Analysis and Closing of the High-Production-Maize Yield Gap in the Semi-Arid Area of Northeast China
Abstract
:1. Introduction
2. Materials and Methods
2.1. Experimental Site
2.2. Experimental Design
2.2.1. N Application Rate Experiment
2.2.2. N Fertilizer Management Experiment
2.2.3. Maize-Planting-Density Optimization Experiment
2.2.4. Experiment for Verification of the Design System
2.3. Sample Collection and Analysis
2.4. Computational Methods and Data Analysis
3. Results and Analysis
3.1. Effects of Different N Application Rates on Maize Yield and Yield Factors
3.2. Effects of Different N Application Rates on Dry-Matter Accumulation and N Uptake by Plants
3.3. N Use Efficiency under the Different N Application Rates
3.4. Effects of Different N Fertilizer Application Frequency on Maize Yield, Yield Component Factors, and Economic Benefit Analysis
3.5. Effects of Different Varieties and Densities on Maize Yield
3.6. The Optimized Design System of Maize High-yielding under Mulched Drip Fertigation Systems
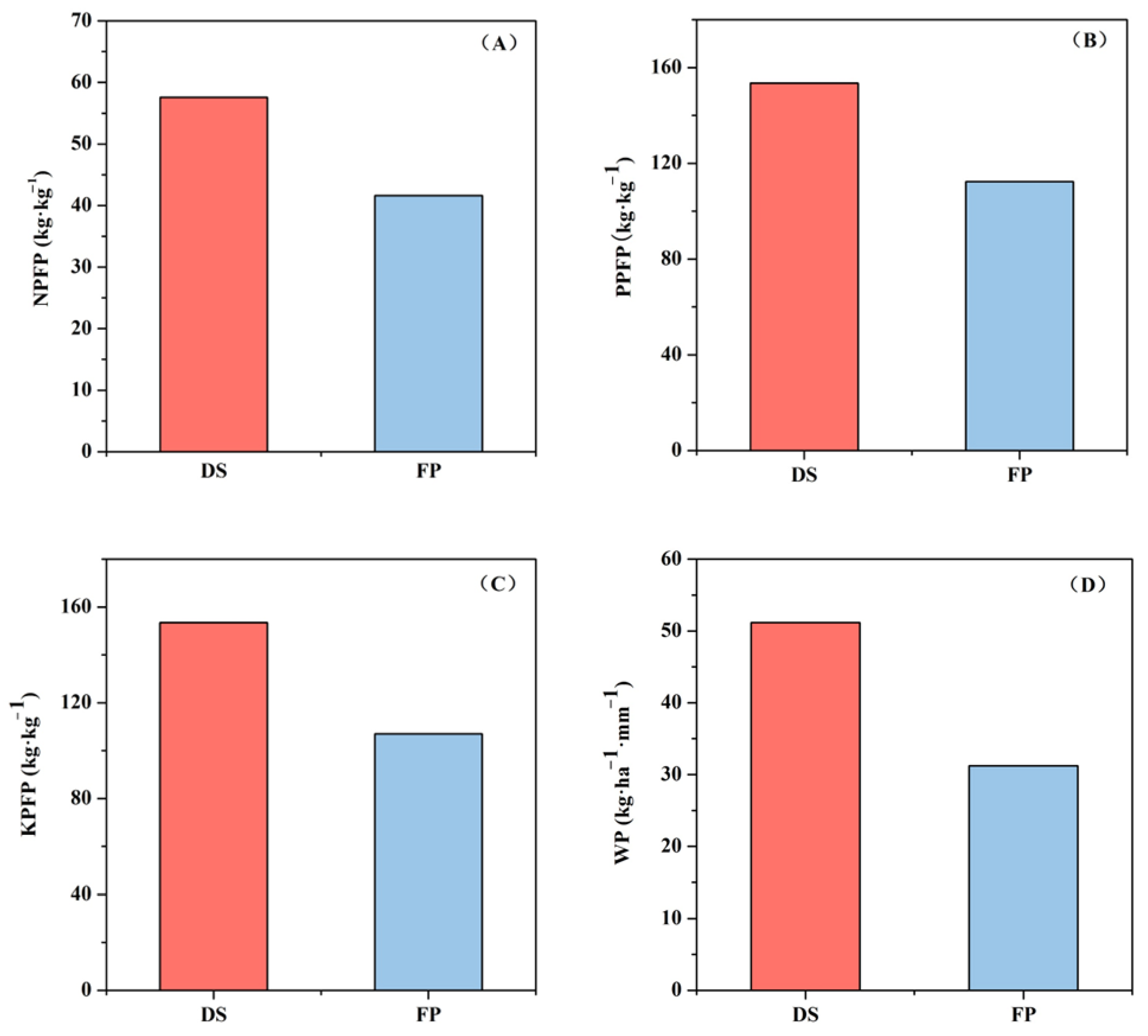
3.7. Comprehensive Evaluation of the Optimized Design System Compared with Farmers’ Practices
4. Discussion
5. Conclusions
Supplementary Materials
Author Contributions
Funding
Conflicts of Interest
References
- Li, K.; Guo, L.; Pan, J.; Li, M. Evaluation of future maize yield changes and adaptation strategies in China. Sustainability 2022, 14, 9246. [Google Scholar] [CrossRef]
- Du, G.M.; Zhang, R.; Yu, F.R. Analysis of cropping pattern in black soil region of Northeast China based on geo-information Tupu. Chin. J. Appl. Ecol. 2022, 33, 694–702. [Google Scholar] [CrossRef]
- Joshi, N.; Piya, L. Food and nutrient supply from organic agriculture in the least developed countries and North America. Sustainability 2021, 13, 5068. [Google Scholar] [CrossRef]
- Khalili, F.; Aghayari, F.; Ardakani, M.R. Effect of alternate furrow irrigation on maize productivity in interaction with different irrigation regimes and biochar amendment. Commun. Soil Sci. Plant Anal. 2020, 51, 757–768. [Google Scholar] [CrossRef]
- Niu, L.; Yan, Y.; Hou, P.; Bai, W.; Zhao, R.; Wang, Y.; Li, S.; Du, T.; Zhao, M.; Song, J.; et al. Influence of plastic film mulching and planting density on yield, leaf anatomy, and root characteristics of maize on the Loess Plateau. Crop. J. 2020, 8, 548–564. [Google Scholar] [CrossRef]
- Suebkam, R.; Trelo-ges, V.; Konyai, S. The Application of deficit water and fertilizer upon yield and water footprint in baby corn. Int. J. Environ. Rural Dev. 2020, 6, 159–164. [Google Scholar] [CrossRef]
