Using Multispectral Data from UAS in Machine Learning to Detect Infestation by Xylotrechus chinensis (Chevrolat) (Coleoptera: Cerambycidae) in Mulberries
Abstract
1. Introduction
2. Materials and Methods
2.1. UAV Flight Schedule and On-Site Observations
- Healthy tree: maintaining full turgor pressure in leaves during midday, showing no discernible indications of debilitation or abnormal growth.
- Tree with X. chinensis infestation: displaying generalized weakening, dried shoots, yellow leaves, and adult emergence holes.
2.2. Multispectral Data Processing
2.3. Statistical Analysis
3. Results
3.1. Descriptive Statistics
3.2. Correlation Analysis
3.3. Model Performance
3.4. Variable Importance
3.5. Confusion Matrices
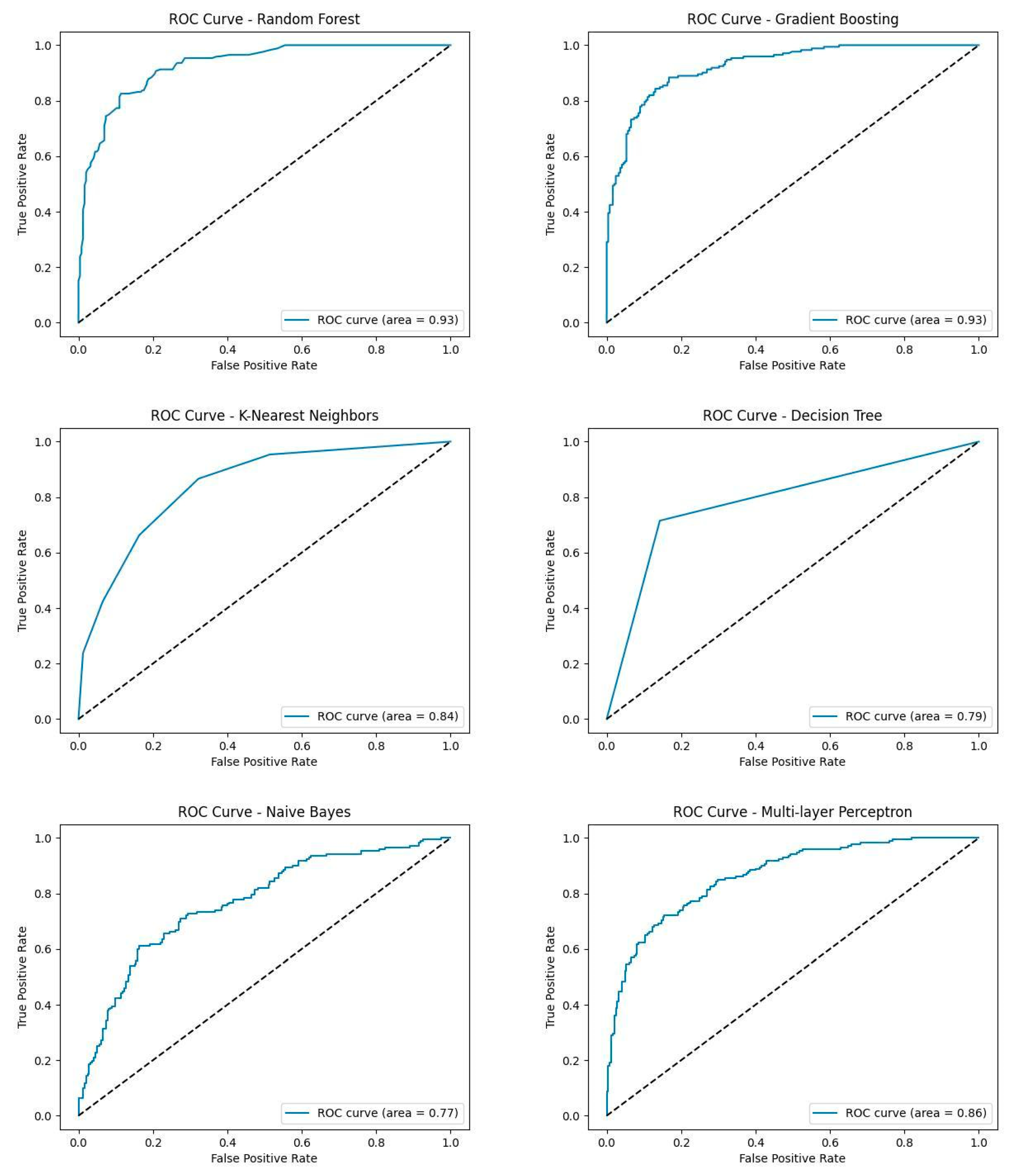
3.6. ROC Curves
4. Discussion
5. Conclusions
Author Contributions
Funding
Data Availability Statement
Conflicts of Interest
References
- Stange, E.E.; Ayres, M.P. Climate Change Impacts: Insects; Wiley: Hoboken, NJ, USA, 2010. [Google Scholar] [CrossRef]
- Gillooly, J.; West, G.; Savage, V.; Brown, J. Effects of Size and Temperature on Developmental Time. Nature 2002, 417, 70–73. [Google Scholar] [CrossRef] [PubMed]
- Sharpe, P.J.H.; DeMichele, D.W. Reaction Kinetics of Poikilotherm Development. J. Theor. Biol. 1977, 64, 649–670. [Google Scholar] [CrossRef]
- Kavallieratos, N.G.; Boukouvala, M.C.; Skourti, A.; Nika, E.P.; Papadoulis, G.T. Trunk Injection with Insecticides Manages Xylotrechus chinensis (Chevrolat) (Coleoptera: Carambycidae). Insects 2022, 13, 1106. [Google Scholar] [CrossRef]
- Leivadara, E.; Leivadaras, I.; Vontas, I.; Trichas, A.; Simoglou, K.; Roditakis, E.; Avtzis, D.N. First Record of Xylotrechus chinensis (Coleoptera: Cerambycidae) in Greece and in the EPPO Region. EPPO Bull. 2018, 48, 277–280. [Google Scholar] [CrossRef]
- Sarto i Monteys, V.; Torras i Tutusaus, G. A New Alien Invasive Longhorn Beetle, Xylotrechus chinensis (Cerambycidae), Is Infesting Mullberries in Catalonia (Spain). Insects 2018, 9, 52. [Google Scholar] [CrossRef]
- Bragard, C.; Baptista, P.; Chatzivassiliou, E.; Di Serio, F.; Gonthier, P.; Jaques Miret, J.A.; Justesen, A.F.; Magnusson, C.S.; Milonas, P.; Navas-Cortes, J.A.; et al. Pest Categorisation of Xylotrechus chinensis. EFSA J. 2021, 19, e07022. [Google Scholar] [CrossRef]
- Sarto i Monteys, V.; Costa Ribes, A.; Savin, I. The Invasive Longhorn Beetle Xylotrechus chinensis, Pest of Mullberries, in Europe: Study on Its Local Spread and Efficacy of Abamectin Control. PLoS ONE 2021, 16, e0245527. [Google Scholar] [CrossRef] [PubMed]
- Logan, J.A.; Régnière, J.; Powell, J.A. Assessing the Impacts of Global Warming on Forest Pest Dynamics. Front. Ecol. Environ. 2003, 1, 130–137. [Google Scholar] [CrossRef]
