Next Article in Journal
Application of Image Processing in Agriculture
Next Article in Special Issue
Regional-Scale Virtual Nitrogen, Phosphorus, and Potassium Factors of Potato Production in China
Previous Article in Journal
Insights into the Coloring Mechanism of Dark-Red and Yellow Fruits in Sweet Cherry through Transcriptome and Metabolome Analysis
Previous Article in Special Issue
Combined Application of Biochar and Pruned Tea Plant Litter Benefits Nitrogen Availability for Tea and Alters Microbial Community Structure
 
 
Font Type:
Arial Georgia Verdana
Font Size:
Aa Aa Aa
Line Spacing:
Column Width:
Background:
Article

Improvement of Active Organic Carbon Distribution and Soil Quality with the Combination of Deep Tillage and No-Tillage Straw Returning Mode

1
College of Land and Environment, Shenyang Agricultural University, Shenyang 110866, China
2
Institute of Applied Ecology, Chinese Academy of Sciences, Shenyang 110016, China
*
Authors to whom correspondence should be addressed.
Agronomy 2023, 13(9), 2398; https://doi.org/10.3390/agronomy13092398
Submission received: 31 August 2023 / Revised: 14 September 2023 / Accepted: 15 September 2023 / Published: 17 September 2023

Abstract

:
During the initial period of straw return, a suitable straw return technology can lay the foundation for long-term soil fertility improvement. This study focused on the issues of backward straw return technology and blind fertilizer application in the southern part of the maize-producing area in the Northeast Plain of China. In this study, two straw return modes (2-year no-tillage straw cover + 1-year deep loosening and burying straw returning mode, NPT; 3-year rotary tillage and burying straw returning mode, RT), with RT mode as a control, were combined with different N fertilizer application rates (0, 192, 240 kg/ha). The changes in soil organic carbon (SOC) and its active components (MBC, DOC, and LOC) in the 0–40 cm soil layer were analyzed, and the carbon stratification rate, carbon pool index (CPI), SOC storages of each component, and maize yield were calculated to evaluate the short-term (3-year) differences in soil organic carbon quantity and quality in order to find suitable straw return methods and nitrogen application rate combinations. The results showed that the NPT mode increased the SOC and MBC content in the 20–30 cm soil layer, with an increase of 16.2% to 37.8% and 23.0% to 50.3%, respectively, compared with the RT mode. Under the NPT mode, the carbon pool stability was higher after nitrogen fertilizer addition, with a CPI value of 10.2% to 37.8% higher in the 20–40 cm soil layer compared with the RT mode. The differences in maize yield were not significant (p < 0.05) between the nitrogen application rates of 192 kg/ha and 240 kg/ha, but the SOC storages did not show significant changes. The MBC storage had the highest value under the nitrogen application rate of 192 kg/ha. Therefore, we thought that, in the early stage of straw return, the organic carbon priming effect caused by increased microbial activity was higher under the nitrogen application rate of 192 kg/ha. Considering the aspects of not affecting maize yield and improving SOC stability, it is recommended to use the NPT mode with the application of a 240 kg/ha nitrogen fertilizer rate for straw return.

Graphical Abstract

1. Introduction

China has a huge production of crop straw, accounting for about one-third of the total biomass resources [1]. The effective utilization of this biomass resource through straw return to the field has significant implications for mitigating global climate change and addressing resource scarcity issues [2,3,4]. The incorporation of straw into the soil can regulate the metabolic activity of soil microorganisms [5,6], and its metabolic products are an important source of soil organic matter, such as enzymes, polysaccharides, and proteins [7]. The increase in this type of soil organic matter creates favorable conditions for improving soil quality and fertility and can potentially replace a portion of chemical fertilizers in the long term [8,9], thereby reducing production costs and increasing crop yields. Although long-term straw return can improve soil quality and enhance soil fertility [10,11], in the initial years of straw return, the large amount of organic carbon entering the soil within a short period can significantly alter the original soil carbon-nitrogen balance [12]. According to the C health threshold mode, a chemical stoichiometric imbalance between C and N may lead to soil degradation or a deterioration of soil health [13], which in turn can affect crop yields [14]. Previous studies have shown conflicting conclusions regarding the effects of short-term straw return (1–4 years) on soil organic carbon content and crop yields [6,15,16], but this situation can change with variations in nitrogen fertilizer application rates [17]. Therefore, it is necessary to study the rational combination of straw return and nitrogen fertilizer application from a short-term perspective.
Conventional rotary tillage has been the primary agricultural production method in Northeast China. Intensive tillage practices have led to the overuse of soil, resulting in a decline in soil fertility over time. This decline has severely impacted the quality of arable land in the Phaeozem Region of Northeast China [18]. Conservation tillage, with reduced tillage frequency and straw return as its core components, can increase the input of exogenous carbon, reduce soil erosion caused by natural factors, and promote the formation and stabilization of soil organic matter, thereby ensuring soil productivity and function [19,20]. Straw return is usually combined with reduced tillage or no tillage through covering or burying straw [21,22]. However, it is worth noting that the long-term use of a single tillage method (either no-tillage or conventional tillage) can have adverse effects on soil quality. Some studies have indicated that soil compaction significantly increases under long-term no-tillage conditions [23], and the stratification of soil organic carbon and nutrients caused by no-tillage can lead to soil acidification [24]. On the other hand, shallow straw return treatments can result in a large accumulation of straw in the surface soil, which is difficult to decompose and can negatively affect seedling quality and growth, potentially reducing soil quality and crop yields [17]. Therefore, it is of great significance to study the effects of different straw return methods combined with various tillage practices on soil fertility status in order to provide guidance for the implementation of straw return strategies.
Soil organic carbon (SOC) is a direct indicator of soil organic matter and is an important parameter for evaluating soil fertility [25]. Soil-active organic carbon is highly responsive to field management practices and can exhibit rapid changes [26], including microbial biomass carbon (MBC), dissolved organic carbon (DOC), and labile organic carbon (LOC), which are influenced by biochemical processes. Liu et al. discovered a significant correlation between straw return and the enhancement of soil fungal communities and organic carbon content, with LOC exhibiting the most substantial increase compared with the control group [27]. Qiu et al. reported that the application of dissolved organic matter (DOM) stimulated microbial activity, accelerated DOM decomposition, and increased CO2 emissions [28]. Active components of organic carbon can provide important energy sources for the soil food web [29], thereby promoting the turnover of the soil carbon pool [30], and can be considered a driving force for soil carbon cycling. Therefore, the study of active components of soil organic carbon offers a more appropriate explanation and potential trend analysis for short-term changes in soil fertility due to straw return, as well as an analysis of potential trends in different soil fertility conditions. However, current research on straw return and soil fertility primarily relies on medium- or long-term experiments [31,32,33], and there is a lack of studies from the perspective of short-term effects on maintenance and improvement of soil fertility and soil quality after straw return, so it is necessary to conduct relevant research.
In recent years, in order to maintain and improve the productivity of the Phaeozem Region in China, the government has gradually promoted the application of conservation tillage techniques in the suitable regions of Northeast China. However, the Northeast region is vast and has diverse climate conditions, and there is still a lack of guidance on straw return techniques for specific soil and climate conditions in current production. Liaoning Province is located in the warm temperate continental climate zone in the southern part of the Northeast Plain, and maize is the main crop in this region. In this study, a three-year experiment was conducted in southern Liaoning to address the issues of insufficient straw return techniques and indiscriminate fertilization in current agricultural production. The experiment employed a rotation tillage approach, combining two years of no-tillage straw cover with one year of deep straw incorporation and burial (NPT), alongside a traditional rotary tillage burying method (RT) as the control. It analyzed the characteristics of changes in soil organic carbon and its active components under varying nitrogen application levels, assessing short-term differences in soil organic carbon levels and soil quality. This study can offer valuable insights into the early soil fertility status and straw return methods in the grain production region of the southern part of the Northeast Plain.

2. Materials and Methods

2.1. Site Description

The experiment was conducted in Gengzhuang Town, Haicheng City, Liaoning Province, China, from 2018 to 2020. The site is located in the southern part of Liaoning Province, with an average annual temperature of around 10 °C, annual precipitation of 600–800 mm, a frost-free period of approximately 170 days, and an elevation of 19 m. The climate is classified as temperate continental monsoon, and the main crop grown in the area is spring maize, with one harvest per year. The soil type is classified as brown soil with an average topsoil thickness of 15 cm. Before the experiment, the soil in the 0–20 cm layer had the following characteristics: organic carbon content of 12.01 g/kg, total nitrogen content of 0.89 g/kg, alkaline hydrolyzable nitrogen content of 129.6 mg/kg, available phosphorus content of 25.96 mg/kg, available potassium content of 117.94 mg/kg, and pH of 5.35, with a bulk density of 1.53 g/cm3. According to the data provided by the Meteorological Bureau of Haicheng City, the mean monthly temperature and precipitation of the region from 2018 to 2020 are shown in Figure 1.

