Measuring the Influence of Key Management Decisions on the Nitrogen Nutritional Status of Annual Ryegrass-Based Forage Crops
Abstract
1. Introduction
2. Materials and Methods
2.1. Field Experiments
2.2. Fit CNDC
2.3. N Use Parameters and NNI
2.4. Statistical Analysis
3. Results
3.1. Critical N Dilution Curve
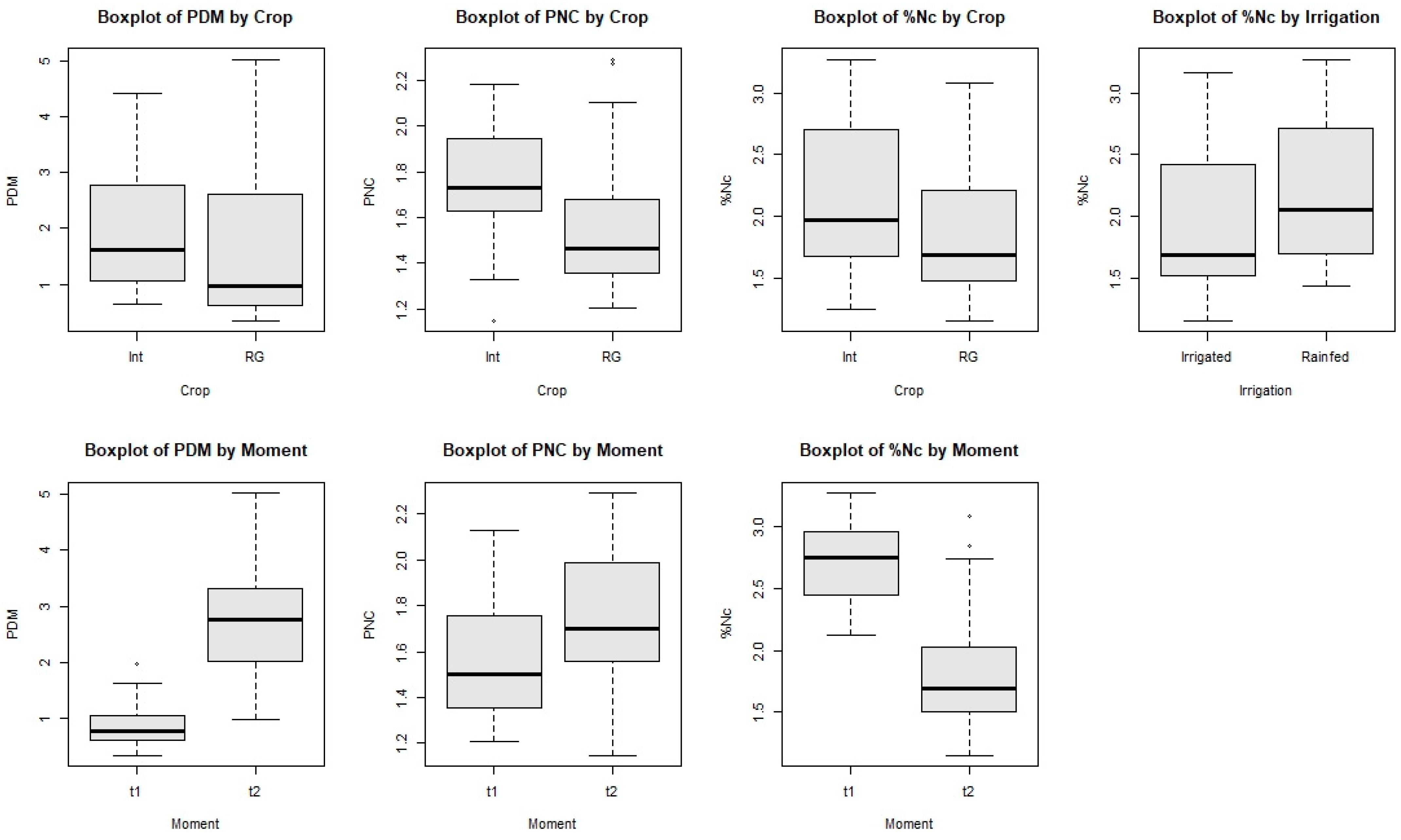
3.2. Variations of Crops N Use Parameters and NNI
3.2.1. Variables with Non-Normal Distribution
3.2.2. Variables with Normal Distribution
3.3. Relationships between NNI and N Use Parameters
4. Discussion
4.1. CNDC
4.2. PDM and PNC
4.3. N Use Parameters and NNI
4.4. Correlations
4.5. Implications for Practical Ryegrass-Based Fodder Crop Production
5. Conclusions
- Precision N management: Implement the CNDC to predict N requirements accurately and optimize fertilizer application.
