significantly higher at 60–100 DAF under HS treatment than those under CK and LS treatments. At 110 DAF, the expression levels of ZjSPS1 and ZjSS1 genes were not significantly different between HS and CK treatments, and those of ZjvINV2 and ZjHK2 genes were higher under HS treatment than under CK and LS treatments. These findings suggest that the sucrose invertase gene ZjvINV2 and the fructokinase gene ZjHK2 played a regulatory role even during the late stress period. At 110 DAF, the expression levels of sucrose synthase promoting genes ZjSS1 and ZjSPS2 decreased under high salt and alkali concentrations. This result is consistent with the changing trend of sucrose content during this time period, suggesting that the two genes positively regulate sucrose synthesis.

4. Discussion

The external environment can trigger premature fruit ripening; however, the mechanism underlying premature ripening varies [32,33]. Strong light stress induces the production of H2O2 in tomatoes, which promotes fruit ripening through oxidative metabolism and hormonal signals that integrate with ethylene [34]. In pomegranate cultivation, shortening the irrigation period towards the end of the ripening period can advance the harvest. This not only saves irrigation water but also increases the contents of anthocyanins, phenolic compounds, fruit glucosides, and ellagic acid. As a result, it increases the fruit price without affecting the market yield or fruit size [35]. In this study, it was observed that the fruit color turned red as the concentration of Saline-Alkali stress increased at 100 DAF (Figure 1A). This suggests that salt and alkali stress may promote fruit ripening. However, the specific mechanism underlying this premature maturation requires further investigation. It is also an interesting question whether fruit maturity and sugar content are correlated, and relevant tests will be conducted in the future.
Plants have the ability to resist stress by accumulating sugars, increasing the concentration of intracellular solutes, and maintaining osmotic balance. This helps to maintain normal cell turgor pressure, prevent excessive dehydration of cell protoplasts, and reduce the harm caused by stress [36,37]. Excessive stress can cause an osmotic imbalance and hinder sugar accumulation [38,39]. Studies have shown that under varying concentrations of NaCl stress, the levels of glucose, fructose, and sucrose in the leaves of tomato seedlings are higher at low concentrations than those of the control group at high concentrations [40]. In our study, the sugar content exhibited a trend of initially increasing and then decreasing with the increase in Saline-Alkali stress (Figure 2D). This indicates that low Saline-Alkali stress promotes the accumulation of sugar in fruits, whereas high Saline-Alkali stress inhibits the accumulation of sugar in fruits.
The type and quantity of sugar are key factors in determining the quality of fruit. Sugar serves as a fundamental building block for the production of fruit flavor compounds. The content and type of sugar in fruits vary at different stages of development [41]. Our study demonstrated that during the initial stages of jujube fruit development (60 and 70 DAF), glucose and fructose were the primary sugars accumulated (Figure 2). As the fruits matured, sucrose content increased rapidly (Figure 2C), eventually becoming the primary component of sugar accumulation in jujube fruits [42].
Metabolomics analysis is an effective method for studying plant metabolites. In previous studies, the mechanisms underlying the responses of soybean [43], wheat [44], tomato [45] to Saline-Alkali stress have been investigated using metabolomics. In the present study, a broad-targeted metabolomics approach was employed to determine metabolites present in five stages of jujube fruit development under conditions of low-salinity stress, high-salinity stress, and no stress. A total of 144 phenolic acids, 77 flavonols, 76 amino acids and their derivatives, 69 free fatty acids, 60 sugars and alcohols, 59 organic acids and their derivatives, 45 nucleotides and their derivatives, 35 flavonoids, 34 triterpenoids, and 31 lysophosphatidylcholines were found to be involved in the response of jujube fruit to Saline-Alkali stress. Significant differences in metabolites were observed (Figure 3). This suggests that metabolomics technology can effectively identify the metabolites and metabolic pathways of jujube fruit in response to Saline-Alkali stress.
Plants maintain cellular homeostasis by regulating their own metabolites, such as sugars, proteins, and lipids, to adapt to changes in the external environment when under stress [46]. In the present study, we found that the metabolites produced under different treatments were primarily carbohydrates, lipids, phenolic acids, amino acids, and alcohols (see Table S2). It is possible that stress triggers the use of sugars as energy carriers and promotes the structural rearrangement of cell membranes to resist stress [47]. Carbohydrates are a crucial component of fruit nutrients and also serve as vital signaling substances for plants to resist stress. Environmental conditions, such as high salt levels, alkalinity, and drought, can significantly impact the accumulation of sugar in plants [48,49]. The top 10 metabolic pathways identified in this study are all related to carbohydrate metabolism, indicating that jujube fruit responds to Saline-Alkali stress by regulating multiple carbohydrate metabolic pathways.
Regulation of carbohydrate metabolism is a crucial approach to enhancing plant stress tolerance. Glucose, fructose, sucrose, and other carbohydrate metabolites play a vital role in regulating the osmotic balance and stability of plant cells [42]. In muskmelon seedlings subjected to Saline-Alkali stress, the stress promotes the conversion of starch into soluble sugars to maintain the osmotic balance of the leaves. This is also consistent with the observed increase in soluble sugar content in the leaves [50]. Saline-Alkali soil has a significant impact on the levels of free fructose, sucrose, and inulin in Jerusalem artichokes. In Saline-Alkali soil, the inulin content decreases while the free fructose and sucrose content increase [51]. In this study, we detected 10 carbohydrate metabolites, including glucose and sucrose, in the metabolic pathways of starch and sucrose. Among these metabolites, glucose, fructose, sucrose, and trehalose were identified as the core metabolites in the pathway. This finding further emphasizes the importance of glucose, fructose, sucrose, and other carbohydrate metabolites in jujube fruits for resisting Saline-Alkali stress and promoting sugar accumulation in fruits (Figure 4).
Numerous studies have demonstrated that the accumulation of sugar in fruit is associated with variations in the expression of genes encoding glucose-metabolizing enzymes over time and space [52]. The interconversion of sucrose, fructose, and glucose is a crucial aspect of plant sugar metabolism. Studying the levels of sucrose and reducing sugar in jujube fruit is highly significant. Sucrose synthase (SS) and sucrose phosphor synthase (SPS) are enzymes involved in the synthesis of sucrose, with SPS playing a primary role. SS can catalyze both the synthesis and decomposition of sucrose. It is mainly distributed in the cytoplasm, and the direction of the reaction is related to the substrate content. When the glucose content is high, the pathway for synthesizing sucrose is dominant, and vice versa [53]. In the present study, we observed significant differences in the expression levels of key genes involved in glucose metabolism under varying levels of Saline-Alkali stress (Figure 2). These differences may be attributed to the varying levels of Saline-Alkali stress, which can affect the expression of related genes and subsequently lead to differences in the content of carbohydrate substances in different treatments (Figure 5). Jujube is a fruit that accumulates sucrose, and the regulation of genes that control sucrose metabolism enzymes plays a crucial role in sugar accumulation in the fruit [53]. In this study, the variation trend of ZjSPS1 and ZjSS1 between 60 and 100 DAF was consistent with the increase in salt-alkali stress (Figure 5). This trend was also consistent with the change in sucrose accumulation content under Saline-Alkali stress (Figure 2C). These findings suggest that the expression of sucrose phosphate synthase and sucrose synthase genes contributed to sucrose accumulation in jujube fruit [54,55].

