Comparison of Carbon Footprint Differences in Nitrogen Reduction and Density Increase in Double Cropping Rice under Two Evaluation Methods
Abstract
1. Introduction
2. Methods and Materials
2.1. Site Description
2.2. Field Experimental Design and Management
2.3. Sampling and Measurement
2.3.1. Rice Yield
2.3.2. Measurements of GHG Fluxes
2.3.3. Soil Organic Carbon Concentration and Soil Bulk Density
2.3.4. Indirect GHG Emissions
2.4. Carbon Footprint Calculation
2.4.1. The Crop-Based Carbon Footprint Evaluation Approach
2.4.2. The Soil-Based Carbon Footprint Evaluation Approach
2.4.3. Variation of SOC Storage
2.5. Data Analysis
3. Results
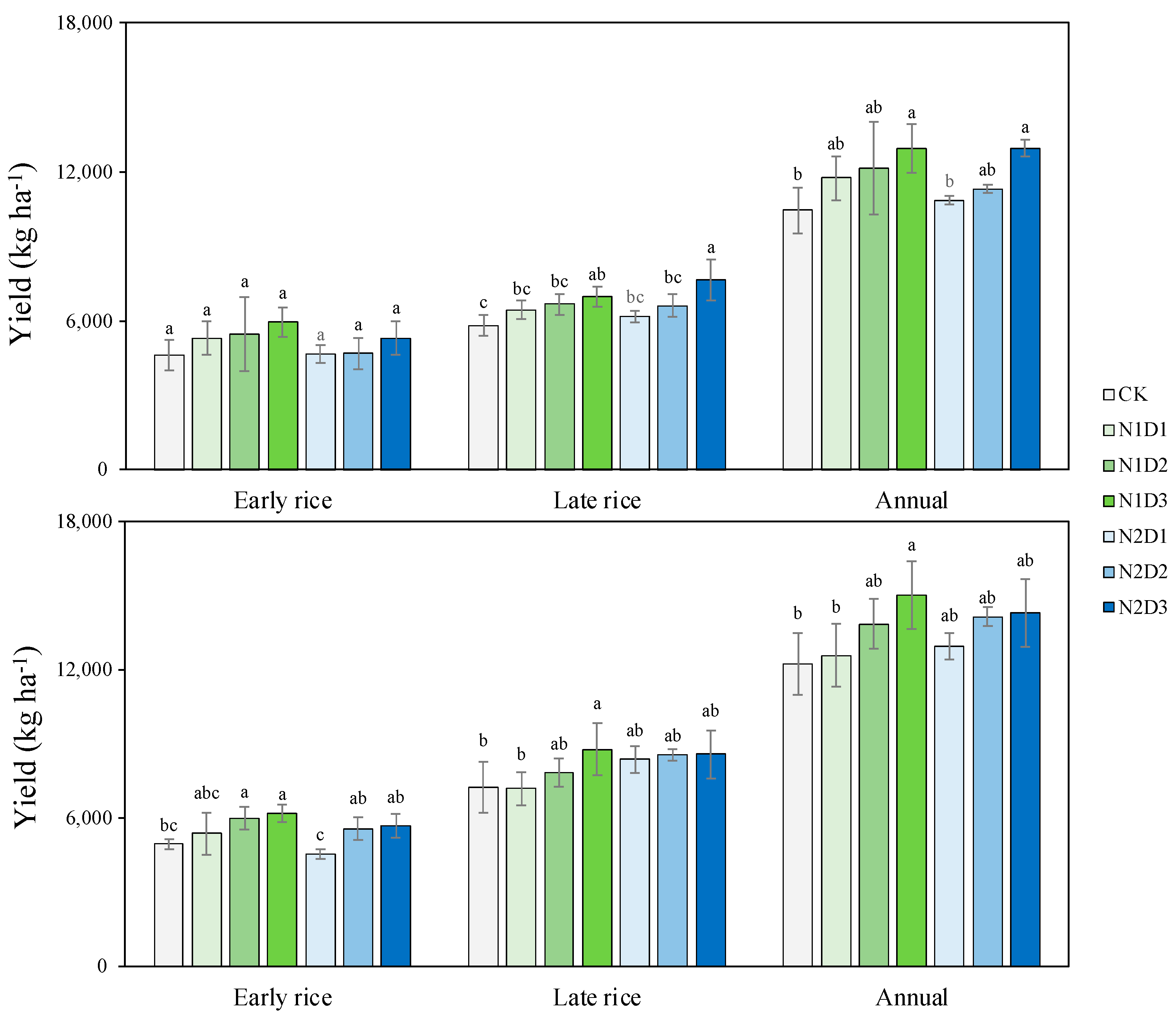
3.1. Rice Grain Yields
3.2. GHG Emissions
3.3. Content and Storage of Soil Organic Carbon
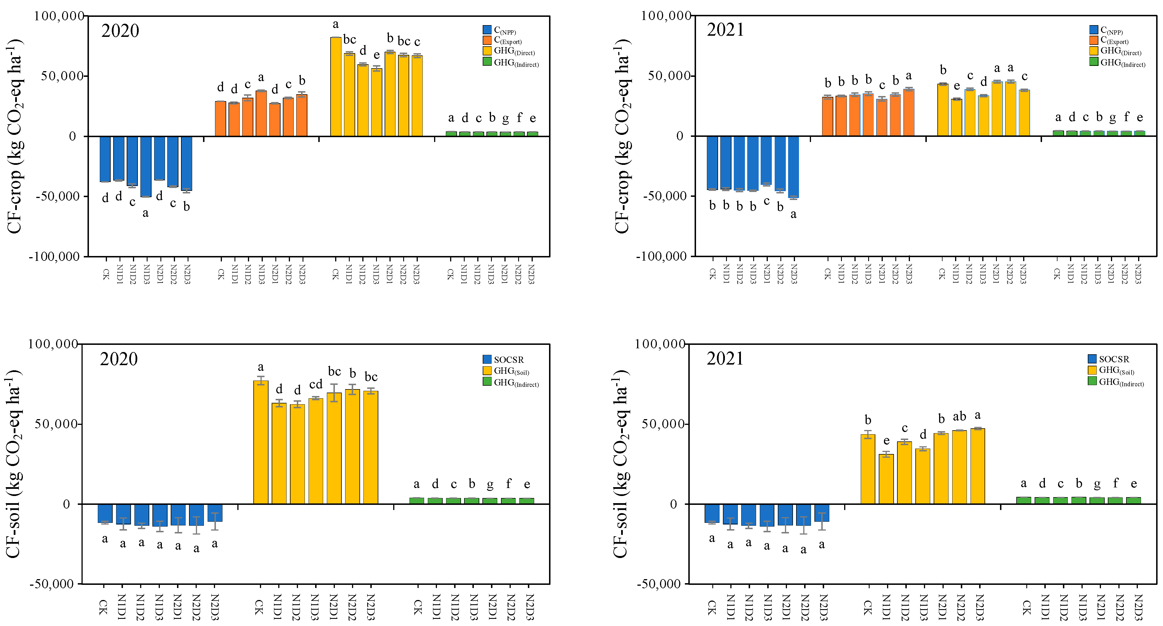
3.4. Constitutions of the Crop-Based Carbon Footprint (CBCF) and Soil-Based Carbon Footprint (SBCF)
3.5. CF and CFy
4. Discussion
4.1. GHG Emissions and SOC
4.2. Soil- and Crop-Based Carbon Footprints
5. Conclusions
Supplementary Materials
Author Contributions
Funding
Data Availability Statement
Conflicts of Interest
Correction Statement
References
- Liang, K.; Zhong, X.; Pan, J.; Huang, N.; Liu, Y.; Peng, B.; Fu, Y.; Hu, X. Reducing nitrogen surplus and environmental losses by optimized nitrogen and water management in double rice cropping system of South China. Agric. Ecosyst. Environ. 2019, 286, 106680. [Google Scholar] [CrossRef]
- Frolking, S.; Qiu, J.; Boles, S.; Xiao, X.; Liu, J.; Zhuang, Y.; Li, C.; Qin, X. Combining remote sensing and ground census data to develop new maps of the distribution of rice agriculture in China. Glob. Biogeochem. Cycles 2002, 16, 38-1–38-10. [Google Scholar] [CrossRef]
- Zhu, D.; Zhang, Y.; Chen, H.; Wang, Y. Development and Prospect of Cultivation Technology of Rice in China. China Rice 2021, 27, 45–49. [Google Scholar]
- Fu, Y.-Q.; Zhong, X.-H.; Zeng, J.-H.; Liang, K.-M.; Pan, J.-F.; Xin, Y.-F.; Liu, Y.-Z.; Hu, X.-Y.; Peng, B.-L.; Chen, R.-B.; et al. Improving grain yield, nitrogen use efficiency and radiation use efficiency by dense planting, with delayed and reduced nitrogen application, in double cropping rice in South China. J. Integr. Agric. 2021, 20, 565–580. [Google Scholar] [CrossRef]
- Huang, M.; Zou, Y.-B. Reducing environmental risk of nitrogen by popularizing mechanically dense transplanting for rice production in China. J. Integr. Agric. 2020, 19, 2362–2366. [Google Scholar] [CrossRef]
