Benefits and Trade-Offs of Long-Term Organic Fertilization Substitution: Wheat Grain Nutrition and Heavy Metal Risks in an 11-Year Field Trial
Abstract
1. Introduction
2. Materials and Methods
2.1. Study Site and Experimental Design
2.2. Sampling and Analyses
2.2.1. Soil Collection and Analysis
2.2.2. Grain Collection and Analysis
2.3. Calculations
2.3.1. Grain Yield and Protein Content
2.3.2. Nutritional Yield Calculation
2.3.3. Non-Carcinogenic Health Risk
2.3.4. Carcinogenic Health Risk
2.3.5. Grain Quality Index Calculation
2.4. Statistical Analysis
3. Results
3.1. Grain Yield and the Protein Content
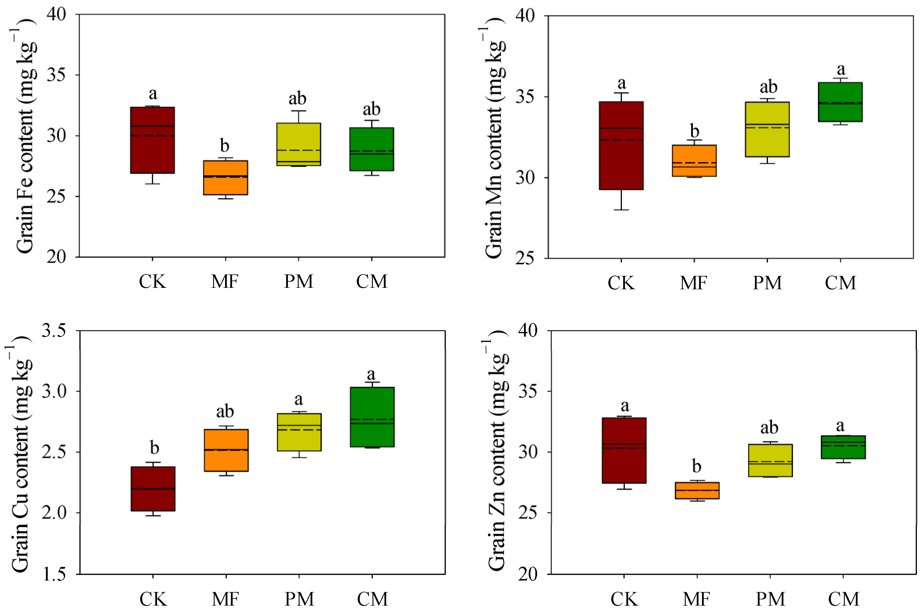
3.2. Contents of Grain Micronutrients
3.3. Nutritional Yield
3.4. Contents of Heavy Metals in Soil and Grain
3.5. Health Risk Assessment of Heavy Metals in Grains
3.6. Grain Quality Index
4. Discussion
4.1. Effects of Long-Term Organic Substitution on the Grain Yield and Protein Content
4.2. Effects of Long-Term Organic Substitution on the Content and Nutritional Yield of Micronutrients in Grain
4.3. Effects of Long-Term Organic Substitution on the Contents of Heavy Metals in Soil and Grain
4.4. Human Health Risk Assessment of Wheat Grain After Long-Term Organic Substitution
4.5. Effects of Long-Term Organic Substitution on the Grain Quality Index
4.6. Organic Fertilizer Management in Wheat Production
5. Conclusions
Supplementary Materials
Author Contributions
Funding
Data Availability Statement
Conflicts of Interest
References
- Li, F.; Zhou, M.; Shao, J.; Chen, Z.; Wei, X.; Yang, J. Maize, wheat and rice production potential changes in China under the background of climate change. Agric. Syst. 2020, 182, 102853. [Google Scholar] [CrossRef]
- Stewart, W.M.; Dibb, D.W.; Johnston, A.E.; Smyth, T.J. The contribution of commercial fertilizer nutrients to food production. Agron. J. 2005, 97, 1–6. [Google Scholar] [CrossRef]
- Guo, J.H.; Liu, X.J.; Zhang, Y.; Shen, J.L.; Han, W.X.; Zhang, W.F.; Christie, P.; Goulding, K.W.T.; Vitousek, P.M.; Zhang, F.S. Significant acidification in major Chinese croplands. Science 2010, 327, 1008–1010. [Google Scholar] [CrossRef] [PubMed]
- Blanco-Canqui, H.; Schlegel, A.J. Implications of inorganic fertilization of irrigated corn on soil properties: Lessons learned after 50 years. J. Environ. Qual. 2013, 42, 861–871. [Google Scholar] [CrossRef]
- Zhang, Y.; Cao, S.; Zhang, Z.; Meng, X.; Hsiaoping, C.; Yin, C.; Jiang, H.; Wang, S. Nutritional quality and health risks of wheat grains from organic and conventional cropping systems. Food Chem. 2020, 308, 125584. [Google Scholar] [CrossRef]
- Ning, C.; Gao, P.; Wang, B.; Lin, W.; Jiang, N.; Cai, K. Impacts of chemical fertilizer reduction and organic amendments supplementation on soil nutrient, enzyme activity and heavy metal content. J. Integr. Agric. 2017, 16, 1819–1831. [Google Scholar] [CrossRef]
