Abstract
To elucidate the variation characteristics of nitrogen (N), phosphorus (P), and potassium (K) content and accumulation in cotton at different yield levels, a two-year experiment was conducted using cotton variety Lumianyan 24 under four N treatments (506, 402.5, 299, and 195.5 kg ha−1, designated as N1, N2, N3, and N4, respectively). The four P and K fertilization ratios were (PK-M1, 25% P and K applied at squaring stage (SS) and 75% at the bloom-bolling stages (BS)), 50%:50% (PK-M2, 50% P and K applied at each stage), 75%:25% (PK-M3, 75% P and K applied at SS and 25% at the BS) and 100%:0% (PK-M4, total P and K applied at SS). The results showed that the N content (Nc), P content (Pc), and K content (Kc) of cotton plants at high yield levels were 23.3%, 44.2%, and 31.6% higher than those at low yield levels. In addition, the reproductive organs maintained higher Pc and Kc at high yield levels, and the Nc, Pc, and Kc exhibited positive linear correlations with yield, while Nc/Pc, Nc/Kc, and Kc/Pc had significant negative correlations with yield. In conclusion, seed cotton yield was mainly limited by Nc at low yield levels and affected by Pc and Kc at high yield levels. Then, when 0.85 < Nc/Kc < 1.0 at the full squaring stage (FS), 0.8 < Nc/Kc < 1.0 at the full flowering stage (FF), 4.3 < Nc/Pc < 6.7 at the early-full bolling stage (EFB) and 4.9 < Nc/Pc < 7.1 at the late-full bolling stage (LFB), there is a high yield potential of 7000–9000 kg ha−1. Furthermore, yields can be improved by reducing the application of N during the growing period and increasing the application of P fertilizer during the later growth period.
1. Introduction
Cotton (Gossypium hirsutum L.) is one of the most widely grown crops in China, and is vital for the region’s economic development and food security [1,2]. Fertilizers, including nitrogen (N), phosphorus (P), and potassium (K), are excessively applied by farmers to obtain higher yields and quality of cotton [3,4,5]. The application of fertilizers in China is 2.1-fold higher than the international standard application quantity, leading to lower soil fertility, higher production costs, and environmental pollution [6,7,8,9]. Thus, achieving high yield potential with limited fertilizer input is a challenge for sustainable agriculture.
Rational fertilization management can reduce production costs without reducing yields [5,10], but the variation in N, P, and K content of cotton at different yield levels during critical growth stages remains to be studied. Research has demonstrated that N, P, and K contents and accumulation could provide a reliable evaluation of the crop growth conditions and yield predictions [11,12]. Several studies have used unmanned aerial vehicles, satellite remote sensing [13,14,15], machine vision, and neural networks to monitor the nutritional status of crops [16,17]. However, the above studies mainly focused on the methods and platforms without considering that the different nutrient distribution leads to different cotton yields. Furthermore, studies on the changes in nutritional status and threshold ranges under different yield levels are rarely discussed. Therefore, exploring the nutrient distribution and content thresholds of N, P, and K in cotton at high-yield levels is a guide to transforming low-yielding fields into high-yielding ones.
The N to P ratio (N/P), N to K ratio (N/K), and K to P ratio (K/P) in plants could be potential indicators of nutrient availability [18] and also can be used to determine which element is a limited factor for the plant at certain growth stage, providing reasonable fertilization measures for improving crop yield and quality [19]. Koerselman and Meuleman verified that N/P greater than 16 was limited by P, N/P less than 14 was limited by N, and N/P between 14 and 16 was limited by both N and P [20]. However, Güsewell suggested using N/P greater than 20 and less than 10 as criteria for evaluating the N and P limitation of the plant [21]. Some studies have shown that high N/K increases plant biomass, affects biomass accumulation and distribution, and accelerates leaf senescence and mortality [22]. Moreover, the K/P in plants can reflect the relative utilization and effectiveness of K and P and predict deficiencies of K and P [18]. Most studies considered single elements of N, P, and K, neglecting the interaction between different nutrients [23]. A few researchers have studied different N, P, and K fertilizer management simultaneously, but only for application rate treatments [24], and have not involved different N levels in combination with P and K application ratios. Especially for drip-irrigated cotton, there are some research limitations on the combination of N, P, and K management to estimate cotton nutrient requirements and predict yield potential.
Thus, this experiment focused on the interactive effects between N, P, and K fertilizers and considered four different N treatments combined with four different P and K management (PK-M) to explore the changes in N, P, and K content and accumulation in drip-irrigated cotton using different fertilization management procedures. Moreover, changes in the ratio of N, P, and K content and accumulation were used to determine the nutritional limiting factors of cotton, and yield prediction models were developed with Nc/Pc and Nc/Kc at different growth stages. The results of this study will provide support for fertilization management of cotton.
2. Materials and Methods
2.1. Experimental Site
A two-year field experiment was conducted at two different experimental sites (44°18′ N, 86°02′ E and 44°32′ N, 85°97′ E) at Shihezi University, Xinjiang, China, during the growing seasons of 2018 and 2019. The soil of the experimental site is a sandy loam and the physicochemical properties of the soil (0–20 cm in depth) were determined annually, with a 2-year average of Alkaline N 146.20 mg kg−1, Olsen P 45.16 mg kg−1, Available K 69.05 mg kg−1 and Organic matters 25.60 g kg−1 at a pH of 8.10. Changes in air temperature during the cotton growing season from 2018 to 2019 in Shihezi are given in Figure 1. The precipitation and sunshine duration were 211.7 mm and 2077.3 h in 2018 and 142.0 mm and 1843.1 h in 2019, respectively.
Figure 1.
Weather conditions during cotton growing season in Shihezi, Xinjiang, China in 2018–2019.
2.2. Experimental Design and Field Management
The cotton cultivar “Lumianyan 24” was used in this experiment under four levels of N applications combined with four different P and K application ratios. These four levels of N application were 506 kg ha−1 (N1), 402.5 kg ha−1 (N2, the local conventional N application rate of farmers), 299 kg ha−1 (N3), and 195.5 kg ha−1 (N4). Under each N treatment, the four different P and K fertilization ratios were 25%: 75% (PK-M1, 25% P and K applied at squaring stage (SS) and 75% at the bloom-bolling stages (BS)), 50%: 50% (PK-M2, 50% P and K applied at each stage), 75%: 25% (PK-M3, 75% P and K applied at SS and 25% at the BS) and 100%: 0% (PK-M4, total P and K applied at SS). A schematic diagram of the fertilization distribution in the 2018–2019 test plots is shown in Figure 2. The phosphorus (P2O5) and potassium (K2O) fertilizer application rates were 108 and 97.2 kg ha−1. The fertilizers used as N, P, and K sources were urea, NH4H2PO4, and K2SO4, respectively. Fertilizers were applied using a drip irrigation system. Cotton was irrigated by mulched drip irrigation at a frequency of 7–10 days, depending on air temperature and precipitation at different growing stages. The irrigation amount of 4900 m3 ha−1 was applied for eight and nine irrigation frequencies in 2018 and 2019. For water and fertilizer management strategies, refer to Table 1.
