Abstract
Microplastics (MPs) have emerged as a significant pollutant, threatening agricultural ecosystem sustainability and global food security. However, relatively few studies have investigated biochar remedial effects on plant growth and biochemical properties in soils contaminated with MPs. In polyethylene microplastic (PE-MP)-contaminated soil, we investigated corn stover biochar effects on soybean growth, soil nutrient content, enzyme activity, and microbial biomass and assessed its impact on soil microbial resource limitations. The addition of MPs inhibited soybean growth in various forms across four stages. Conversely, the addition of biochar to MPs improved soybean growth to some extent, where above-ground biomass increased by 5.82% after adding biochar to soils containing microplastics. In soil treated with MPs and biochar, nitrate nitrogen (N), available phosphorus (P), and available potassium (K) increased by 20.1, 27.4, and 57.2%, respectively, while available nitrogen significantly decreased to 128.3 mg kg−1 compared to the MP-only treatment. PE-MPs alone significantly reduced soil carbon (C), N, and P enzyme activities, as well as microbial biomass, with β-glucosidase, leucine aminopeptidase, and acid phosphatase activities decreasing by 29.9, 27.8, and 25.5%, respectively. Interestingly, biochar addition to MPs significantly alleviated these detrimental effects. Microbial biomass C, N, and P increased by up to 56.0, 22.5, and 96.6%, respectively, following biochar addition to soils containing MPs. Analysis of vector lengths, vector angles, and scatter plots indicated that the presence of MPs reduced soil N and P availability. Overall, while MPs inhibited soybean development, biochar addition alleviated this effect to some extent. Furthermore, partial least-squares path modeling revealed that MPs negatively affected soil chemical properties, microbial biomass, and enzyme activities, whereas biochar positively influenced soil enzyme activities.
1. Introduction
Microplastics (MPs), defined as plastic fragments smaller than 5 mm, are emerging pollutants whose environmental impact has garnered global attention from researchers [1]. They have been detected in all environmental media and their pollution has become a worldwide environmental issue. Polyethylene (PE), polypropylene (PP), and polyvinyl chloride (PVC) are the most widely produced and commonly used plastics worldwide [2]. Furthermore, they are the most wasted plastics and the most released into the environment [3]. An estimated 80–90% of plastic waste is transported to terrestrial environments and aquatic systems via diverse pathways [4]. Thus far, MPs have been found in almost all soils worldwide, including cities and industrial areas [5], natural reserves [6], and agricultural fields [7]. Moreover, agricultural soils may store more MPs than oceans, although further research on their effects on agricultural ecosystems is required [8]. PE film has been widely adopted in cultivation to meet increased global demand for plant-food production in response to the MPs’ source scenario [9]. The presence of PE-MPs in soil negatively impacts plant growth and productivity [10], while also altering the rhizosphere microbial community and soil chemical properties [11].
Incorporation and accumulation of MPs in soil directly and indirectly affect soil functions. MPs, characterized by their small particle size, large specific surface area, and strong hydrophobicity, can disperse within soil and potentially alter its physical properties, such as porosity, aggregation, bulk density, and water-holding capacity [12]. MPs influence soil nutrient cycling [13,14,15] and increase dissolved organic carbon (DOC) content, which can further impact nutrient dynamics [16]. MPs may alter soil nitrogen forms (e.g., ammonium, nitrate, and nitrite); however, the specific changes caused by MP exposure remain inconsistent across studies [17,18]. The addition of PE-MPs has been shown to affect soil physicochemical properties, microbial community diversity, and enzyme activities [19]. For example, a 5% PE-MP treatment reduced soil water content and the availability of carbon (C) and phosphorus (P), while increasing soil pH and C storage [20], the researchers also found that PE-MPs addition lowered soil available and total P, while elevating NH4+-N and soil organic carbon (SOC) [21]. Soil enzyme activity plays a pivotal role in the nutrient cycling process, as these enzymes are primarily produced by microorganisms [22]. Consequently, MPs induced alterations in soil physicochemical properties, such as pH, and shifts in microbial community composition can influence enzyme activity, ultimately affecting soil ecosystem functions [23]. For instance, MPs have been reported to inhibit key enzymes like urease and acid phosphatase [24]. Enzymes involved in the cycling of C, nitrogen (N), and P, which originate from microbial and plant root metabolites, are crucial for the decomposition of organic matter and biogeochemical cycling of essential elements [25]. Additionally, the relative resource needs of microbial communities can be inferred by analyzing enzyme activity ratios. These ratios can be translated into vector lengths and angles, which provide insights into energy (C) limitations and nutrient (N or P) constraints within the soil environment [26].
Biochar is a solid material obtained from the thermochemical conversion of biomass under oxygen-limited environments. Biochar can be applied to the soil as a soil amendment, which may increase crop productivity by mitigating crop damage by adsorbing soil pollutants [27]. Biochar can also improve nutrient retention, microbial diversity, soil enzyme activity and plant growth [28,29]. The substantial role of biochar in alleviating MP-induced inhibitory effects on plant root development, as well as rhizosphere bacterial diversity and function, has also been demonstrated. The application of biochar can substantially enhance the expression of key genes related to antioxidant activity, lignin synthesis, nitrogen transport, and energy metabolism. This response helps mitigate the adverse effects of MPs root contamination, including reactive oxygen species stress, root structure damage, nutrient transport limitations and disruptions to energy metabolism [30]. Similarly, studies have demonstrated that the presence of PVC-MPs adhering to lettuce roots significantly inhibits its growth and development, however, the addition of appropriate corncob biochar has been shown to mitigate these negative effects, alleviating yield reductions [31]. Additionally, the application of softwood pellet biochar to MP-contaminated soils has been observed to significantly enhance urease activity and increase the diversity index of soil bacterial communities, suggesting improvements in soil biochemical functionality and microbial ecosystem health [32]. However, studies exploiting the effects of agri-waste biochar on plant growth and soil biochemical properties in MP-contaminated agricultural soils are rare.
Soybean (Glycine max, L.), one of the most important global agriculture crops [33], is affected by MPs, leading to reduced shoot nitrogen and shoot biomass at the podding stage. Additionally, PE-MP treatment inhibited aboveground soybean biomass during the flowering and pod stages [34]. Furthermore, biochar addition increased aboveground plant biomass in soils contaminated with MPs [35]. Biochar mitigates harmful effects and maintains soil microbial functionality. In this study, PE-MPs and corn straw biochar were incorporated into black soil in a controlled indoor experiment to investigate their effects on soybean growth and soil properties. The study focuses on the following key aspects: (1) the mitigating effects of biochar addition on soybean growth at different stages under MP pollution, (2) the exploration of changes in physical and chemical properties of MP-contaminated soil following biochar application, and (3) the investigation of changes in soil enzyme activity and the types of microbial resource limitations in the soil. Given the potential impact of PE-MPs on soil, we hypothesized that the incorporation of biochar would lead to significant alterations in soil nutrient content and enzyme activity compared to soils solely contaminated with microplastics, thereby influencing soybean growth.
2. Materials and Methods
2.1. Materials
Soil samples were obtained from the topsoil layer (0–20 cm) of farmland (47°27′ N, 126°55′ E) in Hailun, northeastern China. This region is characterized by a typical temperate continental monsoon climate, with hot, rainy summers and cold, dry winters. The soil in this region predominantly originates from sedimentary parent materials, characterized by a loamy loess composition, and is classified as Mollisols under the USDA soil taxonomy. The soil samples were air-dried and sieved through a 2 mm sieve to remove larger gravels.
PE typically consists of a mixture of similar ethylene-based polymers. As a hydrocarbon, PE is inherently colorless to opaque in appearance (in the absence of impurities or colorants). The PE particles were purchased from Zhonglian Plastics Co., Ltd. (Dongguan, China). According to the manufacturer’s specifications, the average diameter of PE-MPs was 68 μm. The biochar we used was prepared by charring corn stalks at 500 °C for 3 h.
2.2. Experimental Design
Four treatments were established: CK—no microplastics or biochar were introduced into the soil, PE—PE-MPs (2% w/w) were incorporated into the soil, BC—biochar (2% w/w) was incorporated into the soil, and PE+BC—PE-MPs (2% w/w) and biochar (2% w/w) were incorporated into the soil. Previous studies have demonstrated that 2% (w/w) MPs [36,37] and 2% (w/w) biochar [30] significantly affect plant growth and soil properties; therefore, this study adopted 2% (w/w) as a variable. Uniform-sized soybean seeds (Dongnong 63) were selected and surface-sterilized in 10% hydrogen peroxide H2O2 solution for 15 min. Prior to sowing, PE-MPs, biochar, and 2.5 kg of soil were thoroughly mixed in ceramic pots (diameter: 20 cm; height: 15 cm). The soil was maintained at 60% of its field water capacity by watering with deionized water every two days. The pots were incubated in a greenhouse under controlled conditions (16 h light/8 h dark cycle, 22 °C temperature, and 60% relative humidity) for seven days. Following incubation, eight soybean seeds were sown in each pot, and after germination, four uniformly sized seedlings were retained per pot. To ensure uniform growth conditions, the positions of the pots were randomly rearranged each week. Plant samples (n = 12) and soil samples (n = 3) were collected at the seedling stage (20 d); flowering stage (45 d); filling stage (65 d); and harvesting stage (90 d). This experiment comprised four treatments, each with three replications across four periods, resulting in a total of 48 pots.