- Lin, Y.; Ye, G.; Kuzyakov, Y.; Liu, D.; Fan, J.; Ding, W. Long-term manure application increases soil organic matter and aggregation, and alters microbial community structure and keystone taxa. Soil Biol. Biochem. 2019, 134, 187–196. [Google Scholar] [CrossRef]
- Laurent, C.; Bravin, M.N.; Crouzet, O.; Pelosi, C.; Tillard, E.; Lecomte, P.; Lamy, L. Increased soil pH and dissolved organic matter after a decade of organic fertilizer application mitigates copper and zinc availability despite contamination. Sci. Total Environ. 2020, 709, 135927. [Google Scholar] [CrossRef]
- Ning, C.-C.; Gao, P.-D.; Wang, B.-Q.; Lin, W.-P.; Jiang, N.-H.; Cai, K.-Z. Nitrous oxide emissions, ammonia volatilization, and grain-heavy metal levels during the wheat season: Effect of partial organic substitution for chemical fertilizer. Agric. Ecosyst. Environ. 2021, 311, 107340. [Google Scholar] [CrossRef]
- Wang, Y.; Ma, R.; Wei, J.; Fu, X.; Zhang, S.; Zhao, Z.; Lin, H.; Xu, Y.; Tan, D.; Gao, X.; et al. Enhancing micronutrient bioavailability in wheat grain through organic fertilizer substitution. Front. Nutr. 2025, 12, 1559537. [Google Scholar] [CrossRef]
- Qaswar, M.; Jing, H.; Ahmed, W.; Li, D.; Liu, S.; Zhang, L.; Cai, A.; Liu, L.; Xu, Y.; Gao, J.; et al. Yield sustainability, soil organic carbon sequestration and nutrients balance under long-term combined application of manure and inorganic fertilizers in acidic paddy soil. Soil Tillage Res. 2020, 198, 104569. [Google Scholar] [CrossRef]
- Cui, X.; Zhang, Y.; Gao, J.; Peng, F.; Gao, P. Long-term combined application of manure and chemical fertilizer sustained higher nutrient status and rhizospheric bacterial diversity in reddish paddy soil of Central South China. Sci. Rep. 2018, 8, 16554. [Google Scholar] [CrossRef] [PubMed]
- Li, Y.; Wu, X.; He, G.; Wang, Z. Benefits of yield, environment and economy from substituting fertilizer by manure for wheat production of China. Sci. Agric. Sin. 2020, 53, 4879–4890. [Google Scholar]
- Martin, J.A.R.; Arias, M.L.; Corbi, J.M.G. Heavy metals contents in agricultural topsoils in the Ebro basin (Spain). Application of the multivariate geostatistical methods to study spatial variations. Environ. Pollut. 2006, 144, 1001–1012. [Google Scholar] [CrossRef]
- Qin, G.; Niu, Z.; Yu, J.; Li, Z.; Ma, J.; Xiang, P. Soil heavy metal pollution and food safety in China: Effects, sources and removing technology. Chemosphere 2021, 267, 129205. [Google Scholar] [CrossRef]
- Liu, Y.; Ma, R.; Yang, Y.; Wang, J.; Guan, X.; Wang, M.; Li, N.; Xu, Y.; Jiang, L. Effect of partial organic fertilizer substitution on heavy metal accumulation in wheat grains and associated health risks. Agronomy 2023, 13, 2930. [Google Scholar] [CrossRef]
- Liu, Y.-M.; Liu, D.-Y.; Zhang, W.; Chen, X.-X.; Zhao, Q.-Y.; Chen, X.-P.; Zou, C.-Q. Health risk assessment of heavy metals (Zn, Cu, Cd, Pb, As and Cr) in wheat grain receiving repeated Zn fertilizers. Environ. Pollut. 2020, 257, 113581. [Google Scholar] [CrossRef]