2.2. Experimental Design

A split-plot design was used in this experiment, with the main plots consisting of two straw returning modes (Figure 2): no-tillage with 2 years of straw mulching followed by 1 year of deep loosening and burying (NPT) and rotary tillage with continuous straw burying (RT). The subplots consisted of three nitrogen fertilizer levels: no nitrogen fertilizer application (N0), 192 kg/ha of nitrogen fertilizer (N192, 80% of the conventional nitrogen fertilizer rate), and 240 kg/ha of nitrogen fertilizer (N240, the conventional nitrogen fertilizer rate in the local area). Therefore, the six treatments were NPT-N0, NPT-N192, NPT-N240, RT-N0, RT-N192, and RT-N240, with the subplot treatments randomized. There were three replications for each treatment, resulting in a total of 18 plots, with each plot having an area of 68.4 m2(10 m × 6.84 m). Maize was planted at a density of 67,500 plants per hectare, and the entire maize stover was returned to the field at harvest time. Urea (N 46%) was used as the nitrogen fertilizer, while the phosphorus and potassium fertilizer rates remained consistent across all treatments, with 74 kg/ha of phosphorus applied as calcium superphosphate (P2O5 12%) and 89 kg/ha of potassium applied as potassium sulfate (K2O 50%).
Maize stover was collected and returned to the field using a combine harvester during the harvesting process. Simultaneously, all the straw, which was crushed to approximately 10 cm in size, was directly returned to the field. Among them, the NPT mode was carried out in the spring of 2018 and 2019 for two consecutive years of no-tillage mulching to return to the field, and the straw was crushed and evenly spread on the ground surface without treatment, and then the no-tillage planter was used in the spring of the second year for direct sowing and fertilizer application; in the fall of 2019, after the maize was harvested, the straw was crushed and spread on the ground surface and then deeply loosened with a deep-pine machine (depth of 30–35 cm), and then rotary harrowed by rotary tiller, and then the straw was mixed into the soil. In the spring of 2020, no-tillage planters were used for sowing and fertilizing operations. In contrast, the RT mode was that the straw left in the field was crushed and evenly spread on the field surface after the fall maize kernel harvest, and the straw was mixed with the soil by rotary tiller rotary plowing (2 times) and harrowing (depth of 15–20 cm). The following spring, seeding and fertilizing were completed directly with a no-tillage planter.

2.3. Soil Sampling and Analysis

During the maize maturity stage in 2020, soil samples were collected from four different depths (0–10 cm, 10–20 cm, 20–30 cm, and 30–40 cm) at five randomly selected points within the experimental plots. The collected soil samples from the same depth were thoroughly mixed, and visible plant residues and stones were removed. A portion of the fresh soil samples was stored in a refrigerator at 4 °C to determine soil microbial biomass carbon (MBC) and dissolved organic carbon (DOC) content. Another portion of the soil samples was air-dried and ground to determine the labile organic carbon (LOC) and soil organic carbon (SOC) content. Additionally, soil samples were collected from each soil layer using a ring cutter (100 cm3), brought to the laboratory, placed in an oven at 105 °C for 8 h, and then weighed after cooling in a desiccator for the determination of soil bulk weight.
The air-dried soil samples were sieved through a 0.15 mm sieve, and 30–40 mg of soil sample was wrapped in a tin boat to determine the content of soil organic carbon (SOC) using an elemental analyzer (Vario EL III, Elementar, Germany). The content of microbial biomass carbon (MBC) in soil was determined using the chloroform fumigation-K2SO4 extraction method [34]. Two fresh soil samples equivalent to 10 g of dry soil weight were weighed. One sample was placed in a vacuum desiccator containing a beaker with 50 mL of ethanol-free chloroform, and the desiccator was evacuated and kept in the dark for 24 h. After removing the chloroform, the other sample was extracted with 0.5 mol/L K2SO4 (soil-to-water ratio of 1:4) under the same conditions. The extracted solution was analyzed using a total organic carbon analyzer (Multi N/C3100, Germany). The MBC was calculated by dividing the difference in organic carbon content between fumigated and non-fumigated soil extracts by a coefficient of 0.45. The non-fumigated soil sample was used for determining the content of dissolved organic carbon (DOC) in soil. The content of labile organic carbon (LOC) in soil was determined using the oxidation method with a 333 mmol/L KMnO4 (molecular weight 158) solution. A soil sample containing 15 mg of carbon was taken in a centrifuge tube, and 25 mL of 333 mmol/L KMnO4 solution was added. After centrifugation at 4000 rpm for 5 min, the supernatant was diluted 250 times with water, and the color was measured at 565 nm wavelength using a spectrophotometer. The calculation method was that every 1 mmol of KMnO4 solution lost was equivalent to the oxidation of 9 mg of carbon [35].
After maize maturity each year (2018–2020), in the middle part of each plot, the yield measuring plot (5 m × 2 m) was accurately marked out, and the number of plants and ears of maize were recorded. Five representative maize plants were selected, and after shelling, the grain weight per unit planting area, i.e., maize yield, was calculated.

2.4. Calculation Methods

The soil stratification ratio (SR) is calculated based on the research protocol proposed by Franzluebbers [36]. It can be defined as the ratio of soil organic carbon content in the surface layer to that in the subsoil layers, with the following formulas:
SR 1 = C 0 10 cm C 10 20 cm
SR 2 = C 0 10 cm C 20 30 cm
SR 3 = C 0 10 cm C 30 40 cm
where C0–10cm, C10–20cm, C20–30cm, and C30–40cm represent the SOC content (or MBC, DOC, LOC) in the soil layers of 0–10 cm, 10–20 cm, 20–30 cm, and 30–40 cm, respectively.
The carbon pool management index is calculated based on the formula used in previous studies [35], as follows:
Carbon   pool   index   CPI = SOC   in   the   sample   SOC   in   the   reference   soil   sample
Carbon   pool   activity   CA = LOC   in   the   sample No - LOC   in   the   soil   sample
Carbon   pool   activity   index   AI = CA   in   the   sample CA   in   the   reference   soil   sample
Carbon   pool   management   index   CPMI = CPI   × AI   ×   100
The SOC and LOC contents determined in this study are used in the calculations according to the method proposed by Blair et al. [35]. The soil sample from the RT-N0 treatment in this study is used as the reference soil, and No-LOC is the difference between SOC and LOC contents in the corresponding soil sample.
To eliminate the bias in soil organic carbon storage results caused by differences in soil weight due to the tillage method, this study used the equal mass method proposed by Ellert and Bettany for calculating soil organic carbon storage [37]:
M soil = Bd   ×   T   ×   10000  
T add = M soil , max   - M soil Bd   × 10000
M C =   C conc   ×   Bd   × T +   T add ×   10
where Msoil is the soil weight per unit area (t/ha) and Bd is the soil bulk density (g/cm3). T is the soil layer thickness (m); Tadd is the additional soil layer thickness required to achieve equivalent soil weight (m); Msoil,max is the equivalent soil weight, which is the maximum soil weight under different treatments (1606.8 t/ha, Table S1). MC is the soil organic carbon storage per unit area for a single soil layer (t/ha), and Cconc is the organic carbon content (g/kg); for calculation simplicity, when the soil active organic carbon component MC unit is kg/ha, its Cconc is in units of mg/kg.

2.5. Data Analysis

The data were statistically analyzed using Excel 2021, and further analysis was conducted using SPSS 23.0. All data related to soil organic carbon components underwent one-way ANOVA (Duncan’s method, p < 0.05; the same applies below) to compare treatments within the same soil stratum. Maize yield data were also subjected to a one-way ANOVA to compare treatments within the same year. A two-way ANOVA was employed to assess the combined effects of straw return mode and nitrogen fertilizer dosage, as well as their interaction, on soil organic carbon and its active fractions. Graphs were generated using Origin 2021.

3. Results

3.1. Profile Distribution Characteristics of SOC and Its Active Components

According to Figure 3, the two modes of maize straw return resulted in two different profile distributions of SOC and its active components in general. In the 0–10 cm soil layer, various components’ organic carbon content showed a trend of RT > NPT (Figure 3, Table S3), with RT being 43.9% to 204.6% higher than NPT. The NPT mode exhibited an overall trend of initially increasing and then decreasing with the deepening of the soil layer (Figure 3, Table S3). Compared with the 0–10 cm soil layer, the MBC in the 10–20 cm soil layer under the NPT mode increased by 79.2% to 139.0%, DOC increased by 4.3% to 26.4%, and SOC increased by 12.5% to 19.6%, but LOC decreased by 9.3% to 59.4%. In the 20–30 cm soil layer under the NPT mode, MBC, DOC, and SOC contents increased by 13.4% to 93.6%, −15.3% to 28.6%, and 4.7% to 21.0%, respectively, compared with the 0–10 cm soil layer, but LOC decreased by 37.2% to 143.7%. The RT mode showed an overall trend of gradually decreasing with the deepening of the soil layer (Figure 3, Table S3). Compared with the 0–10 cm soil layer, the MBC in the 10–30 cm soil layer under the RT mode decreased by 8.9% to 58.3%, DOC decreased by 19.7% to 81.7%, LOC decreased by 17.8% to 89.2%, and SOC decreased by 19.5% to 42.2%. According to the two-factor analysis of variance in Table 1, the results indicate that the cultivation of the 0–10 cm and 20–30 cm soil layers has a greater impact on the organic carbon content of each component than the application of nitrogen fertilizer. Although the nitrogen fertilizer application rate does not significantly affect the organic carbon content of various components (Table 1), the NPT model significantly increases the MBC content in the deep soil. Furthermore, under the nitrogen fertilizer application rate of 192 kg/ha (N192), the MBC content in the deep soil (10–20 cm and 20–30 cm) shows the greatest increase, with increases of 45.6% and 185.6%, respectively, compared with the RT-N0 treatment (Figure 3a, Table S3).

