Synergistic Optimization of Root–Shoot Characteristics, Nitrogen Use Efficiency and Yield by Combining Planting Density with Nitrogen Level in Cotton (Gossypium hirsutum L.)
Abstract
1. Introduction
2. Materials and Methods
2.1. Experimental Design
2.2. Aboveground Part Indicators
2.3. Root System Characteristics
2.4. Dry Matter Accumulation of Cotton Plants
2.5. Yield and Its Components
2.6. Nitrogen Fertilizer Utilization Efficiency
2.7. Total Soil Nitrogen Content at Different Growth Stages
2.8. Data Analysis
3. Results
3.1. The Influence on the Aboveground Morphology of Cotton
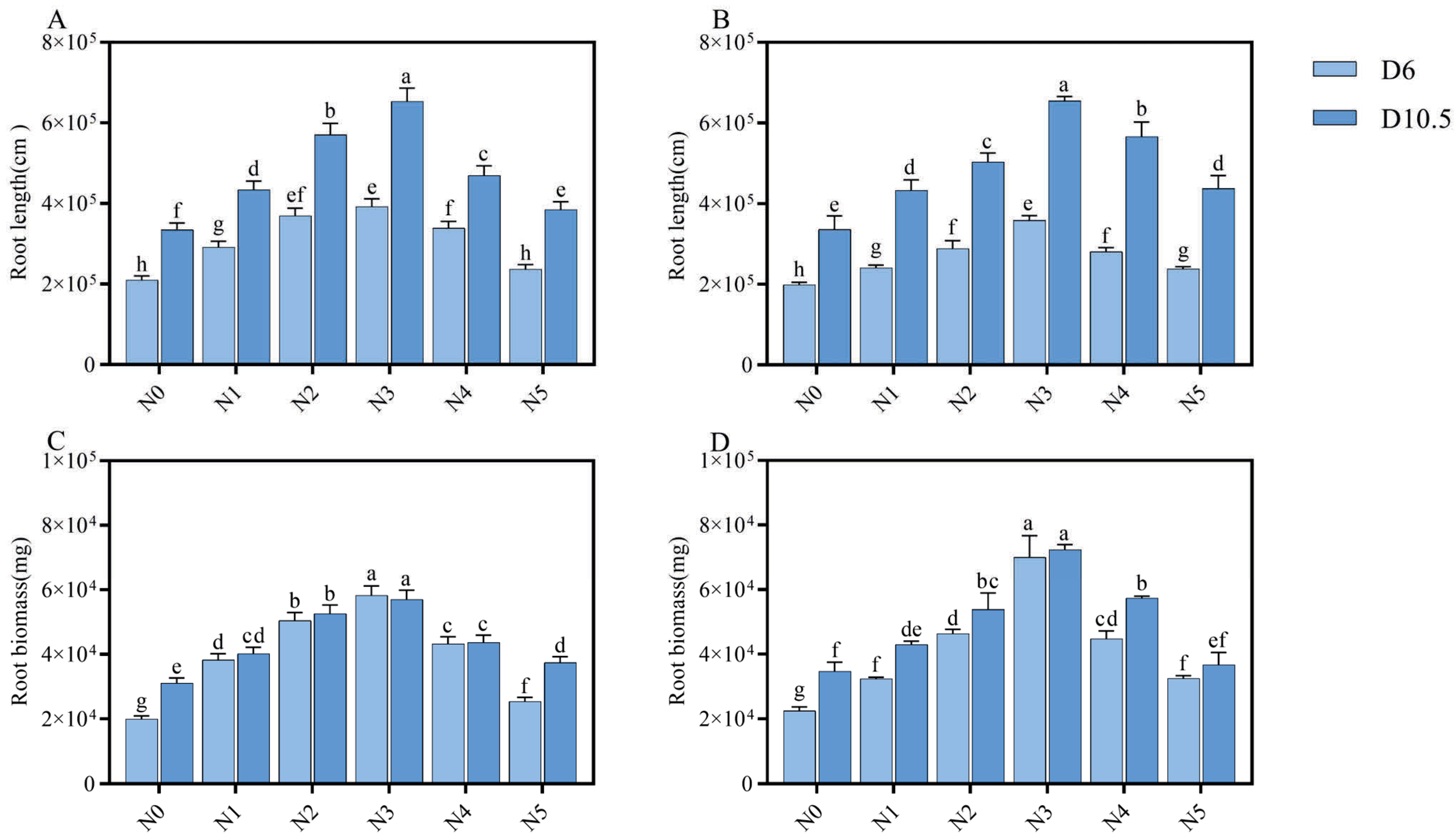
3.2. Effects on Root System Characteristics
3.3. Effects on the Accumulation and Distribution of Dry Matter
3.4. Influence on the Root–Shoot Ratio
3.5. Impact on Cotton Yield
3.6. The Influence on the Total Nitrogen Content of the Soil
3.7. Effects on the Nitrogen Fertilizer Utilization Efficiency of Cotton
3.8. Regression Analysis and Correlation Analysis
4. Discussion
4.1. Increase Density to Optimize the Root Cap Characteristics of Cotton
4.2. Increasing Density Promotes Coordinated Growth and Enhances Cotton Yield
4.3. Increasing Density Significantly Improves Nitrogen Fertilizer Utilization Efficiency and Reduces Total Nitrogen Content in Cotton Field Soil
5. Conclusions
Author Contributions
Funding
Data Availability Statement
Acknowledgments
Conflicts of Interest
Abbreviations
| NUE | Nitrogen Use Efficiency |
| PH | Plant Height |
| SD | Stem Diameter |
| PARIn | Photosynthetically Active Radiation Interception rate |
| NRE | Nitrogen Recovery Efficiency |
| ANUE | Agricultural Nitrogen Use Efficiency |
| PFPN | Partial Factor Productivity of Nitrogen |
| R/S | Root–Shoot ratio |
| NLR | Number of Lateral Roots |
| ALRA | Average Lateral Root Angle |
| STN | Soil Total Nitrogen |
| VODM | Vegetative Organ Dry Matter |
| RODM | Reproductive Organ Dry Matter |
| BPUA | Number of Bolls Per Unit Area |
| SCY | Seed Cotton Yield |
| SE | Standard Error |
| DAS | Days After Sowing |
References
- Jans, Y.; Von Bloh, W.; Schaphoff, S.; Müller, C. Global Cotton Production under Climate Change—Implications for Yield and Water Consumption. Hydrol. Earth Syst. Sci. 2021, 25, 2027–2044. [Google Scholar] [CrossRef]