- Micó, C.; Peris, M.; Recatalá, L.; Sánchez, J. Baseline values for heavy metals in agricultural soils in an European Mediterranean region. Sci. Total Environ. 2007, 378, 13–17. [Google Scholar] [CrossRef]
- Nelson, D.W.; Somers, L.E. Total carbon, organic carbon, and organic matter. In Methods of Soil Analysis; Miller, A.L., Keeney, R.H., Eds.; American Society of Agronomy-Soil Science Society of America Inc.: Madison, MI, USA, 1982; pp. 539–580. [Google Scholar]
- DeFries, R.; Fanzo, J.; Remans, R.; Palm, C.; Wood, S.; Anderman, T.L. Metrics for land-scarce agriculture. Science 2015, 349, 238–240. [Google Scholar] [CrossRef]
- Cheng, Y. Dietary nutrient reference intake of Chinese residents. Acta Nutr. Sin. 2014, 4, 313–317. [Google Scholar]
- USEPA. Environmental Protection Agency, Region 3, Risk-Based Concentration Table: Technical Background Information; Unites States Environmental Protection Agency: Washington, DC, USA, 2006. [Google Scholar]
- Zhai, F.; Yang, X. A Survey on the Chinese National Health and Nutrition II: The National Diet and Nutrition in 2002; Peoples Medial Publishing House: Beijing, China, 2006; pp. 145–146. [Google Scholar]
- Huang, M.; Zhou, S.; Sun, B.; Zhao, Q. Heavy metals in wheat grain: Assessment of potential health risk for inhabitants in Kunshan, China. Sci. Total Environ. 2008, 405, 54–61. [Google Scholar] [PubMed]
- Kuzyakov, Y.; Gunina, A.; Zamanian, K.; Tian, J.; Luo, Y.; Xu, X.; Yudina, A.; Aponte, H.; Alharbi, H.; Ge, T.; et al. New approaches for evaluation of soil health, sensitivity and resistance to degradation. Front. Agric. Sci. Eng. 2020, 7, 282–288. [Google Scholar] [CrossRef]
- Li, X.; Li, B.; Chen, L.; Liang, J.; Huang, R.; Tang, X. Partial substitution of chemical fertilizer with organic fertilizer over seven years increases yields and restores soil bacterial community diversity in wheat-rice rotation. Eur. J. Agron. 2022, 133, 126445. [Google Scholar] [CrossRef]
- Sileshi, G.W.; Jama, B.; Vanlauwe, B.; Negassa, W.; Harawa, R.; Kiwia, A.; Kimani, D. Nutrient use efficiency and crop yield response to the combined application of cattle manure and inorganic fertilizer in sub- Saharan Africa. Nutr. Cycl. Agroecosyst. 2019, 113, 181–199. [Google Scholar] [CrossRef]
- Sun, R.; Wang, D.; Guo, Z.; Hua, K.; Guo, X.; Chen, Y.; Liu, B.; Chu, H. Combined application of organic manure and chemical fertilizers stabilizes soil N-cycling microflora. Soil Ecol. Lett. 2023, 5, 1–7. [Google Scholar] [CrossRef]
- Xin, X.; Qin, S.; Zhang, J.; Zhu, A.; Yang, W.; Zhang, X. Yield, phosphorus use efficiency and balance response to substituting long- term chemical fertilizer use with organic manure in a wheat-maize system. Field Crops Res. 2017, 208, 27–33. [Google Scholar] [CrossRef]
- Yang, X.; Zhang, S.; Yuan, X.; Tong, Y. Long-term experiment on effect of organic manure and chemical fertilizer on distribution, accumulation and movement of NO3-N in soil. Plant Nutr. Fertil. 2001, 7, 134–138. [Google Scholar]
