Influence of Super-Absorbent Polymer on Growth and Productivity of Green Bean under Drought Conditions
Abstract
1. Introduction
2. Materials and Methods
2.1. Field Site and Treatments
2.2. Experimental Design
2.3. Studied Traits
2.3.1. Leaf Parameters
Leaf Chemical Properties
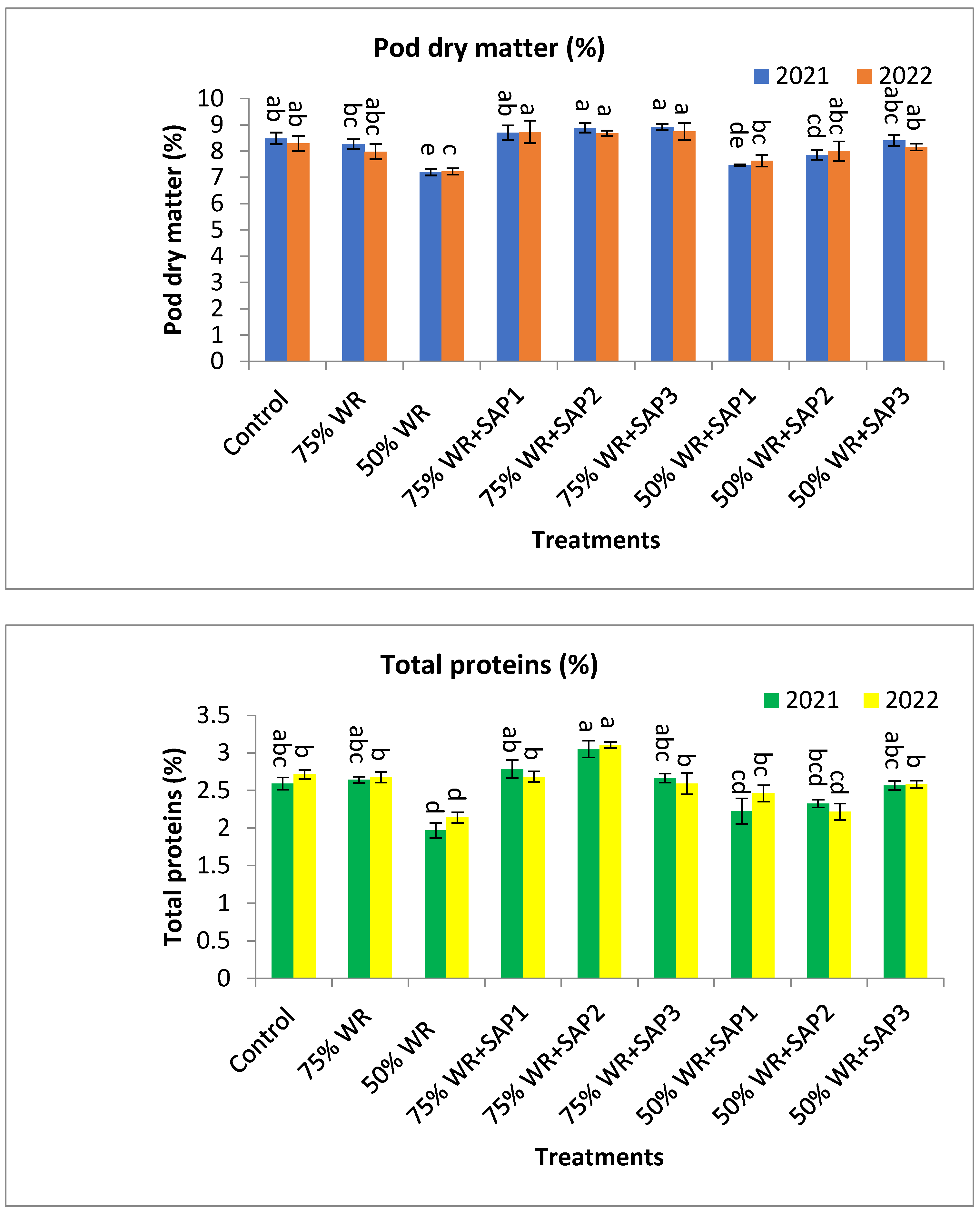
2.3.2. Pod Parameters
2.3.3. Yield and Relative Yield Increases
2.3.4. Water Status
2.4. Statistical Analysis
3. Results
3.1. Plant Parameters
3.2. Pod Parameters
3.3. Yield and Relative Yield Increase
3.4. Water Statues
3.5. Pearson’s Correlation Analysis
4. Discussion
5. Conclusions
Author Contributions
Funding
Data Availability Statement
Acknowledgments
Conflicts of Interest
References
- Fabbri, A.D.T.; Crosby, G.A. A Review of the Impact of Preparation and Cooking on the Nutritional Quality of Vegetables and Legumes. Int. J. Gastron. Food Sci. 2016, 3, 2–11. [Google Scholar] [CrossRef]
- Laloo, B.; Chakraborti, P. Modification in Physiological Performances of French Bean (Phaseolus vulgaris L.) Seed through Seed Priming. Indian J. Agric. Res. 2022. [Google Scholar] [CrossRef]
- Kim, H.J.; Jaehong, S.; Kang, Y.-R.; Kim, D.-D.; Park, J.J.; Kim, H.J. Effect of Different Cooking Method on Vitamin E and K Content and True Retention of Legumes and Vegetables Commonly Consumed in Korea. Food Sci. Biotechnol. 2022, 32, 647–658. [Google Scholar] [CrossRef] [PubMed]
- Hassan, H.B.A.; Mohamed, A.O.; Mohamed, E.A.F.; Mohamed, K.A. The Comparative Advantage of Green Bean Crop in Egypt. Middle East J. 2023, 12, 95–108. [Google Scholar]
- Alvar-Beltrán, J.; Soldan, R.; Ly, P.; Seng, V.; Srun, K.; Manzanas, R.; Franceschini, G.; Heureux, A. Modelling Climate Change Impacts on Wet and Dry Season Rice in Cambodia. J. Agron. Crop Sci. 2022, 208, 746–761. [Google Scholar] [CrossRef]
- Warsame, A.A.; Sheik-Ali, I.A.; Jama, O.M.; Hassan, A.A.; Barre, G.M. Assessing the Effects of Climate Change and Political Instability on Sorghum Production: Empirical Evidence from Somalia. J. Clean. Prod. 2022, 360, 131893. [Google Scholar] [CrossRef]
- Abdel-Mawgowd, A.M.; El-Nemr, M.A.; Tantawy, A.S.; Habib, H.A. Alleviation of salinity effects on green bean plants using some environmental friendly materials. J. Appl. Sci. Res. 2010, 6, 871–878. [Google Scholar]
- Riad, G.S.; Youssef, S.M.; Nashwa, A.I.A.; Ahmed, E.M. Amending Sandy Soil with Biochar or/and Superabsorbent Polymer Mitigates the Adverse Effects of Drought Stress on Green Pea. Egypt. J. Hort. 2018, 45, 169–183. [Google Scholar]
- Gabr, M.E. Land Reclamation Projects in the Egyptian Western Desert: Management of 1.5 Million Acres of Groundwater Irrigation. Water Int. 2023, 48, 240–258. [Google Scholar] [CrossRef]
- Schapel, A.; Bell, R.; Yeap, S.; Hall, D. Sandy Soil Constraints; CRC Press: Boca Raton, FL, USA, 2023; pp. 343–364. [Google Scholar] [CrossRef]
- Leitao, S.T.; Araújo, S.S.; Rubiales, D.; Vaz, C. Abiotic and Biotic Stresses Interaction in Fabaceae Plants. Contributions from the Grain Legumes/Soilborne Vascular Diseases/Drought Stress Triangle. In The Plant Family Fabaceae; Springer: Singapore, 2020; pp. 237–260. [Google Scholar] [CrossRef]
