Abstract
One-time fertilization with controlled-release urea (CRU) is a research hotspot for its lower labor cost and stability of nitrogen (N) supply for rice growth. Yet the fertilizer formulation needs to be further improved to better adjust the N supplement to meet the demand of rice plants and obtain a higher grain yield. Therefore, the effects of novel fertilizer formulations composed of CRU, urease inhibitor (UI) and nitrification inhibitor (NI) on the rice growth and photosynthetic characteristics as well as high-yield formation were tested through a two-year field experiment. The result indicated that the combined use of CRU and UI treatment can achieve higher yields than with CRU at the same N application level. Meanwhile, with a 20% reduction of N use, one-time application of CRU + UI can obtain the same high yield as the conventional split application of urea. Compared with conventional fertilization and CRU treatment, the CRU + UI treatment had suitable leaf area and biomass accumulation at the vegetative growth stage and high effective stem tiller rate. More post-anthesis dry matter accumulation, higher net photosynthesis rate and low senescence rate were guaranteed for its high yield and nitrogen agronomic efficiency.
1. Introduction
Rice (Oryza sativa L.) is a major staple food in Asia and plays a central role in food production and consumption [1]. In China, with the continuous growth of population and food demand, massive application of nitrogen chemical fertilizers in paddy soil is a common practice for obtaining high grain yield. N use efficiency was as low as 35% [2], and a series of environmental problems have arisen with the loss of reactive N, such as eutrophication, contamination of underground water, greenhouse gas emission, etc. [3,4,5]. Therefore, Chinese farmers were advised to split N fertilizer three to four times according to rice N requirements [6]. However, due to the insufficient labor resources resulting from urbanization, fertilizer topdressing becomes an economic burden for farmers [7]. Therefore, it is imperative to develop new fertilization practices to achieve high yields and lower labor costs.
To address the issue, some enhanced-efficiency fertilizers have been developed. Among them, controlled-released urea (CRU) has been recognized as a promising product, that can release nutrients into the soil slowly over a long period to meet the continued need for crops [8]. The effects of CRU on increasing yield and nitrogen use efficiency (NUE), and improving rice quality have been widely reported [9]. However, the benefits of CRU vary greatly depending on its coating materials, nutrient release patterns, soil moisture, temperature, rice cultivars, and cultivation conditions [10]. Among the most applied controlled-release fertilizers in the market, the release from polyurethane-coated CRU is more stable, especially compared with the “burst” N release from sulfur-coated urea [11]. With its higher price, one-time basal application of CRU blending with conventional urea (bulk blending urea (BBU)) should be the most cost-effective way which can be high-yielding and low-labor-inputting.
However, the considerable portion of conventional urea in this BBU would be rapidly hydrolyzed by urease, resulting in substantial N loss through NH3 volatilization and subsequent nitrate leaching. As one of the major pathways of gaseous N emission in paddy soil, losses of NH3 volatilization were reported to reach up to 40% of applied urea-N [12]. The release of ammonia into the atmosphere contributes to the eutrophication of aquatic ecosystems and acidification in terrestrial ecosystems [13]. The accumulated ammonia could also be easily transformed by nitrification and subsequent denitrification, leading to the emission of N2O and NO [14,15]. Using urease inhibitors (UI) and nitrification inhibitors (NI) could be an appropriate approach to mitigate these losses. By delaying the hydrolysis of urea and depressing the function of nitrification-associated microbes, they were proven to reduce the potential of NH3 volatilization and nitrification, thus improving N use efficiency [16]. N-(n-butyl) thiophosphoric triamide (NBPT) and nitrapyrin (NP) were the most widely used UI and NI, and their strong inhibitory effects on urea hydrolysis and nitrification have been demonstrated in our past studies [17]. In crop production, NBPT and NP were often applied as liquid formulations coating urea granules or added to the urea melt before granulation [18]. However, the adsorption by soil particles and the microbial and abiotic degradation would reduce their effectiveness, and the rate of degradation affected by soil temperature, soil moisture, pH, and microbial activity [19,20]. The high temperature and soil moisture during rice growth will certainly accelerate that process. Cantarella et al. [21] reported that in a warm and moist condition, the NH3 loss peak can be delayed by UI and NI for 3–12 days, and the total NH3 loss was reduced by 20%. The effective duration of the inhibitors was short, but they can reduce the sharp and abrupt increase in soil N concentration caused by urea application and maintain a relatively longer period of the elevated soil N content [21]. Such results lead to an inspiration that UI and NI can further refine the matching of N supply to rice N demand during rice growth in the one-time application of BBU.
Better N management can enhance leaf photosynthetic capacity due to its close relationship with N content [22]. Although photosynthesis is the basis for yield formation, it is hard to say that yield improvement can be directly achieved by elevating photosynthetic efficiency [23]. The key to obtaining greater grain yield mainly depends on increasing dry matter accumulation by the photosynthesis of leaves post-anthesis and dry matter remobilization [24]. Accelerating early leaf area growth during vegetative growth and decelerating canopy senescence during the grain-filling stage would expand the duration of complete canopy cover and photosynthesis capacity, thus ensuring the enhancement of rice productivity [23]. Previous studies on CRU fertilization often focused on the release of N fertilizer and the N absorption of rice plants and neglected to evaluate fertilization practices based on their yield-enhancing mechanisms. Therefore, we investigate the effects of four fertilizer treatments with one-time application on rice photosynthesis characteristics, dry matter accumulation, and yield formation in a two-year field experiment. The primary objectives of this study were (a) to evaluate the effectiveness of different formulations for one-time basal fertilization on improving rice growth and yield formation, and (b) to define better fertilizer strategies for optimal high yield with minimal labor cost under reducing N application level.
