Abstract
Seed vigor is a crucial indicator comprehensively assessing the quality of seeds, reflecting the growth advantage and production potential of seeds, and has a significant effect on seeds’ stress resistance. Identifying and controlling loci related to wheat seed vigor is essential for accelerating genetic trait gains. Here, we performed a large genome-wide association study (GWAS) to identify several significant quantitative trait loci (QTLs) associated with seed vigor-related traits. A total of 404 wheat samples with diverse genetic backgrounds were used as experimental materials. Twenty-eight loci significantly associated with seed vigor-related traits in wheat were identified, distributed on chromosomes 3A, 4A, 5B, 7A, and 7B. Two potential novel loci controlling wheat seed vigor were discovered, with a total of 80 candidate genes associated with seed vigor located on these loci. Among them, TraesCS4A01G020000.1 encodes a late embryogenesis abundant (LEA) protein gene, and TraesCS5B01G298500.1 encodes a helicase gene, both showing specific expression in seeds and highly correlated with seed vigor. Overall, these findings provide valuable insights for the future application of these genes in wheat breeding.
1. Introduction
Wheat is one of the major global cereal crops, with abundant germplasm resources, playing an irreplaceable role in ensuring global food security [1]. Maintaining high yields requires rapid and synchronous seed germination in the field under various environmental conditions, and the performance is related to seed vigor.
Seed vigor refers to the robustness of seeds, including their rapid and uniform germination potential, as well as their growth and production potential [2]; it is not a singular measurable trait but, rather, an abstract, complex composite trait that is closely associated with seed performance. This includes seed germination, seed emergence capacity, and the growth rate and uniformity of seedlings [3,4,5]. During the growth and development of wheat, it is prone to various adverse stresses such as drought, waterlogging, and salt stress, which have a serious negative impact on the emergence and growth of the wheat, ultimately leading to a decrease in wheat yield [6,7,8]. Therefore, in-depth research on seed vigor is of great significance for improving seed germination and emergence capacity, consequently enhancing crop yields.
Seed vigor is a complex quantitative trait, with root length and dormancy characteristics being closely associated with it. Seeds’ germination energy (GE) is related to the trimness of seedling emergence and the germination rate. Seeds’ germination percentage (GP) is related to the seedling emergence rate in the field. The germination percentage after an artificial accelerated aging test (AGP) is closely related to the seed vigor and the storage tolerance. The level of conductivity indicates the magnitude of the permeability of the seeds’ cell membranes, which is negatively correlated with seed vigor. Root length and seedling length indicate the robustness of the seedling. Recent advancements in unraveling the genetic foundations of seed vigor variation have employed genomic methodologies to identify candidate genes aimed at enhancing germination. For example, Zou identified right potentially new QTL positions that may control wheat seed dormancy through QTL mapping and genome-wide association analysis [9]. Under artificial aging conditions, Shi detected a total of 49 additive QTLs for seed vigor-related traits, which were mapped onto 12 chromosomes (1B, 2D, 3A, 3B, 3D, 4A, 4D, 5A, 5B, 5D, 6D, and 7A) in a double-haploid wheat population [10]. Beyer conducted a genome-wide association analysis of wheat root-related traits and identified 48 QTLs associated with root traits, including two QTLs correlated with multiple root-related traits [11]. Dong conducted QTL mapping and epistasis analysis on wheat seed vigor-related traits and identified one major QTL on chromosome 3B. This QTL contributes more than 20% of the phenotype’s germination energy and germination percentage [12]. Zheng conducted a genome-wide association analysis of seed vigor-related traits in a natural population composed of 175 wheat varieties (lines), identifying 20 loci across 13 markers significantly associated with phenotypic traits [13].
This study used 404 wheat samples as research materials and adopted three commonly used seed vigor measurement methods to assess 11 seed vigor-related indicators, combined with the markers on the high-throughput Wheat 660K SNP array, by genome-wide association analysis of their related traits. The goal of this study was to identify vigor-related gene loci, predict candidate genes, provide necessary reference data for breeding plans in various regions, and provide new genetic resources for wheat trait improvement.
2. Materials and Methods
2.1. Materials
The 404 wheat varieties used in this study were provided by Northwest Agriculture and Forestry University (detailed genotyping data can be found on the following website: https://resource.iwheat.net/PWGBD/; accessed on 14 December 2023). The test materials consisted of 220 varieties from the ten major wheat-producing regions in China and 184 collected from worldwide. The varieties were planted in Wenjiang, Sichuan during the 2019–2020 (E1) and 2020–2021 (E2) growing seasons (N: 30°43′2″ E: 103°52′4″), and in Xi’an, Shanxi during the 2020–2021 (E3) growing season (N: 34°17′49″ E: 108°04′26″). In the E1 environment, the average high temperature is 20 °C, the average low temperature is 13 °C, and the total rainfall is 1107.8 mm. In the E2 environment, the average high temperature is 22 °C, the average low temperature is 15 °C, and the total rainfall is 801.4 mm. In the E3 environment, the average high temperature is 22 °C, the average low temperature is 11 °C, and the total rainfall is 573.8 mm. The test materials were planted in ten rows, with row spacing at 30 cm and plant spacing at 20 cm. The field management model referred to the wheat yield comparison experiment. After harvesting, the test materials were stored in a −20 °C freezer and dislodged as needed during the experiments.