5. Conclusions

Saline-Alkali treatment can advance the maturation of jujube fruit. During the initial phase of jujube fruit growth and development, the primary sugars accumulated are fructose and glucose. However, in the later stages, sucrose becomes the dominant sugar. During the whole growth and development period, the accumulation of sucrose is significantly higher than that of fructose and glucose, indicating that jujube fruit belongs to the sucrose-accumulation type of fruit. The period of 100 DAF is a critical period for the expression of glucose-related genes. ZjvINV2 and ZjHK2 exhibit prolonged expression, while ZjSS1 and ZjSPS2 are the crucial genes involved in sucrose synthesis during Saline-Alkali stress. A total of 10 different metabolites related to Saline-Alkali stress were identified from the metabolome data, and six of them were found to be closely associated with sugar genes. Among these metabolites, sucrose was identified as the core metabolite.

Supplementary Materials

The following supporting information can be downloaded at: https://www.mdpi.com/article/10.3390/agronomy13092239/s1. The tables included as supplemental information include more detailed information on the differential metabolites in this experiment (Supplementary S1 and S2).

Author Contributions

Y.W.: data curation, methodology, formal analysis, writing—original draft, and writing—review and editing. Y.F.: methodology and writing—review and editing. M.Y.: investigation and formal analysis. Z.Y. and H.Y.: methodology, project administration, and supervision. X.Z.: writing—review and editing. Q.Z.: funding acquisition and supervision. C.W.: funding acquisition, conceptualization, project administration, supervision, writing—original draft, and writing—review and editing. All authors have read and agreed to the published version of the manuscript.