- Farooq, M.; Ahmad, R.; Shahzad, M.; Ahmad, K.; Sajjad, Y.; Hassan, A.; Nazeer, A.; Shah, M.M.; Kalsoom, B.; Khan, S.A. Evaluation of Morphological and Biochemical Variations in Pea under Two Widespread Abiotic Stresses. Res. Sq. 2023. preprint. [Google Scholar] [CrossRef]
- Abd El-Gawad, H.G.; Mukherjee, S.; Farag, R.; Abd Elbar, O.H.; Hikal, M.; Abou El-Yazied, A.; Abd Elhady, S.A.; Helal, N.; ElKelish, A.; El Nahhas, N.; et al. Exogenous γ-Aminobutyric Acid (GABA)-Induced Signaling Events and Field Performance Associated with Mitigation of Drought Stress in Phaseolus vulgaris L. Plant Signal. Behav. 2020, 16, 1853384. [Google Scholar] [CrossRef]
- Oguz, M.C.; Aycan, M.; Oguz, E.; Poyraz, I.; Yildiz, M. Drought Stress Tolerance in Plants: Interplay of Molecular, Biochemical and Physiological Responses in Important Development Stages. Physiologia 2022, 2, 180–197. [Google Scholar] [CrossRef]
- Oliveira, I.; Meyer, A.; Silva, R.; Afonso, S.; Gonçalves, B. Effect of Almond Shell Addition to Substrates in Phaseolus Vulgaris L. (Cv. Saxa) Growth, and Physiological and Biochemical Characteristics. Int. J. Recycl. Org. Waste Agric. 2019, 8, 179–186. [Google Scholar] [CrossRef]
- Velasco, N.F.; Ligarreto, G.A.; Díaz, H.R.; Fonseca, L.P.M. Photosynthetic Responses and Tolerance to Root-Zone Hypoxia Stress of Five Bean Cultivars (Phaseolus vulgaris L.). S. Afr. J. Bot. 2019, 123, 200–207. [Google Scholar] [CrossRef]
- Martínez-Nieto, M.I.; González-Orenga, S.; Soriano, P.; Prieto-Mossi, J.; Larrea, E.; Doménech-Carbó, A.; Tofei, A.M.; Vicente, O.; Mayoral, O. Are Traditional Lima Bean (Phaseolus lunatus L.) Landraces Valuable to Cope with Climate Change? Effects of Drought on Growth and Biochemical Stress Markers. Agronomy 2022, 12, 1715. [Google Scholar] [CrossRef]
- Abdelhak, M. Soil Improvement in Arid and Semiarid Regions for Sustainable Development. In Natural Resources Conservation and Advances for Sustainability; Elsevier: Amsterdam, The Netherlands, 2022; pp. 73–90. [Google Scholar] [CrossRef]
- Venkatachalam, D.; Kaliappa, S. Superabsorbent Polymers: A State-of-Art Review on Their Classification, Synthesis, Physicochemical Properties, and Applications. Rev. Chem. Eng. 2021, 39, 127–171. [Google Scholar] [CrossRef]
- Miao, J.; Fan, T. Flexible and Stretchable Transparent Conductive Graphene-Based Electrodes for Emerging Wearable Electronics. Carbon 2022, 202, 495–527. [Google Scholar] [CrossRef]
- Andry, H.; Yamamoto, T.; Irie, T.; Moritani, S.; Inoue, M.; Fujiyama, H. Water Retention, Hydraulic Conductivity of Hydrophilic Polymers in Sandy Soil as Affected by Temperature and Water Quality. J. Hydrol. 2009, 373, 177–183. [Google Scholar] [CrossRef]
- Abedi-Koupai, J.; Sohrab, F.; Swarbrick, G. Evaluation of Hydrogel Application on Soil Water Retention Characteristics. J. Plant Nutr. 2008, 31, 317–331. [Google Scholar] [CrossRef]