2. Materials and Methods
2.1. Field Experiment Site and Plant Materials
The two-year field experiment was conducted in Shatou town (32.3° N, 119.5° E), Yangzhou City, Jiangsu Province, China, one of the typical rice-producing regions in China. The region features a subtropical monsoon humid climate (annual mean temperature of 17.1 °C and precipitation of 1051.5 mm). This field has been under a rice-wheat rotation system for decades. In the last wheat production season, the full amount of straw was returned to the field and 225 kg N hm−2 of fertilizer was applied. The temperature and precipitation data during the two rice growth seasons are provided in Figure 1. Before the experiment, the physical and chemical properties of the soil sampled from the field were determined by standard procedures [25]. The experimental site is characterized by fluvo-aquic soil, with the plowing layer (0–20 cm) exhibiting a clay loam texture consisting of 51.1% sand, 20.9% silt, and 28.0% clay. Soil pH (1:2.5 H2O), total organic carbon, total N, available P, and K were 8.34, 22.6 g kg−1, 3.09 g kg−1,14.8 mg kg−1, and 150.09 mg kg−1 respectively. Super rice cultivar Nanjing 9108 was used for the field experiment. The seedlings were raised in the seedbed on 25 May and transplanted on 15 June, with hill spacing of 13.3 cm × 30.0 cm and four seedlings per hill.
Figure 1.
Average temperature and monthly precipitation in rice growth seasons from 2020–2021.
2.2. Experimental Design
Two nitrogen levels (300 kg N hm−2 and 240 kg N hm−2) and five nitrogen fertilizer treatments (conventional fertilization as a control, with urea applied in a split of 3:3:2:2; one-time basal application of CRU (CRU), one-time basal application of conventional urea with urease inhibitor and nitrification inhibitor (UI + NI); one-time basal application of CRU with urease inhibitor (CRU + UI); one-time basal application of CRU with urease inhibitor and nitrification inhibitor (CRU + UI + NI)) were set to investigate the effects of nitrogen application rate and fertilizer on rice growth and production. There were three replicates for each treatment, and the plot area of each replicate was 36 m2 (4.5 m × 8 m). NBPT (n-butyl-thiophosphoryl triamine) was chosen as a urea inhibitor and Nitrapyrin (NP) as a nitrification inhibitor based on pre-experimental screening, with the dosage of both inhibitors 2.4 kg hm−2. For the CRU, CRU + UI, and CRU + UI + NI treatments, nitrogen fertilizer was mixed at 4:6 with conventional urea and polyurethane-coated controlled-release urea. Additionally, superphosphate and KCl fertilizers were applied before sowing according to a ratio of N:P2O5:K2O = 1:0.5:1. A blank control treatment with no N application (N0) was also set for the nitrogen agronomic efficiency (NAE) calculation.
2.3. Sampling and Measurement
Observations were made at the tillering, elongation, heading, and maturity stages. In each plot, 20 hills were marked to survey the number of tillers (including main stems) at key growth stages. The percentage of productive tillers was determined by the ratio of panicles developing from tillers to the maximum number of tillers at the elongating stage. From each plot, 5 hills of plants were sampled and the total above-ground biomass was measured at the elongating, heading, and maturity stages after drying at 80 °C to constant weight. The leaf area index (LAI) was determined using a portable leaf area meter (Li-3000A, LI-COR, Lincoln, NE, USA).
A total of 20 hills of rice plants heading on the same day were marked, and chlorophyll content and photosynthetic rates of the flag leaves were measured at ten-day intervals after the heading stage. The chlorophyll content (SPAD value) was determined using a chlorophyll meter (SPAD-502 Plus, Konica Minolta, Tokyo, Japan). Leaf photosynthetic rate was measured with a portable photosynthesis measurement system (LI-6400XT, LI-COR, USA). All measurements were conducted on a clear morning between 09:00 and 11:00, and 5 individual rice plants were measured for each plot.
At maturity, fifty hills were randomly selected within each plot to determine grain yield. Also, three random samples of 10 rice hills were selected from each plot to determine the yield components, including the number of panicles per square meter, number of spikelets per panicle, seed setting rate, and 1000-grain weight (TGW). The TGW and grain yield were weighted with grain moisture adjusted to 0.14 g H2O g−1.
2.4. Statistical Analysis
Analysis of variance (ANOVA) was performed using SPSS for Mac (Version 27.0., IBM Corp, Armonk, NY, USA). In the statistical model, year, N application rate, fertilizer treatment, and their interactions were considered as sources of variation. Tukey test was used to compare the means at the 0.05 probability level (p < 0.05). SigmaPlot (SigmaPlot 14.0. Systat Software, San Jose, CA, USA) was used to draw the figures. The correlation test was performed and visualized using R studio version 1.2.5042 with the ‘corrplot’ package [26].
Calculation of the percentage of high effective leaf area, decay rate of the LAI (DLAI), leaf area duration (LAD), net assimilation rate (NAR), and nitrogen agronomic efficiency (NAE) was performed using the following formulas:
where L1 and L2 were the LAI measured at the time t1 and t2, respectively. W1 and W2 were the rice aboveground biomass measured at t1 and t2, respectively. YN and Y0 were the grain yields from treatments with N fertilizer and without N fertilizer, and Nrate is the N fertilizer application rate.