- Xu, Z.; Zhang, T.; Wang, S.; Wang, Z. Soil pH and C/N ratio determines spatial variations in soil microbial communities and enzymatic activities of the agricultural ecosystems in Northeast China: Jilin Province case. Appl. Soil Ecol. 2020, 155, 103629. [Google Scholar] [CrossRef]
- Cakmak, I. Enrichment of cereal grains with zinc: Agronomic or genetic biofortification? Plant Soil 2008, 302, 1–17. [Google Scholar] [CrossRef]
- Fan, T.-T.; Wang, Y.-J.; Li, C.-B.; He, J.-Z.; Gao, J.; Zhou, D.-M.; Friedman, S.P.; Sparks, D.L. Effect of organic matter on sorption of Zn on soil: Elucidation by Wien effect measurements and EXAFS spectroscopy. Environ. Sci. Technol. 2016, 50, 2931–2937. [Google Scholar] [CrossRef]
- Xiao, H.; Wang, B.; Lu, S.; Chen, D.; Wu, Y.; Zhu, Y.; Hu, S.; Bai, Y. Soil acidification reduces the effects of short term nutrient enrichment on plant and soil biota and their interactions in grasslands. Glob. Change Biol. 2020, 8, 4626–4637. [Google Scholar] [CrossRef]
- Kou, X.; Ma, N.; Zhang, X.; Xie, H.; Zhang, X.; Wu, Z.; Liang, W.; Li, Q.; Ferris, H. Frequency of stover mulching but not amount regulates the decomposition pathways of soil micro-food webs in a no-tillage system. Soil Biol. Biochem. 2020, 144, 107789. [Google Scholar] [CrossRef]
- Morgounov, A.; Hugo, F.G.-B.; Abugalieva, A.; Dzhunusova, M.; Yessimbekova, M.M. Iron and zinc grain density in common wheat grown in central asia. Euphytica 2007, 155, 193–203. [Google Scholar] [CrossRef]
- Hill, J.; Robson, A.; Loneragan, J. The effects of copper and nitrogen supply on the retranslocation of copper in four cultivars of wheat. Aust. J. Agric. Res. 1978, 29, 925–939. [Google Scholar] [CrossRef]
- Couto, R.d.R.; Faversani, J.; Ceretta, C.A.; Ferreira, P.A.A.; Marchezan, C.; Facco, D.B.; Garlet, L.P.; Silva, J.S.; Comin, J.J.; Bizzi, C.A.; et al. Health risk assessment and soil and plant heavy metal and bromine contents in field plots after ten years of organic and mineral fertilization. Ecotoxicol. Environ. Saf. 2018, 153, 142–150. [Google Scholar] [CrossRef] [PubMed]
- Park, J.H.; Lamb, D.; Paneerselvam, P.; Choppala, G.; Bolan, N.; Chung, J. Role of organic amendments on enhanced bioremediation of heavy metal(loid) contaminated soils. J. Hazard. Mater. 2011, 185, 549–574. [Google Scholar] [CrossRef] [PubMed]
- Chen, X.; Jiao, J.; Cao, W.; Yu, B.; Liu, Y.; Zou, Q. A sustainable phosphorus management in agriculture: Assessing trade-offs between human health risks and nutritional yield regarding heavy metals in maize grain. Environ. Res. 2022, 203, 111792. [Google Scholar] [CrossRef]
- Sergio, M.A.; Hans, L.; Maria, P.L.; Eva, J. Mineral nutritional yield and nutrient density of locally adapted wheat genotypes under organic production. Foods 2016, 5, 89. [Google Scholar] [CrossRef]
- USEPA. Environmental Protection Agency, Region 9, Preliminary Remediation Goals. 2012. Available online: http://www.epa.gov/region9/superfund/prg/ (accessed on 1 January 2022).