- Bilal, B.; Bilal, M.K.N.; Zaib, J.; Arshad, H.; MunirHussain, Z.; Muhammad Taqi, M. Coating materials for slow release of nitrogen from urea fertilizer: A review. J. Plant Nutr. 2020, 43, 1510–1533. [Google Scholar] [CrossRef]
- Dorraji, S.S.; Golchin, A.; Ahmadi, S. The Effects of Hydrophilic Polymer and Soil Salinity on Corn Growth in Sandy and Loamy Soils. CLEAN–Soil Air Water 2010, 38, 584–591. [Google Scholar] [CrossRef]
- Sivapalan, S. Benefits of Treating a Sandy Soil with a Crosslinked-Type Polyacrylamide. Aust. J. Exp. Agric. 2006, 46, 579–584. [Google Scholar] [CrossRef]
- Hüttermann, A.; Orikiriza, L.J.B.; Agaba, H. Application of Superabsorbent Polymers for Improving the Ecological Chemistry of Degraded or Polluted Lands. CLEAN–Soil Air Water 2009, 37, 517–526. [Google Scholar] [CrossRef]
- Kim, S.-J.; Iyer, G.; Nadarajah, A.; Frantz, J.M.; Spongberg, A.L. Polyacrylamide Hydrogel Properties for Horticultural Applications. CLEAN–Soil Air Water 2010, 15, 307–318. [Google Scholar] [CrossRef]
- Malik, S.; Chaudhary, K.; Malik, A.; Punia, H.; Sewhag, M.; Berkesia, N.; Nagora, M.; Kalia, S.; Malik, K.; Kumar, D.; et al. Superabsorbent Polymers as a Soil Amendment for Increasing Agriculture Production with Reducing Water Losses under Water Stress Condition. Polymers 2022, 15, 161. [Google Scholar] [CrossRef]
- Oladosu, Y.; Rafii, M.Y.; Arolu, F.; Chukwu, S.C.; Salisu, M.A.; Fagbohun, I.K.; Muftaudeen, T.K.; Swaray, S.; Haliru, B.S. Superabsorbent Polymer Hydrogels for Sustainable Agriculture: A Review. Horticulturae 2022, 8, 605. [Google Scholar] [CrossRef]
- Zheng, H.; Mei, P.; Wang, W.; Yin, Y.; Li, H.; Zheng, M.; Ou, X.; Cui, Z. Effects of Super Absorbent Polymer on Crop Yield, Water Productivity and Soil Properties: A Global Meta-Analysis. Agric. Water Manag. 2023, 282, 108290. [Google Scholar] [CrossRef]
- Pouresmaeil, P.; Habibi, D.; Boojar, M.M.A. Yield and yield component quality of red bean (Phaseolus vulgaris L.) cultivars in response to water stress and super absorbent polymer application. Ann. Biol. Res. 2012, 3, 5701–5704. [Google Scholar]
- Pouresmaeil, P.; Habibi, D.; Boojar, M.M.A.; Tarighaleslami, M.; Khoshouei, S. Effects of superabsorbent application on agronomic characters of red bean (Phaseolus vulgaris L.) cultivars under drought stress conditions. Intl. J. Agri. Crop Sci. 2012, 4, 1874–1877. [Google Scholar]
- Pouresmaeil, P.; Habibi, D.; Boojar, M.M.A.; Tarighaleslami, M.; Khoshouei, S. Effect of super absorbent polymer application on chemical and biochemical activities in red bean (Phaseolus volgaris L.) cultivars under drought stress. Eur. J. Exp. Biol. 2013, 3, 261–266. [Google Scholar]
- Mehraban, A.; Afrazeh, H. The effect of irrigation intervals and consumption of super absorbent polymers on yield and yield components of the local mung beans in Khash region. Adv. Environ. Biol. 2014, 8, 118–121. [Google Scholar]
- Ahmed, E.M.; El-Tohamy, W.A.; El-Abagy, H.M.H.; Aggor, F.S.; Nada, S.S. Response of snap bean plants to super absorbent hydrogel treatments under drought stress conditions. Curr. Sci. Int. 2015, 4, 467–472. [Google Scholar]