- Zhang, D.; Wang, H.; Pan, J.; Luo, J.; Liu, J.; Gu, B.; Liu, S.; Zhai, L.; Lindsey, S.; Zhang, Y.; et al. Nitrogen application rates need to be reduced for half of the rice paddy fields in China. Agric. Ecosyst. Environ. 2018, 265, 8–14. [Google Scholar] [CrossRef]
- Gu, B.; Ge, Y.; Ren, Y.; Xu, B.; Luo, W.; Jiang, H.; Gu, B.; Chang, J. Atmospheric reactive nitrogen in China: Sources, recent trends, and damage costs. Environ. Sci. Technol. 2012, 46, 9420–9427. [Google Scholar] [CrossRef]
- Wang, Z.; Zhang, X.; Liu, L.; Wang, S.; Zhao, L.; Wu, X.; Zhang, W.; Huang, X. Inhibition of methane emissions from Chinese rice fields by nitrogen deposition based on the DNDC model. Agric. Syst. 2020, 184, 102919. [Google Scholar] [CrossRef]
- Owino, O. Scientists torn over Kenya’s recent GM food ban. Nature 2012, 10. [Google Scholar] [CrossRef]
- Guo, J.H.; Liu, X.J.; Zhang, Y.; Shen, J.L.; Han, W.X.; Zhang, W.F.; Christie, P.; Goulding, K.W.T.; Vitousek, P.M.; Zhang, F.S. Significant Acidification in Major Chinese Croplands. Science 2010, 327, 1008–1010. [Google Scholar] [CrossRef]
- Zhang, G.B.; Huang, Q.; Song, K.F.; Yu, H.Y.; Ma, J.; Xu, H. Responses of greenhouse gas emissions and soil carbon and nitrogen sequestration to field management in the winter season: A 6-year measurement in a Chinese double-rice field. Agric. Ecosyst. Environ. 2021, 318, 107506. [Google Scholar] [CrossRef]
- Jiang, Z.H.; Zhong, Y.M.; Yang, J.P.; Wu, Y.X.Y.; Li, H.; Zheng, L. Effect of nitrogen fertilizer rates on carbon footprint and ecosystem service of carbon sequestration in rice production. Sci. Total Environ. 2019, 670, 210–217. [Google Scholar] [CrossRef] [PubMed]
- Xia, L.; Cao, L.; Yang, Y.; Ti, C.; Liu, Y.; Smith, P.; van Groenigen, K.J.; Lehmann, J.; Lal, R.; Butterbach-Bahl, K.; et al. Integrated biochar solutions can achieve carbon-neutral staple crop production. Nat. Food 2023, 4, 236–246. [Google Scholar] [CrossRef] [PubMed]
- Zhong, Y.; Wang, X.; Yang, J.; Zhao, X.; Ye, X. Exploring a suitable nitrogen fertilizer rate to reduce greenhouse gas emissions and ensure rice yields in paddy fields. Sci. Total Environ. 2016, 565, 420–426. [Google Scholar] [CrossRef] [PubMed]
- Jiang, J.; Jiang, S.; Xu, J.; Wang, J.; Li, Z.; Wu, J.; Zhang, J. Lowering nitrogen inputs and optimizing fertilizer types can reduce direct and indirect greenhouse gas emissions from rice-wheat rotation systems. Eur. J. Soil Biol. 2020, 97, 103152. [Google Scholar] [CrossRef]