- Rong, L.-B.; Gong, K.-Y.; Duan, F.-Y.; Li, S.-K.; Zhao, M.; He, J.; Zhou, W.-B.; Yu, Q. Yield gap and resource utilization efficiency of three major food crops in the world—A review. J. Integr. Agric. 2021, 20, 349–362. [Google Scholar] [CrossRef]
- Meng, Q.; Hou, P.; Wu, L.; Chen, X.; Cui, Z.; Zhang, F.S. Understanding production potentials and yield gaps in intensive maize production in China. Field Crops Res. 2013, 143, 91–97. [Google Scholar] [CrossRef]
- Liu, Y.; Zhang, H.; Li, G.; Sun, X.; Wang, M. A comprehensive method to increase yield and narrow the yield gap of winter wheat for sustainable intensification. J. Sci. Food Agric. 2022, 102, 4238–4249. [Google Scholar] [CrossRef]
- Wang, H.; Ren, H.; Han, K.; Zhang, L.; Zhao, Y.; Liu, Y.; He, Q.; Li, G.; Zhang, J.; Zhao, B.; et al. Experimental assessment of the yield gap associated with maize production in the North China Plain. Field Crop. Res. 2023, 295, 108897. [Google Scholar] [CrossRef]
- Li, L.; Li, X.F.; Zheng, X.M.; Li, X.J.; Jiang, T.; Ju, H.Y.; Wan, X.K. The effects of declining soil moisture levels on suitable maize cultivation areas in Northeast China. J. Hydrol. 2022, 608, 127636. [Google Scholar] [CrossRef]
- Piao, L.; Zhang, S.Y.; Yan, J.Y.; Xiang, T.X.; Chen, Y.; Li, M.; Gu, W.R. Contribution of fertilizer, density and row spacing practices for maize yield and efficiency enhancement in Northeast China. Plants 2022, 11, 2985. [Google Scholar] [CrossRef] [PubMed]
- Dobermans, A.; Cassmas, K.G. Cereal and nitrogen use efficiency are drivers of future nitrogen fertilizer consumption. Sci. China Life Sci. 2005, 48, 745–758. [Google Scholar] [CrossRef] [PubMed]
- Li, M.L. Strategies for the development and utilization of agricultural resources in agricultural cultural heritage sites of henan province under the shared economy in the internet era. In Proceedings of the 2019 International Conference on Education, Economics, Humanities and Social Sciences (ICEEHSS 2019), Singapore, 30–31 October 2019; Clausius Scientific Press: Ottawa, ON, Canada, 2019; pp. 757–761. [Google Scholar]
- Feng, D.R.; Li, G.Y.; Wang, D.; Wulazibieke, M.; Cai, M.K.; Kang, J.; Yuan, Z.C.; Xu, H.C. Evaluation of AquaCrop model performance under mulched drip irrigation for maize in Northeast China. Agric. Water Manag. 2022, 261, 107372. [Google Scholar] [CrossRef]
- Vaddula, Y.; Singh, K. Progression of drip irrigation and fertigation in cotton across the globe and its future perspectives for sustainable agriculture: An overview. Appl. Water Sci. 2023, 13, 177. [Google Scholar] [CrossRef]
- Qin, S.J.; Li, S.; Kang, S.Z.; Du, T.S.; Tong, L.; Ding, R.S. Can the drip irrigation under film mulch reduce crop evapotranspiration and save water under the sufficient irrigation condition? Agric. Water Manag. 2016, 177, 128–137. [Google Scholar] [CrossRef]