Percentage of high effective leaf area (%) = (top three leaves area of productive tillers at heading stage/total leaves area of rice plant) × 100%
DLAI (LAI d−1) = (LAI at heading stage − LAI at maturity stage)/days from heading to maturity
LAD (m2 m−2 d) = 1/2 (L1 + L2) × (t2 − t1)
NAR (g m−2 d−1) = ((lnL2 − InLl)/(L2 − L1)) × ((W2 − W1)/(t2 − t1))
NAE (kg kg−1) = (YN − Y0)/Nrate
3. Results
3.1. Grain Yield and Yield Components
In both years, rice grain yield was significantly affected by the nitrogen application level (F = 3.77, p < 0.01) and fertilization treatments (F = 3.92, p < 0.01) (Table 1). Rice yield was reduced after reducing N application to 240 kg N hm−2 instead of 300 kg N hm−2 but at different rates in different fertilizer treatments. The effect of different fertilizer treatments on yield was consistent between years. Under both N application levels, the yield of the CRU treatment was not significantly different from that of CK treatment, indicating that the one-time application of controlled-release urea compound fertilizer could achieve the high yield of conventional precise and quantitative fertilization. UI + NI treatments yielded less than CK and other fertilizer treatments in different years and nitrogen levels. The yield in the CRU + UI treatment was higher than the CK in 240 kg N hm−2 N application rate and was not significantly different from the CK t in 300 kg N hm−2 N application rate. At both N application rates, the yield of the CRU + UI + NI treatment was at the same level as that of CRU + UI.
Table 1.
Effects of N application rate and fertilizer treatment on rice yield and its components.
Panicle number per hm2 was significantly affected by N application rate (F = 1.31, p < 0.05) and fertilizers (F = 3.79, p < 0.01), and panicle number in the UI + NI treatment was lowest among all fertilizer treatments. Spikelets per panicle in the UI + NI treatment were also less than in other fertilizers, while the highest spikelets number was observed in the CRU + UI + NI treatment. The effects of N rate and fertilizer treatment on filled-grain percentages differed over the years. The variations in values of thousand-grain weight (TGW) were influenced by year, N rate, fertilizer and their combined effects, and did not exhibit a consistent trend across fertilizer treatments.
3.2. Tiller Number and Percentage of Productive Tillers
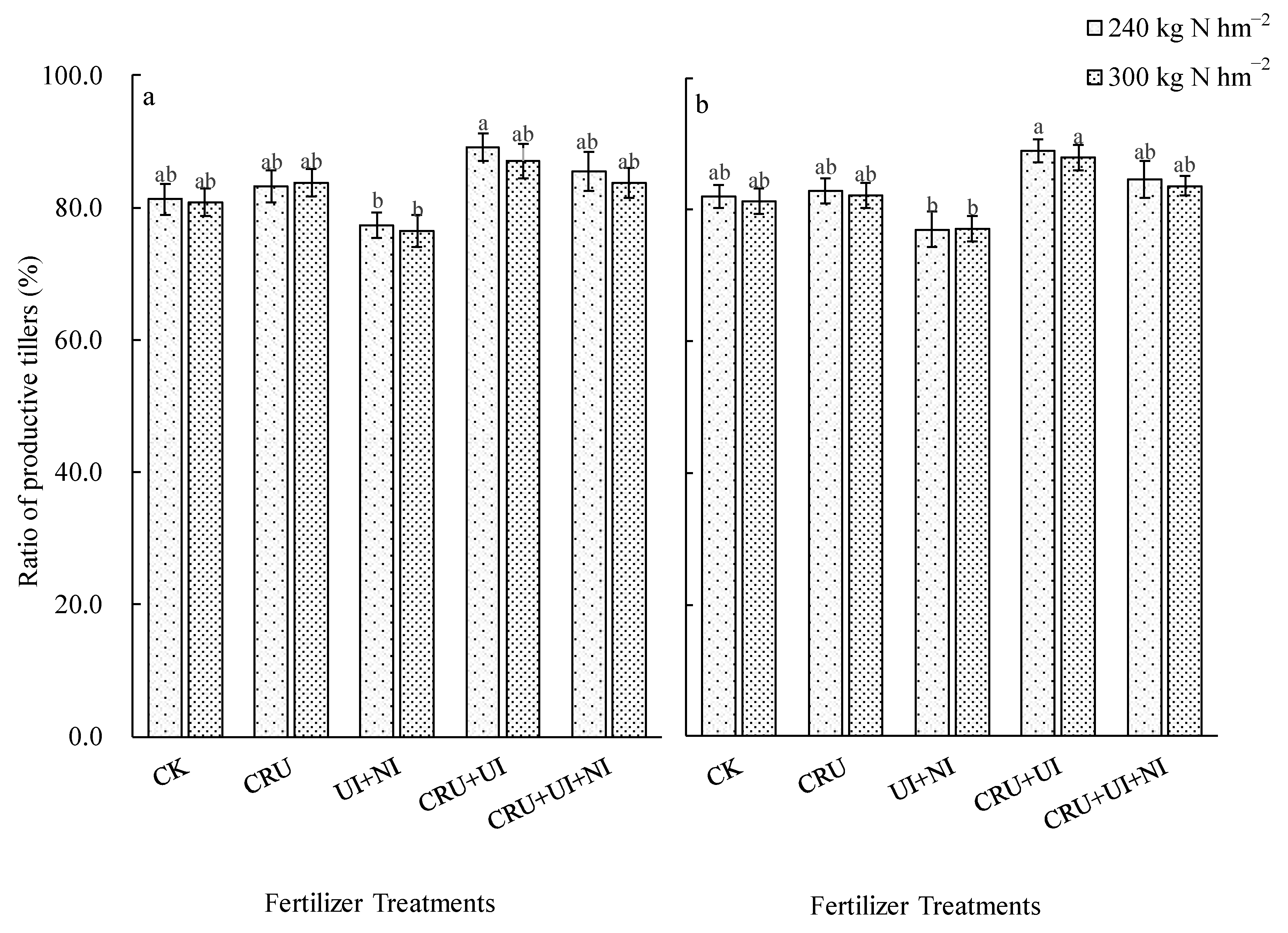
Different fertilizer treatments considerably affected the tiller number (Table 2) and the percentage of productive tillers (Figure S1) at the main growth stages of rice.
Table 2.
Effects of N application rate and fertilizer treatment on the dynamics of rice stems and tillers.