- Trần, J.K.; Ylioja, T.; Billings, R.F.; Régnière, J.; Ayres, M.P. Impact Of Minimum Winter Temperatures On The Population Dynamics of Dendroctonus frontalis. Ecol. Appl. 2007, 17, 882–899. [Google Scholar] [CrossRef]
- Peñuelas, J.; Filella, I.; Comas, P. Changed Plant and Animal Life Cycles from 1952 to 2000 in the Mediterranean Region. Glob. Chang. Biol. 2002, 8, 531–544. [Google Scholar] [CrossRef]
- Sykes, M.T. Climate Change Impacts: Vegetation. In Encyclopedia of Life Sciences; Wiley: Hoboken, NJ, USA, 2009; ISBN 978-0-470-01617-6. [Google Scholar]
- McDowell, N.G. Mechanisms Linking Drought, Hydraulics, Carbon Metabolism, and Vegetation Mortality. Plant Physiol. 2011, 155, 1051–1059. [Google Scholar] [CrossRef] [PubMed]
- Faccoli, M. Effect of Weather on Ips typographus (Coleoptera Curculionidae) Phenology, Voltinism, and Associated Spruce Mortality in the Southeastern Alps. Environ. Entomol. 2009, 38, 307–316. [Google Scholar] [CrossRef]
- Lehmann, J.R.; Nieberding, F.; Prinz, T.; Knoth, C. Analysis of Unmanned Aerial System-Based CIR Images in Forestry—A New Perspective to Monitor Pest Infestation Levels. Forests 2015, 6, 594–612. [Google Scholar] [CrossRef]
- Luo, Y.; Huang, H.; Roques, A. Early Monitoring of Forest Wood-Boring Pests with Remote Sensing. Annu. Rev. Entomol. 2023, 68, 277–298. [Google Scholar] [CrossRef]
- Iost Filho, F.H.; Heldens, W.B.; Kong, Z.; De Lange, E.S. Drones: Innovative Technology for Use in Precision Pest Management. J. Econ. Entomol. 2020, 113, 1–25. [Google Scholar] [CrossRef]
- Roman, A.; Ursu, T. Multispectral Satellite Imagery and Airborne Laser Scanning Techniques for the Detection of Archaeological Vegetation Marks. In Landscape Archaeology on the Northern Frontier of the Roman Empire at Porolissum: An Interdisciplinary Research Project; Mega Publishing House: Cluj-Napoca, Romania, 2016; pp. 141–152. [Google Scholar]
- Acharya, M.C.; Thapa, R.B. Remote Sensing and Its Applications in Agricultural Pest Management. J. Agric. Environ. 2015, 16, 43–61. [Google Scholar] [CrossRef]
- Wójtowicz, M.; Wójtowicz, A.; Piekarczyk, J. Application in Remote Sensing Methods in Agriculture. Commun. Biometry Crop Sci. 2016, 11, 31–50. [Google Scholar]
- Prasad, Y.G.; Prabhakar, M. Pest Monitoring and Forecasting. In Integrated Pest Management: Principles and Practice; Abrol, D.P., Shankar, U., Eds.; CABI: Wallingford, UK, 2012; pp. 41–57. ISBN 978-1-84593-808-6. [Google Scholar]
- Yue, J.; Lei, T.; Li, C.; Zhu, J. The Application of Unmanned Aerial Vehicle Remote Sensing in Quickly Monitoring Crop Pests. Intell. Autom. Soft Comput. 2012, 18, 1043–1052. [Google Scholar] [CrossRef]
- Bannari, A.; Morin, D.; Bonn, F.; Huete, A. A Review of Vegetation Indices. Remote Sens. Revies 1995, 13, 95–120. [Google Scholar] [CrossRef]
