Tillage Management Alters Carbon Sink Capacity in Arid Phaeozems: Insights from a Carbon Balance Perspective
Abstract
1. Introduction
2. Materials and Methods
2.1. Description of the Study Area
2.2. Plant Material
2.3. Experimental Design and Regimes
2.4. Collection and Determination of CO2 Emission and CH4 Emission
2.5. Dry Matter Mass, Carbon Content, Runoff Carbon Loss and Net Primary Productivity (NPP) of Each Organ After Harvest Were Measured
2.6. Net Ecosystem Productivity (NEP), Net Ecosystem Carbon Balance (NECB) and Net Ecosystem Carbon Balance (NCF) Were Calculated
2.7. Data Regime and Statistical Analysis
3. Results
3.1. Soil Heterotrophic Respiration CO2 Emission and CH4 Emission Under Different Tillage Measures
3.2. Dry Matter Quality, Carbon Content, Net Primary Productivity (NPP) and Runoff Carbon Loss (E-C) of Different Organs After Crop Harvest Under Different Tillage Measures Were Studied
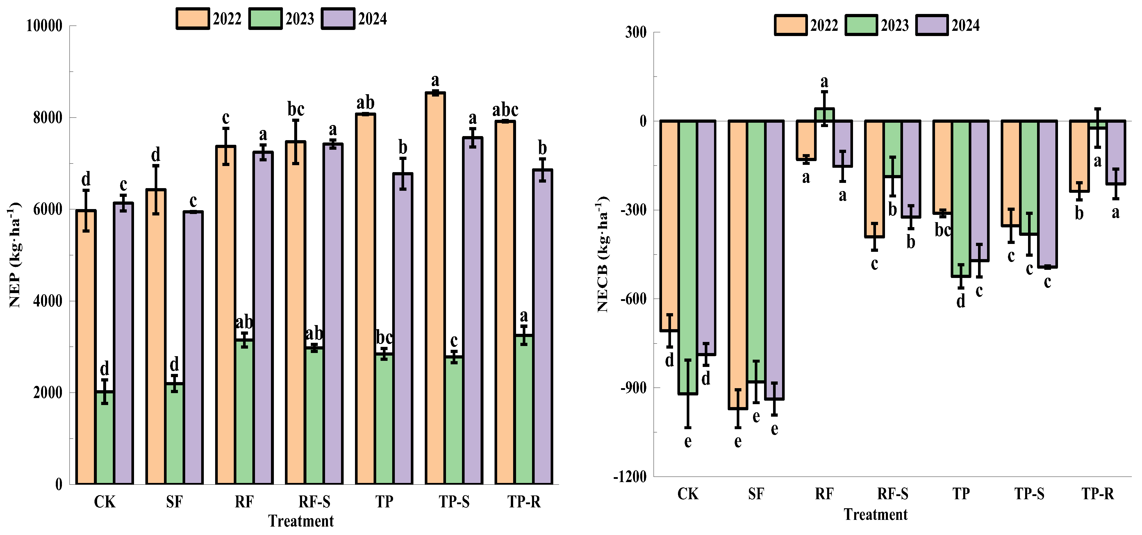
3.3. Net Ecosystem Productivity (NEP) and Net Ecosystem Carbon Balance (NECB) Under Different Tillage Practices
3.4. Net Carbon Balance (NCF) of Cropland System Under Different Tillage Measures
4. Discussion
5. Conclusions
6. Limitations and Future Perspectives
6.1. Limitations
6.2. Future Perspectives
Author Contributions
Funding
Data Availability Statement
Conflicts of Interest
References
- Kerr, R.A. Climate change-Reducing uncertainties of global warming. Science 2002, 295, 29–31. [Google Scholar] [CrossRef] [PubMed]
- Kerr, R.A. Global warming is changing the world. Science 2007, 316, 188–190. [Google Scholar] [CrossRef] [PubMed]
- Stone, R.; Bohannon, J. Global warming-UN conference puts spotlight on reducing impact of climate change. Science 2006, 314, 1224–1225. [Google Scholar] [CrossRef] [PubMed]
- Moss, R.H.; Edmonds, J.A.; Hibbard, K.A.; Manning, M.R.; Rose, S.K.; van Vuuren, D.P.; Carter, T.R.; Emori, S.; Kainuma, M.; Kram, T.; et al. The next generation of scenarios for climate change research and assessment. Nature 2010, 463, 747–756. [Google Scholar] [CrossRef]
- Vermeulen, S.J.; Aggarwal, P.K.; Ainslie, A.; Angelone, C.; Campbell, B.M.; Challinor, A.J.; Hansen, J.W.; Ingram, J.S.I.; Jarvis, A.; Kristjanson, P.; et al. Options for support to agriculture and food security under climate change. Environ. Sci. Policy 2011, 15, 136–144. [Google Scholar] [CrossRef]
- Nakicenovic, N.; Alcamo, J.; Davis, G.; DeVries, B.; Fenhann, J.; Gaffin, S.; Gregory, K.; Grübler, A.; Jung, T.Y.; Kram, T. Special Report on Emissions Scenarios, Working Group III, Intergovernmental Panel on Climate Change (IPCC); Cambridge University Press: Cambridge, UK, 2000; 595p, ISBN 92-9169-113-5. [Google Scholar]
- IPCC. Impacts, Adaptation and Vulnerability; Contribution of Working Group II to the Fifth Assessment Report of the Intergovernmental Panel on Climate Change; Cambridge University Press: Cambridge, UK, 2014. [Google Scholar]
- Yu, G.R.; Ren, W.; Chen, Z.; Zhang, L.M.; Wang, Q.F.; Wen, X.F.; He, N.P.; Zhang, L.; Fang, H.J.; Zhu, X.J.; et al. Construction and progress of Chinese terrestrial ecosystem carbon, nitrogen and water fluxes coordinated observation. J. Geogr. Sci. 2016, 26, 803–826. [Google Scholar] [CrossRef]