- Hirel, B.; Le Gouis, J.; Ney, B.; Gallais, A. The Challenge of Improving Nitrogen Use Efficiency in Crop Plants: Towards a More Central Role for Genetic Variability and Quantitative Genetics within Integrated Approaches. J. Exp. Bot. 2007, 58, 2369–2387. [Google Scholar] [CrossRef]
- Zhang, Y.Q.; Li, S.W.; Fu, W.; Wen, H.D. Effects of nitrogen application on yield, photosynthetic characteristics and water use efficiency of hybrid millet. J. Plant Nutr. Fertil. 2014, 20, 1119–1126, (In Chinese with English Abstract). [Google Scholar] [CrossRef]
- Dai, J.; Li, W.; Tang, W.; Zhang, D.; Li, Z.; Lu, H.; Eneji, A.E.; Dong, H. Manipulation of Dry Matter Accumulation and Partitioning with Plant Density in Relation to Yield Stability of Cotton under Intensive Management. Field Crops Res. 2015, 180, 207–215. [Google Scholar] [CrossRef]
- Tian, Y.; Tian, L.; Wang, F.; Shi, X.; Shi, F.; Hao, X.; Li, N.; Chenu, K.; Luo, H.; Yang, G. Optimizing Nitrogen Application Improves Its Efficiency by Higher Allocation in Bolls of Cotton under Drip Fertigation. Field Crops Res. 2023, 298, 108968. [Google Scholar] [CrossRef]
- Ma, Y.; Sun, H.; Yang, Y.; Li, Z.; Li, P.; Qiao, Y.; Zhang, Y.; Zhang, K.; Bai, Z.; Li, A.; et al. Long-Term Nitrogen Fertilizer Management for Enhancing Use Efficiency and Sustainable Cotton (Gossypium Hirsutum L.). Front. Plant Sci. 2023, 14, 1271846. [Google Scholar] [CrossRef]
- Aulakh, M.S.; Malhi, S.S. Interactions of Nitrogen with Other Nutrients and Water: Effect on Crop Yield and Quality, Nutrient Use Efficiency, Carbon Sequestration, and Environmental Pollution. In Advances in Agronomy; Elsevier: Amsterdam, The Netherlands, 2005; Volume 86, pp. 341–409. ISBN 978-0-12-000784-4. [Google Scholar]
- Luo, Z.; Liu, H.; Li, W.; Zhao, Q.; Dai, J.; Tian, L.; Dong, H. Effects of Reduced Nitrogen Rate on Cotton Yield and Nitrogen Use Efficiency as Mediated by Application Mode or Plant Density. Field Crops Res. 2018, 218, 150–157. [Google Scholar] [CrossRef]
- Snider, J.; Harris, G.; Roberts, P.; Meeks, C.; Chastain, D.; Bange, M.; Virk, G. Cotton Physiological and Agronomic Response to Nitrogen Application Rate. Field Crops Res. 2021, 270, 108194. [Google Scholar] [CrossRef]
- Rochester, I.J.; Peoples, M.B.; Hulugalle, N.R.; Gault, R.R.; Constable, G.A. Using Legumes to Enhance Nitrogen Fertility and Improve Soil Condition in Cotton Cropping Systems. Field Crops Res. 2001, 70, 27–41. [Google Scholar] [CrossRef]