2.2. Standard Germination Test
Following the standard germination test method outlined in “Seed Science”, edited by Hu Jin [14], ten randomly selected seedlings with uniform and vigorous growth were chosen for each variety, with three repetitions. The measurement methods for each seed vigor-related indicator were as follows:
where Gt is the number of germinations per day, Dt is the number of days corresponding to Gt, and S is the seedling length at the end of germination.
Germination energy (GE) = (number of seeds germinated on the 3rd
day/number of test seeds) × 100%
day/number of test seeds) × 100%
Germination percentage (GP) = (number of seeds germinated on the 7th
day/number of test seeds) × 100%
day/number of test seeds) × 100%
Germination index (GI) = ∑ (Gt/Dt)
Vitality index (VI) = GI × S
Simplified vitality index (SVI) = GP × S
2.3. Artificial Accelerated Aging Test
The aging acceleration test steps refer to “Seed Science”, edited by Hu Jin [14]. Wheat seeds were artificially aged at a temperature and relative humidity of 40 °C and 95%, respectively, for a duration of 72 h. After aging, the seeds were tested according to the standard germination test. The calculation method was the same as the standard germination test method, obtaining the germination energy (AGE), germination percentage (AGP), germination index (AGI), vitality index (AVI), and simplified vitality index (ASVI) after the accelerated aging test.
2.4. Electrical Conductivity Measurement
Following the recommended method in the International Seed Testing Association (ISTA, 2020) guidelines, electrical conductivity was determined. Twenty-five randomly selected seeds were measured, with three repetitions for each variety.
Seed electrical conductivity (EC) = [conductivity of soaking solution (µS/cm) − initial conductivity (µS/cm)]/seed sample weight (g).
2.5. GWAS Analysis and Data Processing
GWAS analysis was performed using TASSEL 5.0 software, and figures were plotted using GraphPad Prism 8. According to the GWAS results, we located the physical location information of extremely significant single-nucleotide polymorphism (SNP) loci of high repeatability. We searched for all genes and their gene annotations within the candidate interval in Wheat Omics 1.0. After organizing the data, we identified candidate genes related to traits based on annotation information. The standardization of data, analysis of variance (ANOVA), descriptive statistics, and figure plotting were performed using SPSS 26.0.
2.6. Candidate Gene Analysis
A 100 bp sequence of the bread wheat genome (IWGSC (RefSeq v1.0)) was extracted from the Ensemble Plants database (http://plants.ensembl.org/index.html (accessed on 14 December 2023)). The role of the identified putative candidate genes related to seed vigor was determined based on previous reports. Genes located within the regions of overlap and in the 1 Mb upstream and downstream flanking regions of the aligned segments were designated as candidate genes, and their molecular functions were ascertained. Subsequently, their expression profiles were examined via the Wheat Expression database (http://www.wheat-expression.com/ (accessed on 14 December 2023)).
3. Results
3.1. Variability Analysis of Wheat Seed Vigor-Related Traits under Different Experimental Conditions
3.1.1. Statistical Analysis of Wheat Seed Vigor-Related Traits
Descriptive statistical analyses were conducted on 11 seed vigor-related traits measured under the standard germination test conditions in three environments: Wenjiang Experimental Base (E1, E2), and Xi’an Experimental Base (E3). The results show that under standard germination test conditions, the average values of GE, GP, GI, VI, and SVI in E3 were higher than those in the other two environments, with coefficients of variation ranging from 9.93% to 22.76% (Table 1). In E1, the average values of the germination indices were higher than those in E2, with coefficients of variation ranging from 18.58% to 33.44%. In E2, the coefficient of variation for each seed vigor-related trait ranged from 25.15% to 34.58%.
Table 1.
Descriptive statistics of seed vigor-related traits under each germination test condition.
Under artificial accelerated aging conditions, the average values of AGE, AGP, AGI, AVI, and ASVI in E2 were higher than those in the other two environments, with coefficients of variation ranging from 36.89% to 48.62%. In E3, the average values of each seed vigor-related trait were higher than those in E1, with coefficients of variation ranging from 47.67% to 66.41%. The coefficients of variation for seed vigor-related traits in E1 ranged from 72.45% to 91.16%. In the measurement of wheat seeds’ electrical conductivity in the three environments, the average conductivity in E2 was 26.19 (µS/cm), higher than in E1 (22.71 µS/cm) and E3 (19.93 µS/cm). The coefficients of variation showed that E2 had greater variability than E1, while E3 had the smallest coefficient of variation. These results indicate a wide genetic variation in the seed vigor-related traits of the population under different environmental conditions.
3.1.2. Analysis of Variance for Wheat Seed Vigor-Related Traits
Variance analysis was conducted on the seed vigor traits under various experimental conditions in the three environments. The results indicate that the environmental effects, variety effects, and the interaction effect of variety and environment on seed vigor-related traits all reached extremely significant levels (Table 2). This suggests that the seed vigor traits of this population are simultaneously influenced by both environmental factors and genetic variations between different varieties.
Table 2.
Analysis of variance (ANOVA) for traits related to seed vigor.
3.1.3. Correlation Analysis of Wheat Seed Vigor-Related Traits
Based on the standard germination test, a correlation analysis was conducted on the seed vigor-related trait indicators under three ecological conditions over two years. The results showed that there was extremely significant positive correlation among the germination energy, germination percentage, germination index, vitality index, and simplified vitality index (Table 3). Under standard germination test conditions, all five vigor correlation indicators can reflect the level of seed vigor. The higher the germination energy, germination percentage, germination index, vitality index, and simple vitality index, the higher the seed vitality.