- Fan, S.; Gloor, M.; Mahlman, J.; Pacala, S.; Sarmiento, J.; Takahashi, T.; Tans, P. A large terrestrial carbon sink in north america implied by atmospheric and oceanic carbon dioxide data and models. Science 1998, 282, 442–446. [Google Scholar] [CrossRef]
- Fang, C.; Moncrieff, J.B. The dependence of soil CO2 efflux on temperature. Soil Biol. Biochem. 2001, 33, 155–165. [Google Scholar] [CrossRef]
- Hansen, J.E.; Lacis, A.A. Sun and dust versus greenhouse gases: An assessment of their relative roles in global climate change. Nature 1990, 346, 713–719. [Google Scholar] [CrossRef]
- Melillo, J.M.; Steudler, P.A.; Aber, J.D.; Newkirk, K.; Lux, H.; Bowles, F.P.; Catricala, C.; Magill, A.; Ahrens, T.; Morrisseau, S. Soil Warming and Carbon-Cycle Feedbacks to the Climate System. Science 2002, 298, 2173–2176. [Google Scholar] [CrossRef]
- Vermeulen, S.J.; Campbell, B.M.; Ingram, J.S.I. Climate change and food systems. Annu. Rev. Environ. Resour. 2012, 37, 195–222. [Google Scholar] [CrossRef]
- Yu, P.Z.; Yang, T.Q.; Zhang, Z.X.; Zhou, X.; Qi, Z.J.; Yin, Z.H.; Li, A. Soil and water conservation effects of different tillage measures on phaeozems sloping farmland in northeast China. Land Degrad. Dev. 2024, 35, 1716–1733. [Google Scholar] [CrossRef]
- FAO. FAOSTAT; Food and Agriculture Organization of the United Nations: Rome, Italy, 2015. [Google Scholar]
- Rong, L.; Duana, X.W.; Zhang, G.L.; Gu, Z.J.; Feng, D.T. Impacts of tillage practices on ephemeral gully erosion in a dry-hot valley region in southwestern China. Soil Tillage Res. 2019, 187, 72–84. [Google Scholar] [CrossRef]
- Basci, F.; Kisic, I.; Mesic, M.; Nestory, O.; Butorac, A. Tillage and crop management effects on soil erosion in central Croatia. Soil Tillage Res. 2004, 78, 197–206. [Google Scholar] [CrossRef]
- Nouchi, I.; Yonemura, S. CO2, CH4 and N2O fluxes from soybean and barley double-cropping in relation to tillage in Japan. Phyton-Ann. Rei Bot. 2005, 45, 327–338. [Google Scholar]
- Pelster, D.E.; Matteau, J.P.; Farrell, R.; Hernandez, R.G. Tillage effects on growing season nitrous oxide emissions in Canadian cropland soils. Can. J. Soil Sci. 2023, 104, 1–10. [Google Scholar] [CrossRef]
- Della, L.D.; Brye, K.R.; Slayden, J.M.; Henry, C.G.; Wood, L.S. Relationships among soil factors and greenhouse gas emissions from furrow-irrigated Rice in the mid-southern, USA. Geoderma Reg. 2021, 24, e00365. [Google Scholar]
- Kern, J.S.; Johnson, M.G. Conservation Tillage Impacts on National Soil and Atmospheric Carbon Levels. Soil Sci. Soc. Am. J. 1993, 57, 200–210. [Google Scholar] [CrossRef]
- Sun, M.; Zhan, M.; Zhao, M.; Tang, L.L.; Qin, M.G.; Cao, C.G.; Cai, M.L.; Jiang, Y.; Liu, Z.H. Maize and rice double cropping benefits carbon footprint and soil carbon budget in paddy field. Field Crops Res. 2019, 243, 107620. [Google Scholar] [CrossRef]