- Caires, E.F.; Zardo Filho, R.; Barth, G.; Joris, H.A.W. Optimizing Nitrogen Use Efficiency for No-Till Corn Production by Improving Root Growth and Capturing NO3-N in Subsoil. Pedosphere 2016, 26, 474–485. [Google Scholar] [CrossRef]
- Jia, X.; Li, F.; Miao, Z.; Li, X.; Sun, L.; Wei, Y.; Yang, K.; Guo, H.; Song, R.; Shang, H.; et al. Cultivar Mixtures of Maize Enhance Grain Yield and Nitrogen Use Efficiency by Promoting Canopy Photosynthetically Active Radiation and Root Growth. J. Integr. Agric. 2024, S2095311924003708. [Google Scholar] [CrossRef]
- Xia, Z.; Gong, Y.; Yang, Y.; Wu, M.; Bai, J.; Zhang, S.; Lu, H. Effects of Root-Zone Warming, Nitrogen Supply and Their Interactions on Root-Shoot Growth, Nitrogen Uptake and Photosynthetic Physiological Characteristics of Maize. Plant Physiol. Biochem. 2024, 214, 108887. [Google Scholar] [CrossRef]
- Wang, D.; Xu, Z.; Zhao, J.; Wang, Y.; Yu, Z. Excessive Nitrogen Application Decreases Grain Yield and Increases Nitrogen Loss in a Wheat–Soil System. Acta Agric. Scand. Sect. B Soil Plant Sci. 2011, 61, 681–692. [Google Scholar] [CrossRef]
- Joris, H.A.W.; Vitti, A.C.; Ferraz-Almeida, R.; Otto, R.; Cantarella, H. Long-Term N Fertilization Reduces Uptake of N from Fertilizer and Increases the Uptake of N from Soil. Sci. Rep. 2020, 10, 18834. [Google Scholar] [CrossRef]
- Liu, Z.; Jin, W.; Wang, Q.; Hu, W.; Chen, B.; Meng, Y.; Yang, H.; Zhou, Z. Optimized Boll-Loading Capacity of Cotton Root System Increases Seedcotton Yield under Wheat-Cotton Straw Return with Appropriate Nitrogen Fertilization. Crop J. 2025, 13, 576–586. [Google Scholar] [CrossRef]
- Zhu, L.; Liu, L.; Sun, H.; Zhang, K.; Zhang, Y.; Li, A.; Bai, Z.; Wang, G.; Liu, X.; Dong, H.; et al. Low Nitrogen Supply Inhibits Root Growth but Prolongs Lateral Root Lifespan in Cotton. Ind. Crops Prod. 2022, 189, 115733. [Google Scholar] [CrossRef]
- Lin, X.; Zhu, D.; Chen, H.; Zhang, Y. Effects of Plant Density and Nitrogen Application Rate on Grain Yield and Nitrogen Uptake of Super Hybrid Rice. Rice Sci. 2009, 16, 138–142. [Google Scholar] [CrossRef]
- Zhang, T.; Song, B.; Han, G.; Zhao, H.; Hu, Q.; Zhao, Y.; Liu, H. Effects of Coastal Wetland Reclamation on Soil Organic Carbon, Total Nitrogen, and Total Phosphorus in China: A Meta—Analysis. Land Degrad. Dev. 2023, 34, 3340–3349. [Google Scholar] [CrossRef]
