The Effect of Biobased N and P Fertilizers in a Winter Wheat–Ryegrass Crop Rotation
Abstract
1. Introduction
- ₋
- N-BBFs can supply the fertilized crop with N as efficiently as mineral N fertilizers.
- ₋
- P-BBFs can supply plants with P in a crop rotation as efficiently as water-soluble mineral fertilizers.
- ₋
- Heavy metals in BBFs accumulate in crop biomass to a different extent than with conventional fertilizers and this depends on the source material of the BBF.
- ₋
- BBFs differ in the provision of organic carbon to the soil and in plant P availability after a two-year crop rotation.
2. Materials and Methods
2.1. Container Setup and Site
2.2. Management and Crop Rotation
2.3. Fertilizers and Fertilization
2.4. Measurements, Harvests, and Sampling
2.4.1. SPAD Measurements
2.4.2. Harvest and Sampling
2.4.3. Plant and Soil Sample Analyses
2.5. Statistics and Calculations
2.5.1. Statistical Analysis
2.5.2. Estimation of Winter Wheat Yield
2.5.3. Calculation of Nutrient Offtake and Fertilizer Replacement Values
3. Results
3.1. Winter Wheat Yield, Nutrient Content, and Nutrient Offtake
3.1.1. SPAD Measurements in Winter Wheat
3.1.2. Straw Dry Mass, Nutrient Contents, and Estimated Winter Wheat Grain Yield
3.1.3. Nutrient Offtake of Winter Wheat
3.1.4. Heavy Metal Concentrations in Winter Wheat Grain
3.2. Residual Fertilizer Value
3.2.1. Dry Matter Yield of Ryegrass After Winter Wheat as a Main Crop
3.2.2. N and P Offtake of Ryegrass After Winter Wheat as a Main Crop
3.2.3. Heavy Metals in Ryegrass Biomass After Winter Wheat as a Main Crop
3.3. Soil-Related Characteristics After Winter Wheat and Ryegrass
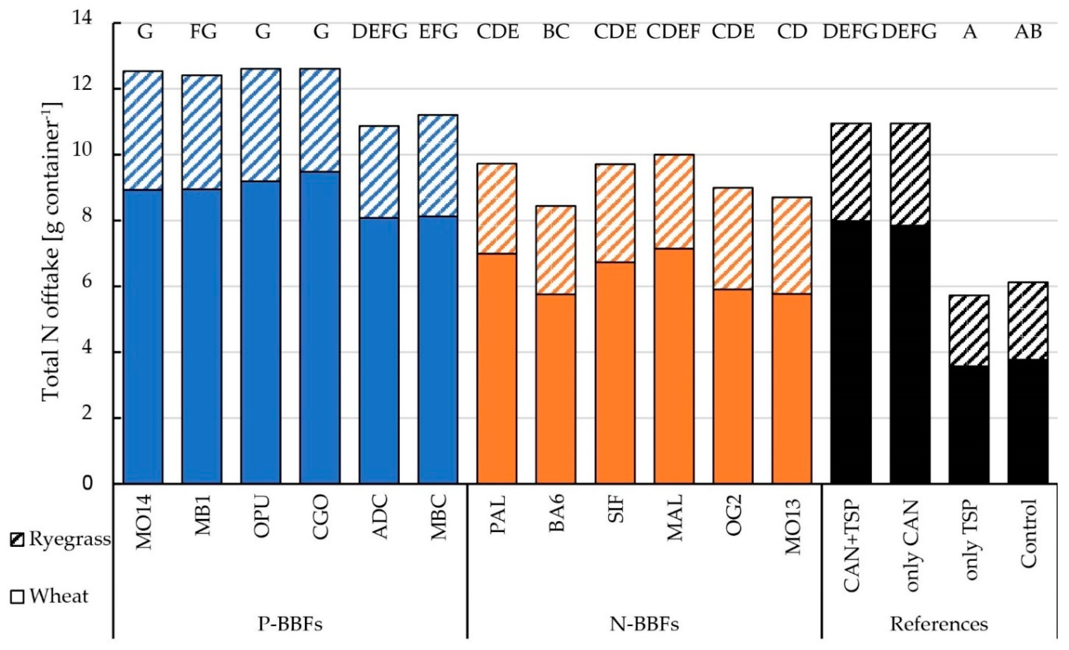
3.4. Nutrient Offtake of Winter Wheat and Ryegrass in the Crop Cycle
4. Discussion
4.1. Winter Wheat in 2020/21
4.2. Residual Value of BBFs in Ryegrass 2021/22
4.3. Nutrient Offtake and Fertilizer Replacement Values of the Winter Wheat, Ryegrass Crop Cycle
4.4. Further Observations
4.5. Remarks on the Experimental Approach Chosen
5. Conclusions
Author Contributions
Funding
Data Availability Statement
Acknowledgments
Conflicts of Interest
Appendix A
| Date | April 6 | April 21 | May 4 | May 19 | May 27 | June 10 | June 16 |
|---|---|---|---|---|---|---|---|
| Reference 1 (N + P) | 42.7 a | 46.3 b | 49.0 d | 45.9 b | 46.7 a | 54.6 c | 55.3 b |
| BA6 | 41.0 a | 42.8 a | 45.0 cd | 42.3 a | 44.9 a | 49.4 a | 49.9 a |
| MAL | 42.1 a | 45.2 ab | 46.1 bc | 45.3 b | 46.2 a | 53.2 bc | 53.0 ab |
| MO13 | 41.1 a | 43.6 a | 44.2 ab | 44.8 b | 46.7 a | 51.7 ab | 52.8 ab |
| OG2 | 41.4 a | 42.7 a | 43.4 a | 43.5 ab | 45.4 a | 49.8 a | 50.4 a |
| PAL | 42.3 a | 44.6 ab | 47.3 cd | 44.1 ab | 46.2 a | 50.4 a | 52.6 ab |
