Next Article in Journal
New Fertilisers with Innovative Chelates in Wheat Cultivation
Previous Article in Journal
In Vitro Synthetic Polyploidization in Medicinal and Aromatic Plants for Enhanced Phytochemical Efficacy—A Mini-Review
 
 
Font Type:
Arial Georgia Verdana
Font Size:
Aa Aa Aa
Line Spacing:
Column Width:
Background:
Article

Converse Responses of Biochar Application on N2O Emissions in Soils at Different pH Values in a Subtropical Citrus Orchard

1
Institute of Resources, Environment and Soil Fertilizer, Fujian Academy of Agricultural Sciences, Fuzhou 350013, China
2
College of Resources and Environment, Fujian Agriculture and Forestry University, Fuzhou 350002, China
*
Author to whom correspondence should be addressed.
Agronomy 2024, 14(8), 1831; https://doi.org/10.3390/agronomy14081831
Submission received: 8 June 2024 / Revised: 9 August 2024 / Accepted: 12 August 2024 / Published: 20 August 2024
(This article belongs to the Section Soil and Plant Nutrition)

Abstract

The aim of this study was to explore the effect of biochar on N2O emissions in soils with different pH levels. Soils with five pH levels (4.0, 5.1, 5.8, 6.6, and 7.2) were incubated in two conditions, with 0% biochar (CK) and 1% biochar (BC), for 23 days. N2O emissions were measured at nine time points, and soil chemical properties, AOA-amoA, AOB-amoA, nirK, nirS, and nosZ, were analyzed. Partial least squares path modelling (PLS-PM) was used to assess the effect of nitrification and denitrification pathways on potential N2O emissions. The results showed that biochar reduced N2O emissions in highly acidic soil (pH 4.0) but increased emissions in soils with pH values ranging from 5.1 to 7.2. In highly acidic soils, decreased N2O emission was associated with increased soil pH (p < 0.05) and decreased dissolved organic carbon content (p < 0.05), leading to higher nosZ gene abundance (p < 0.05). Meanwhile, in acidic to neutral soils, biochar application increased soil pH (6.6–11.7%), dissolved organic nitrogen (5.9–29.5%), dissolved organic carbon (8.6–41.0%), stimulated AOB-amoA, nirK, nirS gene abundance (p < 0.05), and thus increased N2O emissions. The results verified the influence of nitrification and denitrification genes on N2O production in soils with different pH values. In conclusion, biochar had different effects on N2O emissions based on soil pH, highlighting the need to consider pH when using biochar to mitigate N2O emissions in subtropical citrus orchards.

Graphical Abstract

1. Introduction

Nitrous oxide (N2O) not only has a high global warming potential, being 298 times more potent compared to carbon dioxide (CO2) [1], but also contributes to ozone depletion [2]. Since the Industrial Revolution, N2O content has increased by 23%; in particular, global N2O emissions have accelerated significantly since 1960 [3], mainly due to the use of nitrogen fertilizers on agricultural soils [4]. N2O emissions from agricultural soils increased exponentially with increasing nitrogen fertilizer application [5]. By understanding the mechanisms underlying N2O emissions from agricultural soils, we can develop effective strategies to reduce these emissions and mitigate their environmental impacts [6].
Soil pH is the main factor influencing nitrogen transformation [7], which then affects N2O emissions [8]. However, previous research had shown conflicting results about the relationship between soil pH and N2O production. Cheng et al., [9] found that higher soil pH could result in increased rates of gross nitrification and N2O production, while other studies suggested that increasing pH in acidic soils could reduce N2O emissions [10,11]. The variations in N2O emissions could be attributed to the different contributions of nitrification and denitrification processes [12]. Previous research suggested that denitrification and heterotrophic nitrification were favored by low pH values [13], and N2O emissions via denitrification decreased with increasing pH [14]. However, autotrophic nitrification can lead to increased N2O emissions [9]. Studies have demonstrated that modifications in pH can significantly alter the soil microbial community. Specifically, as soil pH increases from 4.5 to 7, there is a shift in dominance from soil denitrification to ammonia oxidation [7].
Biochar is pyrolyzed under anaerobic or oxygen-limited conditions and is abundant in organic functional groups [15]. In addition to slowing acidification [16], biochar can also promote carbon sequestration [17]. However, the characteristics of biochar, along with soil parameters, land-use types, and various other factors, contribute to this phenomenon [18]; biochar application usually produces inconsistent results on N2O emissions [19]. Biochar inhibits N2O production in soils by increasing pH levels [20], changing labile nitrogen concentrations [21], inhibiting nitrogen cycle enzyme activity [21], and reducing nitrification and denitrification [22]. Additionally, biochar increases N2O emissions in soils by promoting reactions in the nitrification pathway [23], improving soil mineralization, nitrification, and denitrification characteristics [24].
China is one of the major citrus-producing countries in the world and its citrus orchards are widely distributed in subtropical regions [25]. Higher fertilizer use in orchard ecosystems compared to other cropping systems has led to exacerbated acidification in orchard soils [26]. This acidification increases the risk of N2O emissions, in addition to soil degradation and low nitrogen fertilizer use efficiency. Soil with a pH of 4.5 emits more N2O than soil with a pH of 7.5 [7]. The use of biochar provides an opportunity to effectively mitigate soil acidification in citrus orchards while reducing N2O emissions. However, N2O emissions from biochar are controversial and some reports have suggested that biochar may promote N2O emissions [23,24]. We suppose that this may be related to soil pH, as soil nitrification and denitrification activities differ at different pH values, leading to differential effects of biochar on N2O emissions.
Therefore, we conducted an incubation experiment to investigate the effect of biochar on N2O emissions from soils at different pH levels. Soil pH was adjusted by calcium oxide (CaO), and five pH levels were set to distinguish the effects of nitrification and denitrification on N2O emissions. We propose the following hypothesis: The application of biochar reduces N2O emissions. Due to the loose and porous nature of biochar, the application of biochar would stimulate the soil denitrification process, which is a possible reason for the reduction in N2O emissions.

2. Materials and Methods

2.1. Soil and Biochar Characteristics

Soil samples were collected from mountain orchards located in Pinghe County, China, longitude 117.340555 E, latitude 24.283360 N, where the climate is characterized by subtropical monsoons. According to the World Reference Base for Soil Resources (WRB) classification, the soil type is classified as Acrisol, which belongs to low-activity and highly acidic soils. Pinghe County has an average annual precipitation of 1676.6 mm, along with an average annual temperature of 23.4 °C. Pomelo [Citrus maxima (Burm) Merr.], which is an important citrus fruit in the world, is mainly grown in the region. The ideal soil pH for citrus is 5.5–6.5, but soil pH in this region is often less than 5.0. The yield of pomelo in this area is about 56,250 kg ha−1, which is similar to that of other pomelo gardens in this county. To minimize the impact of fertilizer, soil was collected one month after fertilization, in July 2021. Five plots were randomly selected in the orchard. For each plot, soil samples were collected from the top 20 cm layer of soil within a 3 × 3 m2 area. The collected soil samples were mixed thoroughly, passed through a 4 mm sieve, and stored at 4 °C for the experiments.
The soil chemical properties were as follows: pH 3.7, soil organic carbon (SOC) 15.3 g kg−1, total nitrogen (TN) 1.3 g kg−1, NH4+-N 15.6 mg kg−1, and NO3-N 24.5 mg kg−1. The biochar used in this study, provided by Jiangsu Huafeng Agricultural Bioengineering Co., Ltd. (located in Zhenjiang, China), was derived from rice straw and processed at 600 °C. The biochar showed the following characteristics: total carbon (TC) of 28.6%, pH of 9.3, TN of 0.46%, total phosphorus (TP) of 0.32%, total kalium (TK) of 6.11%, and a surface area of 54.0 m2 g−1.