2.3. Soybean Growth Determination
Soybean growth was evaluated at four distinct stages: seedling; flowering; filling; and harvesting. Growth indicators included shoot height, root length, shoot dry weight and root dry weight. Shoot height and root length were measured with a steel ruler. Soybean shoots and roots were placed in a drying oven at 105 °C for 30 min and then dried at 60 °C to a constant weight before measuring the biomass.
2.4. Measurement of Soil Nutrients, Microbial Biomass, and Enzymes
Soil properties assessed in this study included soil organic carbon (SOC), total nitrogen (TN), total phosphorus (TP), total potassium (TK), pH, available nitrogen (AN), available phosphorus (AP), and available potassium (AK), ammonium nitrogen (NH4+-N), and nitrate nitrogen (NO3−-N). These parameters were quantified following the methodologies described in Wu et al. [26].
Soil microbial parameters, including microbial biomass carbon (MBC), microbial biomass nitrogen (MBN), and microbial biomass phosphorus (MBP), were determined using the chloroform fumigation–extraction method. The quantities of MBC, MBN and MBP were calculated as the differences between fumigated and unfumigated soil extracts, divided by conversion factors of 0.45 (for C) and 0.54 (for N). Microbial stoichiometry was expressed as the mass ratios of these parameters [38].
Nine soil enzymes, including soil β-glucosidase (S-β-GC), soil saccharase (S-SC), soil cellulase (S-CL), soil urease (S-UE), soil N-acetyl-β-glycosaminidase (S-NAG), soil leucine aminopeptidase (S-LAP), soil phosphodiesterase (S-PDE), soil acid phosphatase (S-ACP) and soil alkaline phosphatase (S-ALP) were determined following methods reported in Wang et al., Zhang et al. and Zhou et al. [39,40,41]. Kits were purchased from Suzhou Grace Biotechnology Co., Ltd. (Suzhou, China).
To assess microbial resource limitations, an evaluation was conducted based on a scatter plot using the ratios of (NAG + LAP) to AP on one axis and BG to (NAG + LAP) on the other. A higher BG/(NAG + LAP) ratio indicates a lower N limitation, while a higher BG/AP ratio suggests a higher P limitation [26]. Vector lengths (VLs) and angles (VAs) were calculated using the following formulae [42]:
2.5. Statistical Analysis
All data were presented as the mean ± standard deviation (SD) and tested for significant differences using SPSS 22 software (SPSS Inc., Chicago, IL, USA) at p < 0.05. The threshold for significant differences was set at 0.05. To investigate the influences of different treatments on soil nutrients, microbial biomass, enzymes and soybean growth, we used the partial least squares path modeling (PLS-PM) method in the R programming language (version 4.3.3). The “pls-pm” package in R 4.0.5 was used for path analysis and the “linkET” package (version 0.0.7.4) was used for Mantel tests. Origin Pro 2022 was used for drawing graphics.
3. Results
3.1. MPs and Biochar Effects on Soybean Growth
Compared to CK, PE treatment significantly reduced soybean plant height across four stages by 3.5 to 14.4% (Figure 1A). Compared to PE treatment alone, the PE+BC treatment increased soybean shoot height by 3.5 to 21.6% (Figure 1A). There were no significant differences in root length between treatments at the flowering and harvesting stages. Under PE treatment, soybean root length at the seedling stage was significantly lower than in CK, while at the grain-filling stage, it was lower than in the PE+BC treatment, by 2.5% (Figure 1B).
Figure 1.
MPs and biochar effects on soybean growth. (A) Plant height, (B) root length, (C) shoot dry weight, (D) root dry weight. M and B denote MPs and biochar. Lowercase letters indicate significant differences among treatments (p < 0.05).
Compared to the PE+BC treatment, plant shoot and root biomass were reduced in the PE treatment throughout the flowering stage. During the flowering stage, above-ground biomass in the PE treatment was significantly lower than both the CK and PE+BC treatments, with reductions of 7.4 and 5.5%, respectively. During the harvesting stage, PE treatment resulted in a biomass reduction of 11.1 to 17.3% compared to the other three treatments (Figure 1C). Overall, plant shoot and root biomass were significantly reduced in the PE treatment throughout the entire growth period compared to PE+BC treatment, with the exception of root biomass at the seedling stage, where no significant changes were observed in the latter treatment (Figure 1D).
3.2. MPs and Biochar Effects on Soil Chemical Properties
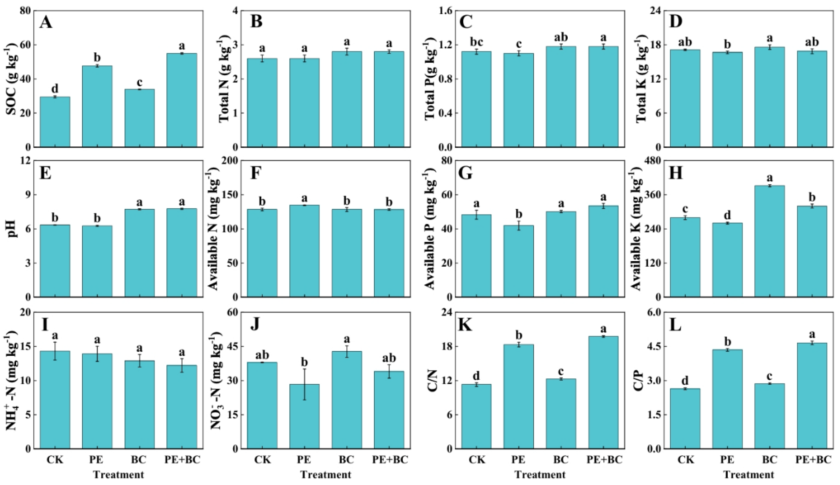
The PE (47.7 g kg−1) significantly increased SOC accumulation relative to CK, particularly in the PE+BC treatment (55.0 g kg−1), with increases of 61.5 and 86.3%, respectively (Figure 2A). Meanwhile, the PE and PE+BC treatments significantly increased the soil C to N or P ratio compared to CK (Figure 2K,L). PE treatment alone led to a significant increase in soil AN (134.7 mg kg−1) content, while no significant differences were found among other treatments (Figure 2F). However, TN and NH4+-N contents were not significantly different among the treatments, ranging from 2.6 to 2.8 g kg−1 and 12.22 to 14.32 g kg−1 (Figure 2B,I). As for soil P and K nutrients, PE treatment significantly reduced AP (41.9 mg kg−1) and TP (1.1g kg−1) contents compared with CK. Compared with PE+BC treatments, PE treatment reduced soil TP content by 19.7 and 7.3%, TN (2.6 g kg−1) content by 6.9%, AP content by 27.4%, AK (259.67 mg kg−1) content by 54.2%, and NO3−-N (28.33 mg kg−1) content by 20.1% (Figure 2C,D,G,H,J). Soil pH consistently increased by 23.8 and 23.1% in the BC and PE+BC treatments compared with CK (Figure 2E).
Figure 2.
MPs and biochar effects on soil. (A) Soil organic carbon, (B) total nitrogen, (C) total phosphorus, (D) total potassium, (E) pH, (F) available nitrogen, (G) available phosphorus, (H) available potassium, (I) ammonium nitrogen, (J) nitrate nitrogen, (K) C/N, (L) C/P. M and B denote MPs and biochar. Lowercase letters indicate significant differences among treatments (p < 0.05).