Funding

This research was funded by the Innovation and Entrepreneurship Platform and Base Construction Project of XPCC (2019CB001); Commissioned project of Agriculture and Rural Affairs Bureau of XPCC (2021011).

Data Availability Statement

All the data generated or analyzed during this study are included in this published article.

Acknowledgments

The authors would like to thank the University of Tarim for supporting the project.

Conflicts of Interest

The authors declare no conflict of interest.

References

  1. Wang, Y.; Feng, Y.; Yan, M.; Yu, J.; Zhou, X.; Bao, J.; Zhang, Q.; Wu, C. Effect of Saline-Alkali Stress on Sugar Metabolism of Jujube Fruit. Horticulturae 2022, 8, 474. [Google Scholar] [CrossRef]
  2. Wang, X.; Geng, S.; Ri, Y.-J.; Cao, D.; Liu, J.; Shi, D.; Yang, C. Physiological responses and adaptive strategies of tomato plants to salt and alkali stresses. Sci. Hortic. 2011, 130, 248–255. [Google Scholar] [CrossRef]
  3. Abdel-Hameed, A.A. Effect of Salt and Water Stresses on Jujube Trees under Ras Sudr Conditions. IOSR J. Agric. Vet. Sci. 2015, 8, 92–107. [Google Scholar]
  4. Afifia, A.A.; Refat, A.Y.; Hussein, M.M. Fourier Transform Infrared Spectometry Study on Early Stage of Salt Stress in Jojoba Plant. Life Sci. J. 2013, 10, 1973–1981. [Google Scholar]
  5. Li, M.; Guo, Y.; Liu, S.; Zhao, Y.; Pang, X.; Li, Y. Autotetraploidization in Ziziphus jujuba Mill. var. spinosa enhances salt tolerance conferred by active, diverse stress responses. Environ. Exp. Bot. 2019, 165, 92–107. [Google Scholar] [CrossRef]
  6. Wang, Y.J.; Liu, L.; Wang, Y.; Tao, H.X.; Jun, L.; Zhao, Z.Y.; Guo, Y.P. Effects of soil water stress on fruit yield, quality and their relationship with sugar metabolism in ‘Gala’ apple. Sci. Hortic. 2019, 258, 108753. [Google Scholar] [CrossRef]
  7. Sami, F.; Yusuf, M.; Faizan, M.; Faraz, A.; Hayat, S. Role of sugars under abiotic stress. Plant Physiol. Biochem. 2016, 109, 54–61. [Google Scholar] [CrossRef]
  8. Fan, X.-W.; Sun, J.-L.; Cai, Z.; Zhang, F.; Li, Y.-Z.; Palta, J.A. MeSWEET15a/b genes play a role in the resistance of cassava (Manihot esculenta Crantz) to water and salt stress by modulating sugar distribution. Plant Physiol. Biochem. 2023, 194, 394–405. [Google Scholar] [CrossRef]
  9. Liu, L.; Gai, Z.; Qiu, X.; Liu, T.; Li, S.; Ye, F.; Jian, S.; Shen, Y.; Li, X. Salt stress improves the low-temperature tolerance in sugar beet in which carbohydrate metabolism and signal transduction are involved. Environ. Exp. Bot. 2023, 208, 105239. [Google Scholar] [CrossRef]
  10. Sher, A.; Hassan, M.U.; Sattar, A.; Ul-Allah, S.; Ijaz, M.; Hayyat, Z.; Bibi, Y.; Hussain, M.; Qayyum, A. Exogenous application of melatonin alleviates the drought stress by regulating the antioxidant systems and sugar contents in sorghum seedlings. Biochem. Syst. Ecol. 2023, 107, 104620. [Google Scholar] [CrossRef]
  11. Du, Y.; Zhao, Q.; Chen, L.; Yao, X.; Zhang, W.; Zhang, B.; Xie, F. Effect of drought stress on sugar metabolism in leaves and roots of soy bean seedlings. Plant Physiol. Biochem. 2020, 146, 1–12. [Google Scholar] [CrossRef]
  12. Yang, J.; Zhang, J.; Li, C.; Zhang, Z.; Ma, F.; Li, M. Response of sugar metabolism in apple leaves subjected to short-term drought stress. Plant Physiol. Biochem. 2019, 141, 164–171. [Google Scholar] [CrossRef] [PubMed]
  13. Li, J.; Gao, Y.; Zhang, X.; Tian, P.; Li, J.; Tian, Y. Comprehensive comparison of different saline water irrigation strategies for tomato production: Soil properties, plant growth, fruit yield and fruit quality. Agric. Water Manag. 2019, 213, 521–533. [Google Scholar] [CrossRef]
  14. Zhang, X.; Li, S.; Tang, T.; Liu, Y.; Tahir, M.M.; Wang, C.; Meng, Z.; Niu, J.; Yang, W.; Ma, J.; et al. Comparison of morphological, physiological, and related-gene expression responses to Saline-Alkali stress in eight apple rootstock genotypes. Sci. Hortic. 2022, 306, 11145. [Google Scholar] [CrossRef]