- Li, X.D.; Fu, H.; Guo, D.; Li, X.D.; Wan, C.G. Partitioning soil respiration and assessing the carbon balance in a Setaria italica (L.) Beauv. Cropland on the Loess Plateau, Northern China. Soil Biol. Biochem. 2010, 42, 337–346. [Google Scholar] [CrossRef]
- Hu, M.; Qu, Z.Y.; Li, Y.; Xiong, Y.W.; Huang, G.H. Contrasting effects of different straw return modes on net ecosystem carbon budget and carbon footprint in saline-alkali arid farmland. Soil Tillage Res. 2024, 239, 106031. [Google Scholar] [CrossRef]
- Ji, C.; Wang, J.D.; Xu, C.; Gu, Y.; Yuan, J.; Liang, D.; Wang, L.; Ning, Y.W.; Zhou, J.; Zhang, Y.C. Amendment of straw with decomposing inoculants benefits the ecosystem carbon budget and carbon footprint in a subtropical wheat cropping field. Sci. Total Environ. 2024, 923, 171419. [Google Scholar] [CrossRef] [PubMed]
- Wang, K.C.; Xu, J.Z.; Guo, H.; Min, Z.H.; Wei, Q.; Chen, P.; Sleutel, S. Reuse of straw in the form of hydrochar: Balancing the carbon budget and rice production under different irrigation management. Waste Manag. 2024, 189, 77–87. [Google Scholar] [CrossRef] [PubMed]
- Cao, Y.; Wen, X.P.; Wang, Y.X.; Zhao, X.T. The Analysis of NPP Changes under Different Climatic Zones and under Different Land Use Types in Henan Province, 2001–2020. Sustainability 2024, 16, 8096. [Google Scholar] [CrossRef]
- Bolinder, M.A.; Angers, D.A.; Giroux, M.; Laverdiere, M.R. Estimating C inputs retained as soil organic matter from corn (Zea mays L.). Plant Soil 1999, 215, 85–91. [Google Scholar] [CrossRef]
- Chapin, F.S.; Woodwell, G.M.; Randerson, J.T.; Rastetter, E.B.; Lovett, G.M.; Baldocchi, D.D.; Clark, D.A.; Harmon, M.E.; Schimel, D.S.; Valentini, R.; et al. Reconciling carbon-cycle concepts, terminology, and methods. Ecosystems 2006, 9, 1041–1050. [Google Scholar] [CrossRef]
- Hounkpatin, O.K.; Welp, G.; Akponikpè, I.P.; Rosendahl, I.; Amelung, W. Carbon losses from prolonged arable cropping of Plinthosols in Southwest Burkina Faso. Soil Tillage Res. 2018, 175, 51–61. [Google Scholar] [CrossRef]
- Page, K.L.; Dang, Y.P.; Dalal, R.C. The Ability of Conservation Agriculture to Conserve Soil Organic Carbon and the Subsequent Impact on Soil Physical, Chemical, and Biological Properties and Yield. Front. Sustain. Food Syst. 2020, 4, 31. [Google Scholar] [CrossRef]
- Lal, R. Agricultural activities and the global carbon cycle. Nutr. Cycl. Agroecosystems 2004, 70, 103–116. [Google Scholar] [CrossRef]
- West, O.T.; Marland, G. A synthesis of carbon sequestration, carbon emissions, and net carbon flux in agriculture: Comparing tillage practices in the United States. Agriculture. Ecosyst. Environ. 2002, 91, 217–232. [Google Scholar] [CrossRef]
- Lu, F.; Wang, X.K.; Han, B.; Ouyang, Z.Y.; Duan, X.M.; Zheng, H. Assessment on the availability of nitrogen fertilization in improving carbon sequestration potential of China’s cropland soil. Chin. J. Appl. Ecol. 2008, 19, 2239–2250. [Google Scholar]
- Raich, J.; Schlesinger, W.H. The global carbon dioxide flux in soil respiration and its relationship to vegetation and climate. Tellus B 1992, 44, 81–99. [Google Scholar] [CrossRef]