Table 3.
Correlation analysis of wheat seed vigor traits under standard germination test conditions.
Based on the artificial accelerated aging test, a correlation analysis was conducted on seed vigor-related trait indicators under three ecological conditions over two years. The results also showed that there was extremely significant positive correlation among germination energy, germination percentage, germination index, vitality index, and simplified vitality index (Table 4). This indicates that under the conditions of the artificial accelerated aging test, all five vigor correlation indicators can reflect the level of seed vigor. The higher the germination energy, germination percentage, germination index, vitality index, and simple vitality index, the higher the seed vigor. Conversely, the lower the aforementioned variables, the lower the seed vigor.
Table 4.
Correlation analysis of wheat seed vigor traits under artificial accelerated aging test conditions.
Correlation analysis was conducted on the electrical conductivity and seed vigor-related indicators of wheat seeds under conductivity measurement in three ecological conditions over two years. The results showed that under the three ecological conditions, the electrical conductivity and seed vigor-related indicators all showed extremely significant negative correlation (Table 5). This indicates that the electrical conductivity of wheat seeds can reflect the level of seed vigor. The lower the electrical conductivity of seeds, the higher the seed vigor, and vice versa.
Table 5.
Correlation analysis between the electrical conductivity and vigor of wheat seeds.
3.2. GWAS Analysis to Identify Seed Vigor-Related Genes
3.2.1. Genome-Wide Association Analysis of Traits under Standard Germination Test Conditions
Using a set of 137,996 SNP molecular markers covering the whole genome, a GWAS was conducted on five seed vigor-related traits measured under standard germination test conditions. Under a significance threshold of P ≥ 3.00, a total of 102 SNP trait associations were detected (Table 6), involving 10 loci distributed on chromosomes 2B, 3A, 4A, 5B, 7A, and 7B, with individual phenotypic contribution rates ranging from 2.87% to 4.38%.
Table 6.
SNP sites related to vigor traits under standard germination test conditions.
Two SNP loci were associated with GE, located on chromosomes 7A and 7B. These loci were simultaneously detected in both E3 and E1, explaining phenotypic variations of 3.42–3.77% and 3.34–3.64%, respectively.
Three SNP loci were associated with GP, located on chromosome 3A (simultaneously detected in E3 and E2, explaining 2.92–3.26% of phenotypic variation), chromosome 7A (simultaneously detected in E3, E2, and E1, explaining 3.09–4.38% of phenotypic variation), and chromosome 7B (simultaneously detected in E2 and E1, explaining 3.40–4.01% of phenotypic variation).
Two SNP loci were associated with GI, located on chromosome 2B (simultaneously detected in E3 and E2, explaining 2.87–3.43% of phenotypic variation) and chromosome 7B (simultaneously detected in E2 and E1, explaining 3.10–3.49% of phenotypic variation).
Two SNP loci were associated with SVI, located on chromosome 4A (simultaneously detected in E3 and E1, explaining 3.10–3.71% of phenotypic variation) and chromosome 5B (simultaneously detected in E2 and E1, explaining 3.10–3.91% of phenotypic variation).
One SNP locus was detected in both the E1 and E2 environments, associated with GE, GP, and GI, located on chromosome 7B, explaining 3.10–4.01% of phenotypic variation.
3.2.2. Genome-Wide Association Analysis of Traits under Artificial Accelerated Aging Test Conditions
The GWAS was conducted on five traits measured under accelerated aging test conditions, detecting a total of 72 SNP trait associations (Table 7) involving 12 loci distributed on chromosomes 1A, 1B, 2A, 2B, 3D, 5A, 6A, and 7B, with individual phenotypic contribution rates ranging from 2.88% to 4.50%.
Table 7.
SNP sites related to vigor traits under artificial accelerated aging test conditions.
One SNP locus was associated with AGE, located on chromosome 1A and simultaneously detected in both E3 and E2, explaining 3.01–3.73% of phenotypic variation.
One SNP locus was associated with AGP, located on chromosome 2A and simultaneously detected in both E3 and E2, explaining 3.07–3.76% of phenotypic variation.
Four SNP loci were associated with AVI, located on chromosome 1B (simultaneously detected in E3 and E1, explaining 2.88–3.29% of phenotypic variation), chromosome 3D (simultaneously detected in E2 and E1, explaining 3.22–3.45% of phenotypic variation), chromosome 6A (simultaneously detected in E2 and E1, explaining 3.10–3.17% of phenotypic variation), and chromosome 7B (simultaneously detected in E2 and E1, explaining 3.13–3.44% of phenotypic variation).
Five SNP loci were associated with ASVI, located on chromosome 1B (simultaneously detected in E2 and E1, explaining 3.11–3.64% of phenotypic variation), chromosome 2B (simultaneously detected in E2 and E1, explaining 3.02–3.97% of phenotypic variation), chromosome 5A (simultaneously detected in E3 and E2, explaining 3.06–3.16% of phenotypic variation), and chromosome 7B (simultaneously detected in E2 and E1, explaining 3.10–3.79% of phenotypic variation).
One SNP locus was simultaneously associated with both AVI and ASVI, located on chromosome 7B and simultaneously detected in E2 and E1, explaining 3.10–3.79% of phenotypic variation.