- Zhang, Y.; Yin, C.; Cao, S.; Cheng, L.; Wu, G.; Guo, J. Heavy metal accumulation and health risk assessment in soil-wheat system under different nitrogen levels. Sci. Total Environ. 2018, 622–623, 1499–1508. [Google Scholar] [CrossRef]
- Ru, S.; Xu, W.; Hou, L.; Sun, S.; Zhang, G.; Wang, L.; Su, D. Effects of continuous application of organic fertilizer on the accumulation and migration of heavy metals in soil-crop systems. Ecol. Environ. Sci. 2019, 28, 2070–2078. [Google Scholar]
- Lei, L.; Liang, D.; Yu, D.; Chen, Y.; Song, W.; Li, J. Human health risk assessment of heavy metals in the irrigated area of Jinghui, Shaanxi, China, in terms of wheat flour consumption. Environ. Monit. Assess. 2015, 187, 647. [Google Scholar] [CrossRef]
- International Agency for Research on Cancer. Complete List of Agents Evaluated and Their Classification; The International Agency for Research on Cancer: Lyon, France, 2009. [Google Scholar]
- Oomen, A.G.; Hack, A.; Minekus, M.; Zeijdner, E.; Cornelis, C.; Schoeters, G.; Verstraete, W.; Van de Wiele, T.; Wragg, J.; Rompelberg, C.J.M.; et al. Comparison of five in vitro digestion models to study the bioaccessibility of soil contaminants. Environ. Sci. Technol. 2002, 36, 3326. [Google Scholar] [CrossRef]
- Wajid, K.; Ahmad, K.; Khan, Z.I.; Nadeem, M.; Bashir, H.; Chen, F.; Ugulu, I. Effect of organic manure and mineral fertilizers on bioaccumulation and translocation of trace metals in maize. Bull. Environ. Contam. Toxicol. 2020, 104, 649–657. [Google Scholar] [CrossRef]
- Balkovič, J.; van der Velde, M.; Skalský, R.; Xiong, W.; Folberth, C.; Khabarov, N.; Smirnov, A.; Mueller, N.D.; Obersteiner, M. Global wheat production potentials and management flexibility under the representative concentration pathways. Glob. Planet. Change 2014, 122, 107–121. [Google Scholar] [CrossRef]
- Zhang, L.; Ma, L.; Li, Y.; Zheng, F.; Wei, J.; Tan, D.; Cui, X.; Li, Y. Effects of long-term synergistic application of organic materials and chemical fertilizers on bacterial community and enzyme activity in wheat-maize rotation Fluvo-Aquic soil. Sci. Agric. Sin. 2023, 56, 3843–3855. [Google Scholar]



| Treatments | Fertilizer Form | Wheat Season | Maize Season | Total | ||||
|---|---|---|---|---|---|---|---|---|
| N | P2O5 | K2O | N | P2O5 | K2O | |||
| (kg ha−1) | ||||||||
| CK | Inorganic | 0 | 0 | 0 | 0 | 0 | 0 | 0 |
| Organic | 0 | 0 | 0 | 0 | 0 | 0 | ||
| MF | Inorganic | 300 | 120 | 100 | 250 | 45 | 45 | 860 |
| Organic | 0 | 0 | 0 | 0 | 0 | 0 | ||
| PM | Inorganic | 150 | 60 | 50 | 125 | 22.5 | 22.5 | 860 |
| Organic | 68 | 105 | 42 | 68 | 105 | 42 | ||
| CM | Inorganic | 150 | 60 | 50 | 125 | 22.5 | 22.5 | 860 |
| Organic | 68 | 108 | 39 | 68 | 108 | 39 | ||