At the tillering stage, the number of tillers in the CRU, CRU + UI, and CK treatments was higher. At the jointing stage, the lowest peak seedling number was observed in the CRU + UI + NI treatment, while those in other treatments had no differences. The addition of UI could effectively alleviate urea hydrolysis, so that soil in the CRU + UI treatment was able to supply nitrogen stably and efficiently to promote rice tiller production (Table 2) and maintain more effective tillers at the heading stage, with its ratio of productive tillers being highest among all the fertilizer (ranging from 87.07 to 89.01%) (Figure S1).
In the UI + NI treatment, the number of tillers was low at the tillering stage but with subsequent rapid growth, the number of peak seedlings was as high as that of CK. However, its tiller number at maturity was significantly lower than that of the other fertilizer treatments, and its ratio of productive tillers was the lowest among all treatments. At maturity, the number of tillers in the CRU treatment was lower than that of CK but its ratio of productive tillers was slightly higher.
3.3. Aboveground Biomass Accumulation and Harvest Index
At seeding to tillering (S-T) and tillering to jointing (T-J), the UI + NI treatment had the highest percentage of aboveground biomass accumulation and the CRU + UI + NI treatment had the lowest biomass accumulation (Table 3). From jointing to heading (J-H), the amount and percentage of biomass accumulation were significantly higher in the CRU + UI treatment than in CK and other fertilizer treatments, and its aboveground biomass accumulation was 18.16–20.39% higher than that of the UI + NI treatment. From heading to maturity (H-M), aboveground biomass accumulation in the CRU + UI treatment was still larger than in other treatments, while the CRU + UI + NI treatment had the highest percentage of accumulation during this period. The harvest index (HI) was driven by year, fertilizer and their combined effect, but not by N rates (Table 3). The HI of CRU treatment was lower among fertilizers treatments in the year 2020. In 2021, the effects of fertilizers on HI were not consistent at two N application rates.
Table 3.
Effects of N application rate and fertilizer treatment on dry matter accumulation (DMA) and proportion in main growth stages of rice.
3.4. Leaf Area Index, the Decay Rate of LAI, and Percentage of High Effective Leaf Area
At the tillering and jointing stage, the leaf area index was higher in the UI + NI treatment than other one-time fertilization treatments. At the heading stage, it was higher in the CRU + UI and CK treatments compared with the other treatments (Table 4). At maturity, the leaf area index decayed substantially. DLAI in the UI + NI treatment was higher than that in CRU + UI and CRU + UI + NI treatments but was not significantly different from CK (Table 4). Also, the DLAI of the CRU treatment was not observed significantly different from CK.
Table 4.
Effects of N application rate and fertilizer treatment on leaf area index and decay rate of LAI of rice.
Overall, neither nitrogen application nor fertilizer treatments had a significant effect on the percentage of high effective leaf area (Figure S2). The percentage of high effective leaf area was lower in the UI + NI treatment at different nitrogen application levels, also there was a slight decrease in the efficient leaf area ratio when nitrogen application was reduced.
3.5. Net Assimilation Rate
The NAR was significantly influenced by N rate, fertilizer treatments and year (Table 5). NAR was higher in CK and UI + NI treatments in comparison to other treatments at S-T. Whereas, at T-J, the NAR of the UI + NI treatment was reduced while the rest of the fertilizer treatments were the same high as CK. After the jointing stage, the NAR was significantly higher in the CRU + UI treatment and CRU + UI + NI treatment than in CK treatment. At H-M, the maximum NAR was recorded in the CRU + UI + NI treatment, which was significantly higher than in CK.
Table 5.
Effects of N application rate and fertilizer treatment on net assimilation rate (NAR) at main growth stages of rice.
3.6. Leaf Area Duration (LAD), SPAD Value, and Net Photosynthetic Rate (Pn) of Flag Leaf
In UI + NI treatments, rice LAD was higher than other novel fertilizer treatments from the sowing to the jointing stage, but was reduced substantially after the heading stage (Table 6). The LAD of CRU + UI treatments was lower than CK treatments from sowing to the jointing stage, while it increased after the jointing stage, and was higher than CK from the heading stage to maturity. In contrast, the CRU + UI + NI treatment had a lower leaf area duration than the CK treatment in different N application rates.
Table 6.
Effects of N application rate and fertilizer treatment on leaf area duration (LAD) of rice.
Variation in the Pn of the flag leaves after the heading demonstrates post-flowering leaf senescence in rice (due to the COVID-19 pandemic, this data is only accessible for the year 2020) (Table 7). At the heading stage, the Pn in CK is the highest. The Pn of flag leaves under the UI + NI treatment was the lowest at and after heading in both N levels. The rate of reduction in Pn was less in the CRU, CRU + UI and CRU + UI + NI treatments than in the CK treatment, and it was significantly higher at 30 and 40 d after heading compared with CK. At 40 d after heading, Pn in CRU + UI was highest among all treatments.
Table 7.
Effects of N application rate and fertilizer treatment on the net photosynthetic rate of rice in 2020.
The SPAD values of flag leaves decreased gradually after heading and the decrease was affected by different fertilizer treatments (Figure 2). SPAD values of flag leaves of UI + NI treatments were always significantly lower than any other treatments at heading and thereafter. At 20 d after heading, the rate of decline in SPAD values of flag leaves was faster in CK in comparison with the fertilizer treatments containing CRU. At 40 d after rice heading, flag leaf SPAD values of CRU + UI and CRU + UI + NI treatments were significantly higher than those of CRU and CK treatments. Flag leaf SPAD values of CRU + UI + NI treatments were significantly higher than CK by 25.72–34.63%.
Figure 2.
Chlorophyll content (SPAD value) of rice flag leaves after anthesis under different fertilizer treatments at 240 kg N hm−2 (a,c) and at 300 kg N hm−2 (b,d). Indicates significance between treatments at the p < 0.05 level. * means fertilizer treatments having significant differences at the 0.05 probability level.