- Zhou, W.; Long, W.; Wang, H.; Long, P.; Xu, Y.; Zhong, K.; Xiong, R.; Xie, F.; Chen, F.; Fu, Z. Reducing carbon footprints and increasing net ecosystem economic benefits through dense planting with less nitrogen in double-cropping rice systems. Sci. Total Environ. 2023, 891, 164756. [Google Scholar] [CrossRef] [PubMed]
- Xie, X.; Shan, S.; Wang, Y.; Cao, F.; Chen, J.; Huang, M.; Zou, Y. Dense planting with reducing nitrogen rate increased grain yield and nitrogen use efficiency in two hybrid rice varieties across two light conditions. Field Crops Res. 2019, 236, 24–32. [Google Scholar] [CrossRef]
- Huang, M.; Chen, J.N.; Cao, F.B.; Zou, Y.B. Increased hill density can compensate for yield loss from reduced nitrogen input in machine-transplanted double-cropped rice. Field Crops Res. 2018, 221, 333–338. [Google Scholar] [CrossRef]
- Huang, J.; Chen, Y.; Sui, P.; Gao, W. Estimation of net greenhouse gas balance using crop- and soil-based approaches: Two case studies. Sci. Total Environ. 2013, 456–457, 299–306. [Google Scholar] [CrossRef]
- West, T.O.; Marland, G. A synthesis of carbon sequestration, carbon emissions, and net carbon flux in agriculture: Comparing tillage practices in the United States. Agric. Ecosyst. Environ. 2002, 91, 217–232. [Google Scholar] [CrossRef]
- Jia, J.X.; Ma, Y.C.; Xiong, Z.Q. Net ecosystem carbon budget, net global warming potential and greenhouse gas intensity in intensive vegetable ecosystems in China. Agric. Ecosyst. Environ. 2012, 150, 27–37. [Google Scholar] [CrossRef]
- Deng, J.; Feng, X.; Wang, D.; Lu, J.; Chong, H.; Shang, C.; Liu, K.; Huang, L.; Tian, X.; Zhang, Y. Root morphological traits and distribution in direct-seeded rice under dense planting with reduced nitrogen. PLoS ONE 2020, 15, e0238362. [Google Scholar] [CrossRef] [PubMed]
- Xu, Y.; Liang, L.Q.; Wang, B.R.; Xiang, J.B.; Gao, M.T.; Fu, Z.Q.; Long, P.; Luo, H.B.; Huang, C. Conversion from double-season rice to ratoon rice paddy fields reduces carbon footprint and enhances net ecosystem economic benefit. Sci. Total Environ. 2022, 813, 152550. [Google Scholar] [CrossRef] [PubMed]
- Liu, X.; Xu, F.; Li, Z.; Chu, Q.; Yang, X.; Chen, F. The missteps, improvement and application of carbon footprint methodology in farmland ecosystems with the case study of analyzing the carbon efficiency of china’s intensive farming. Chin. J. Agric. Resour. Reg. Plan. 2013, 34, 1–11. [Google Scholar]
- Yao, Z.; Zheng, X.; Dong, H.; Wang, R.; Mei, B.; Zhu, J. A 3-year record of N2O and CH4 emissions from a sandy loam paddy during rice seasons as affected by different nitrogen application rates. Agric. Ecosyst. Environ. 2012, 152, 1–9. [Google Scholar] [CrossRef]