3.3. MPs and Biochar Effects on Soil Enzyme Activity
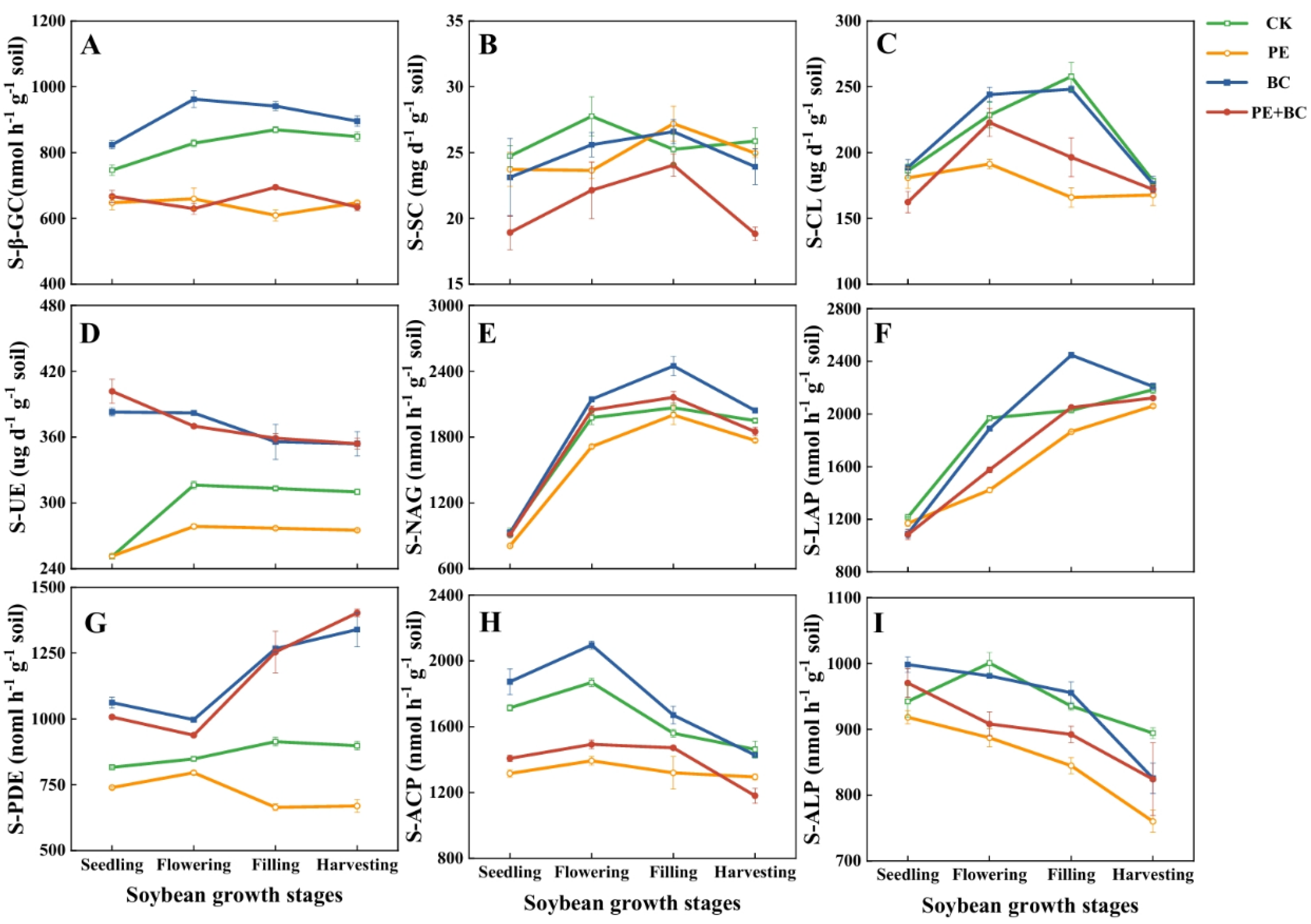
During the four soybean growth stages, PE treatments significantly decreased S-β-GC (13.3–29.9%), S-CL (2.9–35.6%), S-UE (11.2–11.9%), S-NAG (3.3–13.3%), S-LAP (3.9–27.8%), S-PDE (8.6–18.1%), S-ACP (11.5–25.5%) and S-ALP (2.6–15.0%) activities compared with CK, except for S-SC (Figure 3A–I). However, MPs addition significantly decreased S-β-GC, S-SC, S-CL, S-NAG, S-LAP, S-ACP, and S-ALP activity in biochar supplemented soil. Compared to the PE treatment, the BC treatment enhanced soil enzyme activity; for example, BC treatment increased S-UE activity by 28.7–59.7% and S-PDE activity by 14.8–87.7% (Figure 3D,G).
Figure 3.
MPs and biochar effects on soil enzyme activity. (A) β–glucosidase, (B) saccharase, (C) cellulase, (D) urease, (E) N–acetyl–β–glycosaminidase, (F) leucine aminopeptidase, (G) phosphodiesterase, (H) acid phosphatase, (I) alkaline phosphatase. M and B denote MPs and biochar.
Microbial C, N, and P limitations were estimated by calculating vector lengths and angles based on relative enzymatic activities. The vector angles of different treatments were >45° (ranging from 45.5 to 46.3) at the seedling stage but were <45° (ranging from 42.5 to 44.1) at the other three stages. (Figure 4D,E). The PE treatment vector angles were significantly lower than CK at the seedling stage and significantly higher than CK in the BC treatment, while there was no significant difference between the CK treatment and the BC treatment. Vector length was significantly greater for BC than the PE treatments at the four distinct stages, and the vector length of the treatment with MPs (PE and PE+BC) added was significantly lower than CK at the filling and harvesting stages (Figure 4E). The enzyme stoichiometry scatter plot revealed that all data points at the seedling stage were in the limiting quadrant for P and all other data points were in the limiting quadrant for N (Figure 4F). Linear regression analysis revealed a positive correlation between vector length and angle (Figure S1A–D).
Figure 4.
MPs and biochar effects on soil enzymatic activity ratios. (A) Enzymatic C:N stoichiometry, (B) enzymatic C:P stoichiometry, (C) enzymatic N:P stoichiometry, (D) vector angle, (E) vector length, (F) scatter plot of soil enzymatic stoichiometry showing the general pattern of microbial resource limitations. M and B denote MPs and biochar. C&P limited, co-limitation of carbon and phosphorus; C&N limited, co-limitation of carbon and nitrogen; P limited, phosphorus limitation; N limited, nitrogen limitation. Lowercase letters indicate significant differences among treatments (p < 0.05).
3.4. MPs and Biochar Effects on Soil Microbial C-N-P Characteristics
The dynamic change trend of MBC in CK, PE, BC and PE+BC was consistent; during the whole growth period, soil MBC for all treatments initially increased and then decreased, and was highest at the flowering stage (Figure 5A). The MBN in CK and BC treatments first increased and then stabilized, while in the PE and PE+BC treatments this changed steadily, in the order CK > BC > PE+BC > PE (Figure 5B). MBP exhibited a similar trend to MBC, and in the CK, BC and PE+BC treatment, this trended slightly upward and then downward (Figure 5C). The amendment of PE-MPs significantly decreased MBC, MBN and MBP content from the four distinct stages (Figure 5A–C).
Figure 5.
MPs effects on (A) microbial biomass carbon, (B) microbial biomass nitrogen, (C) microbial biomass phosphorus, (D) MBC/MBN, (E) MBC/MBN and (F) MBN/MBP in soil. M and B denote MPs and biochar. Lowercase letters indicate significant differences among treatments (p < 0.05).
Compared with CK and BC, the MBC and MBN ratios in PE and PE+BC treatments increased significantly by 20–30% at the seedling and flowering stages, while those at the filling and harvesting stage in the PE treatment were significantly lower than the CK and PE+BC treatments. (Figure 5D,E). There is no significant difference in the effects of CK, PE and PE+BC treatments on MBP in the four distinct stages (Figure 5F).