- IPCC. Climate Change 2007: The Physical Science Basis; Cambridge University Press: Cambridge, UK, 2007. [Google Scholar]
- Knorr, W.; Prentice, I.C.; House, J.I.; Holland, E.A. Long-term sensitivity of soil carbon turnover to warming. Nature 2005, 433, 298–301. [Google Scholar] [CrossRef] [PubMed]
- Ryan, M.G.; Law, B.E. Interpreting, measuring, and mod-eling soil respiration. Biogeochemistry 2005, 73, 3–27. [Google Scholar] [CrossRef]
- Li, J.J.; Li, S.W.; Liu, Q.; Ding, J.L. Agricultural carbon emission efficiency evaluation and influencing factors in Zhejiang province, China. Front. Environ. Sci. 2022, 10, 1005251. [Google Scholar] [CrossRef]
- Huang, Y.T.; Wang, F.; Zhang, L.J.; Zhao, J.F.; Zheng, H.; Zhang, F.; Wang, N.; Gu, J.K.; Zhao, Y.F.; Zhang, W.S. Changes and net ecosystem productivity of terrestrial ecosystems and their influencing factors in China from 2000 to 2019. Front. Plant Sci. 2023, 14, 1259137. [Google Scholar] [CrossRef]
- Pete, S.; Gary, L.; Werner, L.K.; Nina, B.; Werner, E.; Marc, A.; Eric, C.; Pierre, B.; Jagadeesh, B.Y.; Bruce, O.; et al. Measurements necessary for assessing the net ecosystem carbon budget of croplands. Agric. Ecosyst. Environ. 2010, 139, 302–315. [Google Scholar] [CrossRef]
- Arevalo, C.B.M.; Bhatti, J.S.; Chang, S.X.; Sidders, D. Land use change effects on ecosystem carbon balance: From agricultural to hybrid poplar plantation. Agric. Ecosyst. Environ. 2011, 141, 342–349. [Google Scholar] [CrossRef]
- Li, T.C.; Nie, T.Z.; Chen, P.; Zhang, Z.H.; Lan, J.X.; Zhang, Z.X.; Qi, Z.J.; Han, Y.; Jiang, L.L. Carbon Budget of Paddy Fields after Implementing Water-Saving Irrigation in Northeast China. Agronomy 2022, 12, 1481. [Google Scholar] [CrossRef]
- Swain, C.K.; Bhattacharyya, P.; Singh, N.R.; Neogi, S.; Sahoo, R.K.; Nayak, A.K.; Zhang, G.; Leclerc, M.Y. Net ecosystem methane and carbon dioxide exchange in relation to heat and carbon balance in lowland tropical rice. Ecol. Eng. 2016, 95, 364–374. [Google Scholar] [CrossRef]
- Li, M.; Peng, J.Y.; Lu, Z.X.; Zhu, P.Y. Research progress on carbon sources and sinks of farmland ecosystems. Resour. Environ. Sustain. 2023, 11, 100099. [Google Scholar] [CrossRef]
- Wu, H.; Guo, S.H.; Guo, P.; Shan, B.Y.; Zhang, Y. Agricultural water and land resources allocation considering carbon sink/source and water scarcity/degradation footprint. Sci. Total Environ. 2022, 819, 152058. [Google Scholar] [CrossRef]
- Cui, Y.; Khan, S.U.; Sauer, J.; Zhao, M.J. Exploring the spatiotemporal heterogeneity and influencing factors of agricultural carbon footprint and carbon footprint intensity: Embodying carbon sink effect. Sci. Total Environ. 2022, 846, 157507. [Google Scholar] [CrossRef]
- Liu, J.X.; Wang, Z.; Duan, Y.F.; Li, X.R.; Zhang, M.Y.; Liu, H.Y.; Xue, P.; Gong, H.B.; Wang, X.; Chen, Y.; et al. Effects of land use patterns on the interannual variations of carbon sinks of terrestrial ecosystems in China. Ecol. Indic. 2023, 146, 109914. [Google Scholar] [CrossRef]
- Fan, J.L.; McConkey, B.G.; Liang, B.C.; Angers, D.A.; Janzen, H.H.; Kröbel, R.; Cerkowniak, D.D.; Smith, W.N. Increasing crop yields and root input make Canadian farmland a large carbon sink. Geoderma 2019, 336, 49–58. [Google Scholar] [CrossRef]