3.7. Nitrogen Agronomic Efficiency (NAE)
Overall, the NAE was higher in treatments at 240 kg N hm−2 N application rate (Figure 3). The effect of fertilizer treatments on NAE was consistent in the years 2020 and 2021. NAE of the CRU + UI treatment was significantly higher than CK, while that of UI + NI was lowest among all treatments. In CRU and CRU + UI + NI treatments, the NAE was at the same level as CK at 240 kg N hm−2 N application rate but was significantly lower than CK at 300 kg N hm−2 N application rate.
Figure 3.
Effects of N application rate and fertilizer treatment on nitrogen agronomic efficiency (NAE) in 2020 (a) and 2021 (b). Different lowercase letters indicate significant differences at the 5% probability level.
3.8. Correlation Analysis
A correlation analysis of factors including rice yield, yield components, and growth characteristics was performed across the fertilizer treatments over two years (Figure 4). Among the yield components, panicle number was found to be strongly correlated with the grain yield (r = 0.79, p < 0.01), and the filled-grain percentage was also significantly related (r = 0.45, p < 0.05). Dry matter accumulation and photosynthesis-related indices after the jointing stage were crucial to yield, such as dry matter accumulation during the jointing to maturing stage, LAI at heading and mature stages, Pn and SPAD values at and after anthesis.
Figure 4.
Correlations between yield, yield formation components and growth characteristics. * p < 0.05; ** p < 0.01. The pie chart’s color and size denote the relationship’s magnitude and direction. FGP, filled-grain percentage; TGW, thousand grains weight; DMA (S-T), dry matter accumulation from seeding to tillering stage; DMA (T-J), dry matter accumulation from tillering to jointing stage; DMA (J-H), dry matter accumulation from jointing to heading stage; DMA (H-M), dry matter accumulation from heading to maturity stage; LAI (Tillering), leaf area index at tillering stage; LAI (Jointing), leaf area index at jointing stage; LAI (Heading), leaf area index at heading stage; LAI (Mature), leaf area index at mature stage; NAR (J-H), net assimilation rate from jointing to heading stage; NAR (H-M), net assimilation rate from heading to maturity stage; LAD (J-H), leaf area duration from jointing to heading stage; LAD (H-M), leaf area duration from heading to maturity stage; Pn, net photosynthetic rate of flag leaf; SPAD, SPAD value of flag leaf at anthesis; SPAD-10/20/30/40, SPAD value of flag leaf 10/20/30/40 days after anthesis.
4. Discussion
Due to the continuous nutrition release capability, CRUs have recently been intensively researched for application in one-time applications instead of traditional split applications to eliminate the increasing labor costs [27]. This fertilization method has been shown to improve N use efficiency in crops and can attain yields as higu as the traditional split-application method [9]. In the present study, rice yield of CRU treatment was as high as CK in both years at different N application rates (Table 1). In such a one-time application fertilizer formulation, 40–60% of the conventional urea would still be used for mixing with CRU [28]. In this study, we tested novel fertilizer formulations incorporating UI and NI to explore further modification options for CRU one-time fertilization. The results showed that the CRU + UI treatment produced significantly higher yields than the CRU treatment at the 300 kg N hm−2 N application rate, and at 240 kg N hm−2, CRU + UI could achieve the same high yields as CK at 300 kg N hm−2 (Table 1). This suggests that UI addition is a promising way to further enhance the pathway to optimizing the one-time basal application of fertilizers. Panicle number and filled-grain percentage were higher in the CRU + UI treatment than other one-time fertilizer treatments in both years at two N rates (Table 1). Consisted with previous studies [27,28], these two yield components had been attributed to the high yields obtained in this treatment, with their positive significant correlations with yield (Figure 4).
Rice yield is determined by biomass accumulation and HI [29]. In our research, the magnitude of variation in HI was small (Table 3), which is consistent with previous opinions that there is limited scope to further increase HI [29]. The HI of the UI + NI treatment was relatively higher than other treatments, which might be a consequence of its low grain yield (Table 1). The amount and distribution of biomass accumulation are all vital for achieving higher yield [30]. The biomass in grain yield is mainly derived from carbohydrate storage in stems pre-anthesis and photosynthetic products after anthesis, with the latter determinant for yield formation [31]. In our study, DMA showed considerable differences among the fertilizer treatments. The DMA of the CRU + UI was slightly lower than CK in the vegetative growth stage, and significantly higher than CK from the heading stage to maturity (Table 3). The high yield obtained from the CRU + UI treatment may be partially attributed to its appropriate biomass accumulation before the jointing stage and high accumulation after anthesis. In the correlation test (Figure 4), the DMA after the heading stage was positively and significantly correlated with grain yield, which is consistent with previous research [32].
However, the addition of NI to the CRU + UI did not achieve the expected increase in grain yield, with its increased fertilizer cost, this addition appears redundant. The combined inhibitory effect of UI and NI not only slowed the urea hydrolysis but also prevented the conversion of ammonium to nitrate, reducing the nitrate nitrogen content of the soil [21,33]. Whereas past studies have shown that rice growth might be promoted by the ammonium nitrate synergism [34]. This might be the reason for the stunted tiller growth in CRU + UI + NI treatment. The lowest tiller number, as well as the poorest grain yield, was observed in the UI + NI treatment, demonstrating that the application of inhibitors did not inhibit the massive N loss from urea, while polymer-coated controlled-release fertilizers have better nutrient supplies in the middle and later growth stages of rice [35]. The massive N loss in UI + NI can also be proved by the low NAE in this treatment, which is 16.2–29.4% lower than in the CRU + UI treatment (Figure 3).