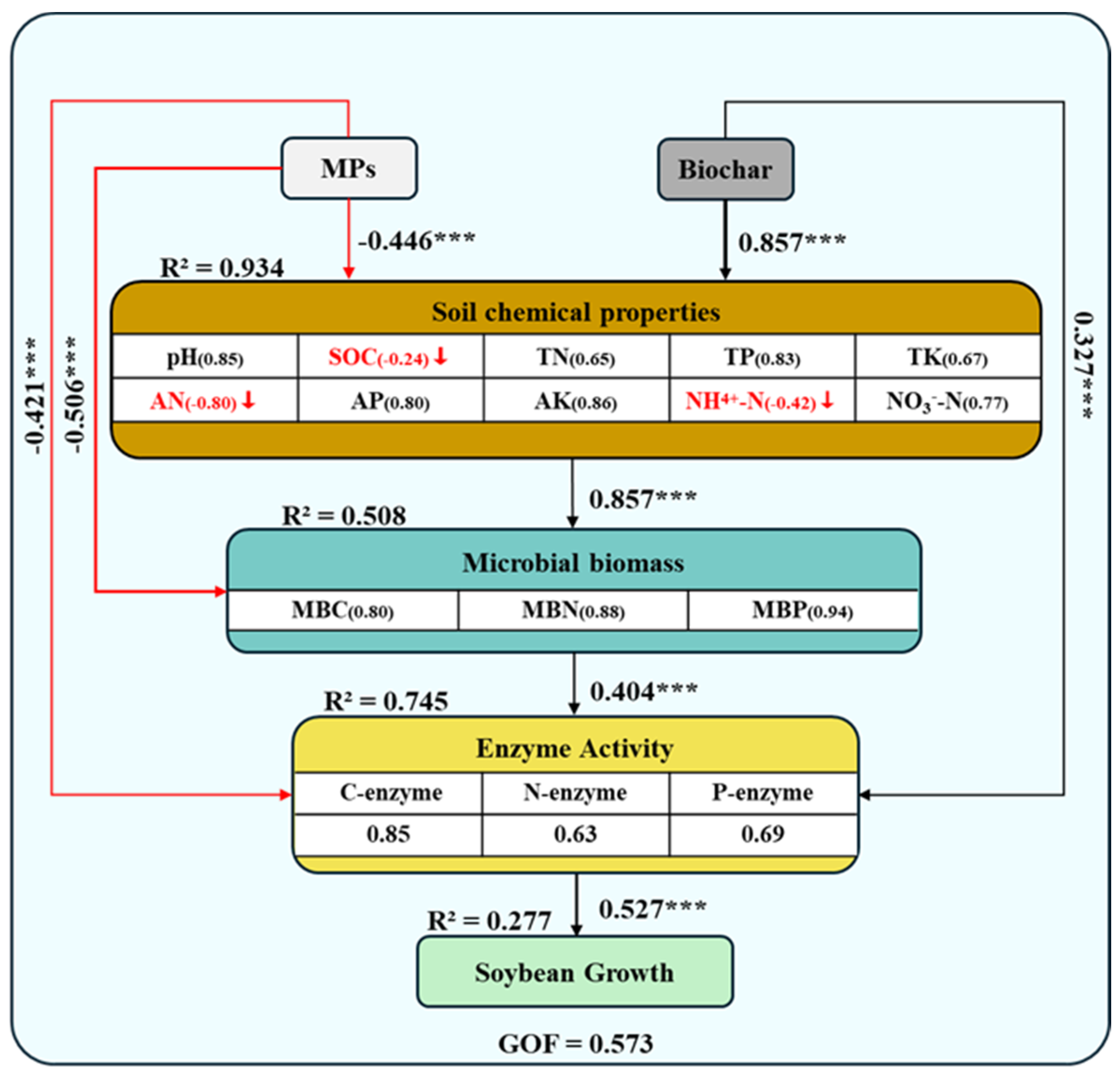
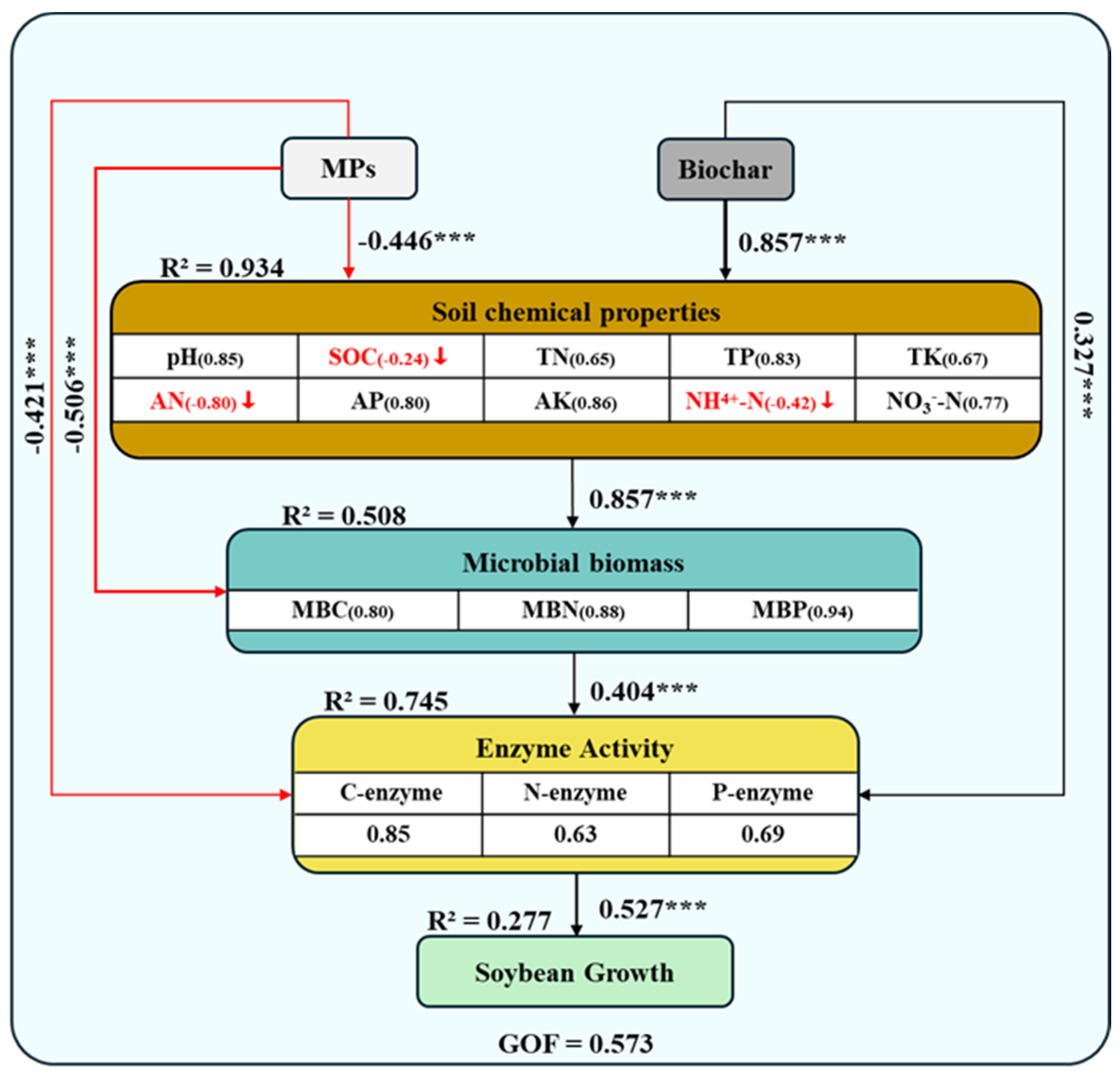
3.5. MPs Effects on the Soil–Microbial–Soybean System
Soybean growth and soil available nutrients, enzyme activity and microbial biomass were significantly correlated (p < 0.05, Figure S2). Furthermore, the available soil nutrients were affected by soil nutrient levels and PE treatments. Changes in the soil available and total nutrient contents influenced microbial biomass and enzyme activity (C, N, and P), which in turn affected soybean growth. MPs (−0.36) negatively impacted soybean growth, whereas soil biochar (0.23), soil chemical properties (0.07), microbial biomass (0.21) and enzyme activity (0.53) induced positive total impacts (Figure 6).
Figure 6.
Partial least squares pathway model (PLS–PM) showing the direct or indirect effects of PLA MPs addition on the soil–microbe–plant system. The width of the arrows is proportional to the strength of the pathway coefficients. Black and red arrows indicate positive and negative causality. *** represents significance level of p < 0.001.
4. Discussion
4.1. MPs and Biochar Affect Soybean Growth
While MPs can exert both beneficial and detrimental effects on plant growth [43,44], in our study, PE-MPs had a pronounced negative impact on soybean growth (Figure 1). Numerous studies have reported varying biological effects of MPs on plant growth, ranging from negative to nonsignificant or even positive impacts [45]. For instance, the addition of 1% PP and 1% rubber crumb (RC) to soil significantly reduced peanut plant biomass, including shoot and root length, dry weight, and the number of branches and pods. Furthermore, it inhibited chlorophyll biosynthesis and photosynthesis [46]. Oxidative damage is one of the major ecotoxicological effects of MPs, and to defend against oxidative damage, plants can produce a suite of antioxidant enzymes, such as superoxidase dismutase, peroxidase, and catalase [47]. MPs, as an abiotic stress factor, can trigger oxidative stress responses in plants. Excessive stress may result in lipid membrane peroxidation in plant tissue cells, leading to elevated malondialdehyde levels, which negatively impact plant growth [34]. MPs trigger an oxidative burst that damages chlorophyll structures, hindering chlorophyll biosynthesis and accelerating its decomposition. Exposure to PP and RC significantly increased oxidative stress in peanuts, likely causing an oxidative burst that negatively affected photosynthesis [46]. Direct physical damage caused by MPs to the root system leads to abnormal root development, thereby impairing plant absorption and N transport [30], and since nitrogen is an essential chlorophyll molecule component, its deficiency hinders chlorophyll synthesis [48]. These findings indicate that MPs compromise the integrity of root cell membranes by inducing oxidative stress, which in turn diminishes the root’s ability to absorb N. This impairment subsequently disrupts chlorophyll biosynthesis and photosynthesis, further inhibiting plant growth.
Conversely, biochar positively affects MP-contaminated soils [32]. Biochar can promote plant development by regulating soil pH, increasing nutrient availability, and fostering a healthy soil microecological environment [49]. Furthermore, the co-application of biochar with MPs resulted in significantly greater root biomass compared to the addition of MPs alone, indicating a positive effect of biochar on plant growth (Figure 1). The co-application of cotton stalk biochar at concentrations of 0.5% with PVC-MPs at levels of 0.25 and 0.5% may have enhanced wheat shoot dry matter yield and mitigated the adverse effects of PVC-MPs within the soil–plant system [35]. Biochar application improved root development by enhancing oxidative stress resistance, nitrogen transport, and energy metabolism. It also positively influenced the rhizosphere microecological environment, contributing to root growth and overall plant–soil system health in MP-contaminated agroecosystems [30]. Some studies have established a connection between the reduction in plant growth and modifications in soil geochemical properties and functions. These alterations can affect nutrient availability, microbial activity, and overall soil health, ultimately impacting plant development and productivity [50].