2.2. pH Regulation

After sieving, the soil pH was measured at 3.7 and adjusted by adding different amounts (0, 1.5, 2.6, 3.4, and 4.3 g kg−1) of CaO. Using CaO to adjust pH mainly refers to the research conducted by Zhang et al. [27]. Soil was mixed with CaO, placed in plastic pots, and then incubated in the greenhouse. To maintain soil moisture levels, deionized water was added once a week by measuring the weight of the plastic pots. Soil pH was measured weekly during incubation. When the soil pH value was stable for 2 months, the soil incubation was finished. The pH values of the five soil samples were 4.0, 5.1, 5.8, 6.6, and 7.2. The soils were sieved through a 2 mm mesh and stored at 4 °C for future experimental preparations.

2.3. Experimental Design

In this experiment, we designed 0% biochar (CK) and 1% biochar (BC) treatments in five soils with different pH values. This experiment included 10 treatments and 3 replicates. Each soil sample contained 30 g dry soil. After pre-incubation with 30 g dry soil of each sample for 24 h, 60 μg N g−1 was added with NH4NO3, and then the soil samples were modified to 60% of their maximum water holding capacity (MWHC, MWHC was about 80% of the weight of the soil) and transferred into an Erlenmeyer flask, which was sealed with parafilm. All the soil samples were consistently maintained at 25 °C for 23 days under dark conditions. Throughout the experiment, the Erlenmeyer flasks were opened every 2 days for 0.5 h, and deionized water was added to maintain the 60% MWHC.
Gas samples were gathered on specific days (0, 2, 4, 6, 9, 12, 15, 19, and 23) after the addition of NH4NO3. Before each gas sampling, the Erlenmeyer flasks were thoroughly rinsed with ambient air. The Erlenmeyer flasks were then sealed for 6 h, after which the gas was collected and its N2O concentration was analyzed by gas chromatography (Shimadzu, Shimadzu 2010 Pro, Kyoto, Japan).

2.4. Chemical Analysis

Soil samples were collected at 0, 2, 6, 9, 12, 15, 19, and 23 days, and some samples were used to determine the chemical properties. Soil pH was measured by a pH detector (MettlerToledo, SevenExcellence S400-K, Zurich, Switzerland) at a soil/water ratio of 1:5. Soil organic carbon (SOC) and total nitrogen (TN) were measured according to Zheng [12], using the Kjeldahl nitrogen determination method and H2SO4-K2Cr2O7 digestion method, respectively. The soil samples were first extracted with 2 mol L−1 KCl, and then the concentrations of NH4+ and NO3 in part of the filtrate were determined by a continuous flow analyzer (SkalarSAN++, SKALAR, Breda, The Netherlands), and DOC and DON in the other part of the filtrate were measured using a TOC automatic analyzer (ASI-L, Shimadzu, Kyoto, Japan). The remaining samples were stored at −80 °C for subsequent DNA extraction.

2.5. PCR Analysis

Total DNA was extracted from soil microorganisms according to the instructions of the ALFA-SEQ® Soil DNA Kit (mCHIP, Guangzhou, China). The sizes and concentrations of the total DNA fragments were detected by agarose gel electrophoresis and ultraviolet spectrophotometry (ND-1000, NanoDrop Technologies, Wilmington, DE, USA). The samples were compartmentalized and stored in a refrigerator at −20 °C for subsequent analysis.
Additionally, the abundance levels of nitrification and denitrification genes were determined by quantitative polymerase chain reaction (qPCR). Nitrification and denitrification genes primarily included the following: ammonia-oxidizing archaea (AOA-amoA), ammonia-oxidizing bacteria (AOA-amoA), nitrite reductase genes (nirK and nirS), and nitrous oxide reductase gene (nosZ). The gene copy numbers were determined by the SYBR Green I method. The precise polymerase chain reaction (PCR) amplification primers and reaction parameters are shown in Table 1. Each sample analysis was repeated three times.

2.6. Data and Statistical Analysis

The plotting software used for this study was Origin 2021 (Origin Lab, Northampton, MA, USA), while IBM SPSS Statistics 20 (IBM SPSS Inc., Chicago, IL, USA) was used for statistical analysis. An independent samples t-test, one-way ANOVA (Tukey’s HSD), and two-way ANOVA were used for statistical tests. The independent samples t-test was used to identify any significant differences between the CK treatment and BC treatment under the same pH conditions. Meanwhile, one-way ANOVA (Tukey’s HSD) was conducted to identify significant differences among soils with different pH values and among the different treatments. The effects of biochar and soil pH on soil chemical properties and functional genes involved in nitrogen transformation were tested by two-way ANOVA.
N2O emissions were calculated using the following equation [32]:
F = ρ × V × C t × ( 273 273 + T ) × 1 w
In the above equation, the variable F represents the N2O emissions (μg kg−1 h−1), ρ represents the density of N2O under standard conditions (μg m−3), V represents the volume of the chamber (m3), ΔC/Δt represents the rate of increase in gas concentration within the incubation flask per unit time (ppb h−1), T represents the incubation temperature (25 °C), and W represents the mass of dry soil contained in the Erlenmeyer flask (kg).
Cumulative N2O emissions were calculated using the following equation [32]:
M = F i + F i + 1 2 × ( t i + 1 t i ) × 24
In the given equation, the variable M represents the cumulative N2O emissions (μg kg−1), F represents the N2O emissions (μg kg−1 h−1), i represents the sampling time, and ti+1ti represents the number of sampling intervals in days.
Partial least squares path modeling (PLS-PM) is, as a statistical technique, used to examine the causal relationship between observed variables and latent variables. It has previously been used to investigate the effects of nitrification and denitrification pathways on potential N2O emissions [33,34]. In our study, we used 999 bootstraps to validate the estimation and determination coefficients (R2) of the path coefficients. Additionally, the goodness of fit (GoF) measure was used to evaluate the overall predictive capacity of the model. The plspm package in the R programming language was used to implement this model.