- Irrigation practices: Prioritize effective irrigation as it significantly enhances NUp and NNI, thus improving NUE. Crops under irrigation conditions showed higher NUp and NNI, indicating that water management is crucial for improving NUE.
- Differentiated N doses: Adjust N doses based on crop type, growth stages, and specific field conditions to maximize NUE.
Author Contributions
Funding
Data Availability Statement
Acknowledgments
Conflicts of Interest
References
- European Comission. Ensuring Availability and Affordability of Fertilisers; European Comission: Brussels, Belgium, 2022. [Google Scholar]
- European Comission. Farm to Fork Strategy; European Comission: Brussels, Belgium, 2020. [Google Scholar]
- Patanita, M.; Tomaz, A.; Ramos, T.; Oliveira, P.; Boteta, L.; Dôres, J. Water Regime and Nitrogen Management to Cope with Wheat Yield Variability under the Mediterranean Conditions of Southern Portugal. Plants 2019, 8, 429. [Google Scholar] [CrossRef] [PubMed]
- Ulrich, A. Physiological Bases for Assessing the Nutritional Requirements of Plants. Annu. Rev. Plant Physiol. 1952, 3, 207–228. [Google Scholar] [CrossRef]
- Lemaire, G.; Salette, J.; Sigogne, M.; Terrasson, J.-P.; LEMAIRE Jean SALETTE Monique SIGOGNE Jean-Pierre TERRASSON LNRA, G. Relation Entre Dynamique de Croissance et Dynamique de Prélèvement d’azote Pour Un Peuplement de Graminées Fourragères. I.-Etude de l’effet Du Milieu Relation Entre Dynamique de Croissance et Dynamique de Prélèvement d’azote Pour Un Peuplement de Graminées Fourragères. I.—Etude de l’effet Du Milieu. Agronomie 1984, 4, 423–430. [Google Scholar]
- Sandaña, P.; Lobos, I.A.; Pavez, P.B.; Moscoso, C.J. Validation of a Critical Nitrogen Dilution Curve for Hybrid Ryegrasses. Grass Forage Sci. 2019, 74, 370–380. [Google Scholar] [CrossRef]
- Lemaire, G.; Meynard, J.M. Use of the Nitrogen Nutrition Index for the Analysis of Agronomical Data. In Diagnosis of the Nitrogen Status in Crops; Springer: Berlin/Heidelberg, Germany, 1997; pp. 45–55. [Google Scholar]
- Hoogmoed, M.; Neuhaus, A.; Noack, S.; Sadras, V.O. Benchmarking Wheat Yield against Crop Nitrogen Status. Field Crops Res. 2018, 222, 153–163. [Google Scholar] [CrossRef]
- Makowski, D.; Zhao, B.; Ata-Ul-Karim, S.T.; Lemaire, G. Analyzing Uncertainty in Critical Nitrogen Dilution Curves. Eur. J. Agron. 2020, 118, 126076. [Google Scholar] [CrossRef]
- Lacasa, J.; Makowski, D.; Hefley, T.; Fernandez, J.; van Versendaal, E.; Lemaire, G.; Ciampitti, I. Comparison of Statistical Methods to Fit Critical Nitrogen Dilution Curves. Eur. J. Agron. 2023, 145, 126770. [Google Scholar] [CrossRef]
- Marino, M.A.; Mazzanti, A.; Assuero, S.G.; Gastal, F.; Echeverría, H.E.; Andrade, F. Nitrogen Dilution Curves and Nitrogen Use Efficiency During Winter–Spring Growth of Annual Ryegrass. Agron. J. 2004, 96, 601–607. [Google Scholar] [CrossRef]
- Sandaña, P.; Lobos, I.A.; Pavez, P.B.; Moscoso, C.J. Nitrogen Nutrition Index and Forage Yield Explain Nitrogen Utilization Efficiency in Hybrid Ryegrasses under Different Nitrogen Availabilities. Field Crops Res. 2021, 265, 108101. [Google Scholar] [CrossRef]
- Oral, E. Effect of Nitrogen Fertilization Levels on Grain Yield and Yield Components in Triticale Based on Ammi and Gge Biplot Analysis. Appl. Ecol. Environ. Res. 2018, 16, 4865–4878. [Google Scholar] [CrossRef]
- Perez, C.M.; Juliano, B.O.; Liboon, S.P.; Alcantara, J.M.; Cassman, K.G. Effects of Late Nitrogen Fertilizer Application on Head Rice Yield, Protein Content, and Grain Quality of Rice. Cereal Chem. 1996, 73, 556–560. [Google Scholar]
- Ryan-Salter, T.P.; Black, A.D. Yield of Italian Ryegrass Mixed with Red Clover and Balansa Clover. Proc. N. Z. Grassl. Assoc. 2012, 74, 201–207. [Google Scholar] [CrossRef]
- Cardoso, J. A Classificação de Solos de Portugal. In Boletim de Solos do SROA; Estação Agronómica Nacional: Lisboa, Portugal, 1974; Volume 17, pp. 14–46. [Google Scholar]
- Köppen, W. Versuch Einer Klassifikation Der Klimate, Vorzugsweise Nach Ihren Beziehungen Zur Pflanzenwelt. Geogr. Z. 1900, 6, 593–611. Available online: https://www.jstor.org/stable/27803924 (accessed on 1 February 2024).