- Dash, J.P.; Watt, M.S.; Pearse, G.D.; Heaphy, M.; Dungey, H.S. Assessing Very High Resolution UAV Imagery for Monitoring Forest Health during a Simulated Disease Outbreak. ISPRS J. Photogramm. Remote Sens. 2017, 131, 1–14. [Google Scholar] [CrossRef]
- Rouse, J.W.; Haas, R.H.; Schell, J.A.; Deering, D.W. Monitoring Vegetation Systems in the Great Plains with ERTS. NASA Spec. Publ. 1974, 351, 309. [Google Scholar]
- Gitelson, A.; Merzlyak, M.N. Spectral Reflectance Changes Associated with Autumn Senescence of Aesculus hippocastanum L. and Acer platanoides L. Leaves. J. Plant Physiol. 1994, 143, 286–292. [Google Scholar] [CrossRef]
- Sims, D.A.; Gamon, J.A. Relationships between Leaf Pigment Content and Spectral Reflectance across a Wide Range of Species, Leaf Structures and Developmental Stages. Remote Sens. Environ. 2002, 81, 337–354. [Google Scholar] [CrossRef]
- Justice, C.O.; Vermote, E.; Townshend, J.R.; Defries, R.; Roy, D.P.; Hall, D.K.; Salomonson, V.V.; Privette, J.L.; Riggs, G.; Strahler, A.; et al. The Moderate Resolution Imaging Spectroradiometer (MODIS): Land Remote Sensing for Global Change Research. IEEE Trans. Geosci. Remote Sens. 1998, 36, 1228–1249. [Google Scholar] [CrossRef]
- Altman, D.G.; Bland, J.M. Diagnostic Tests 1: Sensitivity and Specificity. BMJ 1994, 308, 1552. [Google Scholar] [CrossRef] [PubMed]
- Altman, D.G.; Bland, J.M. Diagnostic Tests 2: Predictive Values. BMJ 1994, 309, 102. [Google Scholar] [CrossRef]
- Velez, D.R.; White, B.C.; Motsinger, A.A.; Bush, W.S.; Ritchie, M.D.; Williams, S.M.; Moore, J.H. A Balanced Accuracy Function for Epistasis Modeling in Imbalanced Datasets Using Multifactor Dimensionality Reduction. Genet. Epidemiol. Off. Publ. Int. Genet. Epidemiol. Soc. 2007, 31, 306–315. [Google Scholar] [CrossRef]
- Quinlan, J.R. Induction of Decision Trees. Mach. Learn. 1986, 1, 81–106. [Google Scholar] [CrossRef]
- Belgiu, M.; Drăguţ, L. Random Forest in Remote Sensing: A Review of Applications and Future Directions. ISPRS J. Photogramm. Remote Sens. 2016, 114, 24–31. [Google Scholar] [CrossRef]
- Skawsang, S.; Nagai, M.K.; Tripathi, N.; Soni, P. Predicting Rice Pest Population Occurence with Satellite-Derived Crop Phenology, Ground Meterological Observation, and Machine Learning: A Case Study for the Central Plain of Thailand. Appl. Sci. 2019, 9, 4846. [Google Scholar] [CrossRef]
- Friedman, J.H. Greedy Function Approximation: A Gradient Boosting Machine. Ann. Stat. 2001, 29, 1189–1232. [Google Scholar] [CrossRef]
- Webb, G.I. Naïve Bayes. In Encyclopedia of Machine Learning; Sammut, C., Webb, G.I., Eds.; Springer: Boston, MA, USA, 2010; pp. 713–714. ISBN 978-0-387-30164-8. [Google Scholar]
- Haykin, S.S. Neural Networks and Learning Machines, 3rd ed.; Prentice-Hall: New York, NY, USA; Munich, Germany, 2009; ISBN 978-0-13-147139-9. [Google Scholar]