- Qian, R.; Guo, R.; Naseer, M.A.; Zhang, P.; Chen, X.L.; Ren, X.L. Long-term straw incorporation regulates greenhouse gas emissions from biodegradable film farmland, improves ecosystem carbon budget and sustainable maize productivity. Field Crops Res. 2023, 295, 108890. [Google Scholar] [CrossRef]













| Total Nitrogen g·kg−1 | Alkaline Hydrolysis Nitrogen mg·kg−1 | Total Phosphorus g·kg−1 | Available Phosphorus mg·kg−1 | Available Potassium mg·kg−1 | Organic Matter g·kg−1 | pH |
|---|---|---|---|---|---|---|
| 2.3 | 154.4 | 0.9 | 40.1 | 376.8 | 42.1 | 7.3 |
| Crop Plant | Cultivar | N | P | K |
|---|---|---|---|---|
| Maize | Dika 1563 | 250 kg·ha−1 | 90 kg·ha−1 | 120 kg·ha−1 |
| Soybean | Dongsheng 17 | 35 kg·ha−1 | 60 kg·ha−1 | 30 kg·ha−1 |
| Cultivation Technique | Concrete Operation |
|---|---|
| Down-slope cultivation (CK) | Downslope Ridge-Tillage Integrated with Rotary Cultivation Optimal tillage depth range for rotary cultivators: 12–16 cm |
| Subsoiling tillage (SF) | Triple-Integrated Subsoiling, Rotary Cultivation, and Downslope Ridge-Tillage System Cultivation Recommended Subsoiling Depth Range for Agricultural Operations: 35–45 cm Optimal tillage depth range for rotary cultivators: 12–16 cm |
| Ridge to district field (RF) | Triple-Integrated Rotary Cultivation, Downslope Ridge-Tillage, and Ridge Closure System Optimal tillage depth range for rotary cultivators: 12–16 cm Spacing maintained at ca. 75 cm with ridge closure finalized in late June |
| Ridge to district field + subsoiling tillage (RF-S) | Quadruple-Integrated Subsoiling, Rotary Cultivation, Downslope Ridge-Tillage, and Ridge Closure System Recommended Subsoiling Depth Range for Agricultural Operations: 35–45 cm Optimal tillage depth range for rotary cultivators: 12–16 cm Spacing maintained at ca. 75 cm with ridge closure finalized in late June |
| Transverse slope planting (TP) | Integrated Rotary Tillage and Contour Ridge-Tillage System Optimal tillage depth range for rotary cultivators: 12–16 cm |
| Transverse slope planting + ridge to district field (TP-R) | Triple-Integrated Rotary Tillage, Contour Ridge-Tillage, and Ridge Closure System Optimal tillage depth range for rotary cultivators: 12–16 cm Spacing maintained at ca. 75 cm with ridge closure finalized in late June |
| Transverse slope planting + subsoiling tillage (TP-S) | Triple-Integrated Subsoiling, Rotary Cultivation, and Contour Ridge-Tillage System Cultivation Recommended Subsoiling Depth Range for Agricultural Operations: 35–45 cm Optimal tillage depth range for rotary cultivators: 12–16 cm |
| Agricultural Material Inputs | Discharge Ratio (kg C·kg−1) | Source of Parameters |
|---|---|---|
| Maize seed | 1.05 | Lal, R [32] |
| Soybean seed | 0.25 | West and Marland [33] |
| Diesel oil | 0.94 | West and Marland [33] |
| Nitrogen fertilizer (N) | 1.74 | Lu, F [34] |
| Phosphate fertilizer (P2O5) | 0.2 | Lal, R., West and Marland [32,33] |