3.2. Stratification Ratio of SOC and Its Active Components

In general, the carbon stratification rate gradually increased with the depth of the soil layer (Figure 4, Table S4). Under the RT mode, soil organic carbon primarily accumulates in the surface layer (0–10 cm). The stratification rate in the NPT mode was generally lower than that in the RT mode, with SR1, SR2, and SR3 in the NPT mode ranging between 0.42 and 2.55, 0.52 and 2.40, and 0.94 and 2.95, respectively. In contrast, the stratification rate in the RT mode varied between 1.10 and 1.95, 1.14 and 5.50, and 1.90 and 6.40, respectively (Figure 4, Table S4). The stratification rate of active organic carbon (MBC and DOC) under the RT mode exhibited a wider range of variation compared with the NPT mode. Relative to the NPT mode, the stratification rate of MBC and DOC under the RT mode increased by 110.6% to 253.9% and 27.6% to 546.5%, respectively (Figure 4, Table S4). Changes in SOC and LOC were relatively minor, with an increase of 42.7% to 110.3% in SOC and a decrease of −41.9% to 92.9% in LOC compared with the NPT mode (Figure 4, Table S4). No significant differences were observed among the nitrogen fertilizer treatments for various organic carbon components (Figure 4, p < 0.05, Table S4), suggesting that traditional plowing treatments are more conducive to increasing the soil’s carbon stratification rate.

3.3. Carbon Pool Management Index

Based on Figure 5, at a nitrogen application rate of 240 kg/ha, the soil in the tillage layer exhibited higher carbon pool activity, with maximum AI values of 2.32 and 1.38 for the NPT mode and RT mode, respectively (Figure 5a, Table S5). Below the tillage layer, the NPT mode showed greater carbon pool stability, with the NPT mode having a CPI index 16.2% to 37.8% higher than the RT mode in the 20–30 cm soil layer (Figure 5b, Table S5). In the RT mode, the differences in CPI among the layers and treatments were not significant (Figure 5, p < 0.05, Table S5). The effectiveness of different tillage modes influenced the CPMI index, as illustrated in Figure 5c, where significant differences in CPMI values were observed between the upper layers (0–30 cm and 0–20 cm) and the lower layers of the soil, ranging from 44.8% to 48.8% and 63.1% to 243.9%, respectively. In the 30–40 cm layer, the values of all three indices were close to 1 (Figure 5c, Table S5), indicating that the lower layers of the soil were less influenced by field management.

3.4. SOC and Its Active Components Storages

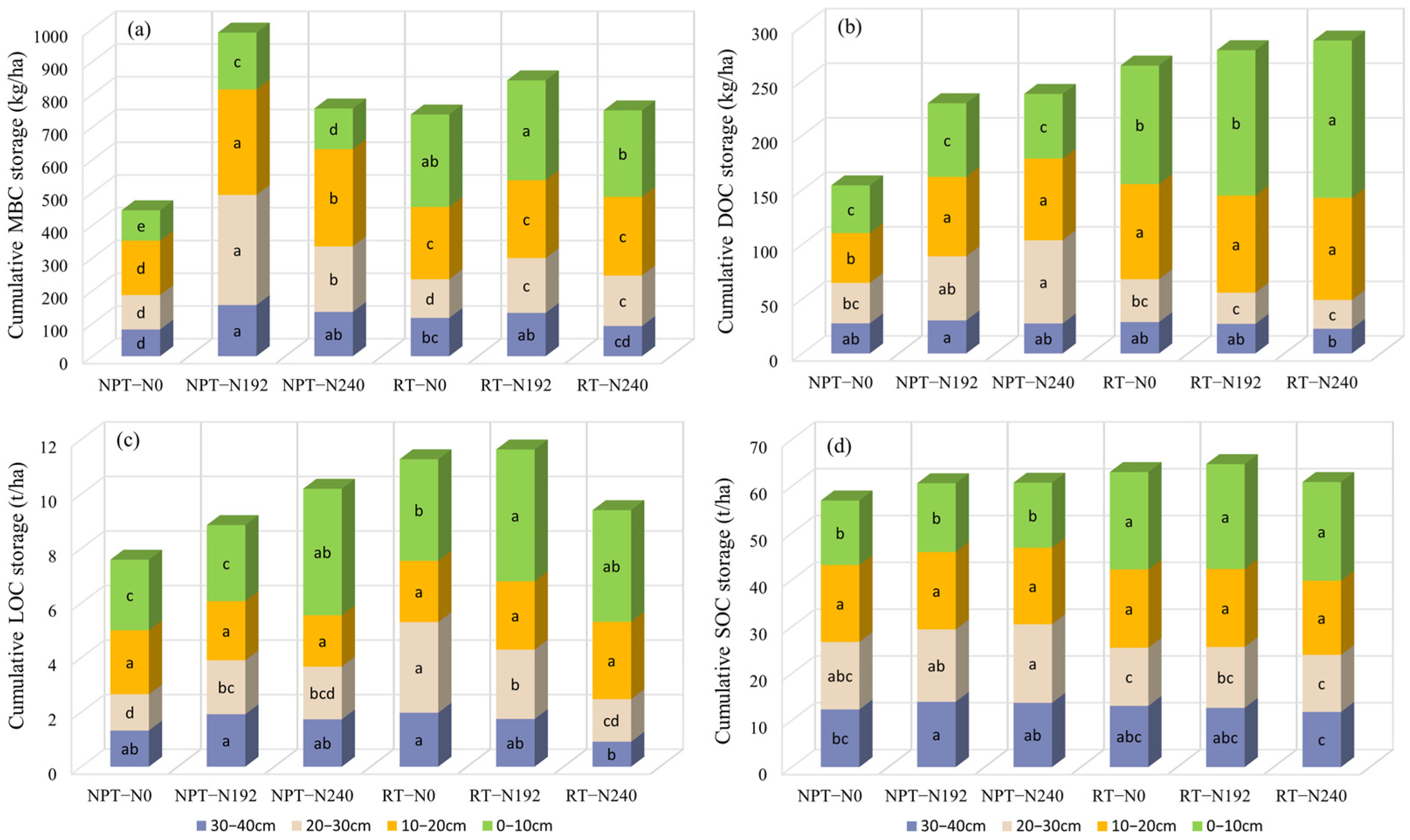
In accordance with Figure 6d, there were no significant differences in SOC storages among the treatments in the 0–40 cm soil layer (Figure 6, p < 0.05, Table S6). However, the NPT and RT modes increased SOC storage in the 20–30 cm and 0–10 cm soil layers, respectively (Figure 6d, Table S6). In the 20–30 cm soil layer, SOC storage in the NPT mode was 16.2% to 37.8% higher than in the RT mode, while in the 0–10 cm soil layer, SOC storage in the RT mode was 51.1% to 51.8% higher than in the NPT mode. The different treatments exhibited varying trends in soil-active organic carbon components. Under both tillage modes, the N192 nitrogen fertilizer treatment had the highest MBC storage in the soil (Figure 6a, Table S6), with NPT (988.2 kg/ha) > RT (842.2 kg/ha). The trend of increasing DOC storage with increasing nitrogen application was observed, with RT > NPT. Similar to SOC storage, both NPT and RT modes increased DOC storage in the 20–30 cm and 0–10 cm soil layers. In relative terms, the NPT mode increased DOC storage by 105.9% to 188.2%, while the RT mode increased it by 97.4% to 148.1% (Figure 6b, Table S6). The RT mode also had an advantage in LOC storage, but excessive nitrogen application hindered the increase in LOC storage in the RT mode. The RT-N192 treatment had the highest LOC storage in the 0–40 cm soil layer (11.6 t/ha), significantly higher than the RT-N240 treatment (p < 0.05, Figure 6c, Table S6). Under the NPT mode, LOC storage in the 0–40 cm soil layer increased with increasing nitrogen application (N0 < N192 < N240, Figure 6c, Table S6). Table 2 showed that the influence of tillage mode on soil active component organic carbon storage was greater than that of nitrogen fertilizer treatment. However, a two-factor variance analysis of SOC storage showed that it was not significantly affected by tillage mode or nitrogen application, except for the NPT-N0 treatment, where SOC storage in the 0–40 cm soil layer did not reach a significant level compared with other treatments, ranging from 58.0 t/ha to 64.7 t/ha (p < 0.05, Table S2).

3.5. Maize Yield for 3 Consecutive Years of Straw Return Mode and N Fertilizer Dosage Treatment

The differences in maize yield among different treatments in different years were consistent (Figure 7, Table S7). Both the NPT mode and RT mode without nitrogen fertilizer significantly reduced maize yield, with reductions of 44.8% to 53.9% and 50.8% to 67.6% compared with N0 and N240, respectively. Under the NPT mode from 2018 to 2020, there was no significant difference in maize yield between the N240 and N192 treatments (Figure 7, p < 0.05, Table S7). In the RT mode, maize yield in all three years showed that N240 > N192, with N240 being 11.6% to 27.2% higher than N192. Additionally, the differences between N240 and N192 treatments reached significant levels in 2019 and 2020 (Figure 7, p < 0.05, Table S7).