| SIF | 42.7 a | 44.1 ab | 45.6 bc | 44.6 ab | 46.7 a | 51.5 ab | 53.3 ab |
| Date | April 6 | April 21 | May 4 | May 19 | May 27 | June 10 | June 16 |
|---|---|---|---|---|---|---|---|
| Reference 1 (N + P) | 43.1 bc | 46.2 bc | 46.8 a | 45.9 ab | 46.3 ab | 54.6 bc | 55.3 a |
| ADC | 40.6 ab | 44.3 ab | 45.8 a | 45.2 ab | 45.9 a | 52.3 ab | 54.9 a |
| MBC | 39.5 a | 41.8 a | 45.2 a | 44.1 a | 46.3 ab | 51.8 a | 55.1 a |
| MB1 | 42.4 abc | 46.6 bc | 46.5 a | 45.6 ab | 48.4 bc | 55.4 c | 56.9 a |
| MO14 | 44.3 c | 44.2 ab | 47.1 a | 46.7 b | 48.4 c | 56.1 c | 56.2 a |
| OPU | 42.9 bc | 44.6 b | 44.9 a | 45.7 ab | 46.8 abc | 56.2 c | 55.8 a |
| CGO | 43.6 bc | 48.7 c | 46.6 a | 46.9 b | 48.2 bc | 56.3 c | 55.7 a |
| N Treatment | N-AE (g N Offtake (g N Fertilized)−1) | NFRV (%) | N-AE (g N Offtake (g N Fertilized)−1) | NFRV (%) |
|---|---|---|---|---|
| Based on Reference 3 (Only TSP) | Based on Control | |||
| PAL | 1.04 ± 0.06 | 78 ± 0.06 | 0.99 ± 0.06 | 77 ± 0.06 |
| BA6 | 0.67 ± 0.06 | 49 ± 0.05 | 0.61 ± 0.06 | 47 ± 0.05 |
| SIF | 0.96 ± 0.06 | 71 ± 0.06 | 0.90 ± 0.06 | 70 ± 0.06 |
| MAL | 1.09 ± 0.06 | 81 ± 0.06 | 1.03 ± 0.06 | 80 ± 0.06 |
| OG2 | 0.71 ± 0.06 | 53 ± 0.05 | 0.65 ± 0.06 | 51 ± 0.06 |
| MO13 | 0.67 ± 0.06 | 50 ± 0.05 | 0.61 ± 0.06 | 47 ± 0.05 |
| CAN + TSP | 1.35 ± 0.06 | - | 1.29 ± 0.06 | - |
| N Treatment | N-AE (g N Offtake (g N Fertilized)−1) | NFRV (%) | N-AE (g N Offtake (g N Fertilized)−1) | NFRV (%) |
|---|---|---|---|---|
| Based on Reference 3 (Only TSP) | Based on Control | |||
| PAL | 0.61 ± 0.15 | 77 ± 23 | 0.55 ± 0.15 | 75 ± 25 |
| BA6 | 0.41 ± 0.15 | 52 ± 21 | 0.35 ± 0.15 | 48 ± 22 |
| SIF | 0.61 ± 0.15 | 76 ± 23 | 0.55 ± 0.15 | 74 ± 25 |
| MAL | 0.65 ± 0.15 | 82 ± 24 | 0.59 ± 0.15 | 80 ± 26 |
| OG2 | 0.50 ± 0.15 | 63 ± 22 | 0.44 ± 0.15 | 60 ± 23 |
| MO13 | 0.50 ± 0.15 | 57 ± 22 | 0.39 ± 0.15 | 53 ± 23 |
| CAN + TSP | 0.45 ± 0.15 | - | 0.66 ± 0.15 | - |
| P Treatment | P-AE (mg P Offtake (g P Fertilized)−1) | PFRV (%) | P-AE (mg P Offtake (g P Fertilized)−1) | PFRV (%) |
|---|---|---|---|---|
| Based on Reference 2 (Only CAN) | Based on Control | |||
| MO14 | 77.8 ± 51.4 | −951 ± 4776 | 235.0 ± 51.0 | 158 ± 64 |
| MB1 | 75.7 ± 54.6 | −924 ± 4648 | 232.8 ± 54.2 | 156 ± 65 |
| OPU | 82.2 ± 51.5 | −1004 ± 5039 | 239.4 ± 51.1 | 161 ± 65 |
| CGO | 80.7 ± 51.5 | −985 ± 4947 | 237.9 ± 51.0 | 160 ± 65 |
| ADC | −0.32 ± 52.3 | 4 ± 638 | 156.9 ± 51.8 | 105 ± 50 |
| MBC | 39.74 ± 51.5 | −485 ± 2497 | 196.9 ± 51.1 | 132 ± 57 |
| CAN + TSP | −8.19 ± 40.8 | - | 149.0 ± 51.1 | - |
| Element | ||||||||
|---|---|---|---|---|---|---|---|---|
| Treatment | Fe | Mn | Zn | Mo | Pb | Ni | Cu | |
| mg g−1 | µg g−1 | |||||||
| References | Control | 0.14 | 0.017 | 0.15 | 1.32 b | 0.82 | 1.88 | 3.74 |