- He, G.; Wang, Z.; Cui, Z. Managing irrigation water for sustainable rice production in China. J. Clean. Prod. 2020, 245, 118928. [Google Scholar] [CrossRef]
- Linquist, B.A.; Anders, M.M.; Adviento-Borbe, M.A.; Chaney, R.L.; Nalley, L.L.; da Rosa, E.F.; van Kessel, C. Reducing greenhouse gas emissions, water use, and grain arsenic levels in rice systems. Glob. Chang. Biol. 2015, 21, 407–417. [Google Scholar] [CrossRef]
- Zhu, Z.; Ge, T.; Liu, S.; Hu, Y.; Ye, R.; Xiao, M.; Tong, C.; Kuzyakov, Y.; Wu, J. Rice rhizodeposits affect organic matter priming in paddy soil: The role of N fertilization and plant growth for enzyme activities, CO2 and CH4 emissions. Soil Biol. Biochem. 2018, 116, 369–377. [Google Scholar] [CrossRef]
- Linquist, B.A.; Adviento-Borbe, M.A.; Pittelkow, C.M.; van Kessel, C.; van Groenigen, K.J. Fertilizer management practices and greenhouse gas emissions from rice systems: A quantitative review and analysis. Field Crops Res. 2012, 135, 10–21. [Google Scholar] [CrossRef]
- Liu, C.; Lu, M.; Cui, J.; Li, B.; Fang, C. Effects of straw carbon input on carbon dynamics in agricultural soils: A meta-analysis. Glob. Chang. Biol. 2014, 20, 1366–1381. [Google Scholar] [CrossRef]
- Shang, Q.; Yang, X.; Gao, C.; Wu, P.; Liu, J.; Xu, Y.; Shen, Q.; Zou, J.; Guo, S. Net annual global warming potential and greenhouse gas intensity in Chinese double rice-cropping systems: A 3-year field measurement in long-term fertilizer experiments. Glob. Chang. Biol. 2011, 17, 2196–2210. [Google Scholar] [CrossRef]
- Wang, W.; Hou, Y.; Pan, W.; Vinay, N.; Mo, F.; Liao, Y.; Wen, X. Continuous application of conservation tillage affects in situ N2O emissions and nitrogen cycling gene abundances following nitrogen fertilization. Soil Biol. Biochem. 2021, 157, 108239. [Google Scholar] [CrossRef]
- Liu, Y.; Ge, T.; van Groenigen, K.J.; Yang, Y.; Wang, P.; Cheng, K.; Zhu, Z.; Wang, J.; Li, Y.; Guggenberger, G.; et al. Rice paddy soils are a quantitatively important carbon store according to a global synthesis. Commun. Earth Environ. 2021, 2, 154. [Google Scholar] [CrossRef]
- Ge, T.; Li, B.; Zhu, Z.; Hu, Y.; Yuan, H.; Dorodnikov, M.; Jones, D.L.; Wu, J.; Kuzyakov, Y. Rice rhizodeposition and its utilization by microbial groups depends on N fertilization. Biol. Fertil. Soils 2016, 53, 37–48. [Google Scholar] [CrossRef]