3.2.3. Genome-Wide Association Analysis of Electrical Conductivity
A genome-wide association study was carried out on electrical conductivity, where a total of 47 SNP trait associations (Table 8) detecting six loci distributed on chromosomes 1B, 4A, 5A, and 5B, with individual phenotypic contribution rates ranging from 2.85% to 4.17%.
Table 8.
Conductivity test conditions and conductivity-related SNP sites.
The locus located on chromosome 1B was simultaneously detected in both E3 and E2, explaining 2.90–3.14% of phenotypic variation. Another locus located on chromosome 1B was simultaneously detected in both E3 and E1, explaining 2.85–3.20% of phenotypic variation. The locus located on chromosome 4A was simultaneously detected in both E3 and E1, explaining 3.12–3.24% of phenotypic variation. The locus located on chromosome 5A was simultaneously detected in both E3 and E2, explaining 2.85–3.93% of phenotypic variation. Another locus located on chromosome 5A was simultaneously detected in both E3 and E2, explaining 3.08–3.61% of phenotypic variation. The locus located on chromosome 5B was simultaneously detected in both E2 and E1, explaining 3.27–4.17% of phenotypic variation.
3.2.4. Candidate Genes for Seed Vigor-Related Traits
Based on the Chinese Spring 1.0 reference genome, candidate genes were searched within a range of 1.92 Mb upstream and downstream of nine stable and significant SNP loci (Table 9), and 296 candidate genes were found. These genes are primarily distributed on chromosomes 3A (91 genes), 4A (53 genes), 5B (27 genes), 7A (41 genes), and 7B (84 genes). The candidate genes are predominantly associated with proteins and enzymes, including F-box family proteins, domain proteins, disease resistance proteins, transmembrane proteins, zinc finger proteins, cytochromes, E3 ubiquitin-protein ligases, zinc metalloproteinases, helicases, reverse transcriptases, polymerases, and transferases, among others. Based on gene annotation, these genes are mainly associated with plants’ disease resistance, stress tolerance, and seed quality.
Table 9.
Stable SNPs associated with seed vigor.
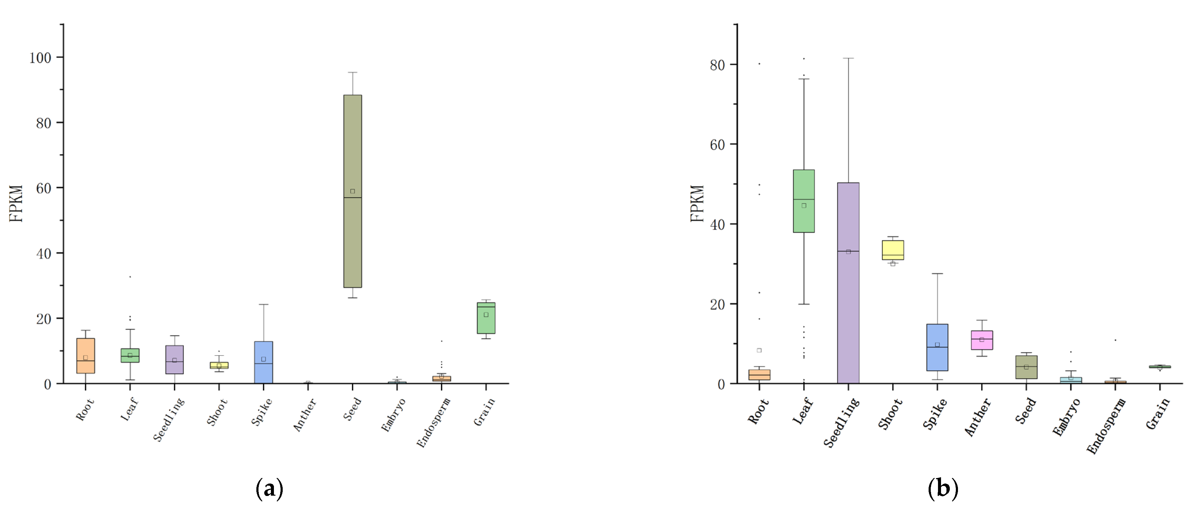
We focused on the potential new locus 7B. Tissue-expression-specific analysis showed that TraesCS7B01G412100.1 (Figure 1) is expressed mainly in seeds and encodes calmodulin, which is involved in Ca2+ signaling and responds positively to a range of environmental stresses and hormonal signals; TraesCS7B01G412200.1 (Figure 1) exhibits high expression levels in leaves and seedlings, encoding a PsbP family protein associated with photosystem II in plant photosynthesis; TraesCS7B01G412400.1 (Figure 2) shows significantly higher expression in seeds than in other tissues, encoding a DNA polymerase involved in DNA synthesis, damage repair, and related processes.
Figure 1.
(a) TraesCS7B01G412100.1 expression; (b) TraesCS7B01G412200.1 expression.
Figure 2.
TraesCS7B01G412400.1 expression.