3. Results

3.1. N2O Emissions

Under the 0% biochar (CK) treatment, the soil N2O emission rate initially decreased. However, an increase followed by a subsequent decrease was observed at pH 4.0, 5.1, and 5.8, which remained stable after 15 days (Figure 1A–C). In contrast, at pH 6.6 and pH 7.2, the soil N2O emission rate peaked on the second day, then decreased rapidly and tended to be stable after 12 days (Figure 1B,D,E). In the case of pH 4.0 soil, the addition of 1% biochar (BC) treatment reduced the N2O emission rate throughout the experiment (Figure 1A). Except for the initial stage of incubation under the pH 4.0 treatment, the addition of 1% biochar to the soil resulted in an elevated N2O emission rate. However, this treatment had no significant effect during the later stage of incubation (Figure 1B–E).
According to the data presented in Figure 2, it is evident that the cumulative N2O emissions in the 0% biochar treatments decreased as the soil pH increased after a 23-day incubation period. The highest cumulative N2O emissions were observed in soil with a pH of 4.0, which reached 20.71 ng kg−1, representing a 3.79-fold increase compared to soil with pH 7.2. The application of the 1% biochar (BC) treatment resulted in an initial increase followed by a subsequent decrease in accumulated N2O emissions with increasing soil pH. The peak cumulative N2O emissions were observed at soil pH 5.8, with a maximum value of 15.89 ng kg−1 (Figure 2). Compared to the 0% biochar treatment at pH 4.0, the application of biochar significantly (p < 0.05) decreased the cumulative N2O emissions (Figure 2). Conversely, in other pH conditions, the addition of biochar resulted in a significant (p < 0.05) increase in cumulative N2O emissions (Figure 2).

3.2. Soil Chemical Properties

The application of biochar resulted in significant results (p < 0.05) in different parameters (Table 2). First, it significantly increased pH values by a notable range of 0.43 to 0.76 units. Additionally, the addition of biochar resulted in a significant (p < 0.05) increase in soil organic carbon (SOC) content, with percentage increases ranging from 4.7% to 12.6%. Furthermore, when the soil pH was 4.0, biochar application had a significant (p < 0.05) impact on the NH4+-N content, reducing it by 74.4%. However, no significant differences were observed in soils with other pH values. On the other hand, biochar application led to an increase in NO3-N concentration, with an increase of 21.0%. Moreover, the ratios of carbon to nitrogen (C/N) and dissolved organic nitrogen (DON) also showed an increase with the addition of biochar. Additionally, the availability of organic carbon in the soil, as indicated by the dissolved organic carbon (DOC) content, showed interesting trends. In soil with a pH of 4.0, the DOC content was significantly decreased (p < 0.05) by 26.7% with the application of biochar. In contrast, other treatments showed an increasing trend, ranging from 8.6% to 41.0%. During the whole incubation period, with the increase in soil pH values, both the decrease rate of NH4+-N concentration and the increase rate of NO3-N concentration accelerated (Figures S1 and S2), and the soil pH value of each ammonium nitrogen treatment remained stable (Figure S3). Two-way ANOVA also showed (Table 3) that soil pH significantly affected soil chemical properties, while biochar affected pH, NH4+-N, SOC, C/N, and DOC. In addition, the combined effect of biochar and soil pH had the greatest effect on NH4+-N.

3.3. Abundance Levels of Different N Functional Genes

Under the 0% biochar (CK) treatment (Figure 3), soils with pH 6.6 and pH 7.2 showed significantly higher copy numbers of AOA-amoA compared to soils with pH 4.0, pH 5.1, and pH 5.8 (p < 0.05). Furthermore, the addition of biochar resulted in a significant reduction in AOA-amoA copy number in pH 6.6 soil (p < 0.05), while no significant effects on AOA-amoA copy number were observed in the other treatments. The functional gene AOB-amoA, which is involved in soil nitrification, showed an increasing trend with increasing soil pH. Under the 0% biochar (CK) treatments, the copy number of AOB-amoA in soils at pH 6.6 and pH 7.2 was significantly higher (p < 0.05) than that in soils at pH 4.0, pH 5.1, and pH 5.8. Biochar application significantly increased the copy number of AOB-amoA in soils with pH values of 5.1, 5.8, 6.6, and 7.2 compared to the 0% biochar (CK) treatment. Two-way ANOVA analysis showed (Table 4) that soil pH had an effect on AOA-amoA, while soil pH and biochar together influenced AOB-amoA.
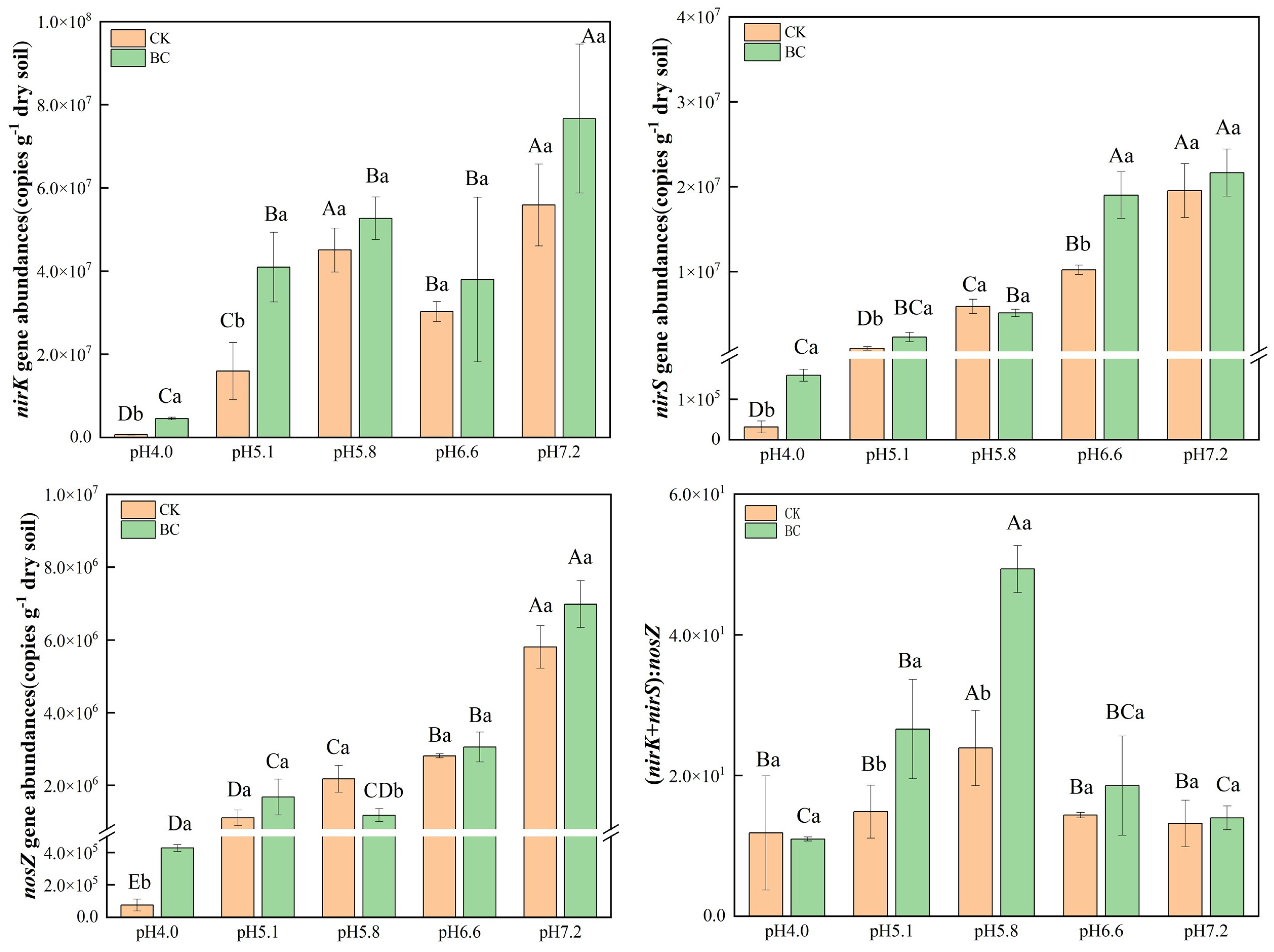
As shown in Figure 4, the copy numbers of functional genes nirK, nirS, and nosZ showed a similar pattern to that of AOB-amoA, with an increasing trend with higher soil pH values. Additionally, the ratio of nirK+nirS to nosZ initially increased and then decreased with increasing pH (Figure 4). The ratio of nirK+nirS to nosZ reached its peak value of 23.90 at a soil pH of 5.8. The nirK copy number in pH 4.0 soil was low, only 1.2% of that in pH 7.2 soil. Compared with pH 5.8, 6.6, and 7.2 soils, the copy number of nirS was significantly lower in pH 4.0 and 5.1 soils (p < 0.05). The copy number of the nosZ gene in soil was significantly higher (p < 0.05) at pH 5.1, 5.8, 6.6, and 7.2 compared to pH 4.0. For the nirK gene, biochar application facilitated an increase in its copy number compared to the CK treatment. Except for soils at pH 5.8, the biochar application also resulted in increased copy numbers of the nirS and nosZ genes. Furthermore, the addition of biochar significantly (p < 0.05) decreased the ratio of nirK+nirS to nosZ at pH 4.0 (Figure 4). However, this effect was reversed at pH 5.1, 5.8, 6.6, and 7.2. Two-way ANOVA analysis showed (Table 4) that soil pH and biochar jointly affected nirS, nirK, and nosZ.