  15. Jia, X.; Zhu, Y.; Zhang, R.; Zhu, Z.; Zhao, T.; Cheng, L.; Gao, L.; Liu, B.; Zhang, X.; Wang, Y. Ionomic and metabolomic analyses reveal the resistance response mechanism to Saline-Alkali stress in Malus halliana seedlings. Plant Physiol. Biochem. 2019, 147, 77–90. [Google Scholar] [CrossRef] [PubMed]
  16. Lu, S.-W.; Li, T.-L.; Jiang, J. Tomato Key Sucrose Metabolizing Enzyme Activities and Gene Expression Under NaCl and PEG Iso-Osmotic Stresses. Agric. Sci. China 2009, 8, 1046–1052. [Google Scholar] [CrossRef]
  17. Morabito, C.; Secchi, F.; Schubert, A. Grapevine TPS (trehalose-6-phosphate synthase) family genes are differentially regulated during development, upon sugar treatment and drought stress. Plant Physiol. Biochem. 2021, 164, 54–62. [Google Scholar] [CrossRef]
  18. Li, H.; Tiwari, M.; Tang, Y.; Wang, L.; Yang, S.; Long, H.; Guo, J.; Wang, Y.; Wang, H.; Yang, Q.; et al. Metabolomic and transcriptomic analyses reveal that sucrose synthase regulates maize pollen viability under heat and drought stress. Ecotoxicol. Environ. Saf. 2022, 246, 114191. [Google Scholar] [CrossRef]
  19. Deng, C.; Zhang, Z.; Yan, G.; Wang, F.; Zhao, L.; Liu, N.; Abudurezike, A.; Li, Y.; Wang, W.; Shi, S. Salt-responsive transcriptome analysis of triticale reveals candidate genes involved in the key metabolic pathway in response to salt stress. Sci. Rep. 2020, 10, 20669. [Google Scholar] [CrossRef]
  20. Chen, X.; Chen, R.; Wang, Y.; Wu, C.; Huang, J. Genome-Wide Identification of WRKY Transcription Factors in Chinese jujube (Ziziphus jujuba Mill.) and Their Involvement in Fruit Developing, Ripening, and Abiotic Stress. Genes 2019, 10, 360. [Google Scholar] [CrossRef]
  21. Wu, Z.; Li, H.; Wang, Y.; Yang, D.; Tan, H.; Zhan, Y.; Yang, Y.; Luo, Y.; Chen, G. Optimization extraction, structural features and antitumor activity of polysaccharides from Z. jujuba cv. Ruoqiangzao seeds. Int. J. Biol. Macromol. 2019, 135, 1151–1161. [Google Scholar] [CrossRef] [PubMed]
  22. Zhang, C.; Bian, Y.; Hou, S.; Li, X. Sugar transport played a more important role than sugar biosynthesis in fruit sugar accumulation during Chinese jujube domestication. Planta 2018, 248, 1187–1199. [Google Scholar] [CrossRef] [PubMed]
  23. Wen, C.; Zhang, Z.; Shi, Q.; Duan, X.; Du, J.; Wu, C.; Li, X. Methyl Jasmonate- and Salicylic Acid-Induced Transcription Factor ZjWRKY18 Regulates Triterpenoid Accumulation and Salt Stress Tolerance in Jujube. Int. J. Mol. Sci. 2023, 24, 3899. [Google Scholar] [CrossRef]
  24. Chang, X.; Sun, J.; Liu, L.; He, W.; Zhao, B. Transcriptome Analysis of Differentially Expressed Genes in Wild Jujube Seedlings under Salt Stress. J. Am. Soc. Hortic. Sci. 2020, 145, 174–185. [Google Scholar] [CrossRef]
  25. Zhang, S.; Wu, Z.; Liu, L.; Wang, L.; Li, X.; Ban, Z.; Chen, C.; Zhu, Y. Partial compression increases acidity, but decreases phenolics in jujube fruit: Evidence from targeted metabolomics. Food Res. Int. 2023, 164, 112388. [Google Scholar] [CrossRef]
  26. Liu, H.; Wang, L.; Xu, M.; Deng, B.; Liu, H.; Zhao, X. Phytochemical analysis of Ziziphus jujube leaf at different foliar ages based on widely targeted metabolomics. Open Chem. 2022, 20, 1485–1493. [Google Scholar] [CrossRef]
  27. Xue, X.; Zhao, A.; Wang, Y.; Ren, H.; Li, Y.; Li, D.; Du, J. Metabolomics-based analysis of flavonoid metabolites in Chinese jujube and sour jujube fruits from different harvest periods. J. Food Sci. 2022, 87, 3752–3765. [Google Scholar] [CrossRef] [PubMed]
  28. Vogel, B.; Siebert, H.; Hofmann, U.; Frantz, S. Determination of collagen content within picrosirius red stained paraffin-embedded tissue sections using fluorescence microscopy. MethodsX 2015, 2, 124–134. [Google Scholar] [CrossRef]
  29. Zou, J.; Yu, H.; Yu, Q.; Jin, X.; Cao, L.; Wang, M.; Wang, M.; Ren, C.; Zhang, Y. Physiological and UPLC-MS/MS widely targeted metabolites mechanisms of alleviation of drought stress-induced soybean growth inhibition by melatonin. Ind. Crop. Prod. 2021, 163, 113323. [Google Scholar] [CrossRef]