- Kamal, A.M.; El-Shazly, M.M. Maximizing the productivity and water use effiiency of tomato plants (Lycopersicon esculentum mill.) cultivated in the new reclaimed lands using different irrigation water quantities and some water saving substances. J. Plant Prod. Mansoura Univ. 2013, 4, 1399–1416. [Google Scholar] [CrossRef]
- Shahrokhian, Z.; Mirzaei, F.; Heidari, A. Effects of super absorbent polymer on tomato’s yield under water stress conditions and its role in the maintenance and release of nitrate. World Rural. Obs. 2013, 5, 15–19. [Google Scholar]
- Fernando, T.N.; Aruggoda, A.G.B.; Disanayaka, C.K.; Kulathunge, S. Evaluating the effects of different watering intervals and prepared soilless media incorporated with a best weight of super absorbent polymer (SAP) on growth of tomato. J. Eng. Technol. Open Univ. Sri Lanka (JET-OUSL) 2014, 2, 1–14. [Google Scholar]
- El Sagan, M.A.M. Effect of polymer on drought tolerance of tomato (Solanum lycopersicum L.). Eur. J. Acad. Essays 2015, 2, 72–82. [Google Scholar]
- Beig, A.V.G.; Neamati, S.H.; Tehranifar, A.; Emami, H. Evaluation of chlorophyll florescence and biochemical traits of lettuce under drought stress and super absorbent or bentonite application. J. Stress Physiol. Biochem. 2014, 10, 301–315. [Google Scholar]
- El-Tohamy, W.A.; El-Abagy, H.M.H.; Ahmed, E.M.; Aggor, F.S.; Hawash, S.I. Application of super absorbent hydrogel poly (acrylate/acrylic acid) for water conservation in sandy soil. Trans. Egypt. Soc. Chem. Eng. 2014, 40, 1–8. [Google Scholar]
- Safavi, F.; Galavi, M.; Ramroodi, M.; Chaman, M.R.A. Effect of super absorbent polymer, potassium and manure animal to drought stress on qualitative and quantitative traits of pumpkin (Cucurbita pepo). Intl. J. Farm Alli. Sci. 2016, 5, 330–335. [Google Scholar]
- Allen, R.G.; Pereira, L.S.; Raes, D.; Smith, M. Crop Evapotranspiration-Guidelines for Computing Crop Water Requirements-FAO Irrigation and Drainage 1998, Paper 56; FAO: Roma, Italy, 1998. [Google Scholar]
- Patanè, C.; Cosentino, S.L.; Romano, D.; Toscano, S. Relative Water Content, Proline, and Antioxidant Enzymes in Leaves of Long Shelf-Life Tomatoes under Drought Stress and Rewatering. Plants 2022, 11, 3045. [Google Scholar] [CrossRef]
- Lichtenther, H.K. Chlorophylls and carotenoides: Pigments of photosynthesis. Methods in Enzymology. INRA EDP Sci. 1987, 57, 245–250. [Google Scholar]
- Bates, L.S.; Waldren, R.P.; Teare, I.D. Rapid Determination of Free Proline for Water-Stress Studies. Plant Soil 1973, 39, 205–207. [Google Scholar] [CrossRef]
- Rao, B.; Deshpande, V. Experimental Biochemistry; Anshan Ltd: Tunbridge Wells, Kent, UK, 2006. [Google Scholar]
- DuBois, M.; Gilles, K.A.; Hamilton, J.K.; Rebers, P.A.; Smith, F. Colorimetric Method for Determination of Sugars and Related Substances. Anal. Chem. 1956, 28, 350–356. [Google Scholar] [CrossRef]
- AOAC International. Association of Official Analytical Chemists; AOAC International: Rockville, MD, USA, 2005. [Google Scholar]