Figure 2.
Schematic diagram of the fertilization distribution in the 2018–2019 test plots. Note: The experimental plots at both sites are of the same design.
Table 1.
Application of nitrogen (N), phosphorus (P), and potassium (K) rates, and irrigation scheme.
Furthermore, forty-eight experimental plots, each with a size of 33.75 m2 and a completely randomized design, were used in this experiment. The cotton was grown using a sparse planting mode, with one film comprised of three pipes and three rows, and equal row spacing planting (76 cm) and plant length (10 cm). Pest and disease control, cotton topping, and other field management techniques were consistent with cotton fields in the region. The seeds were sown on 21 April 2018 and 24 April 2019.
2.3. Sample Collection and Determination
We sampled a total of five growth stages, each with a sample size of 16 (average of three replicates), resulting in a total sample size of 160 for both years. Three cotton plants were selected from each plot at the full square stage (FS), the full flowering stage (FF), the early-full bolling stage (EFB), the late-full bolling stage (LFB), and the boll-opening stage (BO), and divided into leaves, stems and reproductive organs. Afterward, the different parts were placed at 105 °C for 30 min and then dried at 80 °C until their weights were constant [5,10]. The Nc, Pc, and Kc in cotton leaves, stems, and reproductive organs were estimated, as well as the N accumulation (Na), P accumulation (Pa), and K accumulation (Ka) in cotton plants. Total N was determined by the Kjeldahl method [25], total P was estimated using the vanadium molybdenum yellow colorimetric method [26], and total K was assessed by the flame photometer method [27]. The Na of each organ is equal to the product of the dry matter weight of each organ (t ha−1) and its Nc (%), and the Na (g m−2) of the plant is the sum of the Na of each organ.
After the boll was fully opened, an unsampled area of 6.75 m2 was selected from each plot for yield measurement. The number of harvested plant and bolls were counted, and the biomass of 50 fully opened bolls was weighed. Additionally, single boll weight and seed yield were calculated. Based on the survey results, the seed cotton yield was divided into four yield levels: low yield, medium yield, medium-high yield, and high yield, according to the method of Zhong et al. [28,29,30].
2.4. Data Analysis
One-way ANOVA was used to analyze the differences in Nc/Pc, Nc/Kc, and Kc/Pc at different yield levels for the five growth stages. Data were processed using Excel 2016 and plotted using Origin 2021b (OriginLab, Northampton, MA, USA). The significance of differences was analyzed using the LSD method with SPSS 20.0 software, and the significance level was set at α = 0.05.
3. Results
3.1. Descriptive Statistical Analysis of Samples with Different Yield Levels
In this study, seed cotton yield variation ranged from 3750 to 6750 and 6000 to 9000 kg ha−1 in 2018 and 2019, with a total sample size of 160 for both years. The yield of 80 annual samples was equally classified into four levels: low, medium, medium-high, and high yield, for a total of eight yield levels in two years. As shown in Table 2, both 2018 and 2019 yields were normally distributed across the yield range. In 2018, the highest number of samples was distributed at yield levels of 5250–6000 kg ha−1 and the content of N, P, and K reached maximum values. In 2019, the highest distribution of sample numbers was found in the yield level range of 7500–8250 kg ha−1, with the largest N, P, and K contents occurring at yield levels of 6750–7500 kg ha−1. The maximum Nc was 49.1 g kg−1, 3.5 times higher than the minimum value (11.0); the maximum Pc was 8.1 g kg−1, 5.2 times higher than the minimum value (1.3); and the maximum Pc was 52.1 g kg−1, 1.5 times higher than the minimum value (21.1).
Table 2.
Descriptive statistical analysis of samples at different yield levels.
3.2. Characteristics of N, P, and K Content and Distribution at Different Yield Levels
Consistent trends of N, P, and K contents were found in 2018 and 2019, which decreased gradually along with the growth stage and reached the minimum point at BO (Figure 3). In the same growth stage, the N, P, and K contents of cotton increased with the increase in yield, and higher values were found in the reproductive organs. In 2018, the average N, P, and K content of cotton plants in the lowest and highest yield levels were 71.7 and 92.9 g kg−1, 8.1 and 13.4 g kg−1, and 67.6 and 103.0 g kg−1, respectively. Furthermore, in 2019, the average N, P, and K content of cotton plants in the lowest and highest yield levels were 80.3 and 93.9 g kg−1, 12.6 and 15.5 g kg−1, and 102.3 and 113.4 g kg−1, respectively. In two years, the Nc, Pc, and Kc at high yield levels were 23.3%, 44.2%, and 31.6% higher than those at low yield levels, respectively.
Figure 3.
Variation characteristics of nitrogen content (Nc), phosphorus content (Pc), and potassium content (Kc) in cotton at different yield levels.
The distribution ratios of N, P, and K contents in the nutritional organs were 0.67, 0.53, and 0.73, respectively, and in the reproductive organs were 0.33, 0.47, and 0.27 (Table 3). In 2018, the ratio of Nc of reproductive organs to total plant (Nr/Nt) increased with the yield at the level of 3750–6000 kg ha−1, with no significant differences at the level of 5250–6750 kg ha−1, indicating that the higher cotton yield was less affected by Nc. The proportion of P and K distribution in reproductive organs increased with yield in 2018 and 2019, suggesting that cotton was limited by P and K fertilizer at high yield levels. The Pc of the different organs showed that reproductive organs > leaves > stems, indicating that reproductive organs had a high demand for P during cotton growth. However, the Kc was greatest in the stems, with an average distribution ratio of 0.73 for the nutritional organs, which was 1.7 times higher than that in reproductive organs.
Table 3.
Characteristics of nitrogen content (Nc), phosphorus content (Pc), and potassium content (Kc) and distribution at different yield levels.