- Instituto de Meteorologia, I.P. Ministério Da Ciência, Tecnologia e Ensino Superior; Editora DSAS-Direcção de Serviços de Acção Social: Lisboa, Portugal, 2000. [Google Scholar]
- Kjeldahl, J. Neue Methode Zur Bestimmung Des Stickstoffs in Organischen Körpern. Fresenius’ Z. Anal. Chem. 1883, 22, 366–382. [Google Scholar] [CrossRef]
- R Core Team. R: A Language and Environment for Statistical Computing; R Foundation for Statistical Computing: Vienna, Austria, 2013; Available online: http://www.R-project.org/ (accessed on 1 February 2024).
- Plummer, M.; Stukalov, A.; Denwood, M. Package Rjags. 2024. Available online: https://cran.r-project.org/web/packages/rjags/index.html (accessed on 15 February 2024).
- Lemaire, G.; Gastal, F. N Uptake and Distribution in Plant Canopies. In Diagnosis of the Nitrogen Status in Crops; Springer: Berlin/Heidelberg, Germany, 1997; pp. 3–43. [Google Scholar]
- Louarn, G.; Bedoussac, L.; Gaudio, N.; Journet, E.-P.; Moreau, D.; Steen Jensen, E.; Justes, E. Plant Nitrogen Nutrition Status in Intercrops—A Review of Concepts and Methods. Eur. J. Agron. 2021, 124, 126229. [Google Scholar] [CrossRef]
- Soussana, J.; Arregui, M. Impact de l’association Sur Le Niveau de Nutrition Azotée et La Croissance Du Ray-Grass Anglais et Du Trèfle Blanc. Agronomie 1995, 15, 81–96. [Google Scholar] [CrossRef]
- Greenwood, D.J.; Lemaire, G.; Gosse, G.; Cruz, P.; Draycott, A.; Neeteson, J.J. Decline in Percentage N of C3 and C4 Crops with Increasing Plant Mass. Ann. Bot. 1990, 66, 425–436. [Google Scholar] [CrossRef]
- Bélanger, G.; Ziadi, N. Phosphorus and Nitrogen Relationships during Spring Growth of an Aging Timothy Sward. Agron. J. 2008, 100, 1757–1762. [Google Scholar] [CrossRef]
- Gislum, R.; Boelt, B. Validity of Accessible Critical Nitrogen Dilution Curves in Perennial Ryegrass for Seed Production. Field Crops Res. 2009, 111, 152–156. [Google Scholar] [CrossRef]
- Agnusdei, M.G.; Assuero, S.G.; Lattanzi, F.A.; Marino, M.A. Critical N Concentration Can Vary with Growth Conditions in Forage Grasses: Implications for Plant N Status Assessment and N Deficiency Diagnosis. Nutr. Cycl. Agroecosyst. 2010, 88, 215–230. [Google Scholar] [CrossRef]
- Revelle, W. Package Psych. 2024. Available online: https://cran.r-project.org/web/packages/psych/index.html (accessed on 15 February 2024).
- Dinno, A. Package Dunn.Test. 2024. Available online: https://cran.r-project.org/web/packages/dunn.test/index.html (accessed on 15 February 2024).