- Ge, T.; Yuan, H.; Zhu, H.; Wu, X.; Nie, S.a.; Liu, C.; Tong, C.; Wu, J.; Brookes, P. Biological carbon assimilation and dynamics in a flooded rice—Soil system. Soil Biol. Biochem. 2012, 48, 39–46. [Google Scholar] [CrossRef]
- Liu, Y.; Ge, T.; Zhu, Z.; Liu, S.; Luo, Y.; Li, Y.; Wang, P.; Gavrichkova, O.; Xu, X.; Wang, J.; et al. Carbon input and allocation by rice into paddy soils: A review. Soil Biol. Biochem. 2019, 133, 97–107. [Google Scholar] [CrossRef]
- Cui, H.; Wang, Y.; Luo, Y.; Jin, M.; Chen, J.; Pang, D.; Li, Y.; Wang, Z. Tillage strategies optimize SOC distribution to reduce carbon footprint. Soil Tillage Res. 2022, 223, 105499. [Google Scholar] [CrossRef]
- Xue, J.-F.; Pu, C.; Liu, S.-L.; Zhao, X.; Zhang, R.; Chen, F.; Xiao, X.-P.; Zhang, H.-L. Carbon and nitrogen footprint of double rice production in Southern China. Ecol. Indic. 2016, 64, 249–257. [Google Scholar] [CrossRef]
- Linquist, B.; van Groenigen, K.J.; Adviento-Borbe, M.A.; Pittelkow, C.; van Kessel, C. An agronomic assessment of greenhouse gas emissions from major cereal crops. Glob. Chang. Biol. 2012, 18, 194–209. [Google Scholar] [CrossRef]
- Cao, Y.; Tian, Y.; Yin, B.; Zhu, Z. Assessment of ammonia volatilization from paddy fields under crop management practices aimed to increase grain yield and N efficiency. Field Crops Res. 2013, 147, 23–31. [Google Scholar] [CrossRef]
- Zhou, Y.; Ji, Y.; Zhang, M.; Xu, Y.; Li, Z.; Tu, D.; Wu, W. Exploring a sustainable rice-cropping system to balance grain yield, environmental footprint and economic benefits in the middle and lower reaches of the Yangtze River in China. J. Clean. Prod. 2023, 404, 136988. [Google Scholar] [CrossRef]
- Chen, Z.; Zhang, H.; Xue, J.; Liu, S.; Chen, F. A nine-year study on the effects of tillage on net annual global warming potential in double rice-cropping systems in Southern China. Soil Tillage Res. 2021, 206, 104797. [Google Scholar] [CrossRef]
- Hou, H.; Peng, S.; Xu, J.; Yang, S.; Mao, Z. Seasonal variations of CH4 and N2O emissions in response to water management of paddy fields located in Southeast China. Chemosphere 2012, 89, 884–892. [Google Scholar] [CrossRef] [PubMed]
- Shi, Y.; Lou, Y.; Zhang, Y.; Xu, Z. Quantitative contributions of climate change, new cultivars adoption, and management practices to yield and global warming potential in rice-winter wheat rotation ecosystems. Agric. Syst. 2021, 190, 103087. [Google Scholar] [CrossRef]
- Fageria, N.K. Yield Physiology of Rice. J. Plant Nutr. 2007, 30, 843–879. [Google Scholar] [CrossRef]