3.3. Variation Characteristics of N, P, and K Accumulations in Cotton at Different Yield Levels
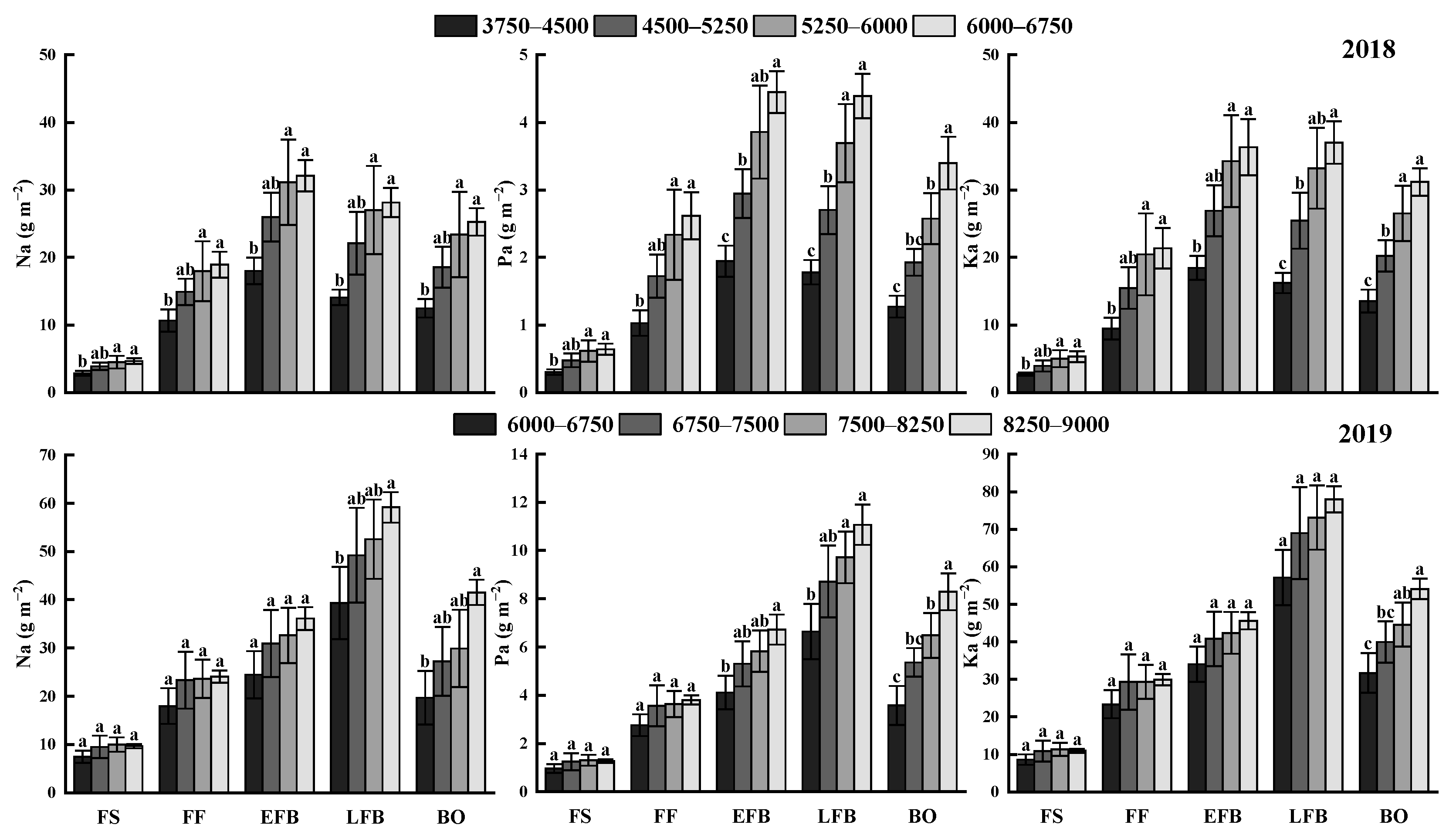
Cotton N, P, and K accumulations increased and then decreased along with the growth stages. In the same growth stage, the cotton N, P, and K accumulations increased along with the increased yield. N, P, and K accumulations reached a maximum in 2018 at the EFB and in 2019 at the LFB, while the N, P, and K accumulations reached a minimum at the FS (Figure 4). The average accumulation of N, P, and K throughout the growing stage was 17.8, 2.2, and 20.1 g m−2 in 2018, and 28.4, 5.0, and 38.2 g m−2 in 2019, respectively. The accumulation of N, P, and K in 2019 was 1.6, 2.3, and 1.9 times higher than in 2018. At the EFB stage, the maximum accumulation of N, P, and K in cotton plants appeared at the yield level of 6000–6750 kg ha−1, and the maximum values were 32.1, 4.45 and 36.3 g m−2, respectively, which were 78.3%, 56.4% and 96.7% higher than the minimum value (the yield level of 3750–4500 kg ha−1 in 2018). At the LFB, the maximum accumulation of N, P, and K in cotton plants appeared at the yield level of 8250–9000 kg ha−1, and the maximum values were 59.2, 11.1 and 78.0 g m−2, respectively, which were 50.5%, 66.7% and 36.4% higher than the minimum value (the yield level of 6000–6750 kg ha−1 in 2019).
Figure 4.
Variation characteristics of nitrogen accumulation (Na), phosphorus accumulation (Pa), and potassium accumulation (Ka) in cotton at different yield levels. Note: Lowercase letters represent the significance of differences in Na, Pa or Ka at different yield levels, p < 0.05.
3.4. Dynamic Changes of Cotton Nc/Pc, Nc/Kc, and Kc/Pc at Different Yield Levels
The Nc/Pc of cotton leaves was significantly greater than that of stems and reproductive organs (2018 and 2019). In 2018, in the same yield level, the Nc/Pc gradually increased along with the growth stages, with a maximum value of 20.79 in leaves at the BO stage. Two years’ data exposed that the values of Nc/Pc were higher in lower yield levels (3750–4500 kg ha−1) than in higher yield levels (8250–9000 kg ha−1) in all organs (Table 4). For example, the values of Nc/Pc of 4500–5250 kg ha−1 at the FS, FF, EFB, LFB, and BO stages were 20.8%, 28.0%, 29.9%, 21.8%, and 27.5%, respectively, higher than those at a yield level of 6000–6750 kg ha−1 in 2018. At yield levels of 5250–6750 kg ha−1, cotton leaves, stems, and reproductive organs all maintained a low level of Nc/Pc, indicating that a low level of Nc/Pc was conducive to increased yields.
Table 4.
Dynamic changes of cotton nitrogen content/phosphorus content (Nc/Pc) at different yield levels.