- Fernandez, J.A.; van Versendaal, E.; Lacasa, J.; Makowski, D.; Lemaire, G.; Ciampitti, I.A. Dataset Characteristics for the Determination of Critical Nitrogen Dilution Curves: From Past to New Guidelines. Eur. J. Agron. 2022, 139, 126568. [Google Scholar] [CrossRef]
- Dordas, C. Nitrogen Nutrition Index and Leaf Chlorophyll Concentration and Its Relationship with Nitrogen Use Efficiency in Barley (Hordeum vulgare L.). J. Plant Nutr. 2017, 40, 1190–1203. [Google Scholar] [CrossRef]
- Louarn, G.; Chabbi, A.; Gastal, F. Nitrogen Concentration in the Upper Leaves of the Canopy Is a Reliable Indicator of Plant N Nutrition in Both Pure and Mixed Grassland Swards. Grass Forage Sci. 2020, 75, 127–133. [Google Scholar] [CrossRef]
- Dordas, C.A. Nitrogen Nutrition Index and Its Relationship to N Use Efficiency in Linseed. Eur. J. Agron. 2011, 34, 124–132. [Google Scholar] [CrossRef]







| Crop | Species and Varieties | Percent in the Crop (%) | Seeds m−2 |
|---|---|---|---|
| Annual ryegrass (RG) | Lolium multiflorum L. cv Diamond T | 100 | 1400 |
| Intercropping ryegrass-based (Int) | Lolium multiflorum L. cv Hellen | 67 | 1531 |
| Trifolium vesiculosum. cv Comm | 10 | ||
| Trifolium resupinatum. cv Lightning | 17 | 2539 1 | |
| Trifolium michellanium. cv Balansa Paradana | 6 |
| Month | Tm Normal (°C) | Tm (°C) | P Normal (mm) | P (mm) |
|---|---|---|---|---|
| October | 17.4 | 19.2 1 | 58.6 | 14.3 1 |
| November | 12.5 | 14.1 | 75.1 | 37.4 |
| December | 9.7 | 12.8 | 92.6 | 277.7 |
| January | 8.6 | 8.9 | 63.1 | 40.0 |
| February | 10.2 | 10.1 | 54.6 | 4.9 |
| March | 12.3 | 13.7 | 39.6 | 18.5 |
| April | 14.1 | 16.2 2 | 51.2 | 0.0 2 |
| Crop/Species | A1 | A2 | Ref. |
|---|---|---|---|
| Festuca arundinacea Schreb. and Dactylis glomerata L. | 4.8 | 0.32 | [5] |
| C3 crops | 5.7 | 0.50 | [25] |
| Lolium multiflorum L. 1 | 4.1 | 0.38 | [11] |
| Pheleum pratense L. | 3.7 | 0.35 | [26] |
| Lolium perenne L. | 6.3 | 0.71 | [27] |
| Lolium multiflorum L. 2 | 3.5 | 0.36 | [28] |
| Festuca arundinacea Schreb. | 4.7 | 0.55 | [28] |
| Avena sativa L. | 3.2 | 0.26 | [28] |
| Minimum | 3.2 | 0.26 | |
| Maximum | 6.3 | 0.71 |
| CI 97.5% | Mean | SD | Naive SE | Time-Series SE | |
|---|---|---|---|---|---|
| A1 | 3.634 | 3.356 | 0.119 | 0.00 | 0.00 |
| A2 | 0.708 | 0.657 | 0.036 | 0.00 | 0.00 |
| PDM (t ha−1) | PNC (%) | NUp (kg ha−1) | NUpE (%) | NUE (kg kg N ha−1) | %Nc (%) | NNI | |
|---|---|---|---|---|---|---|---|
| N | 96 | 95 | 45 | 32 | 32 | 60 | 58 |
| mean | 1.78 | 1.66 | 43.96 | 32.92 | 11.82 | 2.03 | 0.91 |
| sd | 1.15 | 0.28 | 14.63 | 52.87 | 26.97 | 0.56 | 0.28 |
| median | 1.44 | 1.64 | 44.60 | 35.52 | 10.29 | 1.89 | 0.87 |
| trimmed | 1.69 | 1.64 | 43.51 | 30.11 | 11.95 | 1.98 | 0.89 |
| mad | 1.15 | 0.32 | 14.46 | 54.74 | 22.75 | 0.61 | 0.30 |
| min | 0.34 | 1.15 | 17.92 | −62.11 | −45.69 | 1.15 | 0.48 |
| max | 5.02 | 2.29 | 73.29 | 161.99 | 67.53 | 3.27 | 1.63 |
| Factor | Chi-Squared | df | p-Value | Significance 1 | |
|---|---|---|---|---|---|
| PDM | Crop | 4.24 | 1 | 0.039 | * |
| Moment | 64.97 | 1 | 7.605 × 10−6 | *** | |
| Irrigation | 3.36 | 1 | 0.067 | . | |