- Mucherino, A.; Papajorgji, P.J.; Pardalos, P.M. K-Nearest Neighbor Classification. In Data Mining in Agriculture; Mucherino, A., Papajorgji, P.J., Pardalos, P.M., Eds.; Springer Optimization and Its Applications; Springer: New York, NY, USA, 2009; pp. 83–106. ISBN 978-0-387-88615-2. [Google Scholar]
- NOAA. Annual 2023 Global Climate Report; NOAA National Centers for Environmental Information: Washington, DC, USA, 2024. [Google Scholar]
- Arapostathi, E.; Panopoulou, C.; Antonopoulos, A.; Katsileros, A.; Karellas, K.; Dimopoulos, C.; Tsagkarakis, A. Early Detection of Potential Infestation by Capnodis tenebrionis (L.) (Coleoptera: Buprestidae), in Stone and Pome Fruit Orchards, Using Multispectral Data from a UAV. Agronomy 2024, 14, 20. [Google Scholar] [CrossRef]
- Bozzini, A.; Francini, S.; Chirici, G.; Battisti, A.; Faccoli, M. Spruce Bark Beetle Outbreak Prediction through Automatic Classification of Sentinel-2 Imagery. Forests 2023, 14, 1116. [Google Scholar] [CrossRef]
- Junttila, S.; Näsi, R.; Koivumäki, N.; Imangholiloo, M.; Saarinen, N.; Raisio, J.; Holopainen, M.; Hyyppä, H.; Hyyppä, J.; Lyytikäinen-Saarenmaa, P.; et al. Multispectral Imagery Provides Benefits for Mapping Spruce Tree Decline Due to Bark Beetle Infestation When Acquired Late in the Season. Remote Sens. 2022, 14, 909. [Google Scholar] [CrossRef]
- Sumido, E.C.; Feliscuzo, L.S.; Aliac, C.J.G. Pest classification and prediction: Analyzing the impact of weather to pest occurrence through machine learning. J. Eng. Sci. Technol. 2023, 18, 124–138. [Google Scholar]
- Rodríguez-González, Á.; Sánchez-Maíllo, E.; Peláez, H.J.; González-Núñez, M.; Hall, D.R.; Casquero, P.A. Field Evaluation of 3-Hydroxy-2-Hexanone and Ethanol as Attractants for the Cerambycid Beetle Pest of Vineyards, Xylotrechus Arvicola. Pest Manag. Sci. 2017, 73, 1598–1603. [Google Scholar] [CrossRef]
- Huete, A. Vegetation Indices, Remote Sensing and Forest Monitoring. Geogr. Compass 2012, 6, 513–532. [Google Scholar] [CrossRef]
- Huete, A.; Didan, K.; Miura, T.; Rodriguez, E.P.; Gao, X.; Ferreira, L.G. Overview of the Radiometric and Biophysical Performance of the MODIS Vegetation Indices. Remote Sens. Environ. 2002, 83, 195–213. [Google Scholar] [CrossRef]
- Boiarskii, B.; Hasegawa, H. Comparison of NDVI and NDRE Indices to Detect Differences in Vegetation and Chlorophyll Content. J. Mech. Contin. Math. Sci. 2019, 4, 20–29. [Google Scholar] [CrossRef]
- Cessna, J.; Alonzo, M.G.; Foster, A.C.; Cook, B.D. Mapping Boreal Forest Spruce Beetle Health Status at the Individual Crown Scale Using Fused Spectral and Structural Data. Forests 2021, 12, 1145. [Google Scholar] [CrossRef]
- Safonova, A.; Tabik, S.; Alcaraz-Segura, D.; Rubtsov, A.; Maglinets, Y.; Herrera, F. Detection of Fir Trees (Abies sibirica) Damaged by the Bark Beetle in Unmanned Aerial Vehicle Images with Deep Learning. Remote Sens. 2019, 11, 643. [Google Scholar] [CrossRef]