| Potash fertilizer (K2O) | 0.15 | Lal, R., West and Marland [32,33] |
| Pesticide | 4.93 | West and Marland [33] |
| Herbicide | 6.3 | Lal, R [32] |
| Regime | CAPi (kg·ha−1) | CAP (kg·ha−1) | ||||||
|---|---|---|---|---|---|---|---|---|
| Diesel Oil | Nitrogen Fertilizer | Phosphate Fertilizer | Potash Fertilizer | Maize Seed | Pesticide | Herbicide | ||
| TP-S | 56.4 | 435.0 | 18.0 | 18.0 | 23.8 | 2.5 | 7.6 | 561.2 |
| TP | 34.3 | 435.0 | 18.0 | 18.0 | 23.8 | 2.5 | 7.6 | 539.1 |
| RF-S | 69.6 | 435.0 | 18.0 | 18.0 | 23.8 | 2.5 | 7.6 | 574.4 |
| TP-R | 47.5 | 435.0 | 18.0 | 18.0 | 23.8 | 2.5 | 7.6 | 552.3 |
| RF | 47. | 435.0 | 18.0 | 18.0 | 23.8 | 2.5 | 7.6 | 552.3 |
| SF | 56.4 | 435.0 | 18.0 | 18.0 | 23.8 | 2.5 | 7.6 | 561.2 |
| CK | 34.3 | 435.0 | 18.0 | 18.0 | 23.8 | 2.5 | 7.6 | 539.1 |
| Regime | CAPi (kg·ha−1) | CAP (kg·ha−1) | ||||||
|---|---|---|---|---|---|---|---|---|
| Diesel Oil | Nitrogen Fertilizer | Phosphate Fertilizer | Potash Fertilizer | Soybean Seeds | Pesticide | Herbicide | ||
| TP-S | 56.4 | 60.9 | 12.0 | 4.5 | 15.9 | 2.5 | 6.6 | 158.8 |
| TP | 34.3 | 60.9 | 12.0 | 4.5 | 15.9 | 2.5 | 6.6 | 136.7 |
| RF-S | 69.6 | 60.9 | 12.0 | 4.5 | 15.9 | 2.5 | 6.6 | 172.0 |
| TP-R | 47.5 | 60.9 | 12.0 | 4.5 | 15.9 | 2.5 | 6.6 | 149.9 |
| RF | 47.5 | 60.9 | 12.0 | 4.5 | 15.9 | 2.5 | 6.6 | 149.9 |
| SF | 56.4 | 60.9 | 12.0 | 4.5 | 15.9 | 2.5 | 6.6 | 158.8 |
| CK | 34.3 | 60.9 | 12.0 | 4.5 | 15.9 | 2.5 | 6.6 | 136.7 |
Disclaimer/Publisher’s Note: The statements, opinions and data contained in all publications are solely those of the individual author(s) and contributor(s) and not of MDPI and/or the editor(s). MDPI and/or the editor(s) disclaim responsibility for any injury to people or property resulting from any ideas, methods, instructions or products referred to in the content. |
© 2025 by the authors. Licensee MDPI, Basel, Switzerland. This article is an open access article distributed under the terms and conditions of the Creative Commons Attribution (CC BY) license (https://creativecommons.org/licenses/by/4.0/).
Share and Cite
Yu, P.; Deng, M.; Lin, G.; Liu, M.; Zhang, Z.; Qi, Z.; Zhou, X. Tillage Management Alters Carbon Sink Capacity in Arid Phaeozems: Insights from a Carbon Balance Perspective. Agronomy 2025, 15, 2285. https://doi.org/10.3390/agronomy15102285
Yu P, Deng M, Lin G, Liu M, Zhang Z, Qi Z, Zhou X. Tillage Management Alters Carbon Sink Capacity in Arid Phaeozems: Insights from a Carbon Balance Perspective. Agronomy. 2025; 15(10):2285. https://doi.org/10.3390/agronomy15102285
Chicago/Turabian StyleYu, Peizhe, Mingxu Deng, Guangzhi Lin, Ming Liu, Zhongxue Zhang, Zhijuan Qi, and Xin Zhou. 2025. "Tillage Management Alters Carbon Sink Capacity in Arid Phaeozems: Insights from a Carbon Balance Perspective" Agronomy 15, no. 10: 2285. https://doi.org/10.3390/agronomy15102285
APA StyleYu, P., Deng, M., Lin, G., Liu, M., Zhang, Z., Qi, Z., & Zhou, X. (2025). Tillage Management Alters Carbon Sink Capacity in Arid Phaeozems: Insights from a Carbon Balance Perspective. Agronomy, 15(10), 2285. https://doi.org/10.3390/agronomy15102285