N application can enhance plant carbon uptake by increasing leaf area or leaf photosynthetic capacity [36]. Although leaf photosynthesis provides almost 70% of the substance for crop yield, the increase in photosynthesis rate does not necessarily lead to a direct increase in yield [37]. The leaf area and canopy coverage are also crucial variables [23]. In this study, both LAI and Pn were improved in the CRU + UI treatment compared toCRU (Table 4 and Table 7). LAD, the product of green leaf area and green leaf longevity, is an important indicator of leaf photosynthetic production capacity and a critical link between leaf photosynthetic productivity and plant biomass [38]. In this study, LAD was analyzed in different growth stages (Table 6). From the jointing stage to maturity, the LAD of CK and CRU + UI treatments was higher than other treatments. Increasing LAD enhances leaf photosynthesis and photosynthetic production, leading to higher biomass and yield [39]. In addition,, the significant correlations observed between LAD at J-H and H-M with rice grain yield provided solid proof for this opinion (Figure 4).
Chlorophyll controls energy transfer and substance cycling directly in rice photosynthesis, and its content is an important indicator of leaf photosynthetic function and senescence [40]. The SPAD values of rice flag leaves were measured every ten days after anthesis, reflecting the regression of leaf photosynthetic capacity post-anthesis (Figure 4). The decline of SPAD differed in magnitude among different fertilizer treatments. In the UI + NI treatment, due to its insufficient N supply, the SPAD value was the lowest among all treatments. This agrees with previous studies that nitrogen deficiency accelerates the expression of leaf senescence genes, a reduction in leaf longevity [41]. One-time applications with CRU + UI and CRU + UI + NI exhibit advantages in delaying the leaf turning yellow and low DLAIs, thus prolonging photosynthetic activity and contributing to higher grain yields [42].
5. Conclusions
In this study, rice in CRU and CRU + UI treatments can develop an appropriate canopy during the vegetative growth stage, and maintain a high LAD after the jointing stage, especially after anthesis, leading to a considerable accumulation of dry matter. In the CRU + UI treatment, the post-anthesis senescence rate was comparatively low, and the NAR remained high after rice heading. These are the key factors to obtaining a high yield. The CRU + UI treatment had the highest NAE among all fertilizer treatments. Moreover, the same high yield as CK was obtained in this fertilizer treatment despite a 20% reduction in N fertilizer application. These findings provide a basis to innovate better strategies for the one-time N fertilizer application.
Supplementary Materials
The following are available online at https://www.mdpi.com/article/10.3390/agronomy14010067/s1, Figure S1: Effects of N application rate and fertilizer treatment on the ratio of productive tillers in 2020 (a) and 2021 (b). Different lowercase letters indicate significant differences at the 5% probability level. Figure S2: Effect of N application rate and fertilizer treatments on the percentage of high effective leaf area in rice in 2021. Different lowercase letters indicate significant differences at the 5% probability level.
Author Contributions
P.C. and H.Z. (Hongcheng Zhang) designed the research; P.C. and X.S. performed the field experiment; X.S., Z.C., Q.N. and H.L. participated in sample determination; P.C. analyzed the data, and wrote the paper; and H.Z. (Haipeng Zhang) revised the manuscript. All authors have read and agreed to the published version of the manuscript.
Funding
This research was funded by Special Funds for Scientific and Technological Innovation of Jiangsu Province, China (BE2022425), and National Key Research and Development Program of China (2023YFD2300031), and Priority Academic Program Development of Jiangsu Higher Education Institutions (PAPD).
Data Availability Statement
Data presented in this paper is contained within the article and Supplementary Materials.
Conflicts of Interest
The authors declare no conflict of interest.
References
- Mohidem, N.A.; Hashim, N.; Shamsudin, R.; Che Man, H. Rice for Food Security: Revisiting Its Production, Diversity, Rice Milling Process and Nutrient Content. Agriculture 2022, 12, 741. [Google Scholar] [CrossRef]
- Zhang, X.; Davidson, E.A.; Mauzerall, D.L.; Searchinger, T.D.; Dumas, P.; Shen, Y. Managing Nitrogen for Sustainable Development. Nature 2015, 528, 51–59. [Google Scholar] [CrossRef] [PubMed]
- Snyder, C.S.; Bruulsema, T.W.; Jensen, T.L.; Fixen, P.E. Review of Greenhouse Gas Emissions from Crop Production Systems and Fertilizer Management Effects. Agric. Ecosyst. Environ. 2009, 133, 247–266. [Google Scholar] [CrossRef]