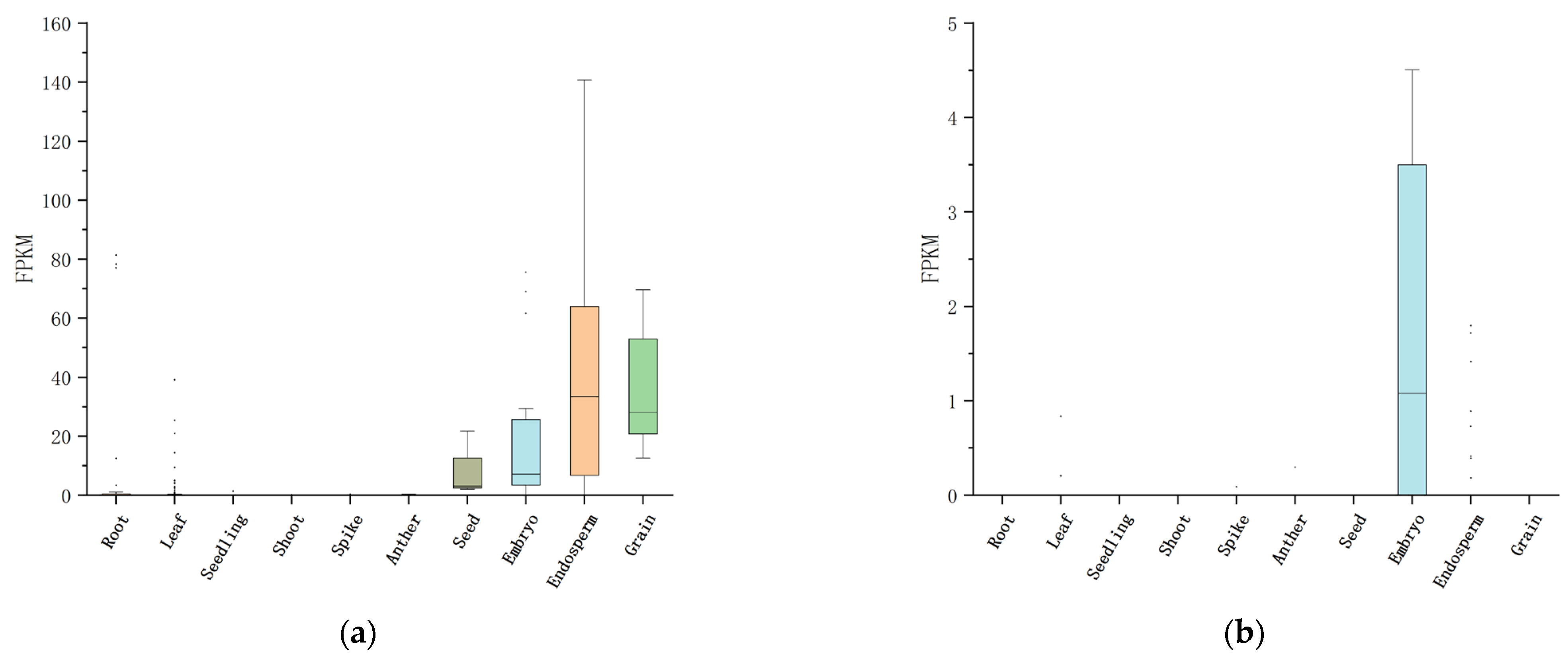
The nine SNP loci associated with seed vigor-related traits detected in this experiment are distributed on chromosomes 3A (one locus), 4A (one locus), 5B (one locus), 7A (two loci), and 7B (four loci). Among these, the SNP loci on 4A (one locus) and 5B (one locus) have not been previously reported, suggesting that these two loci may be novel SNP loci associated with seed vigor. A total of 80 candidate genes related to seed vigor were detected at these two SNP loci (Supplementary Table S1), with 53 genes identified at the 4A locus and 27 genes at the 5B locus. Tissue-specific expression analysis indicated that TraesCS4A01G020000.1 (Figure 3) exhibits higher expression levels in endosperm than in other tissues, encoding a late embryogenesis abundant (LEA) protein that actively responds to environmental stresses such as drought and salinity. TraesCS5B01G298500.1 (Figure 3) shows specific expression in the embryo, encoding a helicase enzyme involved in the plant’s DNA replication process.
Figure 3.
(a) TraesCS4A01G020000.1 expression; (b) TraesCS5B01G298500.1 expression.
4. Discussion
4.1. Determination of Seed Vigor-Related Traits
Seed vigor is a complex trait that is related to aging tolerance, viability, rapid germination, and seedling establishment, especially under stress conditions. These traits are influenced by both environmental and genetic factors; they cannot be evaluated by one or several indicators. Among the seed vigor-related traits, germination energy is the number of seeds that can germinate normally within a specified date as a percentage of the seeds supplied for the test at the beginning of the germination test. High germination energy of seeds indicates high vitality and consistent emergence of seedlings. The germination percentage is defined as the percentage of all normal germinated seeds within the time specified in the germination test to the seeds supplied for the experiment, which is an index to judge the germinability of seeds. Seeds with high vigor may emerge uniformly and robustly, but seeds with high germination energy or a high germination percentage may not necessarily do the same. The germination index mainly evaluates seed quality and germination ability through germination speed. The vitality index is a comprehensive reflection of the seed germination rate and growth amount, indicating the growth potential of seeds. Under aging conditions, these indicators can reflect the vigor of seeds under storage or environmental stress. All of these indicators reflect the level of seed vigor from different aspects to some extent, and it is necessary to integrate these indicators to consider seed vigor.
Seed vigor varied greatly between the two environments of Xi’an and Wenjiang, suggesting that there were significant effects of environmental factors in addition to the genotypic effects on seed vigor. Previous studies showed that light intensity, sunshine duration, precipitation, temperature, and other indicators had significant effects on seed vigor-related traits. The seed vigor-related traits in this study showed that seed vigor in the Xi’an environment was generally higher than the in Wenjiang environment. This could be attributed to the lower air humidity making the Xi’an environment preferable to promote the synthesis of substances in wheat seeds. In contrast, the higher air humidity in the Wenjiang environment, with weaker transpiration, hinders the outward diffusion of moisture, affecting the synthesis of substances in seeds and resulting in lower seed vigor.