  30. Zheng, Q.; Yin, X.; Yang, A.; Yu, N.; Xing, R.; Chen, Y.; Deng, R.; Cao, J. Precise Authenticity of Quinoa, Coix Seed, Wild Rice and Chickpea Components Using Optimized TaqMan Real-Time PCR. Foods 2023, 12, 852. [Google Scholar] [CrossRef]
  31. Zozio, S.; Servent, A.; Hubert, O.; Hiol, A.; Pallet, D.; Mbéguié, D. Physicochemical and biochemical characterization of ripening in jujube (Ziziphus mauritiana Lamk) fruits from two accessions grown in Guadeloupe. Sci. Hortic. 2014, 175, 290–297. [Google Scholar] [CrossRef]
  32. Tian, S.-L.; Lu, B.-Y.; Gong, Z.-H.; Shah, S.N.M. Effects of drought stress on capsanthin during fruit development and ripening in pepper (Capsicum annuum L.). Agric. Water Manag. 2014, 137, 46–51. [Google Scholar] [CrossRef]
  33. Kesari, R.; Trivedi, P.K.; Nath, P. Ethylene-induced ripening in banana evokes expression of defense and stress related genes in fruit tissue. Postharvest Biol. Technol. 2007, 46, 136–143. [Google Scholar] [CrossRef]
  34. Steelheart, C.; Alegre, M.L.; Baldet, P.; Rothan, C.; Bres, C.; Just, D.; Okabe, Y.; Ezura, H.; Ganganelli, I.M.; Grozeff, G.E.G.; et al. High light stress induces H2O2 production and accelerates fruit ripening in tomato. Plant Sci. 2022, 322, 111348. [Google Scholar] [CrossRef]
  35. Galindo, A.; Calín-Sánchez, Á.; Griñán, I.; Rodríguez, P.; Cruz, Z.; Girón, I.; Corell, M.; Martínez-Font, R.; Moriana, A.; Carbonell-Barrachina, A.; et al. Water stress at the end of the pomegranate fruit ripening stage produces earlier harvest and improves fruit quality. Sci. Hortic. 2017, 226, 68–74. [Google Scholar] [CrossRef]
  36. Zhou, Y.; Sun, M.; Sun, P.; Gao, H.; Yang, H.; Jing, Y.; Hussain, M.A.; Saxena, R.K.; Carther, F.I.; Wang, Q.; et al. Tonoplast inositol transporters: Roles in plant abiotic stress response and crosstalk with other signals. J. Plant Physiol. 2022, 271, 153660. [Google Scholar] [CrossRef]
  37. Ju, F.; Pang, J.; Sun, L.; Gu, J.; Wang, Z.; Wu, X.; Ali, S.; Wang, Y.; Zhao, W.; Wang, S.; et al. Integrative transcriptomic, metabolomic and physiological analyses revealed the physiological and molecular mechanisms by which potassium regulates the salt tolerance of cotton (Gossypium hirsutum L.) roots. Ind. Crop. Prod. 2023, 193, 116177. [Google Scholar] [CrossRef]
  38. Hu, L.; Zhou, K.; Liu, Y.; Yang, S.; Zhang, J.; Gong, X.; Ma, F. Overexpression of MdMIPS1 enhances salt tolerance by improving osmosis, ion balance, and antioxidant activity in transgenic apple. Plant Sci. 2020, 301, 110654. [Google Scholar] [CrossRef] [PubMed]
  39. Wang, C.-R.; Li, X.-Y.; Yao, Y.-X.; Hao, Y.-J. Modifications of Kyoho grape berry quality under long-term NaCl treatment. Food Chem. 2013, 139, 931–937. [Google Scholar] [CrossRef]
  40. Chen, Q.; Cao, X.; Li, Y.; Sun, Q.; Dai, L.; Li, J.; Guo, Z.; Zhang, L.; Ci, L. Functional carbon nanodots improve soil quality and tomato tolerance in Saline-Alkali soils. Sci. Total. Environ. 2022, 830, 154817. [Google Scholar] [CrossRef]
  41. Sagar, M.; Chervin, C.; Mila, I.; Hao, Y.; Roustan, J.-P.; Benichou, M.; Gibon, Y.; Biais, B.; Maury, P.; Latché, A.; et al. SlARF4, an Auxin Response Factor Involved in the Control of Sugar Metabolism during Tomato Fruit Development. Plant Physiol. 2013, 161, 1362–1374. [Google Scholar] [CrossRef]
  42. Huang, J.; Zhang, C.; Zhao, X.; Fei, Z.; Wan, K.; Zhang, Z.; Pang, X.; Yin, X.; Bai, Y.; Sun, X.; et al. The Jujube Genome Provides Insights into Genome Evolution and the Domestication of Sweetness/Acidity Taste in Fruit Trees. PLoS Genet. 2016, 12, e1006433. [Google Scholar] [CrossRef]
  43. Pi, E.; Zhu, C.; Fan, W.; Huang, Y.; Qu, L.; Li, Y.; Zhao, Q.; Ding, F.; Qiu, L.; Wang, H.; et al. Quantitative Phosphoproteomic and Metabolomic Analyses Reveal GmMYB173 Optimizes Flavonoid Metabolism in Soybean under Salt Stress. Mol. Cell. Proteom. 2018, 17, 1209–1224. [Google Scholar] [CrossRef]