3.4. PLS-PM Analysis

A PLS-PM analysis was performed for acidic to neutral soils (n = 24). The results of the PLS-PM analysis (Figure 5) showed that soil conditions had a direct positive effect on NH4+-N, nitrification and denitrification genes, while it had a direct negative effect on NO3-N. Moreover, a direct negative effect on denitrification genes was observed with NO3-N. Among the soil conditions, pH (0.90), DOC (0.94), and DON (0.92) were determined to be the most influential factors. NO3-N has a direct negative effect on nirS, nirK, and nosZ. AOB and nirS have a positive effect on N2O production. While AOA, nirK and nosZ had negative effects on N2O emissions. Overall, these factors accounted for 91.2% of N2O emissions.

4. Discussion

Biochar addition reduces N2O emissions from highly acidic soils (pH 4.0 treatment) by influencing the denitrification process. Our conclusions are consistent with previous research by Nguyen et al. [35] and Zheng et al. [36], who observed a decrease in soil N2O emissions with the application of biochar in soil with pH values of 4.4 and 3.7, respectively. Soil biochemical processes are significantly influenced by DOC [37]. Previous studies have shown a positive relationship between DOC concentration and N2O emissions [38]. When soil pH is low, metals like iron and aluminum tend to fix organic carbon; the amount of soluble substances fixed in the soil pH may surpass the amount introduced by biochar itself [39]. Consequently, a significant decrease (p < 0.05) in soil dissolved organic carbon (DOC) content was observed, which led to a significant reduction (p < 0.05) in N2O emissions. Our observations indicate that the abundance of nitrification function genes AOA-amoA and AOB-amoA did not show a significant change (p > 0.05) after biochar application. This finding is consistent with a previous study by Liu et al. (2019), who reported that soil degradation, including acidification, resulted in low nitrification microbial diversity, and the nitrification rate was unaffected by biochar application. The nitrogen dynamic results showed that the addition of biochar decreased the ammonium nitrogen content, but did not increase the nitrate nitrogen content. Our previous study also confirmed that the addition of biochar to highly acidic soils inhibited the rates of soil autotrophic nitrification and heterotrophic nitrification [40]. This correlates with the study conducted by Cheng et al. [8], where a decreasing rate of soil nitrification rate was observed when soil pH was decreased below 5. Additionally, Zheng et al. [12] found that denitrification could potentially be the primary source of N2O emissions in soils with a pH below 5. Ji et al. [19] also found that soil denitrification played a predominant role in soil N2O production at pH 4.8. Our research showed that biochar application significantly increased the abundance of denitrification genes (nirK, nirS, nosZ). These results are consistent with the conclusions of Zhang et al. [13]. Furthermore, our observations revealed a significant decrease (p < 0.05) in the ratio of nirK+nirS to nosZ at pH 4.0 when biochar was added to the soil. When denitrification dominates N2O emissions, increasing pH leads to a decrease in N2O emissions. The application of biochar to highly acidic soils increased pH from 4.0 to 4.7, which subsequently contributed to a decrease in N2O emissions. The reduction in N2O outcompetes the production of N2O by increasing pH [13]. According to Zheng et al. [36], the application of biochar led to an increased abundance of the denitrification functional gene nosZ, thereby promoting the conversion of N2O to N2. Additionally, Cheng et al. [8] discovered that N2O reductase, a crucial enzyme in denitrification, was more sensitive to low pH levels compared to other denitrification reductases. Biochar application improved soil pH levels, which facilitated the formation of N2O reductase [41], thereby reducing N2O emissions.
Biochar addition increases N2O emissions from acidic to neutral soils (pH 5.1, pH 5.8, pH 6.6, and pH 7.2) by influencing the processes of nitrification and denitrification. The nitrogen dynamics results showed that when the pH was above 5, the nitrification rate increased significantly. We also found that with the increase in soil pH value, the peak time of N2O emission gradually advanced. These results confirmed that in acidic soils with pH above 5, the proportion of N2O produced by soil nitrification increased. Wang et al. [42] showed that the unstable components of biochar, particularly water-soluble substances, were the main factors contributing to the increase in N2O emissions. Our study also observed that biochar application promoted an increase in DOC and DON content, which was conducive to N2O production from acidic to neutral soils. PLS-PM analysis also indicated that the contributions of DOC and DON contents to soil conditions were first and second, respectively. Ammonia oxidation serves as the primary and rate-limiting step in nitrification, involving both AOA-amoA and AOB-amoA. Among them, AOB-amoA prefers nitrogen-rich and fertilized soils. Our study showed that biochar application increased AOB-amoA copy numbers. According to a previous study by Sun et al. [43], there was a significant correlation between soil carbon content and the abundance/diversity of AOB-amoA. Our research was conducted in a subtropical region of China, specifically in intensive orchards. Previous studies have reported that pomelo orchards in Pinghe County received an annual application exceeding 1000 kg ha−1 of nitrogen fertilizer [26]. Our findings showed that biochar application increased SOC content and stimulated an increase in AOB-amoA copy numbers. Furthermore, a recent study by Ji et al. [19] demonstrated that biochar incorporation stimulated AOB-amoA gene abundance in intensive vegetable fields, thereby increasing N2O emissions. Similarly, Wang et al. (2020a) found that an increase in AOB-amoA copy numbers was associated with favorable N2O emissions. It has been demonstrated that AOB lacks N2OR coding genes, resulting in the predominant production of N2O rather than N2 [44]. Biochar has been found to have positive effects on denitrification, including an increase in the copy number of nirK, nirS, and nosZ genes [45]. The increase in DOC content was facilitated by biochar and contributed to the increase in the denitrification rate [45]. In our study, the addition of biochar led to an increase in soil DOC content, thereby providing favorable conditions for denitrification. Specifically, the application of biochar resulted in an increase in the copy numbers of nirK and nirS genes, while the copy number of nosZ gene either decreased or showed no significant difference. Additionally, biochar application could increase the ratio of nirK+nirS to nosZ in soils. This suggests that biochar promotes the rate-limiting step of NO2 reduction to NO during denitrification [46], thereby increasing N2O emissions. Therefore, in acidic to neutral soils, N2O emissions result from the combined effects of nitrification and denitrification. AOB-amoA played an active role in the nitrification process, and biochar had a stronger stimulating effect on nirK and nirS genes than on nosZ genes, which was the main factor contributing to N2O production in the denitrification pathway.
As we know, the type of biochar, preparation processes, soil conditions, fertilization, precipitation, temperature, and other factors influence N2O emissions. In the future, it is essential to further investigate the effects of various factors and field positioning experiments on N2O emissions to enhance our understanding of how biochar affects soil N2O emissions in subtropical citrus orchards. Additionally, while biochar can contribute to the reduction in N2O emissions in strongly acidic soils, the economic costs associated with its application should not be overlooked in practical implementations.