The Nc/Kc of different cotton organs showed leaves > reproductive organs > stems (in 2018 and 2019). In 2018, the values of Nc/Kc in leaves decreased along with growth stages at different yield levels, while the trend was inconsistent in 2019 (Table 5). For stems, there were no significant differences among yield levels at the same growth stage, reaching a maximum value of 0.53 (3750–4500 kg ha−1) at FF in 2018 and 0.57 (7500–8250 kg ha−1) at FS in 2019. For reproductive organs, Nc/Kc was significantly greater at FS and FF than at other growth stages and minimal at yield levels of 6000–6750 kg ha−1 in 2018 and 2019. Leaves, stems, and reproductive organs all kept a low Nc/Kc at the yield level of 5250–6750 kg ha−1, implying that maintaining high Kc in the yield range of 5250–6750 kg ha−1 was beneficial for yield increases. However, with the increase in yield level, there was little difference in the Nc/Kc in the 7500–9000 kg ha−1 yield range, indicating that a higher yield level was less affected by Kc.
Table 5.
Dynamic changes of cotton nitrogen content/potassium content (Nc/Kc) at different yield levels.
The values of Kc/Pc in all organs increased along with the growth stages, and the values in stems were higher than in other organs in both years. Moreover, from annual data, the values of Kc/Pc in lower yield levels were higher than those in higher yield levels for all organs, and there were no significant differences in higher yield levels (Table 6). Based on the above results in Nc, Pc, Kc, Nc/Pc, and Nc/Kc, the changes of Kc/Pc indicated that the yield potential was easily affected by P fertilizer than K from a lower yield level to a higher yield level.
Table 6.
Dynamic changes of cotton potassium content/phosphorus content (Kc/Pc) at different yield levels.
3.5. Dynamic Changes of Cotton Na/Pa, Na/Ka, and Ka/Pa at Different Yield Levels
Overall, cotton plant Na/Pa, Na/Ka, and Ka/Pa decreased with increasing yield levels in both 2018 and 2019, signifying that high P and K accumulation were beneficial to reaching higher yield levels, while P fertilizer was more effective in increasing yields. In 2018, Na/Pa differences were less pronounced as the growth stage developed, Na/Ka was smaller at LFB and BO, and Ka/Pa reached a maximum at BO. However, these three indicators gradually declined in 2019 with the development of the growth stage, having smaller values at the BO. The mean values of Na/Pa, Na/Ka, and Ka/Pa for the whole growing stage were 8.3, 0.91, and 9.1 in 2018, which were 36%, 20%, and 14% higher than those in 2019, respectively. In 2018, there were greater differences for Na/Pa, Ka/Pa, and Na/Ka throughout the growth stages at different yield levels, and in 2019 there were small differences at the FS and FF and large differences at later growth stages (Figure 5).
Figure 5.
Dynamic changes of nitrogen accumulation/phosphorus accumulation (Na/Pa), nitrogen accumulation/potassium accumulation (Na/Ka), and potassium accumulation/phosphorus accumulation (Ka/Pa) in cotton at different yield levels. Note: Lowercase letters represent the significance of differences in Na/Pa, Na/Ka or Ka/Pa at different yield levels, p < 0.05.
3.6. Establishing Models of Seed Cotton Yield and Plant Nc/Pc, Nc/Kc
The correlation analysis and modeling data for this study were sourced from 2018 and 2019, with a sample size of 32 for each growth stage and a total of 160 samples. The correlation analysis highlighted the higher correlation between seed cotton yield and Nc, Pc, Kc, Nc/Pc, Nc/Kc, and Kc/Pc (Table 7). The yield was significantly and positively correlated with Nc at FS but poorly correlated at later growth stages, implying that the effect of N fertilizer on cotton yield was mainly in the early growth stage. The yield was positively correlated with Pc and Kc, reaching a significant level of 0.01, with a maximum correlation coefficient of 0.88. The yield was negatively correlated with Nc/Pc, Nc/Kc, and Kc/Pc, with the largest correlation coefficient of 0.90. The higher correlation coefficients between yield and nutrient parameters were selected to make scatter plots at the FS, FF, EFB, and LFB. Furthermore, linear models were developed. However, modeling yield prediction during the BO was not practical for production guidance; thus, the data from the BO were discarded.
Table 7.
Correlation analysis between seed cotton yield and nutrient characteristics of nitrogen, phosphorus, and potassium.
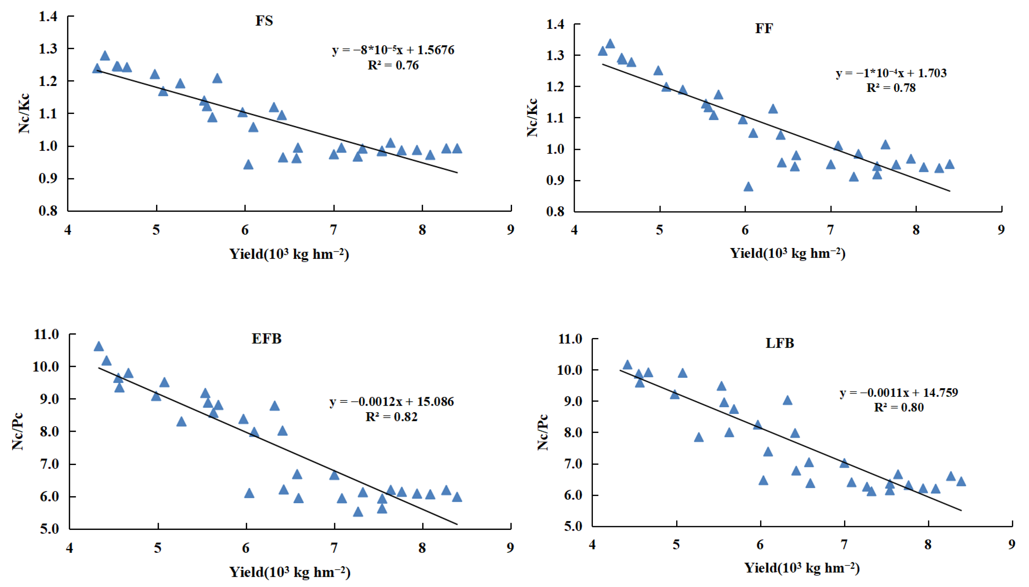
The yield prediction models based on Nc/Kc and Nc/Pc were established at different growth stages (Figure 6). Yield and Nc/Kc had a high fit at the FS and FF, indicating that sufficient K fertilizer supply in the early stage of cotton growth is the premise of the high yield. Moreover, the coefficients of determination for Nc/Pc and yield modeling reached significant correlations of 0.82 and 0.80 in the EFB and LFB, respectively, representing that the P fertilizer application plays an important role in the later growth stages of cotton. Overall, when 0.85 < Nc/Kc < 1.0 at FS, 0.8 < Nc/Kc < 1.0 at FF, 4.3 < Nc/Pc < 6.7 at EFB, and 4.9 < Nc/Pc < 7.1 at LFB, there is a high yield potential of 7000–9000 kg ha−1.