- Oren, O.; Yechieli, Y.; Böhlke, J.K.; Dody, A. Contamination of Groundwater under Cultivated Fields in an Arid Environment, Central Arava Valley, Israel. J. Hydrol. 2004, 290, 312–328. [Google Scholar] [CrossRef]
- Mahvi, A.H.; Nouri, J.; Babaei, A.A.; Nabizadeh, R. Agricultural Activities Impact on Groundwater Nitrate Pollution. Int. J. Environ. Sci. Technol. 2005, 2, 41–47. [Google Scholar] [CrossRef]
- Peng, S.; Buresh, R.J.; Huang, J.; Zhong, X.; Zou, Y.; Yang, J.; Wang, G.; Liu, Y.; Hu, R.; Tang, Q.; et al. Improving Nitrogen Fertilization in Rice by Site-specific N Management. A Review. Agron. Sustain. Dev. 2010, 30, 649–656. [Google Scholar] [CrossRef]
- Hobbs, P.R.; Gupta, R.K. Resource-Conserving Technologies for Wheat in the Rice–Wheat System. In Improving the Productivity and Sustainability of Rice-Wheat Systems: Issues and Impacts; John Wiley & Sons, Ltd.: Hoboken, NJ, USA, 2003; pp. 149–171. ISBN 978-0-89118-331-0. [Google Scholar]
- Lawrencia, D.; Wong, S.K.; Low, D.Y.S.; Goh, B.H.; Goh, J.K.; Ruktanonchai, U.R.; Soottitantawat, A.; Lee, L.H.; Tang, S.Y. Controlled Release Fertilizers: A Review on Coating Materials and Mechanism of Release. Plants 2021, 10, 238. [Google Scholar] [CrossRef] [PubMed]
- Dong, X.; Ying, Z.; Haibin, Z.; Qun, H.; Guodong, L.; Haiyan, W.; Hongcheng, Z. Effects of a One-Time Application of Controlled-Release Nitrogen Fertilizer on Quality and Yield of Rice. Food Energy Secur. 2023, 12, e413. [Google Scholar] [CrossRef]
- Naz, M.Y.; Sulaiman, S.A. Slow Release Coating Remedy for Nitrogen Loss from Conventional Urea: A Review. J. Control Release 2016, 225, 109–120. [Google Scholar] [CrossRef]
- Ke, J.; Xing, X.; Li, G.; Ding, Y.; Dou, F.; Wang, S.; Liu, Z.; Tang, S.; Ding, C.; Chen, L. Effects of Different Controlled-Release Nitrogen Fertilisers on Ammonia Volatilisation, Nitrogen Use Efficiency and Yield of Blanket-Seedling Machine-Transplanted Rice. Field Crop. Res. 2017, 205, 147–156. [Google Scholar] [CrossRef]
- Bouwman, A.F.; Boumans, L.J.M.; Batjes, N.H. Estimation of Global NH3 Volatilization Loss from Synthetic Fertilizers and Animal Manure Applied to Arable Lands and Grasslands. Glob. Biogeochem. Cycles 2002, 16, 8-1–8-14. [Google Scholar] [CrossRef]
- Tang, Y.S.; Braban, C.F.; Dragosits, U.; Dore, A.J.; Simmons, I.; van Dijk, N.; Poskitt, J.; Dos Santos Pereira, G.; Keenan, P.O.; Conolly, C.; et al. Drivers for Spatial, Temporal and Long-Term Trends in Atmospheric Ammonia and Ammonium in the UK. Atmos. Chem. Phys. 2018, 18, 705–733. [Google Scholar] [CrossRef]
- Gaihre, Y.K.; Singh, U.; Islam, S.M.M.; Huda, A.; Islam, M.R.; Sanabria, J.; Satter, M.A.; Islam, M.R.; Biswas, J.C.; Jahiruddin, M.; et al. Nitrous Oxide and Nitric Oxide Emissions and Nitrogen Use Efficiency as Affected by Nitrogen Placement in Lowland Rice Fields. Nutr. Cycl. Agroecosyst. 2018, 110, 277–291. [Google Scholar] [CrossRef]
- Gaihre, Y.K.; Singh, U.; Bible, W.D.; Fugice, J.; Sanabria, J. Mitigating N2O and NO Emissions from Direct-Seeded Rice with Nitrification Inhibitor and Urea Deep Placement. Rice Sci. 2020, 27, 434–444. [Google Scholar] [CrossRef]
- Abalos, D.; Jeffery, S.; Sanz-Cobena, A.; Guardia, G.; Vallejo, A. Meta-Analysis of the Effect of Urease and Nitrification Inhibitors on Crop Productivity and Nitrogen Use Efficiency. Agric. Ecosyst. Environ. 2014, 189, 136–144. [Google Scholar] [CrossRef]
- Cui, P.; Fan, F.; Yin, C.; Li, Z.; Song, A.; Wan, Y.; Liang, Y. Urea- and Nitrapyrin-Affected N2O Emission Is Coupled Mainly with Ammonia Oxidizing Bacteria Growth in Microcosms of Three Typical Chinese Arable Soils. Soil Biol. Biochem. 2013, 66, 214–221. [Google Scholar] [CrossRef]
- Watson, C.J.; Akhonzada, N.A.; Hamilton, J.T.G.; Matthews, D.I. Rate and Mode of Application of the Urease Inhibitor N-(n-Butyl) Thiophosphoric Triamide on Ammonia Volatilization from Surface-Applied Urea. Soil Use Manag. 2008, 24, 246–253. [Google Scholar] [CrossRef]
- Lasisi, A.A.; Akinremi, O.O. Degradation of N-(n-Butyl) Thiophosphoric Triamide (NBPT) with and without Nitrification Inhibitor in Soils. Nitrogen 2022, 3, 161–169. [Google Scholar] [CrossRef]
- Engel, R.E.; Towey, B.D.; Gravens, E. Degradation of the Urease Inhibitor NBPT as Affected by Soil pH. Soil Sci. Soc. Am. J. 2015, 79, 1674–1683. [Google Scholar] [CrossRef]
- Cantarella, H.; Otto, R.; Soares, J.R.; de Brito Silva, A.G. Agronomic Efficiency of NBPT as a Urease Inhibitor: A Review. J. Adv. Res. 2018, 13, 19–27. [Google Scholar] [CrossRef]
- Evans, J.R. Photosynthesis and Nitrogen Relationships in Leaves of C3 Plants. Oecologia 1989, 78, 9–19. [Google Scholar] [CrossRef] [PubMed]