4.2. QTL Mapping of Seed Vigor-Related Traits
The correlation analysis showed that seed vigor-related traits such as the germination energy, germination percentage, germination index, vitality index, and simplified vitality index can all reflect the level of seed vigor. Comparing the nine stable loci obtained from the genome-wide association analysis in this study with previous results, some reported marker loci were found to be located in the same positions in this study. The SNP locus 11.350165–12.781485, located on chromosome 3A, was 0.57 Mb away from the locus 13.351271 on chromosome 3A reported by Zhang [15]. The SNP locus 733.665462–734.156444, located on chromosome 7A, was 2.55 Mb away from the locus 736.71 on chromosome 7A found by Danakumara [16], which was associated with wheat seedling length. The SNP loci 724.086225–724.137239 and 722.166225–722.217239, located on chromosome 7A, were 1.79 Mb away or partially overlapped with the loci 725.928193 and 722.598631–725.928193 on chromosome 7A reported by Kuni [17], which were related to salt tolerance during the germination period of wheat seeds. The SNP locus 680.066797–680.280913 on chromosome 7B was the same as the locus 680.171220 on chromosome 7B in the study by Khodaee [18], and this locus was associated with root traits. Seed vigor has a direct impact on seedling emergence, seedling length, and stress resistance. High-vigor seeds usually contain abundant nutrients, which can provide sufficient nutrition for the growth of seedlings, making them more robust and giving them stronger growth ability under adverse environmental conditions [19]. Seed vigor is also one of the important factors affecting yield. High-vigor seeds have significant growth advantages and production potential [20]. Seed vigor directly affects the quality of seedling emergence and is closely related to seedling root length, root dry and fresh weight, and other root traits [21]. This evidence is sufficient to show that the above seed vigor-related traits can reflect the level of seed vigor.
4.3. Functional Analysis of Candidate Genes for Seed Vigor
At the two newly discovered SNP loci, a total of 80 candidate genes related to seed vigor were detected, mainly associated with the simple vitality index.
Candidate genes such as TraesCS4A01G019200.1 and TraesCS4A01G020200.1, encoding F-box family proteins, are widely present in animals, plants, and humans, serving as crucial components of E3 ubiquitin ligase complexes [22]. E3 ubiquitin ligase determines the specificity of UPS (ubiquitin–proteasome system) in recognizing target substrates. The UPS system can recognize and remove a large number of non-functional and abnormal proteins in biological cells under abiotic stress, which can effectively modify the plant’s protein profile, improve the adaptability of plants to adversity, enhance the seedling emergence ability and seed robustness under adverse conditions and, thus, increase seed vigor [23]. TraesCS4A01G014800LC.1, encoding a calcium-binding family protein, is involved in regulating the homeostasis of calcium ions and various calcium ion signaling pathways [24]. The calcium ion signaling pathway not only regulates a series of physiological activities in plants, but also is one of the main pathways for plants to respond to environmental stress, which plays an important role in regulating the ability of seed growth and emergence, as well as the ability to grow in adverse environments, and has a significant effect on seed vigor [25]. TraesCS5B01G299500.1, encoding the ATP-dependent zinc metalloprotease filamentation temperature-sensitive H (FtsH), possesses both protease and molecular chaperone activities. It can mediate the degradation and repair of membrane proteins in bacteria, mitochondria, and chloroplasts, making it indispensable for the normal execution of the functions of the mitochondria and chloroplasts of higher plants, and it plays an important role in the plant’s stress resistance [26]; therefore, it is also closely related to the enhancement of seed vigor. TraesCS5B01G465900LC.1, encoding glutathione S-transferase (GSTs), functions as a carrier for transporting plant chemicals, regulating signal transduction processes, maintaining the redox homeostasis of cells, and regulating programmed cell aging. In the face of adverse conditions such as pathogen attacks, drought, and salt stress, GSTs protect organisms from damage caused by stress [27], playing an important role in the maintenance of seed vigor of plants in poor soil environmental conditions.
High-vigor seeds tend to be more resilient and better able to adapt to various unfavorable environments, maintaining high germination rates and seedling robustness, and the functions of these candidate genes play important regulatory roles in seed resistance. Therefore, it is hypothesized that the expression of these genes in high-vigor seeds has a certain degree of influence on the enhancement of the seeds’ stress resistance, which provides a certain degree of reference for the problem of environmental stresses.
The functions of other candidate genes for seed vigor-related traits obtained in this study are mainly related to plants’ stress resistance, disease resistance, photosynthesis, nucleic acid metabolism, and various regulatory mechanisms during growth and development, which regulate seed vigor-related traits in wheat and are of great significance to the enhancement of seed vigor in wheat. These genes require further extensive research to validate their genetic mechanisms in seed vigor.