4.2. MPs and Biochar Affect Soil Chemical Properties
We demonstrated that adding MPs and biochar to soybean soil could induce changes in soil chemical properties (Figure 2). As carbon-rich materials, MPs have the potential to increase soil C levels, including TC and SOC [30,51], which we also observed in our experiment (Figure 2A). The TN differences between different treatments were not significant (Figure 2B), and a recent study found that MPs addition at a 1% concentration did not significantly change soil TN content [52]. The application of PVC and PP in freshwater sediments has been shown to stimulate microbial activity, promoting nitrification and nitrite oxidation [53]. While MPs had no significant impact on soil NH4+-N content, they significantly reduced NO3−-N concentrations at an addition rate of 2% (w/w) (Figure 2I,J). Similarly, a 1.5% (w/w) application of PP significantly lowered soil NO3−-N levels after incubation. This reduction was speculated to result from enhanced denitrification processes induced by the high dose of PP-MPs [54]. This hypothesis was supported by the significantly higher relative abundance of Proteobacteria observed in treatments with 1.5% (w/w) PLA or PP-MPs [55]. However, biochar contains oxygen-containing functional groups such as hydroxyl, phenolic hydroxyl and carboxyl [52]. When many of these oxygen-containing functional groups are added to the soil, the electron (e-) content increases, promoting NO3−-N but decreasing NH4+-N [56]. Overall, MPs negatively affected soil NO3−-N, AP and AK contents (Figure 2F,H), which could be due to direct adsorption of MPs toward nutrients, and MPs induced changes in the soil adsorption capacity. PE-MPs exhibit a strong adsorption capacity for available P, with 1% and 5% original PE reducing P concentrations in solution by 4.17% and 6.39%, respectively [57]. Additionally, MPs can influence microbial community structure and play a role in nutrient cycling processes [58]. Considering the pivotal role of soil microbes in nutrient cycling, it is plausible that MPs affect soil nutrients by disrupting microbial activities. Dong et al. [24] attributed the reduction in available N and P content caused by MPs to alterations in microbial abundance, microbial activity, and soil enzyme activity.
Soil pH is a key abiotic factor that significantly influences soil chemical processes and microbial activity. In this study, all biochar treatments increased soil pH compared to CK treatments, while MPs showed no significant effect on soil pH (Figure 2E). This effect is primarily attributed to the alkaline nature of biochar, which is produced at higher temperatures and contains elevated levels of ash and alkali salts [59]; thus, biochar application to soil increases soil pH. The high alkalinity of biochar leads to a pronounced liming effect when applied to acidic soils. This pH adjustment not only neutralizes soil acidity but also plays a crucial role in enhancing the availability of essential nutrients; consequently, this improved nutrient accessibility fosters optimal plant growth and significantly boosts overall crop productivity [60]. Qiu et al. [61] found that low PE does not significantly affect soil pH, although others have found that it does [11]. This may be due to differences in soil type and initial pH. Overall, PE changes bulk soil physicochemical attributes. MPs can alter soil physical properties (such as bulk density, porosity and water-holding capacity) and chemical properties (including nutrient content and electrical conductivity), thereby affecting soil microbial activity and enzyme function [13,20].
4.3. Biochar Effects on Microbial Biomass and Enzyme Activity in MP-Contaminated Soil
Soil enzymes are active agents involved in biogeochemical processes within the soil [62], playing crucial roles in soil organic matter decomposition and nutrient cycling, which are important for plant growth [63]. Therefore, soil enzyme activity assessment is widely employed to evaluate soil physicochemical properties, disturbances, successional changes, fertility, microbial community structure, and overall biological activity [64]. We revealed that enzyme activity and microbial biomass were negatively affected by soil MPs (Figure 3, Figure 4, Figure 5 and Figure 6). Liu et al. (2022) reported that in rhizosphere soil with wheat under 1 and 5% PE-MP and PVC-MP addition, β-1,4-glucosidase and 1,4-N acetyl-glycosaminidase enzyme activities were lower than CK [65]. We showed a significant inhibition by MPs on C-enzyme and N-enzyme activities in soybean. The addition of biochar increased urease activity even in soils containing MPs (Figure 3), suggesting that biochar application can mitigate the negative effects of MPs on soil microorganisms responsible for regulating urease activity [66]. The variation in urease activity in response to MPs and biochar amendments is likely due to changes in soil pH [35]. Furthermore, urease activity is highly sensitive to variations in soil moisture; for instance, under conditions of warming and reduced precipitation, enzyme activity showed a marked decline, reflecting the close relationship between environmental factors and microbial function [67]. MPs and biochar can increase soil water-holding capacity [66]; therefore, the higher urease activity observed in the MPs plus biochar treatments in our study may be attributed to greater moisture retention in these treatments compared to MPs alone. The reduction in S-SC, S-CL, and S-ACP, along with S-ALP, indicates that MPs may constrain soil organic matter decomposition and organic phosphorus transformation, as evidenced by the observed increase in SOC and the decrease in AP and TP [68].
Different MP compositions influence soil microbial and enzyme activity in agricultural soils [69]. PS, for example, is generally considered nontoxic and inhibits microbial biomass carbon and extracellular enzymatic activities after 30 days of soil incubation [70]. The negative effects of MPs on MBC, MBN and MBP in our study differed from previous studies in Chinese alkaline soil [71] and may be caused by soil properties and MP types. The soil we used in our study was acidic black soil with higher soil organic carbon and nitrogen contents, which may have harbored a different microbial community than alkaline soil in previous studies. Meanwhile, bacterial community richness and diversity both declined with MPs addition [72], which is consistent with decreased soil microbial biomass and enzyme activity. In a previous study, PVC presence significantly reduced MBC and MBN content [71], which further exacerbated N availability in the system. In contrast, some studies have shown that the addition of microplastics can increase the diversity of soil microorganisms, primarily due to microbial colonization on the MPs themselves [73]. In our study, N limitation, indicated by VA values below 45°, was observed in the soil microbial community (Figure 4). Furthermore, the MP types used in the experiments were different between our study and other studies. We found that MPs addition significantly decreased MBC, MBN and MBP, but, the adverse effects of MPs remained significantly evident when comparing biochar addition alone to the combination of biochar and MPs. (Figure 5). Thus, the addition of biochar to MP-contaminated soils can enhance the aforementioned traits, although it cannot entirely eliminate the harmful effects of MPs [35].
4.4. Alterations in Microbial Biomass and Enzyme Activity Under MPs and Biochar Effect on Soybean Growth
MPs can influence plant growth in several ways, including altering soil physicochemical properties and modifying rhizosphere microbial communities [58]. Liu et al. [46] reported that 1% PP and RC MPs inhibited plant growth and nitrogen absorption in peanuts by causing damage to root cells and interfering with soil N cycling. We found that soybean growth was significantly correlated with soil nutrients and enzyme activity (Figure S2). Biochar application enhances soil carbon fractions, directly or indirectly influences soil nitrification and denitrification processes, and facilitates nutrient efficiency for plant uptake [74]. Biochar may positively influence plant development by enhancing the rhizosphere microecological environment in soils contaminated with MPs [30]. MPs and biochar influence soybean plant growth by affecting soil nutrient content, microbial biomass, and enzyme activity (Figure S2).
Soil nutrient imbalances exacerbate microbial metabolic limitations in response to MP amendments, especially in nutrient-poor soils [75]. MPs influence N and P biogeochemical cycles as well as microbial community structure [58]. For example, PE can increase the soil C:N ratio, leading to enhanced N immobilization by microbes. Additionally, MPs can shape microbial communities, affecting nitrification and denitrification processes, which subsequently alters the accumulation of soil NO3−-N and NH4+-N [76]. MBC, MBN, and MBP, along with their respective ratios, exhibited distinct responses to soil nutrient levels and MP treatments, thereby influencing microbial N resources (Figure 4, Figure 5 and Figure 6). These findings underscore the intricate interplay between MPs, soil nutrient dynamics, and microbial functions in maintaining microbial homeostasis.
5. Conclusions
Using soybean as a model plant, this study elucidated the distinct ecological impacts of polyethylene and biochar on the soil–plant system, focusing on soil chemical properties, microbial biomass, and enzyme activity. Using soybean as a model plant, this study revealed the contrasting ecological effects of polyethylene microplastics and biochar on the soil–plant system, particularly from the perspectives of soil chemical properties, microbial biomass, and enzyme activity. Our key findings are as follows:
- (1)
- The addition of microplastics inhibited soybean sprout height and root length during the observed growth stage.
- (2)
- Soil nutrients and enzyme activities were significantly reduced by microplastics, leading to a notable decline in soil microbial biomass.
- (3)
- In soils contaminated with microplastics, biochar had a positive impact on soybean growth, microbial biomass, and nutrient cycling enzyme activities.
- (4)
- Biochar effectively mitigated the adverse effects of microplastics on soil properties, thereby enhancing ecosystem functionality.