| CAN + TSP | 0.18 | 0.018 | 0.15 | 1.02 ab | 0.98 | 1.90 | 2.38 | |
| Only CAN | 0.18 | 0.017 | 0.19 | 1.02 ab | 1.04 | 1.81 | 2.78 | |
| Only TSP | 0.15 | 0.016 | 0.13 | 1.14 ab | 0.84 | 1.90 | 3.23 | |
| P-BBFs | MB1 | 0.16 | 0.017 | 0.16 | 0.95 ab | 0.91 | 1.73 | 2.89 |
| CGO | 0.17 | 0.017 | 0.14 | 0.91 a | 0.74 | 1.84 | 2.17 | |
| ADC | 0.15 | 0.017 | 0.12 | 1.09 ab | 0.65 | 1.80 | 2.04 | |
| OPU | 0.19 | 0.019 | 0.21 | 1.10 ab | 0.99 | 1.67 | 3.28 | |
| MO14 | 0.19 | 0.018 | 0.18 | 0.94 a | 0.98 | 1.85 | 3.32 | |
| MBC | 0.16 | 0.017 | 0.15 | 1.09 ab | 0.79 | 1.78 | 2.03 | |
| N-BBFs | OG2 | 0.15 | 0.016 | 0.19 | 0.93 a | 0.92 | 1.77 | 4.18 |
| MO13 | 0.15 | 0.016 | 0.11 | 1.12 ab | 0.72 | 1.93 | 2.21 | |
| PAL | 0.16 | 0.017 | 0.15 | 1.16 ab | 0.87 | 1.78 | 3.39 | |
| BA6 | 0.13 | 0.017 | 0.16 | 1.16 ab | 0.73 | 1.95 | 4.01 | |
| SIF | 0.17 | 0.017 | 0.16 | 1.01 ab | 0.86 | 1.74 | 2.60 | |
| MAL | 0.14 | 0.018 | 0.13 | 1.16 ab | 0.67 | 1.85 | 2.39 | |
References
- Alexandratos, N.; Bruinsma, J. World Agriculture towards 2030/2050: The 2012 Revision; ESA Working Paper No. 12-03; Food and Agriculture Organization of the United Nations (FAO): Rome, Italy, 2012. [Google Scholar]
- Richardson, K.; Steffen, W.; Lucht, W.; Bendtsen, J.; Cornell, S.E.; Donges, J.F.; Drüke, M.; Fetzer, I.; Bala, G.; Bloh, W.v.; et al. Earth beyond six of nine planetary boundaries. Sci. Adv. 2023, 9, eadh2458. [Google Scholar] [CrossRef] [PubMed]
- Erisman, J.W.; Sutton, M.A.; Galloway, J.; Klimont, Z.; Winiwarter, W. How a century of ammonia synthesis changed the world. Nat. Geosci. 2008, 1, 636–639. [Google Scholar] [CrossRef]
- Vojvodic, A.; Medford, A.J.; Studt, F.; Abild-Pedersen, F.; Khan, T.S.; Bligaard, T.; Nørskov, J.K. Exploring the limits: A low-pressure, low-temperature Haber–Bosch process. Chem. Phys. Lett. 2014, 598, 108–112. [Google Scholar] [CrossRef]
- Nørskov, J.; Chen, J.; Miranda, R.; Fitzsimmons, T.; Stack, R. Sustainable Ammonia Synthesis—Exploring the Scientific Challenges Associated with Discovering Alternative, Sustainable Processes for Ammonia Production; US DOE Office of Science: Washington, DC, USA, 2016. [Google Scholar]
- MacFarlane, D.R.; Cherepanov, P.V.; Choi, J.; Suryanto, B.H.; Hodgetts, R.Y.; Bakker, J.M.; Ferrero Vallana, F.M.; Simonov, A.N. A Roadmap to the Ammonia Economy. Joule 2020, 4, 1186–1205. [Google Scholar] [CrossRef]
- Cooper, J.; Lombardi, R.; Boardman, D.; Carliell-Marquet, C. The future distribution and production of global phosphate rock reserves. Resour. Conserv. Recycl. 2011, 57, 78–86. [Google Scholar] [CrossRef]