5. Conclusions
In this study, 404 wheat samples were used as research materials to evaluate seed vigor. A GWAS analysis was conducted to identify vigor-related gene loci, predict candidate genes, provide necessary reference data for breeding plans in various regions, and provide new genetic resources for wheat trait improvement. A total of 28 SNP loci were detected, with nine stable loci involving 296 related candidate genes. This provides a reference for further research on seed vigor. Five tissue-specifically expressed genes were selected, mainly associated with calcium-binding proteins, PsbP family proteins, DNA polymerase, LEA proteins, helicases, and other functions. These genes are mainly specifically expressed in tissues closely related to seeds and seedlings, proving their close relationship with seed vigor. Two previously unreported SNP loci on chromosomes 4A (one locus) and 5B (one locus) were identified, involving 80 candidate genes related to seed vigor. Future research could further investigate the functions and regulatory mechanisms of genes that control seed vigor-related traits during seed growth and development. By exploring the functions of these genes, we can develop more effective screening and cultivation methods to improve seed vigor and quality.
Supplementary Materials
The following supporting information can be downloaded at: https://www.mdpi.com/article/10.3390/agronomy14030410/s1, Table S1: Candidate genes related to seed vigor in wheat in this study.
Author Contributions
Conceptualization, Z.P.; methodology, Z.L. (Zihui Liu) and X.Z.; software, Y.L. (Yang Li); validation, Y.Z. and Y.L. (Yao Lai); formal analysis, Y.W. and Z.L. (Zhi Li); investigation, Z.L. (Zhi Li), B.S. and Y.W.; data curation, Y.L. (Yao Lai), Q.W. and Y.Z.; visualization, Q.W. and B.S.; project administration, Y.L. (Yang Li) and Z.P.; supervision, Z.P.; resources, X.Z. and Z.L. (Zihui Liu); writing—original draft preparation, B.S.; writing—review and editing, Q.W. All authors have read and agreed to the published version of the manuscript.
Funding
This research was funded by the Chengdu Key R&D Support Plan (2022-YF05-00695-SN) and the School Enterprise Cooperation Plan (2022-XQHZ-07092).
Data Availability Statement
Data are contained within the article or Supplementary Materials.
Conflicts of Interest
The author X.Z. was employed by the company Chengdu Juannong Intelligent Agriculture Technology Development Co., Ltd. The remaining authors declare that this research was conducted in the absence of any commercial or financial relationships that could be construed as potential conflicts of interest.
References
- Yang, M.; Yang, Z.; Yang, W.; Yang, E. Genetic Diversity Assessment of the International Maize and Wheat Improvement Center and Chinese Wheat Core Germplasms by Non-Denaturing Fluorescence In Situ Hybridization. Plants 2022, 11, 1403. [Google Scholar] [CrossRef]
- Association of Official Seed Analysts. Seed Vigor Testing Handbook; Association of Official Seed Analysts: Lincon, OR, USA, 1983. [Google Scholar]
- Rajjou, L.; Duval, M.; Gallardo, K.; Catusse, J.; Bally, J.; Job, C.; Job, D. Seed germination and vigor. Annu. Rev. Plant Biol. 2012, 63, 507–533. [Google Scholar] [CrossRef]
- Tai, G.; Ba, R. A simple method to determine amino acid leakage and germination capabilities from single radish (Raphanus sativus L.) and Chinese cabbage (Brassica rapa ssp. pekinensis) seeds. Hortic. Environ. Biotechnol. 2013, 54, 249–256. [Google Scholar]
- Finch-Savage, W.; Bassel, G. Seed vigour and crop establishment: Extending performance beyond adaptation. J. Exp. Bot. 2016, 67, 567–591. [Google Scholar] [CrossRef]
- Ding, J.; Su, S.; Zhang, Y.; Li, C.; Zhu, X.; Guo, W. Seedling Growth and Recovery in Response to Waterlogging of Wheat Cultivars Grown in the Yangtze River Basin of China from Three Different Decades. J. Agric. Sci. 2017, 9, 128. [Google Scholar] [CrossRef][Green Version]
- Akhtar, N.; Ilyas, N.; Arshad, M.; Meraj, T.A.; Hefft, D.I.; Jan, B.L.; Ahmad, P. The Impact of Calcium, Potassium, and Boron Application on the Growth and Yield Characteristics of Durum Wheat under Drought Conditions. Agronomy 2022, 12, 1917. [Google Scholar] [CrossRef]
- Fu, Y.; Li, P.; Mounkaila, H.; Wan, S.; Gao, Y.; Wang, X. Effects of Single and Combined Drought and Salinity Stress on the Root Morphological Characteristics and Root Hydraulic Conductivity of Different Winter Wheat Varieties. Plants 2023, 12, 2694. [Google Scholar] [CrossRef]
- Zuo, J.; Liu, J.; Gao, F.; Yin, G.; Wang, Z.; Chen, F.; Li, X.; Xu, J.; Chen, T.; Li, L.; et al. Genome-wide linkage mapping reveals qtls for seed vigor-related traits under artificial aging in common wheat (Triticum aestivum). Front. Plant Sci. 2018, 9, 1101. [Google Scholar] [CrossRef]