Figure 6.
The model of cotton yield established by plant nitrogen content/potassium content (Nc/Kc) and nitrogen content/phosphorus content (Nc/Pc).
4. Discussion
The N, P, and K deficiencies are limiting factors for yield potential [31,32,33]. There are different distributions and contents of N, P, and K in plants at different yield levels. Therefore, the N, P, and K contents are essential indicators for yield improvement [34]. Some studies have shown that total N, P, and K accumulations in cotton and seed cotton yield increase with increasing fertilizer application within an optimal range of applications. Conversely, the accumulation of total N, P, and K and seed cotton yield decrease was also reported [35]. Another study concluded that increased uptake of N, P, and K, especially in reproductive organs, could increase cotton yield, similar to the results of our experiment [36,37]. This study found that N, P, and K contents in cotton mostly increased with increasing yield levels in both years and kept a flat trend in higher yield level, while N, P, and K accumulation mostly increased with increasing yield levels. Increasing the application of N, P, and K fertilizers within a certain range is beneficial in increasing yield level, while over-applied fertilizers adversely affect yield increase. In addition, P and K concentrations in the reproductive organs of cotton increased with increasing yield levels in the experiment. In contrast, Nc increased to around 50 g kg−1 and maintained a stable level, suggesting that higher cotton yield levels are less affected by Nc and more by P and K content, especially in the reproductive organs. At different yield levels, the variation range of cotton N, P, and K content in 2019 was small, and the variation in 2018 was large, indicating that under low yield levels, there was a significant yield increase benefit of N, P, and K fertilizer, consistent with Blaise et al. [38]. There were also few differences in N, P, and K contents in cotton between two years, but significant differences in N, P, and K accumulation, which could be due to the effect of insufficient water pressure in the pipeline at LFB in 2018, resulting in lower growth and dry matter than in 2019. Figure 4 illustrates that with the increase in the yield level, the accumulation of N, P, and K exhibited an upward trend, indicating that the accumulation of N, P, and K could be a good judge of the yield potential of cotton.
The ratio of N, P, and K content is a useful indicator for measuring and evaluating the yield potential and can be used for nutrient status analysis at different growth stages [39]. Niu and Qiu et al. stated that wheat seed yield was influenced by Nc/Kc, with optimal Nc/Kc promoting healthy plant growth, while imbalanced Nc/Kc led to plant growth disorders [40,41]. In a study by Gaj et al. on the Nc/Pc, Nc/Pc, and Kc/Pc of different maize varieties, it was found that the yield of ES Paroli SG varieties was mainly influenced by Pc, Kc, Nc/Pc, and Kc/Pc, while the yield of ES Palazzo varieties was most dependent on Kc and Nc/Pc [42]. In this study, a higher yield in 2019 with lower Nc/Pc was observed, especially during the FF stage, indicating the demand for P fertilizer was higher in the later stages of cotton growth. Additionally, increased P applications would be beneficial to obtain high yield potential, consistent with the study by Gong et al., who concluded that cotton’s nutrient requirements show an earlier and higher demand for N and a slightly later but longer-lasting demand for P [43]. Further, under lower yield levels, the Nc/Kc of cotton reproductive organs initially increased and then decreased as yield increased, peaking at yields of 4500–5250 kg ha−1, with no significant differences between yield levels when yields increased to 6750 kg ha−1, similar to the finding of Xin et al. that N fertilizer should be increased in low-yielding fields [44]. Sireesha et al. verified that the mean Nc/Pc, Nc/Kc, and Kc/Pc in the third leaf of sugarcane in the high-yielding areas were 9.65, 1.21, and 0.78, while Nc/Pc, Nc/Kc, and Kc/Pc in the low yielding areas were 11.02, 1.25, and 0.85 [45]. This is similar to the finding of this study that Nc/Kc, Nc/Pc, and Kc/Pc were negatively correlated with yield (Table 7), which further indicates that more P and K fertilizers, especially P fertilizer, were needed to obtain high yield.
N, P, and K, as indispensable and abundant elements in cotton growth, are directly linked to yield [46,47,48]. This study demonstrated a significant linear relationship between Pc and yield. Total N, P, and K accumulation were significantly and positively correlated with seed cotton yield. The positive correlation coefficient between boll nutrient uptake and yield was higher than that of leaves and stems [4,49]. Tariq et al. and López et al. analyzed Kc in different organs of cotton and showed that Kc in leaves and stems was significantly and positively correlated with boll weight, boll number per plant, and seed cotton yield. They concluded Kc in leaves and stems could be used to predict seed cotton yield [50,51]. Also, similar results were found in other crops, where soil conductivity was positively correlated with yield in winter wheat and maize, mainly attributed to higher N, P, and K nutrients [52,53,54]. In this study, N, P, and K content were all positively correlated with yield, with a lower correlation between Nc and yield at the FB and a higher correlation among Pc, Kc, and yield at FB, suggesting that the main limiting factors for high yield are P and K, especially P fertilizer. The above results agree with the study of Chi et al., who found that higher yield potential might need a relative increase in P and K requirements during the bloom-bolling stage of cotton [55]. Moreover, the correlations between Nc/Pc and Kc/Pc and yield were highest at the FB, indicating that maintaining high Pc at late growth stages promotes cotton yield. Therefore, P fertilizer could be shifted back to actual fertilizer management, similar to the study stating that increased application of P fertilizers during late growth could increase yield and efficiency in cotton [56,57]. However, this study analyzed all sources of N, P, K in cotton and neglected the different sources of N, P, K, not only from fertilizer but also from the soil. Therefore, I consider that separating the fertilizer NPK from the soil NPK would be more beneficial for efficient fertilizer management strategies, which is the objective of this study for further development.
5. Conclusions
In this study, we found that the Nc, Pc, and Kc of cotton plants at high yield levels were 23.3%, 44.2%, and 31.6% higher than those at low yield levels. Seed cotton yield was mostly restricted by Nc at lower yield levels and easily affected by Pc and Kc at higher yield levels, especially affected by Pc. Then, the models based on Nc/Pc, Nc/Kc, and seed cotton yield at different yield levels are effective in predicting the yield potential of cotton. When 0.85 < Nc/Kc < 1.0 at FS, 0.8 < Nc/Kc < 1.0 at FF, 4.3 < Nc/Pc < 6.7 at EFB, and 4.9 < Nc/Pc < 7.1 at LFB, there is a high yield potential of 7000–9000 kg ha−1. Furthermore, our recommended strategy for efficient fertilization is to reduce the application of N fertilizer (N3 in this study) during the growing period and to increase the application of P fertilizer during the later growth period (PK-M2 in this study).