- Schoumans, O.F.; Bouraoui, F.; Kabbe, C.; Oenema, O.; van Dijk, K.C. Phosphorus management in Europe in a changing world. Ambio 2015, 44 (Suppl. S2), S180–S192. [Google Scholar] [CrossRef]
- Scholz, M. Creating a Circular Economy for Phosphorus Fertilizers. Available online: https://ostara.com/wp-content/uploads/2017/09/Scholz_FF_Sept_Oct_2017.pdf (accessed on 17 October 2024).
- Conley, D.J.; Paerl, H.W.; Howarth, R.W.; Boesch, D.F.; Seitzinger, S.P.; Havens, K.E.; Lancelot, C.; Likens, G.E. Ecology. Controlling eutrophication: Nitrogen and phosphorus. Science 2009, 323, 1014–1015. [Google Scholar] [CrossRef]
- Huang, J.; Xu, C.; Ridoutt, B.G.; Wang, X.; Ren, P. Nitrogen and phosphorus losses and eutrophication potential associated with fertilizer application to cropland in China. J. Clean. Prod. 2017, 159, 171–179. [Google Scholar] [CrossRef]
- European Commission. Circular Economy Action Plan. The EU’s New Circular Action Plan Paves the Way for a Cleaner and More Competitive Europe. Available online: https://environment.ec.europa.eu/strategy/circular-economy-action-plan_en (accessed on 17 October 2024).
- Ritzén, S.; Sandström, G.Ö. Barriers to the Circular Economy—Integration of Perspectives and Domains. Procedia CIRP 2017, 64, 7–12. [Google Scholar] [CrossRef]
- Chojnacka, K.; Moustakas, K.; Witek-Krowiak, A. Bio-based fertilizers: A practical approach towards circular economy. Bioresour. Technol. 2020, 295, 122223. [Google Scholar] [CrossRef]
- Estoppey, N.; Castro, G.; Slinde, G.A.; Hansen, C.B.; Løseth, M.E.; Krahn, K.M.; Demmer, V.; Svenni, J.; Tran, T.-V.-A.T.; Asimakopoulos, A.G.; et al. Exposure assessment of plastics, phthalate plasticizers and their transformation products in diverse bio-based fertilizers. Sci. Total Environ. 2024, 918, 170501. [Google Scholar] [CrossRef] [PubMed]
- Bloem, E.; Albihn, A.; Elving, J.; Hermann, L.; Lehmann, L.; Sarvi, M.; Schaaf, T.; Schick, J.; Turtola, E.; Ylivainio, K. Contamination of organic nutrient sources with potentially toxic elements, antibiotics and pathogen microorganisms in relation to P fertilizer potential and treatment options for the production of sustainable fertilizers: A review. Sci. Total Environ. 2017, 607–608, 225–242. [Google Scholar] [CrossRef] [PubMed]
- Chiew, Y.L.; Spångberg, J.; Baky, A.; Hansson, P.-A.; Jönsson, H. Environmental impact of recycling digested food waste as a fertilizer in agriculture—A case study. Resour. Conserv. Recycl. 2015, 95, 1–14. [Google Scholar] [CrossRef]
- Bourgault, M.; James, A.T.; Dreccer, M.F. Pot size matters revisited: Does container size affect the response to elevated CO2 and our ability to detect genotypic variability in this response in wheat? Funct. Plant Biol. 2016, 44, 52–61. [Google Scholar] [CrossRef]