| N treatment | 0.47 | 2 | 0.790 | ||
| PNC | Crop | 14.64 | 1 | 0.00013 | *** |
| Moment | 9.68 | 1 | 0.0018 | ** | |
| Irrigation | 0.00 | 1 | 0.964 | ||
| N treatment | 4.53 | 2 | 0.104 | ||
| NUp | Crop | 0.40 | 1 | 0.525 | . |
| Irrigation | 5.60 | 1 | 0.018 | * | |
| N treatment | 5.11 | 2 | 0.078 | . | |
| %Nc | Crop | 3.58 | 1 | 0.058 | . |
| Moment | 22.87 | 1 | 1.736 × 10−6 | *** | |
| Irrigation | 3.10 | 1 | 0.078 | . | |
| N treatment | 3.21 | 2 | 0.201 | ||
| NNI | Crop | 1.09 | 1 | 0.298 | |
| Moment | 17.19 | 1 | 3.381 × 10−5 | *** | |
| Irrigation | 3.83 | 1 | 0.050 | . | |
| N treatment | 3.47 | 2 | 0.177 |
| Parameter | Approach | z-Value | Adjusted p-Value | Significance 1 |
|---|---|---|---|---|
| NUp | N0 vs. N1 | −2.2544 | 0.0363 | * |
| N0 vs. N2 | −1.2223 | 0.3324 | ||
| N1 vs. N2 | 0.9766 | 0.4931 |
| Dependent Variable | Factor | Df Group | Df Residual | Sum of Squares | Mean Squares | F-Value | p-Value | Significance 1 |
|---|---|---|---|---|---|---|---|---|
| NUpE | Crop | 1 | 30 | 219.39 | 219.4 | 0.076 | 0.784 | |
| Irrigation | 1 | 30 | 6641.09 | 6641.0 | 2.490 | 0.125 | ||
| N treatment | 1 | 30 | 1525.92 | 1526.0 | 0.538 | 0.469 | ||
| NUE | Crop | 1 | 30 | 301.01 | 301.0 | 0.406 | 0.529 | |
| Irrigation | 1 | 30 | 542.19 | 542.2 | 0.739 | 0.397 | ||
| N treatment | 1 | 30 | 1315.78 | 1315.8 | 1.859 | 0.183 |
Disclaimer/Publisher’s Note: The statements, opinions and data contained in all publications are solely those of the individual author(s) and contributor(s) and not of MDPI and/or the editor(s). MDPI and/or the editor(s) disclaim responsibility for any injury to people or property resulting from any ideas, methods, instructions or products referred to in the content. |
© 2024 by the authors. Licensee MDPI, Basel, Switzerland. This article is an open access article distributed under the terms and conditions of the Creative Commons Attribution (CC BY) license (https://creativecommons.org/licenses/by/4.0/).
Share and Cite
Silva, L.; Barbosa, S.; Lidon, F.C.; Santos-Silva, J.; Conceição, L.A. Measuring the Influence of Key Management Decisions on the Nitrogen Nutritional Status of Annual Ryegrass-Based Forage Crops. Agronomy 2024, 14, 1817. https://doi.org/10.3390/agronomy14081817
Silva L, Barbosa S, Lidon FC, Santos-Silva J, Conceição LA. Measuring the Influence of Key Management Decisions on the Nitrogen Nutritional Status of Annual Ryegrass-Based Forage Crops. Agronomy. 2024; 14(8):1817. https://doi.org/10.3390/agronomy14081817
Chicago/Turabian StyleSilva, Luís, Sofia Barbosa, Fernando Cebola Lidon, José Santos-Silva, and Luís Alcino Conceição. 2024. "Measuring the Influence of Key Management Decisions on the Nitrogen Nutritional Status of Annual Ryegrass-Based Forage Crops" Agronomy 14, no. 8: 1817. https://doi.org/10.3390/agronomy14081817
APA StyleSilva, L., Barbosa, S., Lidon, F. C., Santos-Silva, J., & Conceição, L. A. (2024). Measuring the Influence of Key Management Decisions on the Nitrogen Nutritional Status of Annual Ryegrass-Based Forage Crops. Agronomy, 14(8), 1817. https://doi.org/10.3390/agronomy14081817