- Shi, H.; Guan, W.; Shi, Y.; Wang, S.; Fan, H.; Yang, J.; Chen, W.; Zhang, W.; Sun, D.; Jing, R. QTL mapping and candidate gene analysis of seed vigor-related traits during artificial aging in wheat (Triticum aestivum). Sci. Rep. 2020, 10, 22060. [Google Scholar] [CrossRef]
- Beyer, S.; Iwgsc; Daba, S.; Tyagi, P.; Bockelman, H.; Brown-Guedira, G.; Mohammadi, M. Loci and candidate genes controlling root traits in wheat seedlings—A wheat root GWAS. Funct. Integr. Genom. 2019, 19, 91–107. [Google Scholar] [CrossRef]
- Dong, Z. Molecular Characterization of Tamyb10-1 Genes and QTL Mapping and Genome-Wide Association Analysis of Seed Vigor Related Traits in Wheat; Henan Agricultural University: Zhengzhou, China, 2018. (In Chinese) [Google Scholar]
- Zheng, Y. Association Mapping and Analysis of Combining Ability of Seed Vigor Traits in Wheat; Northwest A&F University: Xianyang, China, 2016. (In Chinese) [Google Scholar]
- Hu, J.; Zhang, H. Seed Science; Science Press: Beijing, China, 2016. [Google Scholar]
- Zhang, H. 152 Synthetic Wheat Yield-Related Traits Genome-Wide Association Study; Shanxi University: Taiyuan, China, 2019. (In Chinese) [Google Scholar]
- Danakumara, T.; Kumari, J.; Singh, A.K.; Sinha, S.K.; Pradhan, A.K.; Sharma, S.; Jha, S.K.; Bansal, R.; Kumar, S.; Jha, G.K.; et al. Genetic dissection of seedling root system architectural traits in a diverse panel of hexaploid wheat through multi-locus genome-wide association mapping for improving drought tolerance. Int. J. Mol. Sci. 2021, 22, 7188. [Google Scholar] [CrossRef]
- Turhan, K. Genome-Wide Correlation and Linkage Analysis of Salt Tolerance in Wheat Seed Germination; Xinjiang Agricultural University: Urumqi, China, 2020. (In Chinese) [Google Scholar]
- Khodaee, S.M.M.; Hashemi, M.; Mirlohi, A.; Majidi, M.M.; Sukumaran, S.; Moghaddam, M.E.; Abdollahi, M. Root characteristics of an elite spring wheat panel under contrasting water treatments and their genome-wide association study. Rhizosphere 2021, 19, 100413. [Google Scholar] [CrossRef]
- Tavares, L.C.; Rufino, C.A.; Tunes, L.M.; Trzeciak, M.B.; Pino, M.; Barros, A.C.S.A. Initial Growth of Soybean Plants from Seeds of High and Low Vigor Subjected to Water Stress. J. Agric. Sci. 2012, 4, 246. [Google Scholar] [CrossRef]
- Chen, L.T.; Sun, A.Q.; Yang, M.; Chen, L.L.; Ma, X.L.; Li, M.L.; Yin, Y.P. Seed Vigor Evaluation Based on Adversity Resistance Index of Wheat Seed Germination under Stress Conditions. Chin. J. Appl. Ecol. 2016, 27, 2968–2974. (In Chinese) [Google Scholar]
- De Oliveira, I.C.; Rego, C.H.Q.; Cardoso, F.B.; Zuffo, A.M.; Cândido, A.C.d.S.; Alves, C.Z. Root Protrusion in Quality Evaluation of Chia Seeds. Rev. Caatinga 2019, 32, 282–287. [Google Scholar] [CrossRef]
- Hong, M.; Kim, J.; Seo, Y.; Kim, D. F-Box Genes in the Wheat Genome and Expression Profiling in Wheat at Different Developmental Stages. Genes 2020, 11, 1154. [Google Scholar] [CrossRef]
- Stone, S. The role of ubiquitin and the 26S proteasome in plant abiotic stress signaling. Front. Plant Sci. 2014, 5, 135. [Google Scholar] [CrossRef]
- Yu, Q.; Liu, Y.-L.; Sun, G.-Z.; Liu, Y.-X.; Chen, J.; Zhou, Y.-B.; Chen, M.; Ma, Y.-Z.; Xu, Z.-S.; Lan, J.-H. Genome-Wide Analysis of the Soybean Calmodulin-Binding Protein 60 Family and Identification of GmCBP60A-1 Responses to Drought and Salt Stresses. Int. J. Mol. Sci. 2021, 22, 13501. [Google Scholar] [CrossRef]
- Ali, E.; Raza, M.A.; Cai, M.; Hussain, N.; Shahzad, A.N.; Hussain, M.; Ali, M.; Bukhari, S.A.H.; Sun, P. Calmodulin-binding transcription activator (CAMTA) genes family: Genome-wide survey and phylogenetic analysis in flax (Linum usitatissimum). PLoS ONE 2020, 15, e0236454. [Google Scholar] [CrossRef]
- Li, M.; Zhu, X.; Yu, Q.; Yu, A.; Chen, L.; Kang, J.; Wang, X.; Yang, T.; Yang, Q.; Long, R. FtsH proteases confer protection against salt and oxidative stress in Medicago sativa L. Plant Sci. 2023, 338, 111915. [Google Scholar] [CrossRef]
- Cao, Q.; Lv, W.; Jiang, H.; Chen, X.; Wang, X.; Wang, Y. Genome-wide identification of glutathione S-transferase gene family members in tea plant (Camellia sinensis) and their response to environmental stress. Int. J. Biol. Macromol. 2022, 205, 749–760. [Google Scholar] [CrossRef]
Disclaimer/Publisher’s Note: The statements, opinions and data contained in all publications are solely those of the individual author(s) and contributor(s) and not of MDPI and/or the editor(s). MDPI and/or the editor(s) disclaim responsibility for any injury to people or property resulting from any ideas, methods, instructions or products referred to in the content. |
© 2024 by the authors. Licensee MDPI, Basel, Switzerland. This article is an open access article distributed under the terms and conditions of the Creative Commons Attribution (CC BY) license (https://creativecommons.org/licenses/by/4.0/).