- Poorter, H.; Hler, J.B.; van Dusschoten, D.; Climent, J.; Postma, J.A. Pot size matters: A meta-analysis of the effects of rooting volume on plant growth. Funct. Plant Biol. 2012, 39, 839–850. [Google Scholar] [CrossRef]
- Murphy, G.P.; File, A.L.; Dudley, S.A. Differentiating the effects of pot size and nutrient availability on plant biomass and allocation. Botany 2013, 91, 799–803. [Google Scholar] [CrossRef]
- Desnos, T. Root branching responses to phosphate and nitrate. Curr. Opin. Plant Biol. 2008, 11, 82–87. [Google Scholar] [CrossRef] [PubMed]
- Hirte, J.; Leifeld, J.; Abiven, S.; Mayer, J. Maize and wheat root biomass, vertical distribution, and size class as affected by fertilization intensity in two long-term field trials. Field Crop. Res. 2018, 216, 197–208. [Google Scholar] [CrossRef]
- Borda, M.J.; Sparks, D.L. Kinetics and Mechanisms of Sorption–Desorption in Soils: A Multiscale Assessment. In Biophysico-Chemical Processes of Heavy Metals and Metalloids in Soil Environments; Violante, A., Huang, P.M., Gadd, G.M., Eds.; Wiley: Hoboken, NJ, USA, 2007; pp. 97–124. ISBN 9780471737780. [Google Scholar]
- Chorover, J.; Brusseau, M.L. Kinetics of Sorption—Desorption. In Kinetics of Water-Rock Interaction; Brantley, S.L., Kubicki, J.D., White, A.F., Eds.; Springer: New York, NY, USA, 2008; pp. 109–149. ISBN 978-0-387-73562-7. [Google Scholar]
- Thompson, A.; Goyne, K.W. Introduction to the Sorption of Chemical Constituents in Soils. Available online: https://www.nature.com/scitable/knowledge/library/introduction-to-the-sorption-of-chemical-constituents-94841002/ (accessed on 11 July 2024).
- Wiesler, F.; Appel, T.; Dittert, K.; Ebertseder, T.; Müller, T.; Nätscher, L.; Olfs, H.-W.; Rex, M.; Schweitzer, K.; Steffens, D.; et al. Phosphordüngung nach Bodenuntersuchung und Pflanzenbedarf. Available online: https://www.vdlufa.de/wp-content/uploads/2021/05/2018_Standpunkt_P-Duengung.pdf (accessed on 17 October 2024).
- Deutscher Wetterdienst. Aktuelle monatliche Stationsbeobachtungen (Temperatur, Niederschlag, Sonnenscheindauer, Wind und Bewölkung) für Deutschland, Qualitätskontrolle noch nicht Vollständig Durchlaufen, Version v22.3. Available online: https://opendata.dwd.de/climate_environment/CDC/ (accessed on 17 October 2024).
- LTZ. Merkblatt für die Umweltgerechte Landbewirtschaftung. Nr.35. Available online: https://ltz.landwirtschaft-bw.de/,Lde/Startseite/Service/Merkblatt+fuer+die+umweltgerechte+Landbewirtschaftung (accessed on 1 May 2024).
- LAZBW. Merkblatt für die umweltgerechte Düngung. Düngung von Wiesen, Weiden und Feldfutter; Nr.13. Available online: https://ltz.landwirtschaft-bw.de/,Lde/Startseite/Service/Merkblatt+fuer+die+umweltgerechte+Landbewirtschaftung (accessed on 1 May 2024).