  44. Wang, W.; Cao, J.; Huang, S.; Wang, Z.; Wang, W.; Zou, J.; Wang, F.; Luo, M.; Zhang, J. Integrated transcriptomics and metabolomics analyses provide insights into salt-stress response in germination and seedling stage of wheat (Triticum aestivum L.). Curr. Plant Biol. 2023, 33, 100274. [Google Scholar] [CrossRef]
  45. Tang, H.; Zhang, X.; Gong, B.; Yan, Y.; Shi, Q. Proteomics and metabolomics analysis of tomato fruit at different maturity stages and under salt treatment. Food Chem. 2019, 311, 126009. [Google Scholar] [CrossRef]
  46. Hayat, Q.; Hayat, S.; Irfan, M.; Ahmad, A. Effect of exogenous salicylic acid under changing environment: A review. Environ. Exp. Bot. 2010, 68, 14–25. [Google Scholar] [CrossRef]
  47. Xu, H.; Li, J.; Wang, L.; Li, X.; Liu, Y.; Wang, X.; Gao, T.; Ma, Y. Integrated transcriptomic and metabolomics analysis reveals abscisic acid signal transduction and sugar metabolism pathways as defense responses to cold stress in Argyranthemum frutescens. Environ. Exp. Bot. 2023, 205, 105115. [Google Scholar] [CrossRef]
  48. Sehar, Z.; Masood, A.; Khan, N.A. Nitric oxide reverses glucose-mediated photosynthetic repression in wheat (Triticum aestivum L.) under salt stress. Environ. Exp. Bot. 2019, 161, 277–289. [Google Scholar] [CrossRef]
  49. Prathap, V.; Aruna, T. Correlation between expression and activity of ADP glucose pyrophosphorylase and starch synthase and their role in starch accumulation during grain filling under drought stress in rice. Plant Physiol. Biochem. 2020, 157, 239–243. [Google Scholar]
  50. Liao, C.T.; Lin, C.H. Photosynthetic responses of grafted bitter melon seedlings to flood stress. Environ. Exp. Bot. 1996, 36, 167–172. [Google Scholar] [CrossRef]
  51. Shekhawat, S.; Mathur, G.S. Influence of NaCl Salt on Stevioside Production and Antioxidant Enzymes in Stevia rebaudiana Suspension culture: An Anti-Diabetic Sweetener Plant. Int. J. Adv. Sci. Eng. Technol. 2018, 4, 2321–8991. [Google Scholar]
  52. Sun, N.; Ma, Y.; Wang, X.; Ying, Q.; Huang, Y.; Zhang, L.; Zhu, Z.; Wang, Y.; He, Y. Grafting onto pumpkin alters the evolution of fruit sugar profile and increases fruit weight through invertase and sugar transporters in watermelon. Sci. Hortic. 2023, 314, 111936. [Google Scholar] [CrossRef]
  53. Liu, J.; Liu, W. Regulation of accumulation and metabolism circadian rhythms of starch and sucrose in two leaf-color lettuces by red:blue ratios of LED continuous light. Environ. Exp. Bot. 2022, 196, 104811. [Google Scholar] [CrossRef]
  54. Solis, G.; Arguello, M.G.; Lopez, B.G.; Ruiz, H.J.; Lopez, L.F.; Sanchez, J.E.; Carreon, L. Arabidopsis thaliana sucrose phosphate synthase (sps) genes are expressed differentially in organs and tissues, and their transcription is regulated by osmotic stress. Gene Exp. Patterns 2017, 25, 92–101. [Google Scholar] [CrossRef]
  55. Maloney, V.J.; Park, J.Y.; Unda, F.; Mansfield, S.D. Sucrose phosphate synthase and sucrose phosphate phosphatase interact in planta and promote plant growth and biomass accumulation. J. Exp. Bot. 2015, 66, 4383–4394. [Google Scholar] [CrossRef] [PubMed]
Figure 1. Fruit phenotype and flesh anatomical structure under various Saline-Alkali treatments. (A): Comparison of fruit phenotypes at 100 days after flowering (DAF). (B): Comparison of cell structure at 100 DAF.
Figure 1. Fruit phenotype and flesh anatomical structure under various Saline-Alkali treatments. (A): Comparison of fruit phenotypes at 100 days after flowering (DAF). (B): Comparison of cell structure at 100 DAF.
Agronomy 13 02239 g001
Figure 2. Content of sugar components in jujube fruits at different periods under Saline-Alkali treatment. (A): Fructose, (B): Glucose, (C):sucrose, (D): Total sugar. Vertical bars represent the mean ± SE (n = 3). Different letters above the bars indicate significant differences at the 0.05 level by Duncan’s multiple range test.