5. Conclusions

Our results showed that biochar application had different effects on soil N2O emissions in highly acidic soils compared to acidic to neutral soils. In our findings, biochar application reduced N2O emissions in strongly acidic soils, whereas it enhanced N2O emissions in acidic to neutral soils. Our study indicated that the biochar application promoted the formation of N2O reductase and played a crucial role in reducing N2O emissions from highly acidic soils. In acidic to neutral soils, AOB-amoA played an active role in the nitrification process by increasing the nitrification capacity. In the process of denitrification, biochar resulted in a greater stimulation of nirK and nirS genes compared to nosZ genes. Under the combined effect of nitrification and denitrification, soil N2O emissions increased. In subtropical citrus orchards, when applying biochar as a strategy to reduce soil N2O emissions and improve orchard productivity, attention should be paid to the differences in N2O emissions caused by the soil properties (soil pH, nitrification capacity, denitrification capacity, etc.). In addition, the economic costs of biochar must be taken into account in practical applications.

Supplementary Materials

The following supporting information can be downloaded at: https://www.mdpi.com/article/10.3390/agronomy14081831/s1, Figure S1: Dynamic changes of NH4+-N and NO3-N in soil at pH 4.0; Figure S2: Dynamic changes of NH4+-N and NO3-N in soil pH 5.1, pH 5.8, pH 6.6, pH 7.2; Figure S3: Change in soil pH value during cultivation.

Author Contributions

X.Q.: conceptualization, data curation and writing—original draft preparation. H.C.: formal analysis and investigation. Q.L.: writing—review and editing, project administration. F.W.: reviewing and editing. All authors have read and agreed to the published version of the manuscript.

Funding

This research received funding from three organizations: Public Welfare Project of Fujian Province (2022R1025003), “5511” Collaborative Innovation Project (XTCXGC2021009), and Science and Technology Innovation Team project of Fujian Academy of Agricultural Sciences (CXTD2021015-1).

Data Availability Statement

The raw data supporting the conclusions of this article will be made available by the authors without undue reservation.

Conflicts of Interest

The authors declare no conflicts of interest.