- Sun, Y.Y.; Liu, F.M.; Gao, Y.S.; Hou, Z.H.; Dou, J.G. Regulating water and fertilizer application in film-mulched drip irrigation to improve growth and water-fertilizer utilization of maize in Western Jilin. J. Irrig. Drain. 2020, 39, 76–82. [Google Scholar] [CrossRef]
- Wang, L.J.; Wang, H.C.; Qiao, J.L. Effects of Water and fertilizer coupling on growth, yield and quality of grape under drip irrigation with film mulching. Trans. Chin. Soc. Agric. Mach. 2016, 47, 113–119. [Google Scholar] [CrossRef]
- Li, Q.; Qin, Y.B.; Yin, C.X.; Kong, L.L.; Wang, M. Effect of drip fertigation mode on maize yield, nutrient uptake and economic benefit. Sci. Agric. Sin. 2022, 55, 1604–1616. [Google Scholar] [CrossRef]
- Yang, X.; Zhang, F. Genetics of Plant Nutrition; China Agricultural Press: Beijing, China, 1997; pp. 40–42. [Google Scholar]
- Wu, J.; Xiao, H.; Guo, J.; Huang, M.; Zhao, K. Effects of straw returning combined with organic fertilizer replacing 1/3 chemical fertilizer on grain yield, grain protein and chemical fertilizer use efficiency in dryland maize-wheat double cropping system. J. Soil Water Conserv. 2023, 37, 319–326. [Google Scholar] [CrossRef]
- Filho, F.R.C.; Soares, F.A.L.; Alves, D.K.M.; Teixeira, M.B.; Cunha, F.N.; da Silva, E.C.; Costa, C.T.S.; da Silva, N.F.; Cunha, G.N.; Cavalcante, W.S.d.S. Biomass accumulation and technical and economic efficiency of potassium sources applied via fertigation to corn. Agriculture 2022, 12, 497. [Google Scholar] [CrossRef]
- Xiao, J.; Liu, Z.; Chen, Y. Study on the water requirement and water requirement regulation of maize in China. J. Maize Sci. 2008, 16, 21–25. [Google Scholar]
- Andrade, F.H. Analysis of growth and yield of maize, sunflower and soybean grown at Balcarce, Argentina. Field Crop. Res. 1995, 41, 1–12. [Google Scholar] [CrossRef]
- Brooks, A.; Woo, K.C.; Wong, S.C. Effects of phosphorus nutrition on the response of photosynthesis to CO2 and O2, activation of ribulose bisphosphate carboxylase and amounts of ribulose bisphosphate and 3-phosphoglycerate in spinach leaves. Photosynth. Res. 1988, 15, 133–141. [Google Scholar] [CrossRef] [PubMed]
- Vitousek, P.M.; Naylor, R.; Crews, T.; David, M.B.; Drinkwater, L.E.; Holland, E.; Johnes, P.J.; Katzenberger, J.; Martinelli, L.A.; Matson, P.A.; et al. Nutrient imbalances in agricultural development. Agriculture 2009, 324, 1519–1520. [Google Scholar] [CrossRef]
- Chen, X.P.; Zhang, F.S.; Cui, Z.L.; Li, F.; Li, J.L. Optimizing soil nitrogen supply in the root zone to improve maize management. Soil Sci. Soc. Am. J. 2010, 74, 1367–1373. [Google Scholar] [CrossRef]