Figure 2. Content of sugar components in jujube fruits at different periods under Saline-Alkali treatment. (A): Fructose, (B): Glucose, (C):sucrose, (D): Total sugar. Vertical bars represent the mean ± SE (n = 3). Different letters above the bars indicate significant differences at the 0.05 level by Duncan’s multiple range test.
Agronomy 13 02239 g002
Figure 3. Metabolomic analysis of differential metabolites under Saline-Alkali stress. (A): orthogonal partial least squares discriminant analysis of differentially accumulated metabolites (DAMs). (B): Correlation heat map. (C): Kyoto Encyclopedia of Genes and Genomes (KEGG) enrichment pathway map of CK vs. LS at 110 days after flowering (DAF). (D): KEGG enrichment pathway map of CK vs. HS at 110 DAF.
Figure 3. Metabolomic analysis of differential metabolites under Saline-Alkali stress. (A): orthogonal partial least squares discriminant analysis of differentially accumulated metabolites (DAMs). (B): Correlation heat map. (C): Kyoto Encyclopedia of Genes and Genomes (KEGG) enrichment pathway map of CK vs. LS at 110 days after flowering (DAF). (D): KEGG enrichment pathway map of CK vs. HS at 110 DAF.
Agronomy 13 02239 g003
Figure 4. Heat map depicting the clustering of carbohydrate metabolite content in jujube fruit under Saline-Alkali stress and its correlation with differential genes. (A): The heat map cluster of DAM content. (B): The correlation network diagram of DAMs and genes. Pink circles indicate nuclear metabolites, green circles indicate genes, red lines indicate positive regulation, and blue lines indicate negative regulation.
Figure 4. Heat map depicting the clustering of carbohydrate metabolite content in jujube fruit under Saline-Alkali stress and its correlation with differential genes. (A): The heat map cluster of DAM content. (B): The correlation network diagram of DAMs and genes. Pink circles indicate nuclear metabolites, green circles indicate genes, red lines indicate positive regulation, and blue lines indicate negative regulation.
Agronomy 13 02239 g004
Figure 5. Expression of glucose metabolism-related genes under Saline-Alkali stress. ZjSPS1: Sucrose phosphate synthetase 1; ZjSPS2: Sucrose phosphate synthetase 2; ZjSS1: Sucrose synthetase; ZjvINV2: Sucrose invertase; ZjFK2: Fructokinase; ZjHK2: Hexokinase. Vertical bars indicate the mean ± SE (n = 3). Different letters above the bars indicate significant differences at the 0.05 level by Duncan’s multiple range test.
Figure 5. Expression of glucose metabolism-related genes under Saline-Alkali stress. ZjSPS1: Sucrose phosphate synthetase 1; ZjSPS2: Sucrose phosphate synthetase 2; ZjSS1: Sucrose synthetase; ZjvINV2: Sucrose invertase; ZjFK2: Fructokinase; ZjHK2: Hexokinase. Vertical bars indicate the mean ± SE (n = 3). Different letters above the bars indicate significant differences at the 0.05 level by Duncan’s multiple range test.
Agronomy 13 02239 g005
Table 1. Linear regression equation and correlation coefficient of sugar components in a mixed standard solution.
Table 1. Linear regression equation and correlation coefficient of sugar components in a mixed standard solution.
Sugar ConstituentRegression EquationCorrelation Coefficient
Fructosey = 749.23X1.6239R2 = 0.9993
Glucosey = 1046.9X1.5509R2 = 0.9991
Sucrosey = 1055X1.6852R2 = 0.9989
Table 2. Primer sequences for the qRT-PCR.
Table 2. Primer sequences for the qRT-PCR.
Gene SymbolPrimer Sequence (5′-3′)Primer Sequence (3′-5′)
ZjSPS1AGTCCCACTCGCTACTTCGTTCCAAATCCTCCAGCACATA
ZjSPS2TCCCAAGCCCTCAGGTATTTGTAGTTTCTGTTTGCGTGTAG
ZjSS1AAGTCATAAGATCCGCACAGAACACGAACATATTCCCAAA
ZjvINV2ACCCGATAACCCGAAGGAAGGTCTGTACGGACGCCCAACC
ZjFK2CCCTCCTTTCCTACGACCCGATCGCTAACCTTGATCTCCTCTGC
ZjHK2TGATAGCCCTAATCCAAACTTATCTGCCTCTTCTGACATTC
Disclaimer/Publisher’s Note: The statements, opinions and data contained in all publications are solely those of the individual author(s) and contributor(s) and not of MDPI and/or the editor(s). MDPI and/or the editor(s) disclaim responsibility for any injury to people or property resulting from any ideas, methods, instructions or products referred to in the content.