References

  1. Zou, Y.; Ning, D.; Huang, Y.; Liang, Y.; Wang, H.; Duan, L.; Yuan, T.; He, Z.; Yang, Y.; Xue, K.; et al. Functional structures of soil microbial community relate to contrasting N2O emission patterns from a highly acidified forest. Sci. Total Environ. 2020, 725, 138504. [Google Scholar] [CrossRef] [PubMed]
  2. Zheng, Q.; Ding, J.; Lin, W.; Yao, Z.; Li, Q.; Xu, C.; Zhuang, S.; Kou, X.; Li, Y. The influence of soil acidification on N2O emissions derived from fungal and bacterial denitrification using dual isotopocule mapping and acetylene inhibition. Environ. Pollut. 2022, 303, 119076. [Google Scholar] [CrossRef]
  3. Kaushal, R.; Hsueh, Y.-H.; Chen, C.-L.; Lan, Y.-P.; Wu, P.-Y.; Chen, Y.-C.; Liang, M.-C. Isotopic assessment of soil N2O emission from a sub-tropical agricultural soil under varying N-inputs. Sci. Total Environ. 2022, 827, 154311. [Google Scholar] [CrossRef] [PubMed]
  4. Tian, H.; Xu, R.; Canadell, J.G.; Thompson, R.L.; Winiwarter, W.; Suntharalingam, P.; Davidson, E.A.; Ciais, P.; Jackson, R.B.; Janssens-Maenhout, G.; et al. A comprehensive quantification of global nitrous oxide sources and sinks. Nature 2020, 586, 248–256. [Google Scholar] [CrossRef]
  5. Shcherbak, I.; Millar, N.; Robertson, G.P. Global metaanalysis of the nonlinear response of soil nitrous oxide (N2O) emissions to fertilizer nitrogen. Proc. Natl. Acad. Sci. USA 2014, 111, 9199–9204. [Google Scholar] [CrossRef]
  6. Wu, Y.; Li, Y.; Wang, H.; Wang, Z.; Fu, X.; Shen, J.; Wang, Y.; Liu, X.; Meng, L.; Wu, J. Response of N2O emissions to biochar amendment on a tea field soil in subtropical central China: A three-year field experiment. Agric. Ecosyst. Environ. 2021, 318, 107473. [Google Scholar] [CrossRef]
  7. Baggs, E.M.; Smales, C.L.; Bateman, E.J. Changing pH shifts the microbial sourceas well as the magnitude of N2O emission from soil. Biol. Fertil. Soils 2010, 46, 793–805. [Google Scholar] [CrossRef]
  8. Cheng, Y.; Zhang, J.B.; Wang, J.; Cai, Z.C.; Wang, S.Q. Soil pH is a good predictor of the dominating N2O production processes under aerobic conditions. J. Plant Nutr. Soil Sci. 2015, 178, 370–373. [Google Scholar] [CrossRef]
  9. Cheng, Y.; Cai, Z.; Chang, S.X.; Wang, J.; Zhang, J. Effects of soil pH and salt on N2O production in adjacent forest and grassland soils in central Alberta, Canada. J. Soils Sediments 2013, 13, 863–868. [Google Scholar] [CrossRef]
  10. Aamer, M.; Shaaban, M.; Hassan, M.U.; Ying, L.; Haiying, T.; Qiaoying, M.; Munir, H.; Rasheed, A.; Xinmei, L.; Ping, L.; et al. N2O Emissions Mitigation in Acidic Soil Following Biochar Application Under Different Moisture Regimes. J. Soil Sci. Plant Nutr. 2020, 20, 2454–2464. [Google Scholar] [CrossRef]
  11. Shaaban, M.; Peng, Q.-A.; Bashir, S.; Wu, Y.; Younas, A.; Xu, X.; Rashti, M.R.; Abid, M.; Zafar-ul-Hye, M.; Núñez-Delgado, A.; et al. Restoring effect of soil acidity and Cu on N2O emissions from an acidic soil. J. Environ. Manag. 2019, 250, 109535. [Google Scholar] [CrossRef]
  12. Zheng, X.; Guo, B.; Liu, H.; Wu, Y.; Yu, J.; Ding, H.; Jiang, X.; Luo, Q.; Zhang, Y. Low pH inhibits soil nosZ without affecting N2O uptake. J. Soils Sediments 2022, 23, 422–430. [Google Scholar] [CrossRef]
  13. Zhang, Y.; Zhao, J.; Huang, X.; Cheng, Y.; Cai, Z.; Zhang, J.; Müller, C. Microbial pathways account for the pH effect on soil N2O production. Eur. J. Soil Biol. 2021, 106, 103337. [Google Scholar] [CrossRef]
  14. Qu, Z.; Wang, J.; Almøy, T.; Bakken, L.R. Excessive use of nitrogen in Chinese agriculture results in high N2O/(N2O+N2) product ratio of denitrification, primarily due to acidification of the soils. Glob. Chang. Biol. 2014, 20, 1685–1698. [Google Scholar] [CrossRef] [PubMed]
  15. Enaime, G.; Bacaoui, A.; Yaacoubi, A.; Lübken, M. Biochar for Wastewater Treatment—Conversion Technologies and Applications. Appl. Sci. 2020, 10, 3492. [Google Scholar] [CrossRef]
  16. He, X.; Lu, H.-l.; Wu, C.-m.; Xu, R.-k. Effects of inorganic alkalis and organic anions in biochars on acidic paddy soil resistance to acidification. J. Soils Sediments 2022, 22, 1201–1213. [Google Scholar] [CrossRef]
  17. Zhang, Y.; Cheng, X.; Wang, Z.; Tahir, M.H.; Wang, M. Co-pyrolysis of peanut shell with phosphate fertilizer to improve carbon sequestration and emission reduction potential of biochar. Fuel Process. Technol. 2022, 236, 107435. [Google Scholar] [CrossRef]
  18. Borchard, N.; Schirrmann, M.; Cayuela, M.L.; Kammann, C.; Wrage-Mönnig, N.; Estavillo, J.M.; Fuertes-Mendizábal, T.; Sigua, G.; Spokas, K.; Ippolito, J.A.; et al. Biochar, soil and land-use interactions that reduce nitrate leaching and N2O emissions: A meta-analysis. Sci. Total Environ. 2019, 651, 2354–2364. [Google Scholar] [CrossRef] [PubMed]
  19. Ji, C.; Li, S.; Geng, Y.; Miao, Y.; Ding, Y.; Liu, S.; Zou, J. Differential responses of soil N2O to biochar depend on the predominant microbial pathway. Appl. Soil Ecol. 2020, 145, 103348. [Google Scholar] [CrossRef]
  20. Li, Q.; Cui, K.; Lv, J.; Zhang, J.; Peng, C.; Li, Y.; Gu, Z.; Song, X. Biochar amendments increase soil organic carbon storage and decrease global warming potentials of soil CH4 and N2O under N addition in a subtropical Moso bamboo plantation. For. Ecosyst. 2022, 9, 100054. [Google Scholar] [CrossRef]
  21. Song, Y.; Li, Y.; Cai, Y.; Fu, S.; Luo, Y.; Wang, H.; Liang, C.; Lin, Z.; Hu, S.; Li, Y.; et al. Biochar decreases soil N2O emissions in Moso bamboo plantations through decreasing labile N concentrations, N-cycling enzyme activities and nitrification/denitrification rates. Geoderma 2019, 348, 135–145. [Google Scholar] [CrossRef]
  22. Zhong, L.; Li, G.; Qing, J.; Li, J.; Xue, J.; Yan, B.; Chen, G.; Kang, X.; Rui, Y. Biochar can reduce N2O production potential from rhizosphere of fertilized agricultural soils by suppressing bacterial denitrification. Eur. J. Soil Biol. 2022, 109, 103391. [Google Scholar] [CrossRef]
  23. Clough, T.J.; Bertram, J.E.; Ray, J.L.; Condron, L.M.; O’Callaghan, M.; Sherlock, R.R.; Wells, N.S. Unweathered Wood Biochar Impact on Nitrous Oxide Emissions from a Bovine-Urine-Amended Pasture Soil. Soil Sci. Soc. Am. J. 2010, 74, 852–860. [Google Scholar] [CrossRef]
  24. Verhoeven, E.; Six, J. Biochar does not mitigate field-scale N2O emissions in a Northern California vineyard: An assessment across two years. Agric. Ecosyst. Environ. 2014, 191, 27–38. [Google Scholar] [CrossRef]
  25. Chen, X.; Yu, W.; Cai, Y.; Zhang, S.; Muneer, M.A.; Zhu, Q.; Xu, D.; Ma, C.; Yan, X.; Li, Y.; et al. How to identify and adopt cleaner strategies to improve the continuous acidification in orchard soils? J. Clean. Prod. 2022, 330, 129826. [Google Scholar] [CrossRef]
  26. Zhang, S.; Yang, W.; Muneer, M.A.; Ji, Z.; Tong, L.; Zhang, X.; Li, X.; Wang, W.; Zhang, F.; Wu, L. Integrated use of lime with Mg fertilizer significantly improves the pomelo yield, quality, economic returns and soil physicochemical properties under acidic soil of southern China. Sci. Hortic. 2021, 290, 110502. [Google Scholar] [CrossRef]
  27. Zhang, Y.; Dai, S.; Huang, X.; Zhao, Y.; Zhao, J.; Cheng, Y.; Cai, Z.; Zhang, J. pH-induced changes in fungal abundance and composition affects soil heterotrophic nitrification after 30 days of artificial pH manipulation. Geoderma 2020, 366, 114255. [Google Scholar] [CrossRef]
  28. Hu, J.; Zhao, Y.; Yao, X.; Wang, J.; Zheng, P.; Xi, C.; Hu, B. Dominance of comammox Nitrospira in soil nitrification. Sci. Total Environ. 2021, 780, 146558. [Google Scholar] [CrossRef]
  29. Liu, S.; Wang, C.; Hou, J.; Wang, P.; Miao, L.; Fan, X.; You, G.; Xu, Y. Effects of Ag and Ag2S nanoparticles on denitrification in sediments. Water Res. 2018, 137, 28–36. [Google Scholar] [CrossRef]
  30. Xu, H.J.; Wang, X.H.; Li, H.; Yao, H.Y.; Su, J.Q.; Zhu, Y.G. Biochar impacts soil microbial community composition and nitrogen cycling in an acidic soil planted with rape. Environ. Sci. Technol. 2014, 48, 9391–9399. [Google Scholar] [CrossRef]
  31. Chèneby, D.; Hartmann, A.; Hénault, C.; Topp, E.; Germon, J.C. Diversity of denitrifying microflora and ability to reduce N2O in two soils. Biol. Fertil. Soils 1998, 28, 19–26. [Google Scholar] [CrossRef]
  32. Zhao, L.; Li, Q.; Qian, X.; Chen, H.; Wang, F.; Yi, Z. Effects of the combined application of biochar-based fertilizer and urea on N2O emissions, nitrifier, and denitrifier communities in the acidic soil of pomelo orchards. J. Soils Sediments 2022, 22, 3119–3136. [Google Scholar] [CrossRef]
  33. Cui, P.; Fan, F.; Yin, C.; Song, A.; Huang, P.; Tang, Y.; Zhu, P.; Peng, C.; Li, T.; Wakelin, S.A.; et al. Long-term organic and inorganic fertilization alters temperature sensitivity of potential N2O emissions and associated microbes. Soil Biol. Biochem. 2016, 93, 131–141. [Google Scholar] [CrossRef]
  34. Fan, X.; Yin, C.; Chen, H.; Ye, M.; Zhao, Y.; Li, T.; Wakelin, S.A.; Liang, Y. The efficacy of 3,4-dimethylpyrazole phosphate on N2O emissions is linked to niche differentiation of ammonia oxidizing archaea and bacteria across four arable soils. Soil Biol. Biochem. 2019, 130, 82–93. [Google Scholar] [CrossRef]
  35. Nguyen, D.H.; Scheer, C.; Rowlings, D.W.; Grace, P.R. Rice husk biochar and crop residue amendment in subtropical cropping soils: Effect on biomass production, nitrogen use efficiency and greenhouse gas emissions. Biol. Fertil. Soils 2016, 52, 261–270. [Google Scholar] [CrossRef]
  36. Zheng, N.; Yu, Y.; Shi, W.; Yao, H. Biochar suppresses N2O emissions and alters microbial communities in an acidic tea soil. Environ. Sci. Pollut. Res. 2019, 26, 35978–35987. [Google Scholar] [CrossRef] [PubMed]
  37. Yang, X.; Meng, J.; Lan, Y.; Chen, W.; Yang, T.; Yuan, J.; Liu, S.; Han, J. Effects of maize stover and its biochar on soil CO2 emissions and labile organic carbon fractions in Northeast China. Agric. Ecosyst. Environ. 2017, 240, 24–31. [Google Scholar] [CrossRef]