- Robles, M.; Ciampitti, I.A.; Vyn, T.J. Responses of maize hybrids to twin-row spatial arrangement at multiple plant densities. Agron. J. 2012, 104, 1747–1756. [Google Scholar] [CrossRef]
- Bartholomew, P.W.; Williams, R.D. Cool-season grass development rresponse to accumulated temperature under a range of temperature regimes. Crop Ecol. 2005, 45, 529–534. [Google Scholar] [CrossRef]
- Bruns, H.A.; Abbas, H.K. Planting Date Effects on Bt and Non-Bt Corn in the Mid-South USA. Agron. J. 2006, 98, 100–106. [Google Scholar] [CrossRef]
- Jin, X.; Li, D.; Fang, Q.; Lu, X.Z.; Hang, W.; Tang, J.; Yu, M.; Gu, Y. Effects of fertilizer application on yield and nutrient contents of silage corn. Acta Agric. Shanghai 2010, 26, 136–137. [Google Scholar] [CrossRef]
- Wang, Y.; Wang, K.; Dong, S.; Hu, C.; Zhang, J.; Liu, P. Effects of nitrogen application on nitrate accumulation and yield of euchlaena mexicana. Acta Agron. Sin. 2006, 32, 45–350. [Google Scholar] [CrossRef]
- Wang, X.; Pei, X.; Xia, W.; Liu, W. Effects of nitrogen fertilizer application management on grain yield, fertilizer use efficiency and nitrogen balance of Nongda108. J. Maize Sci. 2011, 19, 114–118. [Google Scholar] [CrossRef]
- Yang, F.; Yan, Q.; Lu, J.; Li, F.; Wang, M.; Dong, F. Effects of nitrogen application on summer maize yield, nutrient utilization efficiency and soil available nutrient residues. Acta Agric. Boreali-Sin. 2017, 32, 171–178. [Google Scholar] [CrossRef]
- Zou, X.; Zhang, X.; An, J. Effect of reducing and postponing of N application on yield, plant N uptake, utilization and N balance in maize. Soil Fertil. China 2011, 6, 25–29. [Google Scholar]
- Zhang, X.; Davidson, E.; Mauzerall, D. Managing nitrogen for sustainable development. Nature 2015, 528, 51–59. [Google Scholar] [CrossRef] [PubMed]
- Jiang, T. Effects of nitrogen application regime on yield, quality and plant nutrient contents of summer maize. J. Plant Nutr. Fertil. 2013, 32, 559–565. [Google Scholar] [CrossRef]
- Cui, Z.; Zhang, F.; Chen, X.; Dou, Z.; Li, J. In-season nitrogen management strategy for winter wheat: Maximizing yields, minimizing environmental impact in an over-fertilization context. Field Crop. Res. 2010, 116, 140–146. [Google Scholar] [CrossRef]
- Meng, Q.; Yue, S.; Hou, P.; Cui, Z.; Chen, X. Improving yield and nitrogen use efficiency simultaneously for maize and wheat in China: A review. Pedosphere 2016, 26, 137–147. [Google Scholar] [CrossRef]
- Doorenbos, J.; Kassam, A.H.; Bentvelsen, C. Yield response to water. Irrig. Drain. 1979, 33, 257–280. [Google Scholar]
- Grassini, P.; Thorbucn, J.; Burr, C.; Kenneth, G. High-yield irrigated maize in the Western U.S. Corn Belt: I. On-farm yield, yield potential, and impact of agronomic practices. Field Crop. Res. 2011, 120, 142–150. [Google Scholar] [CrossRef]