These findings underscore the potential of biochar to counteract the harmful impacts of microplastics on soil health and crop productivity. Future studies should focus on the interactions between microplastics and biochar, as well as their impacts on soil microbial communities and biogeochemical cycles.
Supplementary Materials
The following supporting information can be downloaded at: https://www.mdpi.com/article/10.3390/agronomy14122919/s1, Figure S1: Relationships between vector length and vector angle. M and B denote MPs and biochar; Figure S2: Mantel test examining the relationships between soil enzyme activities, chemical properties, and microbial biomass. The edge width indicates Mantel’s r statistic for corresponding distance correlations. The color gradient denotes Spearman’s correlation coefficients.
Author Contributions
L.Y. and W.Z. conceived and designed the experiments. J.S. performed the experiments and analyzed the data, and X.C., X.L., J.Y. and Y.Z. revised the manuscript. All authors have read and agreed to the published version of the manuscript.
Funding
The study was supported by the Chinese Agriculture Research System (CARS-04), the National Key R&D Program of China (2022YFD1500100), the Strategic Priority Research Program of the Chinese Academy of Sciences (XDA28070100), and the Young Scholars Program in Regional Development, Chinese Academy of Sciences (2022-027).
Data Availability Statement
The data presented during this study are available on reasonable request from the corresponding author.
Conflicts of Interest
The authors declare no conflicts of interest.
Abbreviations
| MPs | Microplastics |
| PE | polyethylene |
| PP | polypropylene |
| PVC | polyvinyl chloride |
| RC | rubber crumb |
| BC | biochar |
| S-β-GC | soil β-glucosidase |
| S-SC | soil Saccharase |
| S-CL | soil Cellulase |
| S-UE | soil Urease |
| S-NAG | soil N-acetyl-β-glycosaminidase |
| S-LAP | soil Leucine-aminopeptidase |
| S-PDE | soil phosphodiesterase |
| S-ACP | soil Acid phosphatase |
| S-ALP | soil Alkaline phosphatase |
References
- Kim, Y.; Yoon, J.; Kim, K. Microplastic contamination in soil environment—A review. Soil. Sci. Annu. 2021, 71, 300–308. [Google Scholar] [CrossRef]
- Kumar, M.; Chen, H.; Sarsaiya, S.; Qin, S.; Liu, H.; Awasthi, M.K.; Kumar, S.; Singh, L.; Zhang, Z.; Bolan, N.S.; et al. Current research trends on micro- and nano-plastics as an emerging threat to global environment: A review. J. Hazard. Mater. 2021, 409, 124967. [Google Scholar] [CrossRef] [PubMed]
- Chen, Y.; Awasthi, A.K.; Wei, F.; Tan, Q.; Li, J. Single-use plastics: Production; usage; disposal; adverse impacts. Sci. Total Environ. 2021, 752, 141772. [Google Scholar] [CrossRef]
- Ng, E.; Lwanga, E.H.; Eldridge, S.M.; Johnston, P.; Hu, H.; Geissen, V.; Chen, D. An overview of microplastic and nanoplastic pollution in agroecosystems. Sci. Total Environ. 2018, 627, 1377–1388. [Google Scholar] [CrossRef] [PubMed]
- Büks, F.; Kaupenjohann, M. Global concentrations of microplastics in soils—A review. Soil 2020, 6, 649–662. [Google Scholar] [CrossRef]
- Scheurer, M.; Bigalke, M. Microplastics in Swiss Floodplain Soils. Environ. Sci. Technol. 2018, 52, 3591–3598. [Google Scholar] [CrossRef]
- Piehl, S.; Leibner, A.; Löder, M.G.J.; Dris, R.; Bogner, C.; Laforsch, C. Identification and quantification of macro- and microplastics on an agricultural farmland. Sci. Rep. 2018, 8, 17950–17959. [Google Scholar] [CrossRef]
- He, D.; Luo, Y.; Lu, S.; Liu, M.; Song, Y.; Lei, L. Microplastics in soils: Analytical methods, pollution characteristics and ecological risks. TrAC Trends Anal. Chem. 2018, 109, 163–172. [Google Scholar] [CrossRef]
- Ren, S.; Kong, S.; Ni, H. Contribution of mulch film to microplastics in agricultural soil and surface water in China. Environ. Pollut. 2021, 291, 118227. [Google Scholar] [CrossRef]
- Qi, Y.; Yang, X.; Pelaez, A.M.; Huerta, L.E.; Beriot, N.; Gertsen, H.; Garbeva, P.; Geissen, V. Macro- and micro- plastics in soil-plant system: Effects of plastic mulch film residues on wheat (Triticum aestivum) growth. Sci. Total Environ. 2018, 645, 1048–1056. [Google Scholar] [CrossRef]
- Qi, Y.; Ossowicki, A.; Yang, X.; Lwanga, E.H.; Dini-Andreote, F.; Geissen, V.; Garbeva, P. Effects of plastic mulch film residues on wheat rhizosphere and soil properties. J. Hazard. Mater. 2020, 387, 121711. [Google Scholar] [CrossRef] [PubMed]
- Sajjad, M.; Huang, Q.; Khan, S.; Khan, M.A.; Liu, Y.; Wang, J.; Lian, F.; Wang, Q.; Guo, G. Microplastics in the soil environment: A critical review. Environ. Technol. Innov. 2022, 27, 102408. [Google Scholar] [CrossRef]
- Ma, R.; Xu, Z.; Sun, J.; Li, D.; Cheng, Z.; Niu, Y.; Guo, H.; Zhou, J.; Wang, T. Microplastics affect C, and P cycling in natural environments: Highlighting the driver of soil hydraulic properties. J. Hazard. Mater. 2023, 459, 132326. [Google Scholar] [CrossRef] [PubMed]
- Zhang, D.; Ng, E.L.; Hu, W.; Wang, H.; Galaviz, P.; Yang, H.; Sun, W.; Li, C.; Ma, X.; Fu, B.; et al. Plastic pollution in croplands threatens long-term food security. Global Chang. Biol. 2020, 26, 3356–3367. [Google Scholar] [CrossRef]
- Zhang, S.; Pei, L.; Zhao, Y.; Shan, J.; Zheng, X.; Xu, G.; Sun, Y.; Wang, F. Effects of microplastics and nitrogen deposition on soil multifunctionality, particularly C and N cycling. J. Hazard. Mater. 2023, 451, 131152. [Google Scholar] [CrossRef]
- Gao, B.; Yao, H.; Li, Y.; Zhu, Y. Microplastic Addition Alters the Microbial Community Structure and Stimulates Soil Carbon Dioxide Emissions in Vegetable-Growing Soil. Environ. Toxicol. Chem. 2021, 40, 352–365. [Google Scholar] [CrossRef]
- Jiao, K.; Yang, B.; Wang, H.; Xu, W.; Zhang, C.; Gao, Y.; Sun, W.; Li, F.; Ji, D. The individual and combined effects of polystyrene and silver nanoparticles on nitrogen transformation and bacterial communities in an agricultural soil. Sci. Total Environ. 2022, 820, 153358. [Google Scholar] [CrossRef]
- Sun, X.; Zhang, X.; Xia, Y.; Tao, R.; Zhang, M.; Mei, Y.; Qu, M. Simulation of the effects of microplastics on the microbial community structure and nitrogen cycle of paddy soil. Sci. Total Environ. 2022, 818, 151768. [Google Scholar] [CrossRef]
- Wang, Q.; Adams, C.A.; Wang, F.; Sun, Y.; Zhang, S. Interactions between microplastics and soil fauna: A critical review. Crit. Rev. Environ. Sci. Technol. 2022, 52, 3211–3243. [Google Scholar] [CrossRef]
- Liu, Z.; Wen, J.; Liu, Z.; Wei, H.; Zhang, J. Polyethylene microplastics alter soil microbial community assembly and ecosystem multifunctionality. Environ. Int. 2024, 183, 108360. [Google Scholar] [CrossRef]
- Yu, F.; Fu, M.; Tang, C.; Mo, C.; Li, S.; Luo, S.; Qin, P.; Zhao, Y.; Li, Y. Potential impact of polyethylene microplastics on the growth of water spinach (Ipomoea aquatica F.): Endophyte rhizosphere effects. Chemosphere 2023, 330, 138737. [Google Scholar] [PubMed]
- Stark, S.; Männistö, M.K.; Eskelinen, A. Nutrient availability and pH jointly constrain microbial extracellular enzyme activities in nutrient-poor tundra soils. Plant Soil. 2014, 383, 373–385. [Google Scholar] [CrossRef]
- Liu, R.; Liang, J.; Yang, Y.; Jiang, H.; Tian, X. Effect of polylactic acid microplastics on soil properties, soil microbials and plant growth. Chemosphere 2023, 329, 138504. [Google Scholar] [CrossRef] [PubMed]