- Sadasivam, S.; Manickam, A. Biochemical Methods for Agricultural Sciences; Wiley Eastern Limited: New Delhi, India; Tamil Nadu Agricultural University: Coimbatore, India, 1991; pp. 20–21. [Google Scholar]
- Alomari-Mheidat, M.; Martín-Palomo, M.J.; Castro-Valdecantos, P.; Medina-Zurita, N.; Moriana, A.; Corell, M. Effect of Water Stress on the Yield of Indeterminate-Growth Green Bean Cultivars (Phaseolus vulgaris L.) during the Autumn Cycle in Southern Spain. Agriculture 2022, 13, 46. [Google Scholar] [CrossRef]
- Quilambo, O.A. Proline Content, Water Retention Capability and Cell Membrane Integrity as Parameters for Drought Tolerance in Two Peanut Cultivars. S. Afr. J. Bot. 2004, 70, 227–234. [Google Scholar] [CrossRef]
- Chmeleva, S.I.; Kucher, E.N. Methodological materials and tasks for conducting practical classes in the discipline “Plant resistance”. Simferopol 2016, 16–20. (In Russian). Available online: https://ta.cfuv.ru/system/fies/Ustojchivost%27%20rastenij.pdf (accessed on 24 May 2024).
- Snedecor, G.W.; Cochran, W.G. Statistical Methods, 8th ed.; Lowa State University Press: Ames, IA, USA, 1989; p. 1191. [Google Scholar]
- Duncan, S., Jr. Nonverbal Communication. Psychol. Bull. 1969, 72, 118–137. [Google Scholar] [CrossRef]
- Bishara, A.J.; Hittner, J.B. Testing the Significance of a Correlation with Nonnormal Data: Comparison of Pearson, Spearman, Transformation, and Resampling Approaches. Psychol. Methods 2012, 17, 399–417. [Google Scholar] [CrossRef]
- Abd Ellah, R.G. Water Resources in Egypt and Their Challenges, Lake Nasser Case Study. Egypt. J. Aquat. Res. 2020, 46, 1–12. [Google Scholar] [CrossRef]
- Abdelrasheed, K.G.; Mazrou, Y.; Omara, A.E.-D.; Osman, H.S.; Nehela, Y.; Hafez, E.M.; Rady, A.M.S.; El-Moneim, D.A.; Alowaiesh, B.F.; Gowayed, S.M. Soil Amendment Using Biochar and Application of K-Humate Enhance the Growth, Productivity, and Nutritional Value of Onion (Allium cepa L.) under Deficit Irrigation Conditions. Plants 2021, 10, 2598. [Google Scholar] [CrossRef]
- Roig-Oliver, M.; Fullana-Pericàs, M.; Bota, J.; Flexas, J. Genotype-Dependent Changes of Cell Wall Composition Influence Physiological Traits of a Long and a Non-Long Shelf-Life Tomato Genotypes under Distinct Water Regimes. Plant J. 2022, 112, 1396–1412. [Google Scholar] [CrossRef] [PubMed]
- Roig-Oliver, M.; Nadal, M.; Clemente-Moreno, M.J.; Bota, J.; Flexas, J. Cell Wall Components Regulate Photosynthesis and Leaf Water Relations of Vitis Vinifera Cv. Grenache Acclimated to Contrasting Environmental Conditions. J. Plant Physiol. 2020, 244, 153084. [Google Scholar] [CrossRef] [PubMed]
- Ullah, A.; Romdhane, L.; Rehman, A.; Farooq, M. Adequate Zinc Nutrition Improves the Tolerance against Drought and Heat Stresses in Chickpea. Plant Physiol. Biochem. 2019, 143, 11–18. [Google Scholar] [CrossRef] [PubMed]
- Farooq, M.; Ahmad, R.; Shahzad, M.; Sajjad, Y.; Hassan, A.; Shah, M.M.; Naz, S.; Khan, S.A. Differential Variations in Total Flavonoid Content and Antioxidant Enzymes Activities in Pea under Different Salt and Drought Stresses. Sci. Hortic. 2021, 287, 110258. [Google Scholar] [CrossRef]