- Rostami, M.; Koocheki, A.R.; Mahallati, M.N.; Kafi, M. Evaluation of Chlorophyll Meter (SPAD) Data for Prediction of Nitrogen Status in Corn (Zea mays L.). Am.-Eurasian J. Agric. Environ. Sci. 2008, 3, 79–85. [Google Scholar]
- Hussain, F.; Bronson, K.F.; Yadvinder, S.; Singh, B.; Peng, S. Use of Chlorophyll Meter Sufficiency Indices for Nitrogen Management of Irrigated Rice in Asia. Agron. J. 2000, 92, 875–879. [Google Scholar] [CrossRef]
- Wolfinger, R. Covariance structure selection in general mixed models. Commun. Stat.—Simul. Comput. 1993, 22, 1079–1106. [Google Scholar] [CrossRef]
- Dobermann, A. Nutrient Use Efficiency—Measurement and Management; Department of Agronomy and Horticulture: Faculty Publications: Lincoln, NE, USA, 2007. [Google Scholar]
- Jensen, L.S. Animal Manure Fertiliser Value, Crop Utilisation and Soil Quality Impacts. In Animal Manure Recycling: Treatment and Management; Sommer, S.G., Ed.; John Wiley & Sons, Inc.: Chichester, UK; West Sussex, UK, 2013; pp. 295–328. ISBN 9781118488539. [Google Scholar]
- Orphanos, P.I.; Krentos, V.D. Concentration of N, P and K in leaves, straw and grain of wheat and barley as influenced by N and P fertilizers under semi-arid conditions. J. Agric. Sci. 1980, 94, 551–556. [Google Scholar] [CrossRef]
- Zhan, A.; Chen, X.; Li, S.; Cui, Z. Changes in Phosphorus Requirement with Increasing Grain Yield for Winter Wheat. Agron. J. 2015, 107, 2003–2010. [Google Scholar] [CrossRef]
- Case, S.D.C.; Jensen, L.S. Nitrogen and phosphorus release from organic wastes and suitability as bio-based fertilizers in a circular economy. Environ. Technol. 2019, 40, 701–715. [Google Scholar] [CrossRef] [PubMed]
- Zandvakili, O.R.; Barker, A.V.; Hashemi, M.; Etemadi, F. Biomass and nutrient concentration of lettuce grown with organic fertilizers. J. Plant Nutr. 2019, 42, 444–457. [Google Scholar] [CrossRef]
- Müller, B.; Wester-Larsen, L.; Jensen, L.S.; Salo, T.; Garrido, R.R.; Arkoun, M.; D’Oria, A.; Lewandowski, I.; Müller, T.; Bauerle, A. Agronomic performance of novel, nitrogen-rich biobased fertilizers across European field trial sites. Field Crop. Res. 2024, 316, 109486. [Google Scholar] [CrossRef]
- Cassity-Duffey, K.; Cabrera, M.; Gaskin, J.; Franklin, D.; Kissel, D.; Saha, U. Nitrogen mineralization from organic materials and fertilizers: Predicting N release. Soil Sci. Soc. Am. J. 2020, 84, 522–533. [Google Scholar] [CrossRef]
- Gutser, R.; Ebertseder, T.; Weber, A.; Schraml, M.; Schmidhalter, U. Short-term and residual availability of nitrogen after long-term application of organic fertilizers on arable land. Z. Pflanzenernähr. Bodenk. 2005, 168, 439–446. [Google Scholar] [CrossRef]
- Guntiñas, M.E.; Leirós, M.C.; Trasar-Cepeda, C.; Gil-Sotres, F. Effects of moisture and temperature on net soil nitrogen mineralization: A laboratory study. Eur. J. Soil Biol. 2012, 48, 73–80. [Google Scholar] [CrossRef]
- Whitmore, A.P. Determination of the mineralization of nitrogen from composted chicken manure as affected by temperature. Nutr. Cycl. Agroecosyst. 2007, 77, 225–232. [Google Scholar] [CrossRef]
- Riley, H. Residual value of inorganic fertilizer and farmyard manure for crop yields and soil fertility after long-term use on a loam soil in Norway. Nutr. Cycl. Agroecosyst. 2016, 104, 25–37. [Google Scholar] [CrossRef]
- Schröder, J.J.; Uenk, D.; Hilhorst, G.J. Long-term nitrogen fertilizer replacement value of cattle manures applied to cut grassland. Plant Soil 2007, 299, 83–99. [Google Scholar] [CrossRef]