Author Contributions
Conceptualization, Y.C. and Y.L.; Methodology, Y.C.; Validation, Y.C., X.M., and C.G.; Formal analysis, Y.C.; Investigation, Y.C. and M.W.; Resources, W.Z.; Data curation, Y.C.; Writing—original draft, Y.C.; Writing—review and editing, Y.L.; Visualization, M.L.; Supervision, Y.L.; Project administration, F.M.; Funding acquisition, F.M. All authors have read and agreed to the published version of the manuscript.
Funding
This research was funded by the National Natural Science Foundation of China [31860346] and Shihezi University Scientific Research Cultivation Project for Young Scholars [CXBJ202001].
Data Availability Statement
Data are contained within the article.
Acknowledgments
We thank to Precision Agriculture Company for N, P and K concentrations measurement.
Conflicts of Interest
The authors declare no conflicts of interest.
References
- Fortucci, P. The contribution of cotton to economy and food security in developing countries. In Proceedings of the Conference on Cotton and Global Trade Negotiations Sponsored by the World Bank and ICAC, Washington, DC, USA, 8–9 July 2002; Volume 8, pp. 8–9. [Google Scholar]
- Li, M.; Du, Y.J.; Zhang, F.C.; Bai, Y.G.; Fan, J.L.; Zhang, J.H.; Chen, S.M. Simulation of cotton growth and soil water content under film-mulched drip irrigation using modified CSM-CROPGRO-cotton model. Agric. Water Manag. 2019, 218, 124–138. [Google Scholar] [CrossRef]
- Ahmad, I.; Zhou, G.; Zhu, G.L.; Ahmad, Z.; Song, X.D.; Hao, G.E.; Jamal, Y.; Ibrahim, M.E.H. Response of leaf characteristics of BT cotton plants to ratio of nitrogen, phosphorus, and potassium. Pak. J. Bot. 2021, 53, 873–881. [Google Scholar] [CrossRef] [PubMed]
- Wang, S.H.; Mao, L.L.; Shi, J.L.; Nie, J.J.; Sun, X.Z. Effects of plant density and nitrogen rate on cotton yield and nitrogen use in cotton stubble retaining fields. J. Integr. Agric. 2021, 20, 2090–2099. [Google Scholar] [CrossRef]
- Wen, M.; Zhao, W.; Guo, W.; Wang, X.J.; Li, P.B.; Cui, J.; Liu, Y.; Ma, F.Y. Coupling effects of reduced nitrogen, phosphorus and potassium on drip-irrigated cotton growth and yield formation in northern Xinjiang. Agron. Soil Sci. 2021, 68, 1239–1250. [Google Scholar] [CrossRef]
- Chen, J.; Lü, S.Y.; Zhang, Z.; Zhao, X.X.; Li, X.M.; Ning, P.; Liu, M.Z. Environmentally friendly fertilizers: A review of materials used and their effects on the environment. Sci. Total Environ. 2018, 613, 829–839. [Google Scholar] [CrossRef] [PubMed]
- Feng, L.; Dai, J.; Tian, L.; Zhang, H.; Li, W.; Dong, H. Review of the technology for high-yielding and efficient cotton cultivation in the northwest inland cotton-growing region of China. Field Crop. Res. 2017, 208, 18–26. [Google Scholar] [CrossRef]
- Wang, H.D.; Wu, L.F.; Cheng, M.H.; Fan, J.L.; Zhang, F.C.; Zou, Y.F.; Chau, H.W.; Guo, Z.J.; Wang, X.K. Coupling effects of water and fertilizer on yield, water and fertilizer use efficiency of drip-fertigated cotton in northern Xinjiang, China. Field Crop. Res. 2018, 219, 169–179. [Google Scholar] [CrossRef]
- Guang, J.; Wang, H.; Wang, H. Analysis on the relationship between fertilizer and sustainable agricultural development. Henan Agric. 2019, 4, 17–18, (In Chinese with English Abstract). [Google Scholar]
- Liu, Y.; Wen, M.; Li, M.H.; Zhao, W.Q.; Li, P.B.; Cui, J.; Ma, F.Y. Effects of reduced nitrogen application rate on drip-irrigated cotton dry matter accumulation and yield under different phosphorus and potassium managements. Agron. J. 2021, 113, 2524–2533. [Google Scholar] [CrossRef]
- Luo, Z.; Liu, H.; Li, W.; Zhao, Q.; Dai, J.; Tian, L.; Dong, H. Effects of reduced nitrogen rate on cotton yield and nitrogen use efficiency as mediated by application mode or plant density. Field Crop. Res. 2018, 218, 150–157. [Google Scholar] [CrossRef]
- Xue, X.; Wang, J.; Guo, W.; Chen, B.; Zhou, Z. Effect of nitrogen applied levels on the dynamics of biomass, nitrogen accumulation and nitrogen fertilization recovery rate of cotton after initial flowering. Acta Ecol. Sin. 2006, 26, 3631–3640. [Google Scholar]
- Wang, Y.Q.; Li, G.L.; Faz, Z.Q.; Gao, X.Q. Study on Monitoring Methods of Nitrogen Nutrition in Cotton Leaves Based on Android Platform. J. Comput. 2018, 13, 1272–1278. [Google Scholar] [CrossRef][Green Version]
- Schut, A.G.; Traore, P.C.S.; Blaes, X.; Rolf, A. Assessing yield and fertilizer response in heterogeneous smallholder fields with UAVs and satellites. Field Crop. Res. 2018, 221, 98–107. [Google Scholar] [CrossRef]
- Prasad, N.R.; Patel, N.R.; Danodia, A.; Manjunath, K.R. Comparative performance of semi-empirical based remote sensing and crop simulation model for cotton yield prediction. Earth Syst. Environ. 2021, 8, 1733–1747. [Google Scholar] [CrossRef]
- Mahajan, G.R.; Das, B.; Murgaokar, D.; Herrmann, I.; Berger, K.; Sahoo, R.N.; Patel, K.; Desai, A.; Morajkar, S.; Kulkarni, R.M. Monitoring the foliar nutrients status of mango using spectroscopy-based spectral indices and PLSR-combined machine learning models. Remote Sens. 2021, 13, 641. [Google Scholar] [CrossRef]
- Marang, I.J.; Filippi, P.; Weaver, T.B.; Evans, B.J.; Whelan, B.M.; Bishop, T.F.A.; Murad, M.O.F.; Shammari, D.; Roth, G. Machine Learning Optimised Hyperspectral Remote Sensing Retrieves Cotton Nitrogen Status. Remote Sens. 2021, 13, 1428. [Google Scholar] [CrossRef]