Share and Cite

MDPI and ACS Style

Wang, Y.; Feng, Y.; Yan, M.; Zhou, X.; Yuan, Z.; Zhang, Q.; Yan, H.; Wu, C. Effects of Saline-Alkali Stress on Sugar Metabolism of Jujube Fruit: A Metabolomic Analysis. Agronomy 2023, 13, 2239. https://doi.org/10.3390/agronomy13092239

AMA Style

Wang Y, Feng Y, Yan M, Zhou X, Yuan Z, Zhang Q, Yan H, Wu C. Effects of Saline-Alkali Stress on Sugar Metabolism of Jujube Fruit: A Metabolomic Analysis. Agronomy. 2023; 13(9):2239. https://doi.org/10.3390/agronomy13092239

Chicago/Turabian Style

Wang, Yan, Yifeng Feng, Min Yan, Xiaofeng Zhou, Ze Yuan, Qiaoqiao Zhang, Haoyu Yan, and Cuiyun Wu. 2023. "Effects of Saline-Alkali Stress on Sugar Metabolism of Jujube Fruit: A Metabolomic Analysis" Agronomy 13, no. 9: 2239. https://doi.org/10.3390/agronomy13092239

APA Style

Wang, Y., Feng, Y., Yan, M., Zhou, X., Yuan, Z., Zhang, Q., Yan, H., & Wu, C. (2023). Effects of Saline-Alkali Stress on Sugar Metabolism of Jujube Fruit: A Metabolomic Analysis. Agronomy, 13(9), 2239. https://doi.org/10.3390/agronomy13092239

Note that from the first issue of 2016, this journal uses article numbers instead of page numbers. See further details here.

Article Metrics

Back to TopTop