- Khatun, M.; Sarkar, S.; Era, F.M.; Islam, A.K.M.M.; Anwar, P.; Fahad, S.; Datta, R.; Islam, A.K.M.A. Drought Stress in Grain Legumes: Effects, Tolerance Mechanisms and Management. Agronomy 2021, 11, 2374. [Google Scholar] [CrossRef]
- Wahab, A.; Abdi, G.; Saleem, M.H.; Ali, B.; Ullah, S.; Shah, W.; Mumtaz, S.; Yasin, G.; Muresan, C.C.; Marc, R.A. Plants’ Physio-Biochemical and Phyto-Hormonal Responses to Alleviate the Adverse Effects of Drought Stress: A Comprehensive Review. Plants 2022, 11, 1620. [Google Scholar] [CrossRef] [PubMed]
- Yang, Y.; Zhang, S.; Wu, J.; Gao, C.; Lu, D.; Tang, D.W.S. Effect of Long Term Application of Super Absorbent Polymer on Soil Structure, Soil Enzyme Activity, Photosynthetic Characteristics, Water and Nitrogen Use of Winter Wheat. Front. Plant Sci. 2022, 13, 998494. [Google Scholar] [CrossRef]
- Teferi, M.F.; Tesfaye, B.; Woldemichael, A.; Debella, A. Snap Bean (Phaseolus vulgaris) Response to Deficit Irrigation and Nitrogen Fertilizer and Relationships between Yield, Yield Component, and Protein Content. Int. J. Agron. 2022, 2022, 1–10. [Google Scholar] [CrossRef]
- Wood, J.D.; Gu, L.; Hanson, P.R.; Frankenberg, C.; Sack, L. The Ecosystem Wilting Point Defines Drought Response and Recovery of a Quercus-Carya Forest. Glob. Change Biol. 2023, 29, 2015–2029. [Google Scholar] [CrossRef]
- Rajanna, G.A.; Manna, S.; Singh, A.; Babu, S.; Singh, V.K.; Dass, A.; Chakraborty, D.; Patanjali, N.; Chopra, I.; Banerjee, T.; et al. Biopolymeric Superabsorbent Hydrogels Enhance Crop and Water Productivity of Soybean–Wheat System in Indo-Gangetic Plains of India. Sci. Rep. 2022, 12, 11955. [Google Scholar] [CrossRef]
- Sarmah, D.; Karak, N. Biodegradable superabsorbent hydrogel for water holding in soil and controlled-release fertilizer. J. Appl. Polym. Sci. 2020, 137, 1–12. [Google Scholar] [CrossRef]
- Azad, N.; Rezayian, M.; Hassanpour, H.; Niknam, V.; Ebrahimzadeh, H. Physiological Mechanism of Salicylic Acid in Mentha pulegium L. Under Salinity and Drought Stress. Braz. J. Bot. 2021, 44, 359–369. [Google Scholar] [CrossRef]
- Lucas, J.A.; Garcia-Villaraco, A.; Montero-Palmero, M.B.; Montalban, B.; Solano, B.R.; Gutierrez-Mañero, F.J. Physiological and Genetic Modifications Induced by Plant-Growth-Promoting Rhizobacteria (PGPR) in Tomato Plants under Moderate Water Stress. Biology 2023, 12, 901. [Google Scholar] [CrossRef]
- Nematpour, A.; Eshghizadeh, H.R. Biochemical Responses of Sorghum and Maize to the Impacts of Different Levels of Water Deficit and Nitrogen Supply. Cereal Res. Commun. 2023, 52, 569–579. [Google Scholar] [CrossRef]
- Hong-Bo, S.; Li-Ye, C.; Ming-An, S. Calcium as a Versatile Plant Signal Transducer under Soil Water Stress. BioEssays 2008, 30, 634–641. [Google Scholar] [CrossRef]
- Gholinezhad, E.; Eyvazi, A.R. The effect of super absorbent polymer and manure fertilizer on water use efficiency of wheat (Triticum aestivum L.) cultivars under different irrigation regimes. J. Crops Improv. 2019, 21, 275–288. [Google Scholar]