- Venterink, H.; Olde, W.J.M.; Verkroost, W.M.A.; De, R.C.P. Species richness-productivity patterns differ between N-, P-, and K-limited wetlands. Ecology 2003, 84, 2191–2199. [Google Scholar] [CrossRef]
- Schreeg, L.A.; Santiago, L.S.; Wright, S.J.; Turner, B.L. Stem, root, and older leaf N: P ratios are more responsive indicators of soil nutrient availability than new foliage. Ecology 2014, 95, 2062–2068. [Google Scholar] [CrossRef] [PubMed]
- Koerselman, W.; Meuleman, A.F.M. The vegetation N: P ratio: A new tool to detect the nature of nutrient limitation. J. Appl. Ecol. 1996, 33, 1441–1450. [Google Scholar] [CrossRef]
- Güsewell, S. N: P ratios in terrestrial plants: Variation and functional significance. New Phytol. 2004, 164, 243–266. [Google Scholar] [CrossRef] [PubMed]
- Lawniczak, A.E.; Güsewell, S.; Verhoeven, J.T.A. Effect of N: K supply ratios on the performance of three grass species from herbaceous wetlands. Basic Appl. Ecol. 2009, 10, 715–725. [Google Scholar] [CrossRef]
- Ahmad, I.; Zhou, G.; Zhu, G.L.; Ahmad, Z.; Song, X.D.; Jamal, Y.; Ibrahim, M.E.H.; Nimir, N.E.A. Response of boll development to macronutrients application in different cotton genotypes. Agronomy 2019, 9, 322. [Google Scholar] [CrossRef]
- Wu, K.N.; Zhao, R. Soil Texture Classification and Its Application in China. Acta Pedol. Sin. 2019, 56, 227–241, (In Chinese with English Abstract). [Google Scholar]
- Bremner, J.M.; Mulvancy, C.S. Nitrogen-total. In Methods of Soil Analysis, Part 2; Page, A.L., Miller, R.H., Keeney, D.R., Eds.; American Society of Agronomy: Madison, WI, USA, 1982; pp. 595–624. [Google Scholar]
- Xiang, X.L.; Wang, J.; Wang, G.H. Study on the determination of phosphorus in food based on vanadium molybdenum yellow colorimetric method. J. Green Sci. Technol. 2015, 4, 328–329, (In Chinese with English Abstract). [Google Scholar]
- Usovich, A.T.; Lavrik, N.G.; Mamchich, A.P. Use of flame photometry for the determination of sodium and potassium. Veterinariia 1975, 3, 111–112. [Google Scholar]
- Zhong, X.; Zhao, B.; Huang, M.; Hussain, H.A.; Hussain, S.; Cai, L.; Yan, H.; He, G.; Zhang, C. Comparison of growth and yield characteristics of mid-season hybrid rice under different yield levels. Agronomy 2020, 10, 1876. [Google Scholar] [CrossRef]
- Leite, J.M.; Ciampitti, I.A.; Mariano, E.; Vieira-Megda, M.X.; Trivelin, P.C. Nutrient partitioning and stoichiometry in unburnt sugarcane ratoon at varying yield levels. Front. Plant Sci. 2016, 7, 466. [Google Scholar] [CrossRef]
- Du, Y.X.; Li, X.G.; Zhang, Y.; Cheng, T.; Liu, X.J.; Tian, Y.C.; Zhu, Y.; Cao, W.X.; Cao, Q. Variation in nitrogen status indicators with grain yield level for winter wheat after rice. J. Plant Nutr. Fertil. 2010, 26, 1420–1429, (In Chinese with English Abstract). [Google Scholar]
- Dong, H.; Li, W.; Eneji, A.E.; Zhang, D. Nitrogen rate and plant density effects on yield and late-season leaf senescence of cotton raised on a saline field. Field Crop. Res. 2012, 126, 137–144. [Google Scholar] [CrossRef]
- Yang, G.; Chu, K.; Tang, H.; Nie, Y.; Zhang, X. Fertilizer 15N accumulation, recovery and distribution in cotton plant as affected by N rate and split. J. Integr. Agric. 2013, 12, 999–1007. [Google Scholar] [CrossRef]
- Yang, G.; Tang, H.; Nie, Y.; Zhang, X. Responses of cotton growth, yield, and biomass to nitrogen split application ratio. Eur. J. Agron. 2011, 35, 164–170. [Google Scholar] [CrossRef]
- Feng, W.; Yao, X.; Zhu, Y.; Tian, Y.C.; Cao, W.X. Monitoring leaf nitrogen status with hyperspectral reflectance in wheat. Eur. J. Agron. 2007, 28, 394–404. [Google Scholar] [CrossRef]
- Wang, H.; Wu, L.; Wang, X.; Zhang, S.H.; Cheng, M.H.; Feng, H.; Fan, J.L.; Zhang, F.C.; Xiang, Y.Z. Optimization of water and fertilizer management improves yield, water, nitrogen, phosphorus and potassium uptake and use efficiency of cotton under drip fertigation. Agric. Water Manag. 2021, 245, 106662. [Google Scholar] [CrossRef]
- Khan, A.; Wang, L.; Ali, S.; Tung, S.A.; Hafeez, A.; Yang, G. Optimal planting density and sowing date can improve cotton yield by maintaining reproductive organ biomass and enhancing potassium uptake. Field Crop. Res. 2017, 214, 164–174. [Google Scholar] [CrossRef]
- Xin, C.S.; Dong, H.Z.; Luo, Z.; Tang, W.; Zhang, D.M.; Li, W.J.; Kong, X.Q. Effects of N, P, and K fertilizer application on cotton growing in saline soil in yellow river delta. Acta Agron. Sin. 2010, 36, 1698–1706. [Google Scholar] [CrossRef]
- Blaise, D.; Singh, J.V.; Bonde, A.N.; Tekale, K.U.; Mayee, C.D. Effects of farmyard manure and fertilizers on yield, fibre quality and nutrient balance of rainfed cotton (Gossypium hirsutum). Bioresour. Technol. 2005, 96, 345–349. [Google Scholar] [CrossRef] [PubMed]
- Szczepaniak, W.; Grzebisz, W.; Potarzycki, J. An assessment of the effect of potassium fertilizing systems on maize nutritional status in critical stages of growth by plant analysis. J. Elementol. 2014, 19, 533–547. [Google Scholar] [CrossRef][Green Version]
- Niu, J.F.; Zhang, W.F.; Chen, X.P.; Li, C.J.; Zhang, F.S.; Jiang, L.H.; Liu, Z.H.; Xiao, K.; Assaraf, M.; Imas, P. Potassium fertilization on maize under different production practices in the north China plain. Agron. J. 2011, 103, 822–829. [Google Scholar] [CrossRef]