- Ayeni, L.S.; Adetunji, M.T. Integrated Application of Poultry Manure and Mineral Fertilizer on Soil Chemical Properties, Nutrient Uptake, Yield and growth components of maize. Nat. Sci. 2010, 8, 60–67. [Google Scholar]
- Ghosh, P.K.; Ramesh, P.; Bandyopadhyay, K.K.; Tripathi, A.K.; Hati, K.M.; Misra, A.K.; Acharya, C.L. Comparative effectiveness of cattle manure, poultry manure, phosphocompost and fertilizer-NPK on three cropping systems in vertisols of semi-arid tropics. I. Crop yields and system performance. Bioresour. Technol. 2004, 95, 77–83. [Google Scholar] [CrossRef]
- Materechera, S.A.; Morutse, H.M. Response of Maize to Phosphorus from fertilizer and chicken manure in a semi-arid environment of South Africa. Exp. Agric. 2009, 45, 261–273. [Google Scholar] [CrossRef]
- Jeng, A.S.; Haraldsen, T.K.; Grønlund, A.; Pedersen, P.A. Meat and bone meal as nitrogen and phosphorus fertilizer to cereals and rye grass. In Advances in Integrated Soil Fertility Research in Sub-Saharan Africa: Challenges and Opportunities; Bationo, A., Bationo, A., Eds.; Springer: Dordrecht, The Netherlands, 2007; pp. 245–253. ISBN 978-1-4020-5760-1. [Google Scholar]
- Talboys, P.J.; Heppell, J.; Roose, T.; Healey, J.R.; Jones, D.L.; Withers, P.J.A. Struvite: A slow-release fertiliser for sustainable phosphorus management? Plant Soil 2016, 401, 109–123. [Google Scholar] [CrossRef]



















| Fertilizer Name | Acronym | Description * | N (% of FW) | P (% of FW) | K (% of FW) | |
|---|---|---|---|---|---|---|
| References | Control | Control | No fertilization | - | - | - |
| Reference 1 | TSP + CAN | Mineral N and P | 27 * | 20.5 | 0.24 | |
| Reference 2 | CAN | Mineral N | 27 * | 0 * | 0 * | |
| Reference 3 | TSP | Mineral P | 0 * | 20.5 | 0.24 | |
| P-BBFs | Monterra | MO14 | Animal proteins, vegetable byproducts, pelletizing | 2.36 | 6.63 | 3.32 * |
| Meat and bone meal | MB1 | MBM, pelletizing | 8.12 | 6.15 | 0.44 | |
| Chicken manure | OPU | chicken manure, pelletizing | 3.19 | 1.61 | 2.04 | |
| Struvite | CGO | Struvite precipitated from wastewater | 10.1 | 12.4 | 0 | |
| AshDec | ADC | SSA, thermochemical process | 0.05 | 8.04 | 1.21 | |
| Manure biochar | MBC | Chicken manure, energy-free carbonization technology | 2.93 | 3.04 | 4.94 | |
| N-BBFs | Palaterra CV | PAL | Fermented biochar and high-quality clay and rock flour | 4.89 | 0.87 | 4.98 |
| Bioagenasol | BA6 | Plant-based residue (wheat and maize), fermentation and distillation | 5.57 | 1.23 | 1.30 | |
| SIFORGA-BIO | SIF | Animal and vegetal raw materials, granulating | 9.92 | 0.43 * | 2.49 * | |
| MALTaflor bio | MAL | Mixture of malt germ, malt, minerals, and vinasse vegetable, drying and pelletizing | 4.37 | 0.40 | 4.10 | |
| Øgro N15 | OG2 | Horn meal (pig bristles), hydrolysis | 13.9 | 0.30 | 0.01 | |
| Monterra | MO13 | Feather meal, pelletizing | 14.2 | 0 | 0 |
| Year | 2020 | 2021 | 2021 |
|---|---|---|---|
| Season | Fall (2 November 2020) | Spring (8 April 2021) | Summer (3 June 2021) |
| Control | |||
| Reference 1 N + P | 84 kg P ha−1 | 115 kg N ha−1 | 115 kg N ha−1 |
| Reference 2 N | - | 115 kg N ha−1 | 115 kg N ha−1 |
| Reference 3 P | 84 kg P ha−1 | - | - |
| P-BBFs | 84 kg P ha−1 (as BBFs) | 115 kg N ha−1 | 115 kg N ha−1 |
| N-BBFs | 84 kg P ha−1 | 115 kg N ha−1 (as BBFs) | 115 kg N ha−1 (as BBFs) |