- Anapalli, S.; Pinnamaneni, S.; Reddy, K.; Singh, G. Eddy covariance quantification of corn water use and yield responses to irrigations on farm-scale fields. Agron. J. 2022, 114, 2445–2457. [Google Scholar] [CrossRef]
- Lin, W.; Liu, W.; Zhou, S.; Liu, C. Influence of plastic film mulch on maize water use efficiency in the Loess Plateau of China. Agric. Water Manag. 2019, 224, 105710. [Google Scholar] [CrossRef]
- Qin, W.; Hu, C.; Oenema, O. Soil mulching significantly enhances yields and water and nitrogen use efficiencies of maize and wheat: A meta-analysis. Sci. Rep. 2015, 5, 16210. [Google Scholar] [CrossRef] [PubMed]
- Lee, S.-H.; Song, K.-H. The economic effects of chemical fertilizer in big data. Korean J. Org. Agric. 2018, 26, 619–628. [Google Scholar] [CrossRef]



| Year | Treatments | Grain Per Ear (No.) | Thousand-Kernel Weight (g) | Yield (Mg∙ha−1) | Harvest Index |
|---|---|---|---|---|---|
| 2020 | N0 | 382 c | 287 b | 7.6 c | 0.39 b |
| N90 | 495 b | 295 a | 10.9 b | 0.43 a | |
| N150 | 501 b | 297 a | 11.7 a | 0.42 a | |
| N210 | 571 a | 301 a | 12.6 a | 0.43 a | |
| N270 | 539 a | 317 a | 12.5 a | 0.43 a | |
| 2021 | N0 | 319 c | 253 c | 6.9 c | 0.40 b |
| N90 | 497 b | 269 bc | 10.2 b | 0.45 a | |
| N150 | 549 a | 278 ab | 11.9 a | 0.44 a | |
| N210 | 569 a | 299 a | 12.9 a | 0.48 a | |
| N270 | 559 a | 309 a | 13.1 a | 0.47 a | |
| Source of variation | |||||
| Year (Y) | ** | ** | ** | NS | |
| Fertilizer N rate (N) | ** | ** | ** | ** | |
| Y × N | ** | NS | NS | NS | |
| Source of Variation | Shoot Dry-Matter Weight | ||||
|---|---|---|---|---|---|
| Jointing | Belling | Silking | Filling | Mature | |
| Year (Y) | ** | ** | * | ** | ** |
| Fertilizer N rate (N) | ** | ** | ** | ** | ** |
| Y × N | * | NS | * | ** | NS |
| Year | Treatment | PFPN (kg∙kg−1) | AEN (kg∙kg−1) | REN (%) |
|---|---|---|---|---|
| 2020 | N90 | 121.1 a | 36.7 a | 51.1 a |
| N150 | 78.0 b | 27.3 b | 48.3 b | |
| N210 | 60.1 c | 23.8 b | 46.1 b | |
| N270 | 46.3 d | 18.1 c | 33.7 c | |
| 2021 | N90 | 113.3 a | 36.7 a | 63.5 b |
| N150 | 79.3 b | 33.3 a | 81.6 a | |
| N210 | 61.4 c | 28.6 b | 78.4 a | |
| N270 | 48.5 d | 23.0 c | 62.9 b | |
| Year (Y) | NS | NS | ** | |
| Fertilizer N rate (N) | ** | ** | ** | |
| Y × N | NS | NS | ** | |
| Treatment | Grain Per Ear (No.) | Thousand-Kernel Weight (g) | Yield (Mg∙ha−1) |
|---|---|---|---|
| N1 | 434.1 b | 31.5 a | 10.4 b |
| N2 | 485.6 a | 32.5 a | 12.4 a |
| N3 | 479.1 a | 31.9 a | 11.9 a |
| N4 | 473.5 a | 32.0 a | 11.7 a |