4. Discussion

4.1. Characteristics of Soil Organic Carbon Profile Distribution

Most experts suggest that soil-active organic carbon has a rapid turnover rate and can respond more quickly to external changes [38,39]. This characteristic is primarily evident in the profile distribution patterns of soil microbial biomass carbon (MBC) and dissolved organic carbon (DOC) (Figure 3a,b). While similar to the distribution patterns of soil organic carbon (SOC), the changes in MBC and DOC content are more influenced by different treatments, resulting in two distinct profile distribution patterns with changes in tillage methods (NPT and RT). Under the NPT mode, the straw cover and no-tillage methods contribute to the accumulation of soil organic carbon [40]. After three years of deep loosening, the organic matter accumulated during the previous two years of no-tillage is incorporated into the 10–30 cm soil layer. Additionally, the application of nitrogen fertilizer disrupts the microbial growth environment, leading to a robust microbial response [41]. As a result, the MBC content in the 10–30 cm soil layer significantly increases compared with the RT mode. At the same time, since soil DOC is mainly composed of substances such as plant roots, microbial secretions, and organic leachates [42] and is subject to assimilation and synthetic metabolism by soil microbial communities [43], the trend in DOC content change in the NPT mode parallels that of MBC. However, due to the lower biological activity of DOC and its limited response to nitrogen addition, its profile content change is smaller than that of MBC. In the RT mode, the depth of straw burial is less than 20 cm, and the pronounced plow pan caused by long-term plowing results in a decreasing impact on the soil below the surface [44], resulting in a decrease in the content of deep soil organic carbon and its active components (Figure 3). Compared with the NPT mode, the RT mode involves more frequent soil disturbances, and the continuous burial of straw through plowing over three years facilitates the decomposition of straw in the soil [45], forming labile organic carbon (LOC) that is more susceptible to oxidation. Previous studies have indicated a positive correlation between soil LOC content and nitrogen application rates [46]. This conclusion differs from our study, which may be due to the nutrient release caused by straw incorporation and tillage methods that overshadow the effects of nitrogen application rate differences. Additionally, it may be related to the relatively small nitrogen application gradient in our study.
The profile distribution patterns of SOC are more influenced by the tillage mode than by the nitrogen application rate, mirroring the distribution patterns of active organic carbon components. Research has shown that the contribution rate of residue carbon in high-fertility soils is lower than in low-fertility soils, possibly because microorganisms in high-fertility soils have a less urgent demand for carbon sources and nutrients [47]. Therefore, they are more susceptible to the effects of tillage mode. Zhao et al.’s study demonstrated that deep straw incorporation increased SOC, MBC, and DOC content in the 20–40 cm soil layer [48]. In our experiment, under the NPT mode, the trend of increasing organic carbon and its active components with increasing soil depth aligns with this finding, although the underlying reasons differ. In our study, after two years of continuous no-tillage straw cover, deep loosening, and straw incorporation were carried out in the third year, allowing previously incompletely decomposed straw residue from the surface layer and newly incorporated straw to enter the deep soil. This addition of a substantial amount of exogenous organic matter promoted the priming effect on soil organic carbon [49,50]. Simultaneously, alterations in the growth environment of deep-soil microorganisms may have caused variations in the content of different organic carbon components. Due to the presence of this priming effect, although reducing nitrogen application rates by 20% from conventional levels is most beneficial for promoting an increase in soil MBC content in the short term, it may not be the optimal nitrogen application rate for straw incorporation under the NPT mode in the short term. This is because the high content of soil MBC in the short term may result from a positive priming effect. Considering the balance between the priming effect and entombing effect [30], we believe that excessive priming in the early stages of straw incorporation is not conducive to organic carbon accumulation. Instead, it is more favorable to reduce nitrogen application after soil organic carbon has accumulated to a certain level over time to maintain a stable state of organic carbon [51].

4.2. Effects of Tillage Methods and Nitrogen Fertilizer Rates on Soil Quality and Maize Yield

Most studies consider the soil organic carbon stratification ratio as an important indicator for assessing soil quality, where a higher stratification ratio is believed to indicate better soil quality [36,52]. However, in this study, the NPT mode showed a generally lower soil organic carbon stratification ratio compared with the RT mode. We believe that this does not necessarily imply that the soil quality is superior in the RT mode. Related studies have shown a significant increase in soil organic carbon stratification ratio under no-tillage conditions [53,54]. We attribute the lower stratification ratio in the NPT mode to the deep loosening conducted in the third year, which allowed the organic carbon accumulated in the surface soil due to the no-tillage straw cover in the previous two years to enter a larger soil depth. This deep straw incorporation treatment has a positive effect on soil fertility and crop yield [55]. Additionally, the increase in deep soil organic carbon is beneficial for carbon sequestration, as surface soil organic carbon is more susceptible to decomposition into unstable organic carbon under the influence of external soil environments [56,57]. The higher stratification ratios of MBC, DOC, and LOC in the RT mode in this study also support this point (Figure 4, Table S4). Therefore, the lower stratification ratio in the NPT mode should not be considered a decline in soil quality.
The soil carbon pool management index can reflect the differences in field management methods such as fertilization and straw incorporation [58,59], making it a suitable indicator for assessing regional soil carbon pools and soil quality [60,61,62]. In this study, soil organic carbon stratification ratio and carbon pool management index were used as complementary indicators for evaluating soil quality, allowing for a more comprehensive analysis of the effects of different treatments on soil quality. Some studies have shown that the CPMI in the topsoil is higher with low nitrogen application rates compared with high nitrogen application rates [63], while our results indicate that under higher nitrogen application rates, both AI and CPMI are higher than in other treatments (Figure 5c). This is because higher nitrogen levels may promote an increase in belowground biomass, thereby enhancing the decomposition of crop residues and increasing root exudates [64], leading to a significant increase in soil LOC content, which influences the carbon pool management index. The soil CPI and AI show opposite trends in the profile (Figure 5a,b), with higher CPI in the 20–30 cm depth under the NPT mode. This is because the NPT mode reduces soil disturbance [65], making deep soil organic carbon less susceptible to mineralization and more stable, resulting in a higher proportion of stable carbon content, which may indicate a greater potential for soil organic carbon sequestration in the NPT mode [66]. In this study, the two residue management modes resulted in large differences in CPMI between different soil layers, which may be due to the NPT mode breaking up the original plow pan and yielding two different outcomes. Based on the fact that the MBC content is higher in the 20–30 cm depth under the NPT mode (Figure 3a), it is possible that the increase in microbial biomass has consumed some LOC, resulting in a lower CPMI [67]. However, breaking up the plow pan can greatly improve soil tillage quality [68] and expand the storage space for organic materials to promote SOC sequestration [69].
In this study, reducing nitrogen fertilizer application in the NPT mode did not affect maize yield, whereas reducing nitrogen fertilizer application in the RT mode significantly decreased maize yield. However, based on the available data, it is important to note that reducing nitrogen fertilizer application in the NPT mode may not necessarily be the most viable approach. This is because the deep loosening treatment in the third year may provide superior conditions for straw decomposition [45], and a relatively low nitrogen supply can prime the activation of organic carbon [70]. At the same time, the higher MBC storage in the NPT-N192 treatment may indicate stronger microbial activity (Figure 6a), which intensifies the priming effect of organic carbon under nitrogen reduction treatment compared with high nitrogen application treatment. The nutrient released by this priming effect makes the soil fertility levels of the two treatments comparable, but this situation may deplete more existing soil organic matter in the short term, while high nitrogen application levels constrain the mineralization of existing organic carbon [71].

4.3. Carbon Turnover Induced by Straw Input in Different Modes

Most studies have indicated that returning straw to the field and applying appropriate nitrogen fertilizer can effectively increase SOC storage [72,73,74]. However, the experimental data from this study indicate that different straw return modes and nitrogen application rates did not significantly increase SOC storage over a 3-year period, only causing minor fluctuations but showing significant differences among various active carbon fractions. We attribute this phenomenon to the varying decomposition rates of straw under different methods of return to the field, with straw rotary plowing and burying demonstrating significantly higher decomposition rates compared with no-tillage mulching [45].
In the traditional residue retention (RT) mode, the decomposition of straw generates a substantial amount of unstable organic carbon fractions, primarily composed of proteins, sugars, and microbial secretions. These components serve as major sources of DOC and LOC in the soil [15]. This also explains why the content of DOC and LOC in RT mode was higher than that in NPT mode in this study. In RT mode, with the increase in the nitrogen application rate, the production of DOC and LOC from straw decomposition also increased, but higher nitrogen application rates seemed to limit the increase in LOC. We believe this may be related to the decomposition of lignin, as excessive nitrogen fertilizer may limit the activity and chemical stability of lignin-decomposing enzymes, thereby affecting the increase in LOC [73]. Traditional RT mode with continuous soil disturbance may result in the loss of SOC [75,76]. However, the input of straw increases the amount of active organic carbon, which compensates for the short-term loss of total organic carbon, resulting in minor fluctuations in total SOC storage.
In the NPT mode, we propose that the impact of straw return on soil organic carbon is primarily marked by the promotion of positive priming effects. Due to the slow decomposition rate of straw in no-tillage mulch return [45], the accumulation of larger straw residue from the previous year, combined with the input from the current year, leads to a nutrient shortage for soil microorganisms [77]. Consequently, the positive priming effect of the original soil organic matter is fostered to satisfy the nutrient requirements of microorganisms [49,78]. This also results in a significant increase in the number of microorganisms in this mode, especially when the nitrogen application rate is reduced by 20%, which intensifies the priming effect and leads to the highest MBC storage among all treatments. In contrast, under regular nitrogen application rates, MBC storage is lower, which may be due to higher nitrogen application rates meeting the nutrient demands of microorganisms for decomposing fresh organic materials, resulting in increased soil DOC storage with increasing nitrogen application rates (Figure 6b). Therefore, we believe that during the short-term process of straw returning, soil organic carbon is more of a turnover process between the active organic carbon pool and the inert organic carbon pool, while the accumulation of soil organic carbon is a long-term process that is difficult to increase in the short term.