- Huang, M.; Yang, C.; Ji, Q.; Jiang, L.; Tan, J.; Li, Y. Tillering responses of rice to plant density and nitrogen rate in a subtropical environment of southern China. Field Crops Res. 2013, 149, 187–192. [Google Scholar] [CrossRef]
- Zhu, X.; Zhang, J.; Zhang, Z.; Deng, A.; Zhang, W. Dense planting with less basal nitrogen fertilization might benefit rice cropping for high yield with less environmental impacts. J. Eur. J. Agron. 2016, 75, 50–59. [Google Scholar] [CrossRef]







| Season | Treatment | Nitrogen Application Rate (kg ha−2) | Transplanting Density | ||||
|---|---|---|---|---|---|---|---|
| Total Fertilizer | Based Fertilizer | Tiller Fertilizer | Panicle Fertilizer | Plant and Row Spacing (cm × cm) | Hole Number (×104 ha−2) | ||
| Early rice season | (CK) N0D1 | 120.0 | 60.0 | 36.0 | 24.0 | 20 × 20 | 25 |
| N1D1 | 108.0 | 54.0 | 32.4 | 21.6 | 20 × 20 | 25 | |
| N1D2 | 108.0 | 54.0 | 32.4 | 21.6 | 20 × 16.7 | 30 | |
| N1D3 | 108.0 | 54.0 | 32.4 | 21.6 | 17 × 16.7 | 35 | |
| N2D1 | 96.0 | 48.0 | 28.8 | 19.2 | 20 × 20 | 25 | |
| N2D2 | 96.0 | 48.0 | 28.8 | 19.2 | 20 × 16.7 | 30 | |
| N2D3 | 96.0 | 48.0 | 28.8 | 19.2 | 17 × 16.7 | 35 | |
| Late rice season | (CK) N0D1 | 150.0 | 75.0 | 45.0 | 30.0 | 20 × 20 | 25 |
| N1D1 | 135.0 | 67.5 | 40.5 | 27.0 | 20 × 20 | 25 | |
| N1D2 | 135.0 | 67.5 | 40.5 | 27.0 | 20 × 16.7 | 30 | |
| N1D3 | 135.0 | 67.5 | 40.5 | 27.0 | 17 × 16.7 | 35 | |
| N2D1 | 120.0 | 60.0 | 36.0 | 24.0 | 20 × 20 | 25 | |
| N2D2 | 120.0 | 60.0 | 36.0 | 24.0 | 20 × 16.7 | 30 | |
| N2D3 | 120.0 | 60.0 | 36.0 | 24.0 | 17 × 16.7 | 35 | |
| Item | Item Unit | Indirect Emissions Coefficient | Unit | Reference |
|---|---|---|---|---|
| N | kg/hm2 | 4.96 | kg CO2 eq kg−1 | CLCD v0.7 |
| P | kg/hm2 | 1.14 | kg CO2 eq kg−1 | CLCD v0.7 |
| K | kg/hm2 | 0.66 | kg CO2 eq kg−1 | CLCD v0.7 |
| Herbicides | kg/hm2 | 10.15 | kg CO2 eq kg−1 | [23] |
| Pesticides | kg/hm2 | 16.61 | kg CO2 eq kg−1 | [23] |
| Fungicides | kg/hm2 | 10.57 | kg CO2 eq kg−1 | [23] |
| Rice seed | kg/hm2 | 1.84 | kg CO2 eq kg−1 | [23] |
| Mechanical | kg/hm2 | 3.32 | kg CO2 eq kg−1 | [24] |
| Electricity for irrigation | KW·h−1 | 0.92 | kg CO2 eq kw·h−1 | [24] |
| labor | person·day·hm−2 | 0.86 | kg CO2 eq person−1 day−1 | [24] |
| Treatment | SOC (g kg−1) | BD (g cm−3) | SOCstock2018 (kg ha−1) | SOCstock2021 (kg ha−1) | SOCSR (kg ha−1 yr−1) |
|---|---|---|---|---|---|
| CK | 22.95 ± 1.46 a | 1.12 ± 0.05 a | 38,641.33 ± 826.42 a | 51,275.83 ± 907.62 a | 3158.62 ± 226.91 a |
| N1D1 | 23.51 ± 0.13 a | 1.11 ± 0.08 a | 38,641.33 ± 826.42 a | 52,175.46 ± 4034.12 a | 3383.53 ± 1008.53 a |