| Fertilizer Source | Fe | Mn | Cu | Zn | Ni | Cd | Pb | As | Cr |
|---|---|---|---|---|---|---|---|---|---|
| mg kg−1 | |||||||||
| Pig manure | 325.2 | 195.5 | 12.1 | 233.1 | 20.5 | 1.5 | 21 | 20.7 | 80.7 |
| Cattle manure | 298.5 | 201.8 | 15.2 | 264.4 | 16.9 | 1.4 | 20.2 | 12.7 | 83.5 |
| Urea | <0.1 | <0.1 | <0.1 | <0.1 | 0.46 | <0.1 | <0.1 | <0.1 | 0.52 |
| Superphosphate | 17.5 | 2.98 | 0.82 | 0.65 | 12.7 | 0.21 | 8.45 | 9.52 | 12.1 |
| Potassium sulfate | 1.12 | 0.58 | <0.1 | 0.21 | 0.38 | <0.1 | 0.72 | 0.22 | 1.25 |
| Treatments | Nutritional Yield (Adults ha−1 year−1) | ||||
|---|---|---|---|---|---|
| Protein | Fe | Mn | Cu | Zn | |
| CK | 14.1 ± 2.26 c | 21.2 ± 5.26 b | 60.7 ± 14.70 b | 22.9 ± 3.20 b | 20.3 ± 3.44 b |
| MF | 49.5 ± 5.64 a | 47.5 ± 5.17 a | 147.5 ± 15.51 a | 67.2 ± 2.16 a | 46.0 ± 3.12 a |
| PM | 39.9 ± 4.79 b | 47.8 ± 4.94 a | 146.2 ± 9.36 a | 66.8 ± 6.92 a | 46.4 ± 1.96 a |
| CM | 43.8 ± 4.56 ab | 50.1 ± 3.68 a | 162.3 ± 24.82 a | 72.8 ± 11.49 a | 51.4 ± 6.72 a |
| Treatments | Content of Heavy Metals in Soil (mg kg−1) | ||||
| Ni | Cd | Pb | As | Cr | |
| CK | 28.58 ± 1.73 a | 0.25 ± 0.01 a | 21.03 ± 1.70 c | 11.98 ± 1.10 a | 51.73 ± 4.59 a |
| MF | 28.46 ± 3.68 a | 0.25 ± 0.02 a | 21.50 ± 2.40 bc | 12.24 ± 1.20 a | 50.87 ± 6.14 a |
| PM | 30.58 ± 0.74 a | 0.26 ± 0.01 a | 23.98 ± 0.60 a | 12.63 ± 1.55 a | 51.25 ± 4.43 a |
| CM | 30.42 ± 1.26 a | 0.26 ± 0.02 a | 23.79 ± 1.05 ab | 12.13 ± 0.99 a | 52.04 ± 3.03 a |
| Treatments | Content of Heavy Metals in Grain | ||||
| Ni (mg kg−1) | Cd (μg kg−1) | Pb (μg kg−1) | As (μg kg−1) | Cr (mg kg−1) | |
| CK | 0.58 ± 0.09 ab | 9.28 ± 1.37 a | 44.32 ± 2.53 b | 31.68 ± 5.80 c | 2.22 ± 0.41 a |
| MF | 0.50 ± 0.07 b | 8.68 ± 1.31 a | 46.94 ± 2.21 b | 34.93 ± 6.34 bc | 2.17 ± 0.34 a |
| PM | 0.71 ± 0.09 a | 8.99 ± 3.10 a | 63.56 ± 6.90 a | 47.93 ± 5.40 a | 2.38 ± 0.39 a |
| CM | 0.67 ± 0.09 a | 9.33 ± 1.05 a | 60.09 ± 4.19 a | 42.61 ± 4.22 ab | 2.27 ± 0.27 a |
| Treatments | Threshold Hazard Quotient | Hazard Index | ||||
|---|---|---|---|---|---|---|
| Ni | Cd | Pb | As | Cr | ||
| (×10−1) | (×10−1) | (×10−1) | (×10−3) | |||
| Children | ||||||
| CK | 1.42 ± 0.22 ab | 0.45 ± 0.07 a | 0.54 ± 0.03 b | 0.51 ± 0.09 c | 0.72 ± 0.13 a | 0.76 ± 0.11 c |
| MF | 1.21 ± 0.16 b | 0.42 ± 0.06 a | 0.57 ± 0.03 b | 0.57 ± 0.10 bc | 0.70 ± 0.11 a | 0.80 ± 0.12 bc |
| PM | 1.74 ± 0.23 a | 0.44 ± 0.15 a | 0.77 ± 0.08 a | 0.78 ± 0.09 a | 0.77 ± 0.13 a | 1.08 ± 0.08 a |
| CM | 1.62 ± 0.23 a | 0.45 ± 0.05 a | 0.73 ± 0.05 a | 0.69 ± 0.07 ab | 0.74 ± 0.09 a | 0.98 ± 0.06 ab |
| Adults | ||||||
| CK | 0.72 ± 0.11 ab | 0.23 ± 0.03 a | 0.28 ± 0.02 b | 0.27 ± 0.05 c | 0.37 ± 0.07 a | 0.39 ± 0.06 c |