  38. Saari, P.; Saarnio, S.; Kukkonen, J.V.K.; Akkanen, J.; Heinonen, J.; Saari, V.; Alm, J. DOC and N2O dynamics in upland and peatland forest soils after clear-cutting and soil preparation. Biogeochemistry 2009, 94, 217–231. [Google Scholar] [CrossRef]
  39. Luo, Y.; Durenkamp, M.; De Nobili, M.; Lin, Q.; Brookes, P.C. Short term soil priming effects and the mineralisation of biochar following its incorporation to soils of different pH. Soil Biol. Biochem. 2011, 43, 2304–2314. [Google Scholar] [CrossRef]
  40. Qian, X.; Li, Q.; Chen, H.; Zhao, L.; Wang, F.; Zhang, Y.; Zhang, J.; Müller, C.; Yi, Z. Enhancing Soil Nitrogen Retention Capacity by Biochar Incorporation in the Acidic Soil of Pomelo Orchards: The Crucial Role of pH. Agronomy 2023, 13, 2110. [Google Scholar] [CrossRef]
  41. Bergaust, L.; Mao, Y.; Bakken, L.R.; Frostegard, A. Denitrification Response Patterns during the Transition to Anoxic Respiration and Posttranscriptional Effects of Suboptimal pH on Nitrous Oxide Reductase in Paracoccus denitrificans. Appl. Environ. Microbiol. 2010, 76, 8285. [Google Scholar] [CrossRef]
  42. Wang, Y.; Liu, Y.; Zhan, W.; Zheng, K.; Wang, J.; Zhang, C.; Chen, R. Stabilization of heavy metal-contaminated soils by biochar: Challenges and recommendations. Sci. Total Environ. 2020, 729, 139060. [Google Scholar] [CrossRef] [PubMed]
  43. Sun, R.; Myrold, D.D.; Wang, D.; Guo, X.; Chu, H. AOA and AOB communities respond differently to changes of soil pH under long-term fertilization. Soil Ecol. Lett. 2019, 1, 126–135. [Google Scholar] [CrossRef]
  44. Zhu, X.; Burger, M.; Doane, T.A.; Horwath, W.R. Ammonia oxidation pathways and nitrifier denitrification are significant sources of N2O and NO under low oxygen availability. Proc. Natl. Acad. Sci. USA 2013, 110, 6328–6333. [Google Scholar] [CrossRef] [PubMed]
  45. Li, C.; Wei, Z.; Yang, P.; Shan, J.; Yan, X. Conversion from rice fields to vegetable fields alters product stoichiometry of denitrification and increases N2O emission. Environ. Res. 2022, 215, 114279. [Google Scholar] [CrossRef]
  46. Braker, G.; Fesefeldt, A.; Witzel, K.P. Development of PCR primer systems for amplification of nitrite reductase genes (nirK and nirS) to detect denitrifying bacteria in environmental samples. Appl. Environ. Microbiol. 1998, 64, 3769–3775. [Google Scholar] [CrossRef] [PubMed]
Figure 1. Dynamic variations of N2O emission rates in soils with different pH values. CK represents no biochar added, while BC represents biochar added. The pH values of soils (AE) were 4.0, 5.1, 5.8, 6.6, and 7.2, respectively. Standard errors of the means (n = 3) are shown as vertical bars.
Figure 1. Dynamic variations of N2O emission rates in soils with different pH values. CK represents no biochar added, while BC represents biochar added. The pH values of soils (AE) were 4.0, 5.1, 5.8, 6.6, and 7.2, respectively. Standard errors of the means (n = 3) are shown as vertical bars.
Agronomy 14 01831 g001
Figure 2. Effect of biochar on cumulative N2O emissions in soils at different pH levels. The standard errors of the means (n = 3) are shown as vertical bars. Significant differences in pH values are shown by different capital letters (p < 0.05). When comparing the CK treatment with the BC treatment in soil with the same pH value, different lowercase letters indicate a significant difference (p < 0.05).
Figure 2. Effect of biochar on cumulative N2O emissions in soils at different pH levels. The standard errors of the means (n = 3) are shown as vertical bars. Significant differences in pH values are shown by different capital letters (p < 0.05). When comparing the CK treatment with the BC treatment in soil with the same pH value, different lowercase letters indicate a significant difference (p < 0.05).
Agronomy 14 01831 g002
Figure 3. AOA-amoA and AOB-amoA gene abundance in soils at different pH levels. The standard errors of the means (n = 3) are shown as vertical bars. Significant differences in pH values are shown by different capital letters (p < 0.05). When comparing the CK treatment with the BC treatment in soil with the same pH value, different lowercase letters indicate a significant difference (p < 0.05).
Figure 3. AOA-amoA and AOB-amoA gene abundance in soils at different pH levels. The standard errors of the means (n = 3) are shown as vertical bars. Significant differences in pH values are shown by different capital letters (p < 0.05). When comparing the CK treatment with the BC treatment in soil with the same pH value, different lowercase letters indicate a significant difference (p < 0.05).
Agronomy 14 01831 g003
Figure 4. The abundance of nirK, nirS, nosZ genes and (nirK+nirS)/nosZ in soils at different pH levels. The standard errors of the means (n = 3) are shown as vertical bars. Significant differences in pH values are shown by different capital letters (p < 0.05). When comparing the CK treatment with the BC treatment in soil with the same pH value, different lowercase letters indicate a significant difference (p < 0.05).
Figure 4. The abundance of nirK, nirS, nosZ genes and (nirK+nirS)/nosZ in soils at different pH levels. The standard errors of the means (n = 3) are shown as vertical bars. Significant differences in pH values are shown by different capital letters (p < 0.05). When comparing the CK treatment with the BC treatment in soil with the same pH value, different lowercase letters indicate a significant difference (p < 0.05).
Agronomy 14 01831 g004
Figure 5. Partial least squares path model (PLS-PM)-directed graph. Each box represents an observable or latent variable. The width of the arrow reflects larger route coefficients, with blue indicating a positive influence and red indicating a negative effect. In all, 999 bootstraps are used to determine the path coefficients. * p < 0.05, ** p < 0.01 indicate substantial differences in the coefficients. The goodness of fit statistic, which measures the overall performance of the prediction, is used to evaluate the model.
Figure 5. Partial least squares path model (PLS-PM)-directed graph. Each box represents an observable or latent variable. The width of the arrow reflects larger route coefficients, with blue indicating a positive influence and red indicating a negative effect. In all, 999 bootstraps are used to determine the path coefficients. * p < 0.05, ** p < 0.01 indicate substantial differences in the coefficients. The goodness of fit statistic, which measures the overall performance of the prediction, is used to evaluate the model.
Agronomy 14 01831 g005
Table 1. qPCR primer information for nitrification and denitrification function genes.
Table 1. qPCR primer information for nitrification and denitrification function genes.
Target GenePrimerSequence (5′-3′)Annealing TemperatureReferences
(°C)
AOA-amoACamoA-19fATGGTCTGGYTWAGACG50[28]
CamoA-616rGCCATCCABCKRTANGTCCA
AOB-amoAamoA-1FGGGGTTTCTACTGGTGGT55[28]
amoA-2RCCCCTCKGSAAAGCCTTCTTC
nirK876CATYGGCGGVCAYGGCGA65[29]
1040GCCTCGATCAGRTTRTGGTT
nirScd3AfGTSAACGTSAAGGARACSGG65[30]
R3cdGASTTCGGRTGSGTCTTGA
nosZnosLbCCCGCTGCACACCRCCTTCGA60[31]
nosRbCGTCGCCSGAGATGTCGATCA
Table 2. Effect of biochar addition on soil chemical characteristics at pH 4.0, pH 5.1, pH 5.8, pH 6.6, and pH 7.2.
Table 2. Effect of biochar addition on soil chemical characteristics at pH 4.0, pH 5.1, pH 5.8, pH 6.6, and pH 7.2.
NumberFactor1Factor2pHNH4+-NNO3-NTNSOCC/NDOCDON
mg kg−1mg kg−1g kg−1g kg−1mg kg−1mg kg−1
1CKpH 4.03.96 i16.48 a59.96 cd1.44 e14.83 g10.33 bc66.60 c5.13 d
2pH 5.15.06 g4.35 b68.05 ab1.67 c16.83 de10.06 cd50.82 ef18.19 c
3pH 5.85.63 f4.10 b63.95 bc1.58 cd15.83 f10.03 cd50.23 ef21.90 bc
4pH 6.66.47 d4.60 b66.25 b1.78 b17.79 bc9.95 cd63.84 cd40.11 a
5pH 7.27.03 b4.50 b55.3 d1.65 c16.02 f9.79 d77.74 b44.77 a
6BCpH 4.04.72 h4.22 b72.57 a1.51 de16.33 ef10.77 ab48.79 f7.29 d
7pH 5.15.65 f4.45 b63.05 bc1.66 c18.07 b10.88 a57.05 de23.55 bc
8pH 5.86.21 e4.15 b63.15 bc1.59 cd17.25 cd10.83 ab68.10 c28.14 b
9pH 6.66.90 c4.80 b64.55 bc1.87 a20.03 a10.66 ab90.01 a46.21 a
10pH 7.27.53 a4.80 b55.65 d1.59 cd16.77 de10.43 abc84.45 ab47.40 a
Note: Different lowercase letters indicate significant differences among treatments at p < 0.05 (ANOVA, Tukey’s HSD), The standard errors of the means (n = 3).
Table 3. Results of the two-way ANOVA for physicochemical properties affected by soil pH and biochar.
Table 3. Results of the two-way ANOVA for physicochemical properties affected by soil pH and biochar.
FactorspHNH4+-NNO3−-NTNSOCC/NDOCDON
Soil pH3134.42 ***285.62 ***12.35 ***42.22 ***68.06 ***2.4549.44 ***45.46 ***
Biochar987.75 ***276.49 ***0.921.5499.40 ***47.71 ***11.59 **3.87
Soil pH × Biochar9.04 ***316.62 ***7.04 ***2.434.32 *0.4925.66 ***0.59
Note: The data are F-values of the two-way ANOVA. * indicates significance at the 0.05 probability level. ** indicates significance at the 0.01 probability level. *** indicates significance at the 0.001 probability level.
Table 4. Results of the two-way ANOVA for the abundances of functional genes affected by soil pH and biochar.
Table 4. Results of the two-way ANOVA for the abundances of functional genes affected by soil pH and biochar.
FactorsAOA-amoAAOB-amoAnirknirSnosZ
Soil pH496.96 ***810.68 ***113.13 ***299.172 ***91.285 ***
Biochar0.17872.65 ***30.01 ***37.14 ***22.33 ***
Soil pH × Biochar0.8497.79 ***10.01 ***6.32 **6.76 ***
Note: The data are F-values of the two-way ANOVA. ** indicates significance at the 0.01 probability level. *** indicates significance at the 0.001 probability level.
Disclaimer/Publisher’s Note: The statements, opinions and data contained in all publications are solely those of the individual author(s) and contributor(s) and not of MDPI and/or the editor(s). MDPI and/or the editor(s) disclaim responsibility for any injury to people or property resulting from any ideas, methods, instructions or products referred to in the content.