5. Conclusions

In the short term (3 years), there was no significant difference in soil organic carbon storage between the two straw incorporation modes with nitrogen fertilizer application. However, it did alter the profile distribution characteristics of soil organic carbon and its active components. Compared with the RT mode, the NPT mode increased the SOC and MBC content in the 10–30 cm soil layer and showed a higher carbon pool index (CPI) at this depth, indicating greater carbon pool stability in the NPT mode. After reducing nitrogen fertilizer application (80% of the conventional nitrogen level), the NPT mode did not lead to a decrease in maize yield, but the RT mode showed a significant decline in maize yield due to nitrogen reduction. Considering the higher MBC storage under the NPT mode with nitrogen reduction and assuming unchanged SOC storage, this may be the result of a positive priming effect of microorganisms releasing nutrients from organic matter. Therefore, in the short term, it is recommended to adopt a two-year no-tillage cover crop residue incorporation mode and a one-year deep tillage burial residue incorporation mode in rotation for straw incorporation while maintaining the local conventional nitrogen application level without arbitrarily reducing nitrogen application. As the duration of straw incorporation extends, adjustments can be made based on the degree of soil organic carbon sequestration, soil fertility status, and yield levels under different residue incorporation modes. This study applied a straw-returning model combining no-tillage and deep loosening, which improved the profile distribution characteristics of soil organic carbon and soil quality compared with traditional rotary tillage. It provides a suitable straw-returning model for the maize production area in the southern part of the Northeast China Plain in the short term and lays a solid foundation for the long-term effectiveness of maize straw-returning technology.

Supplementary Materials

The following supporting information can be downloaded at: https://www.mdpi.com/article/10.3390/agronomy13092398/s1, Table S1: Soil weight of different soil layers treated by varying straw return modes and N application rates per unit area (t/ha). Table S2: Differences between SOC storage in various soil layers (0–40 cm) of different treatment and before the experiment. Table S3: SOC and its active fractions (MBC, DOC, LOC) content in different soil layers under various return methods and N fertilizer rates. Table S4: Stratification ratios of SOC and its active fractions (MBC, DOC, LOC) in different soil layers under various return methods and N fertilizer rates (SR1, SR2, SR3). Table S5: Carbon pool management index in different soil layers under various return methods and N fertilizer rates (AI, CPI, CPMI). Table S6: Soil active organic carbon storages in various soil layers under different return methods and N application rates. Table S7: The effect of straw return methods and nitrogen fertilizer dosages on maize yield for three consecutive years (2018–2020).

Author Contributions

Conceptualization, Z.Z.; methodology, Z.Z., P.G. and X.W.; software, X.W.; validation, X.L., P.C. and X.Z.; formal analysis, Z.Z.; resources, P.G.; data curation, Z.Z. and P.G.; writing—original draft preparation, Z.Z.; writing—review and editing, X.Z. and X.H.; supervision, X.Z. and X.H.; funding acquisition, X.Z. All authors have read and agreed to the published version of the manuscript.

Funding

This work was supported by the Project of Scientific Research in the Education Department of Liaoning Province, China [grant numbers LJKZ0664].

Data Availability Statement

The data that support the findings of this study are available from the authors upon reasonable request.

Acknowledgments

We sincerely thank all the members of the Plant Nutrition and Fertilization Technical Team for their enthusiastic help, the availability of laboratory conditions.

Conflicts of Interest

The authors declare that they have no known competing financial interest or personal relationships that could have appeared to influence the work reported in this paper.