- Ambavaram, M.M.R.; Basu, S.; Krishnan, A.; Ramegowda, V.; Batlang, U.; Rahman, L.; Baisakh, N.; Pereira, A. Coordinated Regulation of Photosynthesis in Rice Increases Yield and Tolerance to Environmental Stress. Nat. Commun. 2014, 5, 5302. [Google Scholar] [CrossRef] [PubMed]
- Huang, M.; Shan, S.; Zhou, X.; Chen, J.; Cao, F.; Jiang, L.; Zou, Y. Leaf Photosynthetic Performance Related to Higher Radiation Use Efficiency and Grain Yield in Hybrid Rice. Field Crop. Res. 2016, 193, 87–93. [Google Scholar] [CrossRef]
- Tan, K.H. Soil Sampling, Preparation, and Analysis, 2nd ed.; CRC Press: Boca Raton, FL, USA, 2014; ISBN 978-0-429-17899-3. [Google Scholar]
- Wei, T.; Simko, V.; Levy, M.; Xie, Y.; Jin, Y.; Zemla, J. Package ‘corrplot’. Statistician 2017, 56, e24. [Google Scholar]
- Ke, J.; Sun, J.; Chen, T.; Tao, S.; Zhu, T.; Yin, C.; He, H.; You, C.; Wu, L.; Guo, S. Effects of Mixed Fertilizers Formed by the Compounding of Two Targeted Controlled-Release Nitrogen Fertilizers on Yield, Nitrogen Use Efficiency, and Ammonia Volatilization in Double-Cropping Rice. Crop J. 2023, 11, 628–637. [Google Scholar] [CrossRef]
- Dun, C.; Wang, R.; Mi, K.; Zhang, Y.; Zhang, H.; Cui, P.; Guo, Y.; Lu, H.; Zhang, H. One-Time Application of Controlled-Release Bulk Blending Fertilizer Enhanced Yield, Quality and Photosynthetic Efficiency of Late Japonica Rice. J. Integr. Agric. 2023, S2095311923003490. [Google Scholar] [CrossRef]
- Laza, M.R.; Peng, S.; Akita, S.; Saka, H. Contribution of Biomass Partitioning and Translocation to Grain Yield under Sub-Optimum Growing Conditions in Irrigated Rice. Plant Prod. Sci. 2003, 6, 28–35. [Google Scholar] [CrossRef]
- Khush, G.S. Strategies for Increasing the Yield Potential of Cereals: Case of Rice as an Example. Plant Breed. 2013, 132, 433–436. [Google Scholar] [CrossRef]
- Nurhermawati, R.; Lubis, I.; Junaedi, A. The Role of Assimilate Dynamic in Rice Grain Filling Under Two Nitrogen Conditions. Trends Sci. 2023, 20, 5337. [Google Scholar] [CrossRef]
- Pal, R.; Mahajan, G.; Sardana, V.; Chauhan, B.S. Impact of Sowing Date on Yield, Dry Matter and Nitrogen Accumulation, and Nitrogen Translocation in Dry-Seeded Rice in North-West India. Field Crop. Res. 2017, 206, 138–148. [Google Scholar] [CrossRef]
- Woodward, E.E.; Edwards, T.M.; Givens, C.E.; Kolpin, D.W.; Hladik, M.L. Widespread Use of the Nitrification Inhibitor Nitrapyrin: Assessing Benefits and Costs to Agriculture, Ecosystems, and Environmental Health. Environ. Sci. Technol. 2021, 55, 1345–1353. [Google Scholar] [CrossRef]
- Kronzucker, H.J.; Siddiqi, M.Y.; Glass, A.D.M.; Kirk, G.J.D. Nitrate-Ammonium Synergism in Rice. A Subcellular Flux Analysis. Plant Physiol. 1999, 119, 1041–1045. [Google Scholar] [CrossRef] [PubMed]
- Majeed, Z.; Ramli, N.K.; Mansor, N.; Man, Z. A Comprehensive Review on Biodegradable Polymers and Their Blends Used in Controlled-Release Fertilizer Processes. Rev. Chem. Eng. 2015, 31, 69–95. [Google Scholar] [CrossRef]
- Janssens, I.A.; Luyssaert, S. Nitrogen’s Carbon Bonus. Nat. Geosci. 2009, 2, 318–319. [Google Scholar] [CrossRef]
- Evans, L.T.; Fischer, R.A. Yield Potential: Its Definition, Measurement, and Significance. Crop Sci. 1999, 39, 1544–1551. [Google Scholar] [CrossRef]
- Wang, X.; Ye, T.; Ata-Ul-Karim, S.T.; Zhu, Y.; Liu, L.; Cao, W.; Tang, L. Development of a Critical Nitrogen Dilution Curve Based on Leaf Area Duration in Wheat. Front. Plant Sci. 2017, 8, 1517. [Google Scholar] [CrossRef] [PubMed]
- Abeledo, L.G.; Savin, R.; Slafer, G.A. Maize Senescence under Contrasting Source-Sink Ratios during the Grain Filling Period. Environ. Exp. Bot. 2020, 180, 104263. [Google Scholar] [CrossRef]
- Lee, S.; Masclaux-Daubresse, C. Current Understanding of Leaf Senescence in Rice. Int. J. Mol. Sci. 2021, 22, 4515. [Google Scholar] [CrossRef]
- Lim, P.O.; Kim, H.J.; Gil Nam, H. Leaf Senescence. Annu. Rev. Plant Biol. 2007, 58, 115–136. [Google Scholar] [CrossRef]
- Morita, R.; Sato, Y.; Masuda, Y.; Nishimura, M.; Kusaba, M. Defect in Non-Yellow Coloring 3, an α/β Hydrolase-Fold Family Protein, Causes a Stay-Green Phenotype during Leaf Senescence in Rice. Plant J. 2009, 59, 940–952. [Google Scholar] [CrossRef]
Disclaimer/Publisher’s Note: The statements, opinions and data contained in all publications are solely those of the individual author(s) and contributor(s) and not of MDPI and/or the editor(s). MDPI and/or the editor(s) disclaim responsibility for any injury to people or property resulting from any ideas, methods, instructions or products referred to in the content. |
© 2023 by the authors. Licensee MDPI, Basel, Switzerland. This article is an open access article distributed under the terms and conditions of the Creative Commons Attribution (CC BY) license (https://creativecommons.org/licenses/by/4.0/).