| Treatment | Fertilizer | Drip Irrigation Equipment | Water, Electricity and Labor | Machinery, Seed and Pesticide | Maize Output | Net Return |
|---|---|---|---|---|---|---|
| N1 | 2050 | 1350 | 650 | 3630 | 20,826 | 13,146 |
| N2 | 2050 | 1350 | 760 | 3630 | 24,878 | 17,088 |
| N3 | 2050 | 1350 | 890 | 3630 | 23,854 | 15,934 |
| N4 | 2050 | 1350 | 1060 | 3630 | 23,436 | 15,346 |
| Treatment | Ear Number 104 ha−1 | Grains Per Ear (NO.) | Thousand-Kernel Weight (g) | Yield (Mg∙ha−1) | Harvest Index |
|---|---|---|---|---|---|
| DS | 7.8 | 494.1 | 341.6 | 13.8 | 0.48 |
| FP | 5.9 | 521.3 | 319.8 | 11.2 | 0.47 |
| Factors | DS | FP |
|---|---|---|
| Yuan ha−1 | ||
| Fertilizers | 3150 | 3520 |
| Irrigation | ||
| Electricity | 650 | 515 |
| Water | 295 | 345 |
| Seed | 1040 | 850 |
| Drip-irrigation equipment | 1350 | 1350 |
| Herbicides and pesticides | 260 | 260 |
| Land preparation | 760 | 760 |
| Sowing and harvest | 1150 | 940 |
| Labor | 550 | 120 |
| Total | 9205 | 8660 |
| Gross revenue from yield | 27,654 | 22,478 |
| Returns | 18,449 | 13,818 |
Disclaimer/Publisher’s Note: The statements, opinions and data contained in all publications are solely those of the individual author(s) and contributor(s) and not of MDPI and/or the editor(s). MDPI and/or the editor(s) disclaim responsibility for any injury to people or property resulting from any ideas, methods, instructions or products referred to in the content. |
© 2023 by the authors. Licensee MDPI, Basel, Switzerland. This article is an open access article distributed under the terms and conditions of the Creative Commons Attribution (CC BY) license (https://creativecommons.org/licenses/by/4.0/).
Share and Cite
Wang, M.; Zhang, L.; Lin, Y.; Zhao, J.; Qin, Y.; Li, Q.; Liu, H.; Sun, B.; Wang, L. Analysis and Closing of the High-Production-Maize Yield Gap in the Semi-Arid Area of Northeast China. Agronomy 2024, 14, 30. https://doi.org/10.3390/agronomy14010030
Wang M, Zhang L, Lin Y, Zhao J, Qin Y, Li Q, Liu H, Sun B, Wang L. Analysis and Closing of the High-Production-Maize Yield Gap in the Semi-Arid Area of Northeast China. Agronomy. 2024; 14(1):30. https://doi.org/10.3390/agronomy14010030
Chicago/Turabian StyleWang, Meng, Lei Zhang, Yuan Lin, Jiale Zhao, Yubo Qin, Qian Li, Hang Liu, Bo Sun, and Lichun Wang. 2024. "Analysis and Closing of the High-Production-Maize Yield Gap in the Semi-Arid Area of Northeast China" Agronomy 14, no. 1: 30. https://doi.org/10.3390/agronomy14010030
APA StyleWang, M., Zhang, L., Lin, Y., Zhao, J., Qin, Y., Li, Q., Liu, H., Sun, B., & Wang, L. (2024). Analysis and Closing of the High-Production-Maize Yield Gap in the Semi-Arid Area of Northeast China. Agronomy, 14(1), 30. https://doi.org/10.3390/agronomy14010030