| P-BBF | g N Container−1 | kg N ha−1 | N-BBF | g P Container−1 | kg P ha−1 |
|---|---|---|---|---|---|
| MB1 | 3.146 | 108 | PAL | 0.893 | 31 |
| CGO | 1.093 | 38 | BA6 | 1.306 | 45 |
| ADC | 0.015 | 1 | SIF | 0.293 | 10 |
| OPU | 4.011 | 138 | MAL | 0.666 | 23 |
| MO14 | 0.798 | 28 | OG2 | 0.084 | 3 |
| MBC | 2.281 | 79 | MO13 | 0 | 0 |
| Element | ||||||||
|---|---|---|---|---|---|---|---|---|
| Treatment | Fe | Mn | Zn | Mo | Cd | Ni | Cr | |
| mg g−1 | µg g−1 | |||||||
| References | Control | 0.029 a | 0.024 | 0.006 ab | 0.960 c | 0.028 abc | 0.334 | 0.050 |
| CAN + TSP | 0.044 bcd | 0.026 | 0.036 abc | 0.653 a | 0.090 abcde | 0.233 | 0.116 | |
| Only CAN | 0.044 bcd | 0.024 | 0.027 abc | 0.614 a | 0.091 bcde | 0.114 | 0.076 | |
| Only TSP | 0.027 a | 0.024 | 0.004 a | 0.924 bc | 0.023 ab | 0.104 | 0.040 | |
| P-BBFs | MB1 | 0.049 cd | 0.024 | 0.046 c | 0.608 a | 0.125 e | 0.286 | 0.078 |
| CGO | 0.052 d | 0.027 | 0.053 c | 0.651 a | 0.127 e | 0.271 | 0.133 | |
| ADC | 0.044 bcd | 0.025 | 0.036 abc | 0.677 a | 0.091 bcde | 0.176 | 0.164 | |
| OPU | 0.052 d | 0.025 | 0.050 c | 0.733 abc | 0.105 de | 0.396 | 0.156 | |
| MO14 | 0.050 d | 0.024 | 0.038 bc | 0.587 a | 0.099 cde | 0.257 | 0.103 | |
| MBC | 0.042 bcd | 0.024 | 0.033 abc | 0.584 a | 0.091 bcde | 0.100 | 0.131 | |
| N-BBFs | OG2 | 0.033 ab | 0.023 | 0.009 ab | 0.696 ab | 0.016 a | 0.223 | 0.076 |
| MO13 | 0.033 ab | 0.024 | 0.022 abc | 0.764 abc | 0.050 abcd | 0.108 | 0.111 | |
| PAL | 0.042 bcd | 0.027 | 0.021 abc | 0.645 a | 0.068 abcde | 0.186 | 0.073 | |
| BA6 | 0.035 ab | 0.025 | 0.007 ab | 0.686 a | 0.033 abcd | 0.250 | 0.083 | |
| SIF | 0.037 ab | 0.024 | 0.026 abc | 0.663 a | 0.054 abcde | 0.115 | 0.103 | |
| MAL | 0.043 bcd | 0.028 | 0.034 abc | 0.712 ab | 0.071 abcde | 0.282 | 0.133 | |
Disclaimer/Publisher’s Note: The statements, opinions and data contained in all publications are solely those of the individual author(s) and contributor(s) and not of MDPI and/or the editor(s). MDPI and/or the editor(s) disclaim responsibility for any injury to people or property resulting from any ideas, methods, instructions or products referred to in the content. |
© 2024 by the authors. Licensee MDPI, Basel, Switzerland. This article is an open access article distributed under the terms and conditions of the Creative Commons Attribution (CC BY) license (https://creativecommons.org/licenses/by/4.0/).
Share and Cite
Müller, B.; Herrmann, M.N.; Lewandowski, I.; Müller, T.; Hartung, J.; Bauerle, A. The Effect of Biobased N and P Fertilizers in a Winter Wheat–Ryegrass Crop Rotation. Agronomy 2024, 14, 2424. https://doi.org/10.3390/agronomy14102424
Müller B, Herrmann MN, Lewandowski I, Müller T, Hartung J, Bauerle A. The Effect of Biobased N and P Fertilizers in a Winter Wheat–Ryegrass Crop Rotation. Agronomy. 2024; 14(10):2424. https://doi.org/10.3390/agronomy14102424
Chicago/Turabian StyleMüller, Benedikt, Michelle Natalie Herrmann, Iris Lewandowski, Torsten Müller, Jens Hartung, and Andrea Bauerle. 2024. "The Effect of Biobased N and P Fertilizers in a Winter Wheat–Ryegrass Crop Rotation" Agronomy 14, no. 10: 2424. https://doi.org/10.3390/agronomy14102424
APA StyleMüller, B., Herrmann, M. N., Lewandowski, I., Müller, T., Hartung, J., & Bauerle, A. (2024). The Effect of Biobased N and P Fertilizers in a Winter Wheat–Ryegrass Crop Rotation. Agronomy, 14(10), 2424. https://doi.org/10.3390/agronomy14102424