- Liao, Z.; Zeng, H.; Fan, J.; Lai, Z.; Zhang, C.; Zhang, F.; Wang, H.; Cheng, M.; Guo, J.; Li, Z.; et al. Effects of Plant Density, Nitrogen Rate and Supplemental Irrigation on Photosynthesis, Root Growth, Seed Yield and Water-Nitrogen Use Efficiency of Soybean under Ridge-Furrow Plastic Mulching. Agric. Water Manag. 2022, 268, 107688. [Google Scholar] [CrossRef]
- Dong, H.; Kong, X.; Li, W.; Tang, W.; Zhang, D. Effects of Plant Density and Nitrogen and Potassium Fertilization on Cotton Yield and Uptake of Major Nutrients in Two Fields with Varying Fertility. Field Crops Res. 2010, 119, 106–113. [Google Scholar] [CrossRef]
- Song, X.; Huang, Y.; Yuan, Y.; Shahbaz, A.T.; Biangkham, S.; Yang, G. Cotton N Rate Could Be Reduced Further under the Planting Model of Late Sowing and High-Density in the Yangtze River Valley. J. Cotton Res. 2020, 3, 28. [Google Scholar] [CrossRef]
- Blaise, D.; Kranthi, K.R.; Ravindran, C.D.; Thalal, K. High Plant Density Can Improve the Productivity of Rainfed Asiatic Cotton (Gossypium Arboreum L.). Arch. Agron. Soil Sci. 2021, 67, 607–619. [Google Scholar] [CrossRef]
- Wu, A.; Song, Y.; Van Oosterom, E.J.; Hammer, G.L. Connecting Biochemical Photosynthesis Models with Crop Models to Support Crop Improvement. Front. Plant Sci. 2016, 7, 1518. [Google Scholar] [CrossRef]
- Chen, X.; Zhang, J.; Chen, Y.; Li, Q.; Chen, F.; Yuan, L.; Mi, G. Changes in Root Size and Distribution in Relation to Nitrogen Accumulation during Maize Breeding in China. Plant Soil 2014, 374, 121–130. [Google Scholar] [CrossRef]
- Bernhard, B.J.; Below, F.E. Plant Population and Row Spacing Effects on Corn: Plant Growth, Phenology, and Grain Yield. Agron. J. 2020, 112, 2456–2465. [Google Scholar] [CrossRef]
- Khan, S.; Anwar, S.; Kuai, J.; Ullah, S.; Fahad, S.; Zhou, G. Optimization of Nitrogen Rate and Planting Density for Improving Yield, Nitrogen Use Efficiency, and Lodging Resistance in Oilseed Rape. Front. Plant Sci. 2017, 8, 532. [Google Scholar] [CrossRef]
- Lou, H.; Zhao, B.; Peng, Y.; El-Badri, A.M.; Batool, M.; Wang, C.; Wang, Z.; Huang, W.; Wang, T.; Li, Z.; et al. Auxin Plays a Key Role in Nitrogen and Plant Density-Modulated Root Growth and Yield in Different Plant Types of Rapeseed. Field Crops Res. 2023, 302, 109066. [Google Scholar] [CrossRef]
- Friedman, S.P. Relationships between Combined and Individual Field Crops’ Biomass and Planting Density. Field Crops Res. 2024, 305, 109188. [Google Scholar] [CrossRef]