- Ashraf, A.M.; Ragavan, T.; Begam, S.N. Superabsorbent Polymers (SAPs) Hydrogel: Water Saving Technology for Increasing Agriculture Productivity in Drought Prone Areas: A Review. Agric. Rev. 2021, 42, 183–189. [Google Scholar] [CrossRef]
- Esmaeili, S.; Danaeifar, A. Can Super Absorbent Polymer Improve the Water-Deficit Tolerance of Young Myrtle Plants? J. Ornam. Plants 2023, 13, 99–108. [Google Scholar]
- Leonel, L.V.; Reis, F.d.O.; Figueiredo, F.A.M.M.d.A.; Ferraz, T.M.; Júnior, S.d.O.M.; Silva, P.C.; de Andrade, J.R. Light Intensity and Hydrogel Soil Amendment Differentially Affect Growth and Photosynthesis of Successional Tree Species. J. For. Res. 2022, 34, 257–268. [Google Scholar] [CrossRef]
- Ghosh, U.K.; Islam, M.N.; Siddiqui, M.N.; Cao, X.; Khan, M.A.R. Proline, a Multifaceted Signalling Molecule in Plant Responses to Abiotic Stress: Understanding the Physiological Mechanisms. Plant Biol. 2021, 24, 227–239. [Google Scholar] [CrossRef]
- Hosseinifard, M.; Stefaniak, S.; Ghorbani Javid, M.; Soltani, E.; Wojtyla, Ł.; Garnczarska, M. Contribution of Exogenous Proline to Abiotic Stresses Tolerance in Plants: A Review. Int. J. Mol. Sci. 2022, 23, 5186. [Google Scholar] [CrossRef] [PubMed]
- Chourasia, K.N.; Lal, M.K.; Tiwari, R.K.; Dev, D.; Kardile, H.B.; Patil, V.U.; Kumar, A.; Vanishree, G.; Kumar, D.; Bhardwaj, V.; et al. Salinity Stress in Potato: Understanding Physiological, Biochemical and Molecular Responses. Life 2021, 11, 545. [Google Scholar] [CrossRef] [PubMed]
- Aazami, M.A.; Rasouli, F.; Ebrahimzadeh, A. Oxidative Damage, Antioxidant Mechanism and Gene Expression in Tomato Responding to Salinity Stress under in Vitro Conditions and Application of Iron and Zinc Oxide Nanoparticles on Callus Induction and Plant Regeneration. BMC Plant Biol. 2021, 21, 597. [Google Scholar] [CrossRef] [PubMed]
- Singh, A.; Rajput, V.D.; Sharma, R.; Ghazaryan, K.; Minkina, T. Salinity Stress and Nanoparticles: Insights into Antioxidative Enzymatic Resistance, Signaling, and Defense Mechanisms. Environ. Res. 2023, 235, 116585. [Google Scholar] [CrossRef] [PubMed]
- Ahmed, S.; Fahmy, A. Applications of Natural Polysaccharide Polymers to Overcome Water Scarcity on the Yield and Quality of Tomato Fruits. J. Soil Sci. Agric. Eng. 2019, 10, 199–208. [Google Scholar] [CrossRef]
- Agbemafle, R.; Joshua, O.S.; Ato, B.B.; Johan, O. Effect of deficit irrigation and storage on the physicochemical quality of tomato (Lycopersicon esculentum Mill. Var. Pechtomech). Food Sci. Quality Manag. 2014, 34, 113–120. [Google Scholar]
- Thompson, D.S.; Islam, A. Plant Cell Wall Hydration and Plant Physiology: An Exploration of the Consequences of Direct Effects of Water Deficit on the Plant Cell Wall. Plants 2021, 10, 1263. [Google Scholar] [CrossRef]
- Berradi, A.; Aziz, F.; Achaby, M.E.; Ouazzani, N.; Mandi, L. A Comprehensive Review of Polysaccharide-Based Hydrogels as Promising Biomaterials. Polymers 2023, 15, 2908. [Google Scholar] [CrossRef]















| Seasonal Irrigation Quantities | 2021 | 2022 | ||||
|---|---|---|---|---|---|---|