References

  1. Li, H.; Cao, Y.; Wang, X.; Ge, X.; Li, B.; Jin, C. Evaluation on the Production of Food Crop Straw in China from 2006 to 2014. BioEnergy Res. 2017, 10, 949–957. [Google Scholar] [CrossRef]
  2. Wu, H.; Sun, W.; Zhu, F.; Jiang, Y.; Huang, S.; Goloran, J.; Xue, S. Straw addition increases enzyme activities and microbial carbon metabolism activities in bauxite residue. J. Environ. Sci. 2024, 135, 332–344. [Google Scholar] [CrossRef]
  3. Liu, Z.; Wang, D.; Ning, T.; Zhang, S.; Yang, Y.; He, Z.; Li, Z. Sustainability assessment of straw utilization circulation modes based on the emergetic ecological footprint. Ecol. Indic. 2017, 75, 1–7. [Google Scholar] [CrossRef]
  4. Sun, N.; Gao, C.; Ding, Y.; Bi, Y.; Seglah, P.A.; Wang, Y. Five-Dimensional Straw Utilization Model and Its Impact on Carbon Emission Reduction in China. Sustainability 2022, 14, 16722. [Google Scholar] [CrossRef]
  5. Song, T.; Wang, J.; Xu, X.; Sun, C.; Sun, C.; Chen, Z.; Zhang, Y.; Hao, L. Microbial community and network differently reshaped by crushed straw or biochar incorporation and associated with nitrogen fertilizer level. GCB Bioenergy 2023, 15, 1255–1272. [Google Scholar] [CrossRef]
  6. Chen, Z.; Wang, H.; Liu, X.; Zhao, X.; Lu, D.; Zhou, J.; Li, C. Changes in soil microbial community and organic carbon fractions under short-term straw return in a rice–wheat cropping system. Soil Tillage Res. 2017, 165, 121–127. [Google Scholar] [CrossRef]
  7. Burns, R.G.; DeForest, J.L.; Marxsen, J.; Sinsabaugh, R.L.; Stromberger, M.E.; Wallenstein, M.D.; Weintraub, M.N.; Zoppini, A. Soil enzymes in a changing environment: Current knowledge and future directions. Soil Biol. Biochem. 2013, 58, 216–234. [Google Scholar] [CrossRef]
  8. He, H.; Peng, M.; Ru, S.; Hou, Z.; Li, J. A suitable organic fertilizer substitution ratio could improve maize yield and soil fertility with low pollution risk. Front. Plant Sci. 2022, 13, 988663. [Google Scholar] [CrossRef]
  9. Chen, Z.; Liu, F.; Cai, G.; Peng, X.; Wang, X. Responses of Soil Carbon Pools and Carbon Management Index to Nitrogen Substitution Treatments in a Sweet Maize Farmland in South China. Plants 2022, 11, 2194. [Google Scholar] [CrossRef] [PubMed]
  10. Li, Z.; Shen, Y.; Zhang, W.; Zhang, H.; Liu, L.; Wang, Z.; Gu, J.; Yang, J. Effects of long-term straw returning on rice yield and soil properties and bacterial community in a rice-wheat rotation system. Field Crops Res. 2023, 291, 108800. [Google Scholar] [CrossRef]
  11. Wang, S.-C.; Zhao, Y.-W.; Wang, J.-Z.; Zhu, P.; Cui, X.; Han, X.-Z.; Xu, M.-G.; Lu, C.-A. The efficiency of long-term straw return to sequester organic carbon in Northeast China’s cropland. J. Integr. Agric. 2018, 17, 436–448. [Google Scholar] [CrossRef]
  12. Li, S.; Cui, Y.; Xia, Z.; Zhang, X.; Zhou, C.; An, S.; Zhu, M.; Gao, Y.; Yu, W.; Ma, Q. Microbial nutrient limitations limit carbon sequestration but promote nitrogen and phosphorus cycling: A case study in an agroecosystem with long-term straw return. Sci. Total Environ. 2023, 870, 161865. [Google Scholar] [CrossRef]
  13. Gao, Y.; Yu, G.; He, N. Equilibration of the terrestrial water, nitrogen, and carbon cycles: Advocating a health threshold for carbon storage. Ecol. Eng. 2013, 57, 366–374. [Google Scholar] [CrossRef]
  14. Willy, D.K.; Muyanga, M.; Jayne, T. Can economic and environmental benefits associated with agricultural intensification be sustained at high population densities? A farm level empirical analysis. Land Use Policy 2019, 81, 100–110. [Google Scholar] [CrossRef]
  15. Zhu, L.; Hu, N.; Zhang, Z.; Xu, J.; Tao, B.; Meng, Y. Short-term responses of soil organic carbon and carbon pool management index to different annual straw return rates in a rice–wheat cropping system. Catena 2015, 135, 283–289. [Google Scholar] [CrossRef]
  16. Huang, W.; Wu, J.-F.; Pan, X.-H.; Tan, X.-M.; Zeng, Y.-J.; Shi, Q.-H.; Liu, T.-J.; Zeng, Y.-H. Effects of long-term straw return on soil organic carbon fractions and enzyme activities in a double-cropped rice paddy in South China. J. Integr. Agric. 2020, 20, 236–247. [Google Scholar] [CrossRef]
  17. Zhao, Y.; Wang, M.; Hu, S.; Zhang, X.; Ouyang, Z.; Zhang, G.; Huang, B.; Zhao, S.; Wu, J.; Xie, D.; et al. Economics- and policy-driven organic carbon input enhancement dominates soil organic carbon accumulation in Chinese croplands. Proc. Natl. Acad. Sci. USA 2018, 115, 4045–4050. [Google Scholar] [CrossRef] [PubMed]
  18. Tian, M.; Whalley, W.R.; Zhou, H.; Ren, T.; Gao, W. Does no-tillage mitigate the negative effects of harvest compaction on soil pore characteristics in Northeast China? Soil Tillage Res. 2023, 233, 105787. [Google Scholar] [CrossRef]
  19. Guo, L.; Zhang, L.; Liu, L.; Sheng, F.; Cao, C.; Li, C. Effects of long-term no tillage and straw return on greenhouse gas emissions and crop yields from a rice-wheat system in central China. Agric. Ecosyst. Environ. 2021, 322, 107650. [Google Scholar] [CrossRef]
  20. Yang, Y.; Bao, X.; Xie, H.; He, H.; Zhang, X.; Shao, P.; Zhu, X.; Jiang, Y.; Liang, C. Frequent stover mulching builds healthy soil and sustainable agriculture in Mollisols. Agric. Ecosyst. Environ. 2022, 326, 107815. [Google Scholar] [CrossRef]
  21. Yuan, L.; Liu, Y.; He, H.; Zhu, T.; Chen, X.; Zhang, X.; Liang, C.; Xie, H.; Zhang, J.; Müller, C.; et al. Effects of long-term no-tillage and maize straw mulching on gross nitrogen transformations in Mollisols of Northeast China. Geoderma 2022, 428, 116194. [Google Scholar] [CrossRef]
  22. Xu, J.; Han, H.; Ning, T.; Li, Z.; Lal, R. Long-term effects of tillage and straw management on soil organic carbon, crop yield, and yield stability in a wheat-maize system. Field Crops Res. 2019, 233, 33–40. [Google Scholar] [CrossRef]
  23. Peixoto, D.S.; Silva, B.M.; de Oliveira, G.C.; Moreira, S.G.; da Silva, F.; Curi, N. A soil compaction diagnosis method for occasional tillage recommendation under continuous no tillage system in Brazil. Soil Tillage Res. 2019, 194, 104307. [Google Scholar] [CrossRef]
  24. Barth, V.P.; Reardon, C.L.; Coffey, T.; Klein, A.M.; McFarland, C.; Huggins, D.R.; Sullivan, T.S. Stratification of soil chemical and microbial properties under no-till after liming. Appl. Soil Ecol. 2018, 130, 169–177. [Google Scholar] [CrossRef]
  25. Lal, R. Soil Carbon Sequestration Impacts on Global Climate Change and Food Security. Science 2004, 304, 1623–1627. [Google Scholar] [CrossRef] [PubMed]
  26. Nie, X.; Duan, X.; Zhang, M.; Zhang, Z.; Liu, D.; Zhang, F.; Wu, M.; Fan, X.; Yang, L.; Xia, X. Cadmium accumulation, availability, and rice uptake in soils receiving long-term applications of chemical fertilizers and crop straw return. Environ. Sci. Pollut. Res. 2019, 26, 31243–31253. [Google Scholar] [CrossRef]
  27. Liu, B.; Xia, H.; Jiang, C.; Riaz, M.; Yang, L.; Chen, Y.; Fan, X.; Xia, X. 14 year applications of chemical fertilizers and crop straw effects on soil labile organic carbon fractions, enzyme activities and microbial community in rice-wheat rotation of middle China. Sci. Total Environ. 2022, 841, 156608. [Google Scholar] [CrossRef]
  28. Qiu, Q.; Wu, L.; Ouyang, Z.; Li, B.; Xu, Y.; Wu, S.; Gregorich, E. Effects of plant-derived dissolved organic matter (DOM) on soil CO2 and N2O emissions and soil carbon and nitrogen sequestrations. Appl. Soil Ecol. 2015, 96, 122–130. [Google Scholar] [CrossRef]
  29. Yan, S.; Song, J.; Fan, J.; Yan, C.; Dong, S.; Ma, C.; Gong, Z. Changes in soil organic carbon fractions and microbial community under rice straw return in Northeast China. Glob. Ecol. Conserv. 2020, 22, e00962. [Google Scholar] [CrossRef]
  30. Liang, C.; Schimel, J.P.; Jastrow, J.D. The importance of anabolism in microbial control over soil carbon storage. Nat. Microbiol. 2017, 2, 17105. [Google Scholar] [CrossRef] [PubMed]
  31. Berhane, M.; Xu, M.; Liang, Z.; Shi, J.; Wei, G.; Tian, X. Effects of long-term straw return on soil organic carbon storage and sequestration rate in North China upland crops: A meta-analysis. Glob. Change Biol. 2020, 26, 2686–2701. [Google Scholar] [CrossRef] [PubMed]
  32. Yan, Y.; Ji, W.; Li, B.; Wang, G.; Hu, B.; Zhang, C.; Mouazen, A.M. Effects of Long-Term Straw Return and Environmental Factors on the Spatiotemporal Variability of Soil Organic Matter in the Black Soil Region: A Case Study. Agronomy 2022, 12, 2532. [Google Scholar] [CrossRef]
  33. Qi, J.-Y.; Yao, X.-B.; Lu, J.; He, L.-X.; Cao, J.-L.; Kan, Z.-R.; Wang, X.; Pan, S.-G.; Tang, X.-R. A 40% paddy surface soil organic carbon increase after 5-year no-tillage is linked with shifts in soil bacterial composition and functions. Sci. Total Environ. 2023, 859, 160206. [Google Scholar] [CrossRef] [PubMed]
  34. Vance, E.D.; Brookes, P.C.; Jenkinson, D.S. An extraction method for measuring soil microbial biomass C. Soil Biol. Biochem. 1987, 19, 703–707. [Google Scholar] [CrossRef]
  35. Blair, G.; Lefroy, R.; Lisle, L. Soil carbon fractions based on their degree of oxidation, and the development of a carbon management index for agricultural systems. Aust. J. Agric. Res. 1995, 46, 1459–1466. [Google Scholar] [CrossRef]
  36. Franzluebbers, A. Soil organic matter stratification ratio as an indicator of soil quality. Soil Tillage Res. 2002, 66, 95–106. [Google Scholar] [CrossRef]
  37. Ellert, B.H.; Bettany, J.R. Calculation of organic matter and nutrients stored in soils under contrasting management regimes. Can. J. Soil Sci. 1995, 75, 529–538. [Google Scholar] [CrossRef]
  38. Haynes, R. Labile organic matter as an indicator of organic matter quality in arable and pastoral soils in New Zealand. Soil Biol. Biochem. 2000, 32, 211–219. [Google Scholar] [CrossRef]
  39. Benbi, D.K.; Brar, K.; Toor, A.S.; Sharma, S. Sensitivity of Labile Soil Organic Carbon Pools to Long-Term Fertilizer, Straw and Manure Management in Rice-Wheat System. Pedosphere 2015, 25, 534–545. [Google Scholar] [CrossRef]
  40. De Los Rios, J.; Poyda, A.; Taube, F.; Kluß, C.; Loges, R.; Reinsch, T. No-Till Mitigates SOC Losses after Grassland Renovation and Conversion to Silage Maize. Agriculture 2022, 12, 1204. [Google Scholar] [CrossRef]
  41. Chen, W.; Yuan, W.; Wang, J.; Wang, Z.; Zhou, Z.; Liu, S. No-Tillage Combined with Appropriate Amount of Straw Returning Increased Soil Biochemical Properties. Sustainability 2022, 14, 4875. [Google Scholar] [CrossRef]
  42. Leinemann, T.; Preusser, S.; Mikutta, R.; Kalbitz, K.; Cerli, C.; Höschen, C.; Mueller, C.; Kandeler, E.; Guggenberger, G. Multiple exchange processes on mineral surfaces control the transport of dissolved organic matter through soil profiles. Soil Biol. Biochem. 2018, 118, 79–90. [Google Scholar] [CrossRef]
  43. Weyers, S.L.; Johnson, J.M.F.; Archer, D.W. Assessment of Multiple Management Systems in the Upper Midwest. Agron. J. 2013, 105, 1665–1675. [Google Scholar] [CrossRef]
  44. Xu, X.; Pang, D.; Chen, J.; Luo, Y.; Zheng, M.; Yin, Y.; Li, Y.; Li, Y.; Wang, Z. Straw return accompany with low nitrogen moderately promoted deep root. Field Crops Res. 2018, 221, 71–80. [Google Scholar] [CrossRef]
  45. Wang, X.; Wang, X.; Geng, P.; Yang, Q.; Chen, K.; Liu, N.; Fan, Y.; Zhan, X.; Han, X. Effects of different returning method combined with decomposer on decomposition of organic components of straw and soil fertility. Sci. Rep. 2021, 11, 15495. [Google Scholar] [CrossRef] [PubMed]
  46. Liu, Y.X.; Pan, Y.Q.; Yang, L.; Ahmad, S.; Zhou, X.B. Stover return and nitrogen application affect soil organic carbon and nitrogen in a double-season maize field. Plant Biol. 2021, 24, 387–395. [Google Scholar] [CrossRef] [PubMed]
  47. Xu, Y.; Sun, L.; Lal, R.; Bol, R.; Wang, Y.; Gao, X.; Ding, F.; Liang, S.; Li, S.; Wang, J. Microbial assimilation dynamics differs but total mineralization from added root and shoot residues is similar in agricultural Alfisols. Soil Biol. Biochem. 2020, 148, 107901. [Google Scholar] [CrossRef]
  48. Zhao, D.; Ling, J.; Wu, G.; Liu, Z.; Zhou, S.; Wen, Y.; Beule, L. The incorporation of straw into the subsoil increases C, N, and P enzyme activities and nutrient supply by enriching distinctive functional microorganisms. Land Degrad. Dev. 2022, 34, 1297–1310. [Google Scholar] [CrossRef]
  49. Fang, Y.; Nazaries, L.; Singh, B.K.; Singh, B.P. Microbial mechanisms of carbon priming effects revealed during the interaction of crop residue and nutrient inputs in contrasting soils. Glob. Change Biol. 2018, 24, 2775–2790. [Google Scholar] [CrossRef]
  50. Yan, S.; Yin, L.; Dijkstra, F.A.; Wang, P.; Cheng, W. Priming effect on soil carbon decomposition by root exudate surrogates: A meta-analysis. Soil Biol. Biochem. 2023, 178, 108955. [Google Scholar] [CrossRef]