- Qiu, S.J.; Xie, J.G.; Zhao, S.C.; Xu, X.P.; Hou, Y.P.; Wang, X.F.; Zhou, W.; He, P.; Johnston, A.M.; Christie, P.; et al. Long-term effects of potassium fertilization on yield, efficiency, and soil fertility status in a rain-fed maize system in northeast China. Field Crop. Res. 2014, 163, 1–9. [Google Scholar] [CrossRef]
- Gaj, R.; Szulc, P.; Siatkowski, I.; Waligóra, H. Assessment of the effect of the mineral fertilization system on the nutritional status of maize plants and grain yield prediction. Agriculture 2020, 10, 404. [Google Scholar] [CrossRef]
- Gong, S.F.; Yang, T.; Chen, B.Y.; Ma, X.W.; Niu, X.X.; Lou, S.W. Regulation of nitrogen fertilizer management of cotton yield and nutrient uptake under the machine pick cotton pattern. Chin. Agric. Sci. Bull. 2015, 31, 145–151, (In Chinese with English Abstract). [Google Scholar]
- Xin, C.S.; Dong, H.Z.; Tang, W.; Zhang, D.M.; Luo, Z.; Li, W.J. Characteristics of nutrient assimilation and dry matter accumulation of Bt Cotton (Gossypium hirsutum L.) in coastal saline soil. Acta Agron. Sin. 2008, 34, 2033–2040. [Google Scholar] [CrossRef]
- Sireesha, A.; Ramalakshmi, C.S.; Sreelatha, T.; Usharani, T. Estimation of nutrient ratios in sugarcane leaf to assess the productivity of sugarcane in Visakhapatnam district of Andhra Pradesh, India. Pharma Innov. J. 2021, 10, 966–968. [Google Scholar]
- Fang, W.P.; Li, L.L.; Xie, D.Y.; Ma, Z.B.; Du, Y.F. Comparison of dry matter accumulation and N, P, K uptake and distribution in different organs and yield on hybrid cotton and conventional cotton. Plant Nutr. Fertil. Sci. 2009, 15, 1401–1406. [Google Scholar]
- Modhvadia, J.M.; Solanki, R.M.; Nariya, J.N.; Vadaria, K.N.; Rathod, A.D. Effect of different levels of nitrogen, phosphorus and potassium on growth, yield and quality of Bt cotton hybrid under irrigated conditions. J. Cotton Res. Dev. 2012, 26, 47–51. [Google Scholar]
- Xu, N.; Li, J. Evolution of nitrogen, phosphorus and potassium fertilizer application rates in cotton fields and its influences on cotton yield in the Yangtze river valley. Agric. Sci. Technol. 2014, 15, 1727–1729. [Google Scholar]
- Sui, N.; Zhou, Z.G.; Yu, C.R.; Liu, R.X.; Yang, C.Q.; Zhang, F.; Song, G.L.; Meng, Y.L. Yield and potassium use efficiency of cotton with wheat straw incorporation and potassium fertilization on soils with various conditions in the wheat-cotton rotation system. Field Crop. Res. 2015, 172, 132–144. [Google Scholar] [CrossRef]
- Tariq, M.; Afzal, M.N.; Muhammad, D.; Ahmad, S.; Shahzad, A.N.; Kiran, A.; Wakeel, A. Relationship of tissue potassium content with yield and fiber quality components of Bt cotton as influenced by potassium application methods. Field Crop. Res. 2018, 229, 37–43. [Google Scholar] [CrossRef]
- López, M.; De, C.A.; Gutiérrez, J.C.; Leidi, E.O. Nitrate and potassium concentrations in cotton petiole extracts as influenced by nitrogen fertilization, sampling date and cultivar. Span. J. Agric. Res. 2010, 8, 202–209. [Google Scholar] [CrossRef][Green Version]
- Feizien, D. The combined effect of biochar and mineral fertilizer on triticale yield, Soil properties under different tillage systems. Plants 2021, 11, 111. [Google Scholar]
- Zhang, H.M.; Yang, X.Y.; Xin, H.E.; Ming, X.U.; Huang, S.M.; Liu, H.; Wang, B.R. Effect of long-term potassium fertilization on crop yield and potassium efficiency and balance under wheat-maize rotation in China. Pedosphere 2011, 21, 154–163. [Google Scholar] [CrossRef]
- Kravchenko, A.N.; Thelen, K.D.; Bullock, D.G.; Miller, N.R. Relationship among crop grain yield, topography, and soil electrical conductivity studied with cross-correlograms. Agron. J. 2003, 95, 1132–1139. [Google Scholar] [CrossRef]
- Chi, J.B.; Huang, Z.W.; Huang, Y.P.; He, J.Y.; Yang, G.J.; Fan, Q.L. A Study of pattern of requirement of fertilizer in different cotton developmental stage under drip irrigation condition. Xinjiang Agric. Sci. 2009, 46, 327–331, (In Chinese with English Abstract). [Google Scholar]
- Wang, K.R.; Li, S.K.; Cao, L.P.; Song, G.J.; Chen, G.; Cao, S.Z. A Preliminary study on dynamics and models of N, P, K absorption in high yield cotton in Xinjiang. Sci. Agric. Sin. 2003, 36, 775–780, (In Chinese with English Abstract). [Google Scholar]
- Yao, Y.K.; Zhang, Y.; Hu, W.; Gao, Y.; Qi, Y.C.; Zeng, X.; Wen, Q.K. Effects of phosphorus application on biomass accumulation, distribution rate and yield of sea island cotton. Soil Fertil. Sci. China 2008, 5, 36–40, (In Chinese with English Abstract). [Google Scholar]
Disclaimer/Publisher’s Note: The statements, opinions and data contained in all publications are solely those of the individual author(s) and contributor(s) and not of MDPI and/or the editor(s). MDPI and/or the editor(s) disclaim responsibility for any injury to people or property resulting from any ideas, methods, instructions or products referred to in the content. |
© 2024 by the authors. Licensee MDPI, Basel, Switzerland. This article is an open access article distributed under the terms and conditions of the Creative Commons Attribution (CC BY) license (https://creativecommons.org/licenses/by/4.0/).