- Stoyanova, M.; Kandilarov, A.; Koutev, V.; Nitcheva, O.; Dobreva, P. Potential of Multispectral Imaging Technology for Assessment Coniferous Forests Bitten by a Bark Beetle in Central Bulgaria. MATEC Web Conf. 2018, 145, 01005. [Google Scholar] [CrossRef][Green Version]











| Holes | Canopy | Mean NDVI | Mean NDRE | Mean EVI | MeanT (°C) | |
|---|---|---|---|---|---|---|
| Mean | 5.13 | 2.22 | 0.86 | 0.43 | 2.28 | 25.70 |
| Std | 9.97 | 1.63 | 0.08 | 0.10 | 2.96 | 2.00 |
| Min | 0 | −1.30 | 0.03 | −0.03 | −87.59 | 23.06 |
| 25% | 0 | 1.28 | 0.84 | 0.38 | 2.14 | 24.34 |
| Median | 2 | 1.89 | 0.89 | 0.45 | 2.34 | 27.23 |
| 75% | 6 | 2.67 | 0.91 | 0.50 | 2.44 | 27.94 |
| Max | 95 | 17.40 | 0.94 | 0.66 | 100.08 | 27.94 |
| N | 2081 | 2081 | 2081 | 2081 | 2081 | 4 |
Disclaimer/Publisher’s Note: The statements, opinions and data contained in all publications are solely those of the individual author(s) and contributor(s) and not of MDPI and/or the editor(s). MDPI and/or the editor(s) disclaim responsibility for any injury to people or property resulting from any ideas, methods, instructions or products referred to in the content. |
© 2024 by the authors. Licensee MDPI, Basel, Switzerland. This article is an open access article distributed under the terms and conditions of the Creative Commons Attribution (CC BY) license (https://creativecommons.org/licenses/by/4.0/).
Share and Cite
Panopoulou, C.; Antonopoulos, A.; Arapostathi, E.; Stamouli, M.; Katsileros, A.; Tsagkarakis, A. Using Multispectral Data from UAS in Machine Learning to Detect Infestation by Xylotrechus chinensis (Chevrolat) (Coleoptera: Cerambycidae) in Mulberries. Agronomy 2024, 14, 2061. https://doi.org/10.3390/agronomy14092061
Panopoulou C, Antonopoulos A, Arapostathi E, Stamouli M, Katsileros A, Tsagkarakis A. Using Multispectral Data from UAS in Machine Learning to Detect Infestation by Xylotrechus chinensis (Chevrolat) (Coleoptera: Cerambycidae) in Mulberries. Agronomy. 2024; 14(9):2061. https://doi.org/10.3390/agronomy14092061
Chicago/Turabian StylePanopoulou, Christina, Athanasios Antonopoulos, Evaggelia Arapostathi, Myrto Stamouli, Anastasios Katsileros, and Antonios Tsagkarakis. 2024. "Using Multispectral Data from UAS in Machine Learning to Detect Infestation by Xylotrechus chinensis (Chevrolat) (Coleoptera: Cerambycidae) in Mulberries" Agronomy 14, no. 9: 2061. https://doi.org/10.3390/agronomy14092061
APA StylePanopoulou, C., Antonopoulos, A., Arapostathi, E., Stamouli, M., Katsileros, A., & Tsagkarakis, A. (2024). Using Multispectral Data from UAS in Machine Learning to Detect Infestation by Xylotrechus chinensis (Chevrolat) (Coleoptera: Cerambycidae) in Mulberries. Agronomy, 14(9), 2061. https://doi.org/10.3390/agronomy14092061