  51. Liu, J.; Qiu, T.; Peñuelas, J.; Sardans, J.; Tan, W.; Wei, X.; Cui, Y.; Cui, Q.; Wu, C.; Liu, L.; et al. Crop residue return sustains global soil ecological stoichiometry balance. Glob. Change Biol. 2023, 29, 2203–2226. [Google Scholar] [CrossRef]
  52. Lum, S.C.; de Oliveira, S.P.; de Lacerda, N.B.; de Alencar, G.V.; Escobar, M.E.O.; Mendonça, E.S.; de Oliveira, T.S. Stratification Ratios of Soil Organic Matter in Agro-ecosystems in Northeastern Brazil. In Soil Carbon; Hartemink, A.E., McSweeney, K., Eds.; Springer International Publishing: Cham, Switzerland, 2014; pp. 427–435. [Google Scholar]
  53. Zhao, X.; Xue, J.-F.; Zhang, X.-Q.; Kong, F.-L.; Chen, F.; Lal, R.; Zhang, H.-L. Stratification and Storage of Soil Organic Carbon and Nitrogen as Affected by Tillage Practices in the North China Plain. PLoS ONE 2015, 10, e0128873. [Google Scholar] [CrossRef]
  54. Mirzaei, M.; Anari, M.G.; Razavy-Toosi, E.; Asadi, H.; Moghiseh, E.; Saronjic, N.; Rodrigo-Comino, J. Preliminary Effects of Crop Residue Management on Soil Quality and Crop Production under Different Soil Management Regimes in Corn-Wheat Rotation Systems. Agronomy 2021, 11, 302. [Google Scholar] [CrossRef]
  55. Liu, N.; Li, Y.; Cong, P.; Wang, J.; Guo, W.; Pang, H.; Zhang, L. Depth of straw incorporation significantly alters crop yield, soil organic carbon and total nitrogen in the North China Plain. Soil Tillage Res. 2020, 205, 104772. [Google Scholar] [CrossRef]
  56. Wang, Z.; Hoffmann, T.; Six, J.; Kaplan, J.O.; Govers, G.; Doetterl, S.; Van Oost, K. Human-induced erosion has offset one-third of carbon emissions from land cover change. Nat. Clim. Change 2017, 7, 345–349. [Google Scholar] [CrossRef]
  57. Vilakazi, B.S.; Zengeni, R.; Mafongoya, P. Tillage and Urea Fertilizer Application Impacts on Soil C Fractions and Sequestration. Agronomy 2022, 12, 1725. [Google Scholar] [CrossRef]
  58. Xu, M.; Lou, Y.; Sun, X.; Wang, W.; Baniyamuddin, M.; Zhao, K. Soil organic carbon active fractions as early indicators for total carbon change under straw incorporation. Biol. Fertil. Soils 2011, 47, 745–752. [Google Scholar] [CrossRef]
  59. Ghosh, B.; Meena, V.; Alam, N.; Dogra, P.; Bhattacharyya, R.; Sharma, N.; Mishra, P. Impact of conservation practices on soil aggregation and the carbon management index after seven years of maize–wheat cropping system in the Indian Himalayas. Agric. Ecosyst. Environ. 2016, 216, 247–257. [Google Scholar] [CrossRef]
  60. Zhao, F.; Yang, G.; Han, X.; Feng, Y.; Ren, G. Stratification of Carbon Fractions and Carbon Management Index in Deep Soil Affected by the Grain-to-Green Program in China. PLoS ONE 2014, 9, e99657. [Google Scholar] [CrossRef]
  61. Lv, C.; Saba, T.; Wang, J.; Hui, W.; Kang, X.; Xie, Y.; Wang, K.; Wang, H.; Gong, W. Conversion effects of farmland to Zanthoxylum bungeanum plantations on soil organic carbon fractions in the arid valley of the upper reaches of the Yangtze river, China. Catena 2022, 217, 106523. [Google Scholar] [CrossRef]
  62. Li, J.; Wen, Y.; Li, X.; Li, Y.; Yang, X.; Lin, Z.; Song, Z.; Cooper, J.M.; Zhao, B. Soil labile organic carbon fractions and soil organic carbon stocks as affected by long-term organic and mineral fertilization regimes in the North China Plain. Soil Tillage Res. 2018, 175, 281–290. [Google Scholar] [CrossRef]
  63. Chatterjee, S.; Bandyopadhyay, K.; Pradhan, S.; Singh, R.; Datta, S. Effects of irrigation, crop residue mulch and nitrogen management in maize (Zea mays L.) on soil carbon pools in a sandy loam soil of Indo-gangetic plain region. Catena 2018, 165, 207–216. [Google Scholar] [CrossRef]
  64. Zhang, L.; Chen, X.; Xu, Y.; Jin, M.; Ye, X.; Gao, H.; Chu, W.; Mao, J.; Thompson, M.L. Soil labile organic carbon fractions and soil enzyme activities after 10 years of continuous fertilization and wheat residue incorporation. Sci. Rep. 2020, 10, 11318. [Google Scholar] [CrossRef]
  65. Kubar, K.A.; Huang, L.; Lu, J.; Li, X.; Xue, B.; Yin, Z. Long-term tillage and straw returning effects on organic C fractions and chemical composition of SOC in rice-rape cropping system. Arch. Agron. Soil Sci. 2018, 65, 125–137. [Google Scholar] [CrossRef]
  66. Wang, X.; Yang, H.; Liu, J.; Wu, J.; Chen, W.; Wu, J.; Zhu, L.; Bian, X. Effects of ditch-buried straw return on soil organic carbon and rice yields in a rice–wheat rotation system. Catena 2014, 127, 56–63. [Google Scholar] [CrossRef]
  67. Musilova, M.; Tranter, M.; Wadham, J.; Telling, J.; Tedstone, A.; Anesio, A.M. Microbially driven export of labile organic carbon from the Greenland ice sheet. Nat. Geosci. 2017, 10, 360–365. [Google Scholar] [CrossRef]
  68. Song, W.; Jiang, X.; Li, L.; Ren, L.; Tong, J. Increasing the width of disturbance of plough pan with bionic inspired subsoilers. Soil Tillage Res. 2022, 220, 105356. [Google Scholar] [CrossRef]
  69. Alcántara, V.; Don, A.; Well, R.; Nieder, R. Deep ploughing increases agricultural soil organic matter stocks. Glob. Change Biol. 2016, 22, 2939–2956. [Google Scholar] [CrossRef]
  70. Nottingham, A.T.; Turner, B.L.; Stott, A.W.; Tanner, E.V. Nitrogen and phosphorus constrain labile and stable carbon turnover in lowland tropical forest soils. Soil Biol. Biochem. 2015, 80, 26–33. [Google Scholar] [CrossRef]
  71. Wang, H.; Ren, T.; Müller, K.; Van Zwieten, L.; Wang, H.; Feng, H.; Xu, C.; Yun, F.; Ji, X.; Yin, Q.; et al. Soil type regulates carbon and nitrogen stoichiometry and mineralization following biochar or nitrogen addition. Sci. Total Environ. 2020, 753, 141645. [Google Scholar] [CrossRef]
  72. Ratnayake, R.; Kugendren, T.; Gnanavelrajah, N. Changes in soil carbon stocks under different agricultural management practices in North Sri Lanka. J. Natl. Sci. Found. Sri Lanka 2014, 42, 37. [Google Scholar] [CrossRef]
  73. Jin, Z.; Shah, T.; Zhang, L.; Liu, H.; Peng, S.; Nie, L. Effect of straw returning on soil organic carbon in rice–wheat rotation system: A review. Food Energy Secur. 2020, 9, e200. [Google Scholar] [CrossRef]
  74. Huang, T.; Yang, N.; Lu, C.; Qin, X.; Siddique, K.H. Soil organic carbon, total nitrogen, available nutrients, and yield under different straw returning methods. Soil Tillage Res. 2021, 214, 105171. [Google Scholar] [CrossRef]
  75. He, Y.; Zhang, F.; Yang, M.; Li, X.; Wang, Z. Insights from size fractions to interpret the erosion-driven variations in soil organic carbon on black soil sloping farmland, Northeast China. Agric. Ecosyst. Environ. 2023, 343, 108283. [Google Scholar] [CrossRef]
  76. Jakab, G.; Madarász, B.; Masoudi, M.; Karlik, M.; Király, C.; Zacháry, D.; Filep, T.; Dekemati, I.; Centeri, C.; Al-Graiti, T.; et al. Soil organic matter gain by reduced tillage intensity: Storage, pools, and chemical composition. Soil Tillage Res. 2023, 226, 105584. [Google Scholar] [CrossRef]
  77. Wang, D.; Zhu, Z.; Shahbaz, M.; Chen, L.; Liu, S.; Inubushi, K.; Wu, J.; Ge, T. Split N and P addition decreases straw mineralization and the priming effect of a paddy soil: A 100-day incubation experiment. Biol. Fertil. Soils 2019, 55, 701–712. [Google Scholar] [CrossRef]
  78. Feng, J.; Tang, M.; Zhu, B. Soil priming effect and its responses to nutrient addition along a tropical forest elevation gradient. Glob. Change Biol. 2021, 27, 2793–2806. [Google Scholar] [CrossRef] [PubMed]
Figure 1. Monthly temperature and precipitation of the region from 2018 to 2020.
Figure 1. Monthly temperature and precipitation of the region from 2018 to 2020.
Agronomy 13 02398 g001
Figure 2. Schematic diagram of the distribution of experimental plots in the split zone of this study for the plot of main, sub-plot and repeat experiments.
Figure 2. Schematic diagram of the distribution of experimental plots in the split zone of this study for the plot of main, sub-plot and repeat experiments.
Agronomy 13 02398 g002
Figure 3. The profile distribution characteristics of soil organic carbon and its active components, including microbial biomass carbon ((a), MBC), dissolved organic carbon ((b), DOC), labile organic carbon ((c), LOC), and total organic carbon ((d), SOC) content in the 0–40 cm soil layer. Different lowercase letters indicate significant differences among treatments (p < 0.05, n = 3).
Figure 3. The profile distribution characteristics of soil organic carbon and its active components, including microbial biomass carbon ((a), MBC), dissolved organic carbon ((b), DOC), labile organic carbon ((c), LOC), and total organic carbon ((d), SOC) content in the 0–40 cm soil layer. Different lowercase letters indicate significant differences among treatments (p < 0.05, n = 3).
Agronomy 13 02398 g003
Figure 4. The stratification ratio of total soil organic carbon and its active fractions (SOC, MBC, DOC, LOC) in different soil layers, represented by the ratio of carbon content in the upper layer to that in the lower layer (SR1, SR2, SR3). Different lowercase letters in the figure indicate significant differences among treatments (p < 0.05, n = 3).
Figure 4. The stratification ratio of total soil organic carbon and its active fractions (SOC, MBC, DOC, LOC) in different soil layers, represented by the ratio of carbon content in the upper layer to that in the lower layer (SR1, SR2, SR3). Different lowercase letters in the figure indicate significant differences among treatments (p < 0.05, n = 3).
Agronomy 13 02398 g004
Figure 5. Soil carbon pool management indices under different tillage method and nitrogen application rates, with subfigures (ac) representing changes in soil carbon activity index (AI), carbon pool index (CPI), and carbon pool management index (CPMI) in different soil layers. Different lowercase letters indicate significant differences among treatments (p < 0.05, n = 3).
Figure 5. Soil carbon pool management indices under different tillage method and nitrogen application rates, with subfigures (ac) representing changes in soil carbon activity index (AI), carbon pool index (CPI), and carbon pool management index (CPMI) in different soil layers. Different lowercase letters indicate significant differences among treatments (p < 0.05, n = 3).
Agronomy 13 02398 g005
Figure 6. SOC and its active components’ storages of soil layers from 0 to 40 cm, where figures (ad) respectively represent the storage of MBC, DOC, LOC, and SOC in each soil layer within the 0–40 cm depth. Different lowercase letters in the figure indicate significant differences (p < 0.05, n = 3) among different treatments in the same soil layer.
Figure 6. SOC and its active components’ storages of soil layers from 0 to 40 cm, where figures (ad) respectively represent the storage of MBC, DOC, LOC, and SOC in each soil layer within the 0–40 cm depth. Different lowercase letters in the figure indicate significant differences (p < 0.05, n = 3) among different treatments in the same soil layer.
Agronomy 13 02398 g006
Figure 7. The effect of straw return mode and nitrogen fertilizer dosage on maize yield for three consecutive years, with different lowercase letters in the figure indicating significant differences between treatments (p < 0.05, n = 3).
Figure 7. The effect of straw return mode and nitrogen fertilizer dosage on maize yield for three consecutive years, with different lowercase letters in the figure indicating significant differences between treatments (p < 0.05, n = 3).
Agronomy 13 02398 g007
Table 1. Results of two-way ANOVA of SOC and its active components in different soil layers.
Table 1. Results of two-way ANOVA of SOC and its active components in different soil layers.
Soil Depth (cm)Mode/SizeMBCDOCLOCSOC
0–10Tillage (T)0.883 ***0.849 ***0.2200.916 ***
Fertilization (F)0.0630.0840.0060.027
T × F0.0740.1990.0340.071
10–20Tillage (T)0.0750.489 **0.1390.000
Fertilization (F)0.0000.0680.0580.142
T × F0.0030.0840.1710.116
20–30Tillage (T)0.1940.432 *0.2720.575 **
Fertilization (F)0.0000.0410.0620.048
T × F0.0080.0300.0210.003
30–40Tillage (T)0.0400.1300.0140.187
Fertilization (F)0.0950.1000.1650.128
T × F0.1440.0360.0940.041
Notes: * indicates p < 0.05, ** indicates p < 0.01, *** indicates p < 0.001.
Table 2. Results of two-way ANOVA of storages of SOC and its active fraction in 0–40 cm soil layer.
Table 2. Results of two-way ANOVA of storages of SOC and its active fraction in 0–40 cm soil layer.
Mode/SizeMBCDOCLOCSOC
Tillage (T)0.0210.537 **0.343 *0.195
Fertilization (F)0.0070.0180.0240.102
T × F0.0110.0770.0450.074
Notes: * indicates p < 0.05, ** indicates p < 0.01.
Disclaimer/Publisher’s Note: The statements, opinions and data contained in all publications are solely those of the individual author(s) and contributor(s) and not of MDPI and/or the editor(s). MDPI and/or the editor(s) disclaim responsibility for any injury to people or property resulting from any ideas, methods, instructions or products referred to in the content.