- Dong, Y.; Gao, M.; Qiu, W.; Song, Z. Effect of microplastics and arsenic on nutrients and microorganisms in rice rhizosphere soil. Ecotox Environ. Safe 2021, 211, 111899. [Google Scholar] [CrossRef] [PubMed]
- Cui, Y.; Bing, H.; Fang, L.; Jiang, M.; Shen, G.; Yu, J.; Wang, X.; Zhu, H.; Wu, Y.; Zhang, X. Extracellular enzyme stoichiometry reveals the carbon and phosphorus limitations of microbial metabolisms in the rhizosphere and bulk soils in alpine ecosystems. Plant Soil 2021, 458, 7–20. [Google Scholar] [CrossRef]
- Wu, Z.; Han, X.; Chen, X.; Lu, X.; Yan, J.; Wang, W.; Zou, W.; Yan, L. Application of organic manure as a potential strategy to alleviate the limitation of microbial resources in soybean rhizospheric and bulk soils. J. Integr. Agric. 2024, 23, 2065–2082. [Google Scholar]
- Shaaban, M.; Van Zwieten, L.; Bashir, S.; Younas, A.; Núñez-Delgado, A.; Chhajro, M.A.; Kubar, K.A.; Ali, U.; Rana, M.S.; Mehmood, M.A.; et al. A concise review of biochar application to agricultural soils to improve soil conditions and fight pollution. J. Environ. Manag. 2018, 228, 429–440. [Google Scholar]
- Dominchin, M.F.; Verdenelli, R.A.; Berger, M.G.; Aoki, A.; Meriles, J.M. Impact of N-fertilization and peanut shell biochar on soil microbial community structure and enzyme activities in a Typic Haplustoll under different management practices. Eur. J. Soil Biol. 2021, 104, 103298. [Google Scholar] [CrossRef]
- Liao, X.; Kang, H.; Haidar, G.; Wang, W.; Malghani, S. The impact of biochar on the activities of soil nutrients acquisition enzymes is potentially controlled by the pyrolysis temperature: A meta-analysis. Geoderma 2022, 411, 115692. [Google Scholar] [CrossRef]
- Yang, L.; Shen, P.; Liang, H.; Wu, Q. Biochar relieves the toxic effects of microplastics on the root-rhizosphere soil system by altering root expression profiles and microbial diversity and functions. Ecotox Environ. Safe 2024, 271, 115935. [Google Scholar]
- Li, J.; Yu, Y.; Chen, X.; Yu, S.; Cui, M.; Wang, S.; Song, F. Effects of biochar on the phytotoxicity of polyvinyl chloride microplastics. Plant Physiol. Bioch 2023, 195, 228–237. [Google Scholar] [CrossRef] [PubMed]
- Palansooriya, K.N.; Sang, M.K.; Igalavithana, A.D.; Zhang, M.; Hou, D.; Oleszczuk, P.; Sung, J.; Ok, Y.S. Biochar alters chemical and microbial properties of microplastic-contaminated soil. Environ. Res. 2022, 209, 112807. [Google Scholar] [CrossRef] [PubMed]
- Kulkarni, K.P.; Tayade, R.; Asekova, S.; Song, J.T.; Shannon, J.G.; Lee, J. Harnessing the Potential of Forage Legumes. Alfalfa, Soybean, and Cowpea for Sustainable Agriculture and Global Food Security. Front. Plant Sci. 2018, 9, 1314. [Google Scholar] [CrossRef] [PubMed]
- Song, T.; Liu, J.; Han, S.; Li, Y.; Xu, T.; Xi, J.; Hou, L.; Lin, Y. Effect of conventional and biodegradable microplastics on the soil-soybean system: A perspective on rhizosphere microbial community and soil element cycling. Environ. Int. 2024, 190, 108781. [Google Scholar] [CrossRef] [PubMed]
- Khalid, A.R.; Shah, T.; Asad, M.; Ali, A.; Samee, E.; Adnan, F.; Bhatti, M.F.; Marhan, S.; Kammann, C.I.; Haider, G. Biochar alleviated the toxic effects of Pvc microplastic in a soil-plant system by upregulating soil enzyme activities and microbial abundance. Environ. Pollut. 2023, 332, 121810. [Google Scholar] [CrossRef]
- Liu, J.; Wang, P.; Wang, Y.; Zhang, Y.; Xu, T.; Zhang, Y.; Xi, J.; Hou, L.; Li, L.; Zhang, Z.; et al. Negative effects of poly(butylene adipate-co-terephthalate) microplastics on Arabidopsis and its root-associated microbiome. J. Hazard. Mater. 2022, 437, 129294. [Google Scholar] [CrossRef]
- de Souza Machado, A.A.; Lau, C.W.; Kloas, W.; Bergmann, J.; Bachelier, J.B.; Faltin, E.; Becker, R.; Go, A.S.; Rillig, M.C. Microplastics Can Change Soil Properties and Affect Plant Performance. Environ. Sci. Technol. 2019, 53, 6044–6052. [Google Scholar] [CrossRef]
- Palansooriya, K.N.; Zhou, Y.; An, Z.; Cai, Y.; Chang, S.X. Microplastics affect the ecological stoichiometry of plant, soil and microbes in a greenhouse vegetable system. Sci. Total Environ. 2024, 924, 171602. [Google Scholar] [CrossRef]
- Wang, C.; Yao, X.; Li, X.; Wang, Q.; Wang, J.; Zhu, L.; Wang, J. Effects of dibutyl phthalate on microbial community and the carbon cycle in salinized soil. J. Clean. Prod. 2023, 404, 136928. [Google Scholar] [CrossRef]
- Zhang, Y.; Gao, W.; Luan, H.; Tang, J.; LI, R.; LI, M.; Zhang, H.; Huang, S. Effects of a decade of organic fertilizer substitution on vegetable yield and soil phosphorus pools, phosphatase activities, and the microbial community in a greenhouse vegetable production system. J. Integr. Agric. 2022, 21, 2119–2133. [Google Scholar] [CrossRef]
- Zhou, B.; Zheng, X.; Zhu, Z.; Qin, Q.; Song, K.; Sun, L.; Sun, Y.; Zhang, Y.; Lv, W.; Xue, Y. Effects of fertilizer application on phthalate ester pollution and the soil microbial community in plastic-shed soil on long-term fertilizer experiment. Chemosphere 2022, 308, 136315. [Google Scholar] [CrossRef] [PubMed]
- Moorhead, D.L.; Sinsabaugh, R.L.; Hill, B.H.; Weintraub, M.N. Vector analysis of ecoenzyme activities reveal constraints on coupled C. N and P dynamics. Soil Biol. Biochem. 2016, 93, 1–7. [Google Scholar] [CrossRef]
- Shah, T.; Ali, A.; Haider, G.; Asad, M.; Munsif, F. Microplastics alter soil enzyme activities and microbial community structure without negatively affecting plant growth in an agroecosystem. Chemosphere 2023, 322, 138188. [Google Scholar] [CrossRef] [PubMed]
- Tong, L.; Duan, P.; Tian, X.; Huang, J.; Ji, J.; Chen, Z.; Yang, J.; Yu, H.; Zhang, W. Polystyrene microplastics sunlight-induce oxidative dissolution, chemical transformation and toxicity enhancement of silver nanoparticles. Sci. Total Environ. 2022, 827, 154180. [Google Scholar] [CrossRef]
- Zhou, J.; Wen, Y.; Marshall, M.R.; Zhao, J.; Gui, H.; Yang, Y.; Zeng, Z.; Jones, D.L.; Zang, H. Microplastics as an emerging threat to plant and soil health in agroecosystems. Sci. Total Environ. 2021, 787, 147444. [Google Scholar] [CrossRef]
- Liu, Y.; Xu, F.; Ding, L.; Zhang, G.; Bai, B.; Han, Y.; Xiao, L.; Song, Y.; Li, Y.; Wan, S.; et al. Microplastics reduce nitrogen uptake in peanut plants by damaging root cells and impairing soil nitrogen cycling. J. Hazard. Mater. 2023, 443, 130384. [Google Scholar] [CrossRef]
- Zhou, Q.; Hu, X. Systemic Stress and Recovery Patterns of Rice Roots in Response to Graphene Oxide Nanosheets. Environ. Sci. Technol. 2017, 51, 2022–2030. [Google Scholar] [CrossRef]
- Wen, B.; Li, C.; Fu, X.; Li, D.; Li, L.; Chen, X.; Wu, H.; Cui, X.; Zhang, X.; Shen, H.; et al. Effects of nitrate deficiency on nitrate assimilation and chlorophyll synthesis of detached apple leaves. Plant Physiol. Bioch 2019, 142, 363–371. [Google Scholar] [CrossRef]
- Ren, T.; Feng, H.; Xu, C.; Xu, Q.; Fu, B.; Azwar, E.; Wei, Y.; Lam, S.S.; Liu, G. Exogenous application and interaction of biochar with environmental factors for improving functional diversity of rhizosphere’s microbial community and health. Chemosphere 2022, 294, 133710. [Google Scholar] [CrossRef]
- Boots, B.; Russell, C.W.; Green, D.S. Effects of Microplastics in Soil Ecosystems: Above and Below Ground. Environ. Sci. Technol. 2019, 53, 11496–11506. [Google Scholar] [CrossRef]