| N1D2 | 23.09 ± 0.74 a | 1.16 ± 0.07 a | 38,641.33 ± 826.42 a | 53,419.07 ± 1811.19 a | 3694.43 ± 452.8 a |
| N1D3 | 22.57 ± 0.23 a | 1.19 ± 0.07 a | 38,641.33 ± 826.42 a | 53,829.9 ± 3541.71 a | 3797.14 ± 885.43 a |
| N2D1 | 22.81 ± 1.07 a | 1.16 ± 0.06 a | 38,641.33 ± 826.42 a | 53,025.76 ± 5170.44 a | 3596.11 ± 1292.61 a |
| N2D2 | 23.05 ± 1.64 a | 1.15 ± 0.1 a | 38,641.33 ± 826.42 a | 53,214.21 ± 5877.67 a | 3643.22 ± 1469.42 a |
| N2D3 | 21.86 ± 3 a | 1.16 ± 0.07 a | 38,641.33 ± 826.42 a | 50,567.32 ± 5801.25 a | 2981.5 ± 1450.31 a |
Disclaimer/Publisher’s Note: The statements, opinions and data contained in all publications are solely those of the individual author(s) and contributor(s) and not of MDPI and/or the editor(s). MDPI and/or the editor(s) disclaim responsibility for any injury to people or property resulting from any ideas, methods, instructions or products referred to in the content. |
© 2024 by the authors. Licensee MDPI, Basel, Switzerland. This article is an open access article distributed under the terms and conditions of the Creative Commons Attribution (CC BY) license (https://creativecommons.org/licenses/by/4.0/).
Share and Cite
Zhang, W.; Fu, Z.; Zhao, X.; Guo, H.; Yan, L.; Zhou, M.; Zhang, L.; Ye, Y.; Liu, W.; Xu, Y.; et al. Comparison of Carbon Footprint Differences in Nitrogen Reduction and Density Increase in Double Cropping Rice under Two Evaluation Methods. Agronomy 2024, 14, 803. https://doi.org/10.3390/agronomy14040803
Zhang W, Fu Z, Zhao X, Guo H, Yan L, Zhou M, Zhang L, Ye Y, Liu W, Xu Y, et al. Comparison of Carbon Footprint Differences in Nitrogen Reduction and Density Increase in Double Cropping Rice under Two Evaluation Methods. Agronomy. 2024; 14(4):803. https://doi.org/10.3390/agronomy14040803
Chicago/Turabian StyleZhang, Wei, Zhiqiang Fu, Xinhui Zhao, Huijuan Guo, Lingling Yan, Mengyao Zhou, Leyan Zhang, Yumeng Ye, Wen Liu, Ying Xu, and et al. 2024. "Comparison of Carbon Footprint Differences in Nitrogen Reduction and Density Increase in Double Cropping Rice under Two Evaluation Methods" Agronomy 14, no. 4: 803. https://doi.org/10.3390/agronomy14040803
APA StyleZhang, W., Fu, Z., Zhao, X., Guo, H., Yan, L., Zhou, M., Zhang, L., Ye, Y., Liu, W., Xu, Y., & Long, P. (2024). Comparison of Carbon Footprint Differences in Nitrogen Reduction and Density Increase in Double Cropping Rice under Two Evaluation Methods. Agronomy, 14(4), 803. https://doi.org/10.3390/agronomy14040803