| Etc (m3/ha) | 100% | 75% | 50% | 100% | 75% | 50% |
| 3429 | 2571 | 1714 | 3500 | 2626 | 1750 | |
| Treatments | Description | |
|---|---|---|
| Water Requirement (WR) | Super-Absorbent Polymer (SAP) | |
| Control | 100% | - |
| 75% W R | 75% | - |
| 50% W R | 50% | - |
| 75% W R + SAP1 | 75% | 1 g/plant |
| 75% W R + SAP2 | 75% | 2 g/plant |
| 75% W R + SAP3 | 75% | 3 g/plant |
| 50% W R + SAP1 | 50% | 1 g/plant |
| 50% W R + SAP2 | 50% | 2 g/plant |
| 50% W R + SAP3 | 50% | 3 g/plant |
| Coarse sand% | Fine sand% | Silt% | Clay% | Soil texture | FC (%) | PWP (%) | |||||
| 18.00 | 40.40 | 23.37 | 18.23 | Sandy loam | 15 | 6 | |||||
| E.C (dSm−1) | pH | N (ppm) | P (ppm) | K (ppm) | Soluble cation (meq/L) | Soluble anions (meq/L) | |||||
| Ca++ | Mg++ | Na+ | K+ | HCO3− | Cl− | SO42− | |||||
| 3.41 | 8.2 | 39.45 | 17.63 | 304 | 8.03 | 6.85 | 15.8 | 1.1 | 7.88 | 12.4 | 11.5 |
Disclaimer/Publisher’s Note: The statements, opinions and data contained in all publications are solely those of the individual author(s) and contributor(s) and not of MDPI and/or the editor(s). MDPI and/or the editor(s) disclaim responsibility for any injury to people or property resulting from any ideas, methods, instructions or products referred to in the content. |
© 2024 by the authors. Licensee MDPI, Basel, Switzerland. This article is an open access article distributed under the terms and conditions of the Creative Commons Attribution (CC BY) license (https://creativecommons.org/licenses/by/4.0/).
Share and Cite
Alotaibi, M.M.; Alharbi, M.M.; Alsudays, I.M.; Alsubeie, M.S.; Almuziny, M.; M. Alabdallah, N.; Alghanem, S.M.S.; Albalawi, B.F.; Ismail, K.A.; Alzuaibr, F.M.; et al. Influence of Super-Absorbent Polymer on Growth and Productivity of Green Bean under Drought Conditions. Agronomy 2024, 14, 1146. https://doi.org/10.3390/agronomy14061146
Alotaibi MM, Alharbi MM, Alsudays IM, Alsubeie MS, Almuziny M, M. Alabdallah N, Alghanem SMS, Albalawi BF, Ismail KA, Alzuaibr FM, et al. Influence of Super-Absorbent Polymer on Growth and Productivity of Green Bean under Drought Conditions. Agronomy. 2024; 14(6):1146. https://doi.org/10.3390/agronomy14061146
Chicago/Turabian StyleAlotaibi, Mashael M., Maha Mohammed Alharbi, Ibtisam Mohammed Alsudays, Moodi Saham Alsubeie, Makhdora Almuziny, Nadiyah M. Alabdallah, Suliman Mohammed Suliman Alghanem, Bedur Faleh Albalawi, Khadiga Ahmed Ismail, Fahad Mohammed Alzuaibr, and et al. 2024. "Influence of Super-Absorbent Polymer on Growth and Productivity of Green Bean under Drought Conditions" Agronomy 14, no. 6: 1146. https://doi.org/10.3390/agronomy14061146
APA StyleAlotaibi, M. M., Alharbi, M. M., Alsudays, I. M., Alsubeie, M. S., Almuziny, M., M. Alabdallah, N., Alghanem, S. M. S., Albalawi, B. F., Ismail, K. A., Alzuaibr, F. M., Moustafa, M. M. I., Abd-Elwahed, A. H. M., Hassan, A. H. A., Khalifa, S. M., & Awad-Allah, M. M. A. (2024). Influence of Super-Absorbent Polymer on Growth and Productivity of Green Bean under Drought Conditions. Agronomy, 14(6), 1146. https://doi.org/10.3390/agronomy14061146