- Zhou, Z.; Hua, J.; Xue, J. Polyethylene microplastic and soil nitrogen dynamics: Unraveling the links between functional genes, microbial communities, and transformation processes. J. Hazard. Mater. 2023, 458, 131857. [Google Scholar] [CrossRef] [PubMed]
- Liu, Y.; Chen, Y.; Ren, X.; Li, Y.; Zhang, Y.; Zhang, H.; Han, H.; Chen, Z. Plant growth-promoting bacteria modulate gene expression and induce antioxidant tolerance to alleviate synergistic toxicity from combined microplastic and Cd pollution in sorghum. Ecotox Environ. Safe 2023, 264, 115439. [Google Scholar] [CrossRef] [PubMed]
- Yin, Z. The pollution of microplastics in sediments: The ecological risk assessment and pollution source analysis. Sci. Total Environ. 2023, 859, 160323. [Google Scholar] [CrossRef] [PubMed]
- Zhang, Z.; Wang, W.; Liu, J.; Wu, H. Discrepant responses of bacterial community and enzyme activities to conventional and biodegradable microplastics in paddy soil. Sci. Total Environ. 2024, 909, 168513. [Google Scholar] [CrossRef] [PubMed]
- Rong, L.; Zhao, L.; Zhao, L.; Cheng, Z.; Yao, Y.; Yuan, C.; Wang, L.; Sun, H. Ldpe microplastics affect soil microbial communities and nitrogen cycling. Sci. Total Environ. 2021, 773, 145640. [Google Scholar] [CrossRef]
- Yu, H.; Pu, Z.; Wang, S.; Chen, Y.; Wang, C.; Wan, Y.; Dong, Y.; Wang, J.; Wan, S.; Wang, D.; et al. Mitigating microplastic stress on peanuts: The role of biochar-based synthetic community in the preservation of soil physicochemical properties and microbial diversity. Sci. Total Environ. 2024, 932, 172927. [Google Scholar] [CrossRef]
- Shi, L.; Hou, Y.; Chen, Z.; Bu, Y.; Zhang, X.; Shen, Z.; Chen, Y. Impact of polyethylene on soil physicochemical properties and characteristics of sweet potato growth and polyethylene absorption. Chemosphere 2022, 302, 134734. [Google Scholar] [CrossRef]
- Wang, F.; Wang, Q.; Adams, C.A.; Sun, Y.; Zhang, S. Effects of microplastics on soil properties: Current knowledge and future perspectives. J. Hazard. Mater. 2022, 424, 127531. [Google Scholar] [CrossRef]
- Al Wabel, M.I.; Hussain, Q.; Usman, A.R.A.; Ahmad, M.; Abduljabbar, A.; Sallam, A.S.; Ok, Y.S. Impact of biochar properties on soil conditions and agricultural sustainability: A review. Land. Degrad. Dev. 2018, 29, 2124–2161. [Google Scholar] [CrossRef]
- El-Naggar, A.; Lee, S.S.; Rinklebe, J.; Farooq, M.; Song, H.; Sarmah, A.K.; Zimmerman, A.R.; Ahmad, M.; Shaheen, S.M.; Ok, Y.S. Biochar application to low fertility soils: A review of current status, and future prospects. Geoderma 2019, 337, 536–554. [Google Scholar] [CrossRef]
- Qiu, G.; Wang, Q.; Wang, Q.; Wang, T.; Kang, Z.; Zeng, Y.; Yang, X.; Song, N.; Zhang, S.; Han, X.; et al. Effects of polyethylene microplastics on properties, enzyme activities, and the succession of microbial community in Mollisol: At the aggregate level. Environ. Res. 2023, 237, 116976. [Google Scholar] [CrossRef] [PubMed]
- Daughtridge, R.C.; Nakayama, Y.; Margenot, A.J. Sources of abiotic hydrolysis of chromogenic substrates in soil enzyme assays: Storage, termination, and incubation. Soil. Biol. Biochem. 2021, 158, 108245. [Google Scholar] [CrossRef]
- Liu, Y.; Shahbaz, M.; Ge, T.; Zhu, Z.; Liu, S.; Chen, L.; Wu, X.; Deng, Y.; Lu, S.; Wu, J. Effects of root exudate stoichiometry on CO2 emission from paddy soil. Eur. J. Soil. Biol. 2020, 101, 103247. [Google Scholar] [CrossRef]
- Xu, H.; Qu, Q.; Chen, Y.; Liu, G.; Xue, S. Responses of soil enzyme activity and soil organic carbon stability over time after cropland abandonment in different vegetation zones of the Loess Plateau of China. Catena 2021, 196, 104812. [Google Scholar] [CrossRef]
- Liu, Y.; Xiao, M.; Shahbaz, M.; Hu, Z.E.; Zhu, Z.; Lu, S.; Yu, Y.; Yao, H.; Chen, J.; Ge, T. Microplastics in soil can increase nutrient uptake by wheat. J. Hazard. Mater. 2022, 438, 129547. [Google Scholar] [CrossRef]
- de Souza Machado, A.A.; Kloas, W.; Zarfl, C.; Hempel, S.; Rillig, M.C. Microplastics as an emerging threat to terrestrial ecosystems. Glob. Chang. Biol. 2018, 24, 1405–1416. [Google Scholar] [CrossRef]
- Hu, R.; Wang, X.; Xu, J.; Zhang, Y.; Pan, Y.; Su, X. The mechanism of soil nitrogen transformation under different biocrusts to warming and reduced precipitation: From microbial functional genes to enzyme activity. Sci. Total Environ. 2020, 722, 137849. [Google Scholar] [CrossRef]
- Neemisha; Sharma, S. Soil Enzymes and Their Role in Nutrient Cycling; Varma, A., Giri, B., Giri, B., Kapoor, R., Wu, Q., Wu, Q., Kapoor, R., Varma, A., Eds.; Springer: Singapore, 2022; pp. 173–188. [Google Scholar]
- Huang, Y.; Zhao, Y.; Wang, J.; Zhang, M.; Jia, W.; Qin, X. Ldpe microplastic films alter microbial community composition and enzymatic activities in soil. Environ. Pollut. 2019, 254, 112983. [Google Scholar] [CrossRef]
- Oladele, S.O.; Ojokole, W.; Oladele, B.B. Microplastics in agricultural soil: Polystyrene fragments inhibit soil microbial and enzymatic activities but promote nutrient concentration of Cowpea (Vigna unguiculata). J. Hazard. Mater. Adv. 2023, 10, 100263. [Google Scholar] [CrossRef]
- Zhang, K.; Gao, N.; Li, Y.; Dou, S.; Liu, Z.; Chen, Y.; Ma, C.; Zhang, H. Responses of maize (Zea mays L.) seedlings growth and physiological traits triggered by polyvinyl chloride microplastics is dominated by soil available nitrogen. Ecotox Environ. Safe 2023, 252, 114618. [Google Scholar] [CrossRef]
- Fei, Y.; Huang, S.; Zhang, H.; Tong, Y.; Wen, D.; Xia, X.; Wang, H.; Luo, Y.; Barceló, D. Response of soil enzyme activities and bacterial communities to the accumulation of microplastics in an acid cropped soil. Sci. Total Environ. 2020, 707, 135634. [Google Scholar] [CrossRef] [PubMed]
- Kublik, S.; Gschwendtner, S.; Magritsch, T.; Radl, V.; Rillig, M.C.; Schloter, M. Microplastics in soil induce a new microbial habitat, with consequences for bulk soil microbiomes. Front. Env. Sci. 2022, 10, 989267. [Google Scholar] [CrossRef]
- Ibrahim, M.M.; Chang, Z.; Li, Z.; Joseph, J.; Yusuf, A.A.; Luo, X.; Hou, E. Biochar rate-dependent regulation of extended nitrogen supply by modifying stable aggregates-N and microbial responses. Carbon Res. 2023, 2, 22. [Google Scholar] [CrossRef]
- Tang, Y.; Li, G.; Iqbal, B.; Tariq, M.; Rehman, A.; Khan, I.; Du, D. Soil nutrient levels regulate the effect of soil microplastic contamination on microbial element metabolism and carbon use efficiency. Ecotox Environ. Safe 2023, 267, 115640. [Google Scholar] [CrossRef]
- Li, L.; Song, K.; Yeerken, S.; Geng, S.; Liu, D.; Dai, Z.; Xie, F.; Zhou, X.; Wang, Q. Effect evaluation of microplastics on activated sludge nitrification and denitrification. Sci. Total Environ. 2020, 707, 135953. [Google Scholar] [CrossRef]
Disclaimer/Publisher’s Note: The statements, opinions and data contained in all publications are solely those of the individual author(s) and contributor(s) and not of MDPI and/or the editor(s). MDPI and/or the editor(s) disclaim responsibility for any injury to people or property resulting from any ideas, methods, instructions or products referred to in the content. |
© 2024 by the authors. Licensee MDPI, Basel, Switzerland. This article is an open access article distributed under the terms and conditions of the Creative Commons Attribution (CC BY) license (https://creativecommons.org/licenses/by/4.0/).