Share and Cite

MDPI and ACS Style

Zhao, Z.; Geng, P.; Wang, X.; Li, X.; Cai, P.; Zhan, X.; Han, X. Improvement of Active Organic Carbon Distribution and Soil Quality with the Combination of Deep Tillage and No-Tillage Straw Returning Mode. Agronomy 2023, 13, 2398. https://doi.org/10.3390/agronomy13092398

AMA Style

Zhao Z, Geng P, Wang X, Li X, Cai P, Zhan X, Han X. Improvement of Active Organic Carbon Distribution and Soil Quality with the Combination of Deep Tillage and No-Tillage Straw Returning Mode. Agronomy. 2023; 13(9):2398. https://doi.org/10.3390/agronomy13092398

Chicago/Turabian Style

Zhao, Zhihui, Peng Geng, Xiao Wang, Xiao Li, Peixuan Cai, Xiumei Zhan, and Xiaori Han. 2023. "Improvement of Active Organic Carbon Distribution and Soil Quality with the Combination of Deep Tillage and No-Tillage Straw Returning Mode" Agronomy 13, no. 9: 2398. https://doi.org/10.3390/agronomy13092398

APA Style

Zhao, Z., Geng, P., Wang, X., Li, X., Cai, P., Zhan, X., & Han, X. (2023). Improvement of Active Organic Carbon Distribution and Soil Quality with the Combination of Deep Tillage and No-Tillage Straw Returning Mode. Agronomy, 13(9), 2398. https://doi.org/10.3390/agronomy13092398

Note that from the first issue of 2016, this journal uses article numbers instead of page numbers. See further details here.

Article Metrics

Back to TopTop