| MF | 0.62 ± 0.08 b | 0.22 ± 0.03 a | 0.29 ± 0.01 b | 0.29 ± 0.05 bc | 0.36 ± 0.06 a | 0.41 ± 0.06 bc |
| PM | 0.89 ± 0.12 a | 0.22 ± 0.08 a | 0.40 ± 0.04 a | 0.40 ± 0.04 a | 0.40 ± 0.07 a | 0.55 ± 0.04 a |
| CM | 0.83 ± 0.12 a | 0.23 ± 0.03 a | 0.37 ± 0.03 a | 0.35 ± 0.04 ab | 0.38 ± 0.04 a | 0.50 ± 0.03 ab |
| Treatments | Threshold Cancer Risk | |||||
|---|---|---|---|---|---|---|
| Cd (×10−5) | Pb (×10−7) | As (×10−5) | ||||
| Children | Adults | Children | Adults | Children | Adults | |
| CK | 2.36 ± 0.35 a | 6.04 ± 0.90 a | 1.57 ± 0.09 b | 4.02 ± 0.23 b | 1.98 ± 0.36 c | 5.07 ± 0.93 c |
| MF | 2.21 ± 0.33 a | 5.65 ± 0.86 a | 1.67 ± 0.08 b | 4.26 ± 0.20 b | 2.20 ± 0.40 bc | 5.62 ± 1.01 bc |
| PM | 2.29 ± 0.79 a | 5.85 ± 2.02 a | 2.26 ± 0.25 a | 5.76 ± 0.63 a | 3.00 ± 0.34 a | 7.67 ± 0.86 a |
| CM | 2.37 ± 0.27 a | 6.07 ± 0.68 a | 2.13 ± 0.16 a | 5.45 ± 0.40 a | 2.67 ± 0.26 ab | 6.82 ± 0.68 ab |
Disclaimer/Publisher’s Note: The statements, opinions and data contained in all publications are solely those of the individual author(s) and contributor(s) and not of MDPI and/or the editor(s). MDPI and/or the editor(s) disclaim responsibility for any injury to people or property resulting from any ideas, methods, instructions or products referred to in the content. |
© 2025 by the authors. Licensee MDPI, Basel, Switzerland. This article is an open access article distributed under the terms and conditions of the Creative Commons Attribution (CC BY) license (https://creativecommons.org/licenses/by/4.0/).
Share and Cite
Liu, Y.; Zhou, X.; Li, Z.; Ma, L.; Li, Y.; Zhao, H.; Xu, Y.; Tan, D. Benefits and Trade-Offs of Long-Term Organic Fertilization Substitution: Wheat Grain Nutrition and Heavy Metal Risks in an 11-Year Field Trial. Agronomy 2025, 15, 2369. https://doi.org/10.3390/agronomy15102369
Liu Y, Zhou X, Li Z, Ma L, Li Y, Zhao H, Xu Y, Tan D. Benefits and Trade-Offs of Long-Term Organic Fertilization Substitution: Wheat Grain Nutrition and Heavy Metal Risks in an 11-Year Field Trial. Agronomy. 2025; 15(10):2369. https://doi.org/10.3390/agronomy15102369
Chicago/Turabian StyleLiu, Yumin, Xiaolin Zhou, Zishuang Li, Lei Ma, Yan Li, Huanyu Zhao, Yu Xu, and Deshui Tan. 2025. "Benefits and Trade-Offs of Long-Term Organic Fertilization Substitution: Wheat Grain Nutrition and Heavy Metal Risks in an 11-Year Field Trial" Agronomy 15, no. 10: 2369. https://doi.org/10.3390/agronomy15102369
APA StyleLiu, Y., Zhou, X., Li, Z., Ma, L., Li, Y., Zhao, H., Xu, Y., & Tan, D. (2025). Benefits and Trade-Offs of Long-Term Organic Fertilization Substitution: Wheat Grain Nutrition and Heavy Metal Risks in an 11-Year Field Trial. Agronomy, 15(10), 2369. https://doi.org/10.3390/agronomy15102369