Share and Cite

MDPI and ACS Style

Qian, X.; Chen, H.; Li, Q.; Wang, F. Converse Responses of Biochar Application on N2O Emissions in Soils at Different pH Values in a Subtropical Citrus Orchard. Agronomy 2024, 14, 1831. https://doi.org/10.3390/agronomy14081831

AMA Style

Qian X, Chen H, Li Q, Wang F. Converse Responses of Biochar Application on N2O Emissions in Soils at Different pH Values in a Subtropical Citrus Orchard. Agronomy. 2024; 14(8):1831. https://doi.org/10.3390/agronomy14081831

Chicago/Turabian Style

Qian, Xiaojie, Hongmei Chen, Qinghua Li, and Fei Wang. 2024. "Converse Responses of Biochar Application on N2O Emissions in Soils at Different pH Values in a Subtropical Citrus Orchard" Agronomy 14, no. 8: 1831. https://doi.org/10.3390/agronomy14081831

APA Style

Qian, X., Chen, H., Li, Q., & Wang, F. (2024). Converse Responses of Biochar Application on N2O Emissions in Soils at Different pH Values in a Subtropical Citrus Orchard. Agronomy, 14(8), 1831. https://doi.org/10.3390/agronomy14081831

Note that from the first issue of 2016, this journal uses article numbers instead of page numbers. See further details here.

Article Metrics

Back to TopTop