- Duan, P.; Du, M.; Xu, D.; Li, Z.; Tian, X. Effects of density and sunshine on cotton yield and fiber quality in central Hebei province. J. Hebei Agric. Univ. 2013, 36, 1–6, (In Chinese with English Abstract). [Google Scholar] [CrossRef]
- Nie, J.; Dai, J.; Du, M.; Zhang, Y.; Tian, X.; Li, Z.; Dong, H. New Development of Modern Cotton Farming Theory and Technology in China—Concentrated Maturation Cultivation of Cotton. Scient. Agric. Sin. 2021, 54, 4286–4298, (In Chinese with English Abstract). [Google Scholar] [CrossRef]
- Shao, H.; Shi, D.; Shi, W.; Ban, X.; Chen, Y.; Ren, W.; Chen, F.; Mi, G. Genotypic Difference in the Plasticity of Root System Architecture of Field-Grown Maize in Response to Plant Density. Plant Soil 2019, 439, 201–217. [Google Scholar] [CrossRef]
- Lai, Z.; Liao, Z.; Liu, Y.; Kou, H.; Li, Z.; Fan, J. Optimized Planting Density and Nitrogen Rate Improved Grain Yield of Drip-Fertigated Maize by Enhancing Canopy Structure and Photosynthetic Capacity. J. Agric. Food Res. 2025, 21, 101813. [Google Scholar] [CrossRef]
- Yu, Y.; Qian, C.; Gu, W.; Li, C. Responses of Root Characteristic Parameters and Plant Dry Matter Accumulation, Distribution and Transportation to Nitrogen Levels for Spring Maize in Northeast China. Agriculture 2021, 11, 308. [Google Scholar] [CrossRef]
- Wu, J.; Chen, S.; Ruan, Y.; Gao, W. Combinatorial Effects of Glycine and Inorganic Nitrogen on Root Growth and Nitrogen Nutrition in Maize (Zea Mays L.). Sustainability 2023, 15, 14122. [Google Scholar] [CrossRef]
- Chen, J.; Liu, L.; Wang, Z.; Zhang, Y.; Sun, H.; Song, S.; Bai, Z.; Lu, Z.; Li, C. Nitrogen Fertilization Increases Root Growth and Coordinates the Root–Shoot Relationship in Cotton. Front. Plant Sci. 2020, 11, 880. [Google Scholar] [CrossRef]
- Chen, J.; Liu, L.; Wang, Z.; Sun, H.; Zhang, Y.; Lu, Z.; Li, C. Determining the Effects of Nitrogen Rate on Cotton Root Growth and Distribution with Soil Cores and Minirhizotrons. PLoS ONE 2018, 13, e0197284. [Google Scholar] [CrossRef] [PubMed]
- Rosado, D.; Ackermann, A.; Spassibojko, O.; Rossi, M.; Pedmale, U.V. WRKY Transcription Factors and Ethylene Signaling Modify Root Growth during the Shade-Avoidance Response. Plant Physiol. 2022, 188, 1294–1311. [Google Scholar] [CrossRef] [PubMed]
- Hecht, V.L.; Temperton, V.M.; Nagel, K.A.; Rascher, U.; Postma, J.A. Sowing Density: A Neglected Factor Fundamentally Affecting Root Distribution and Biomass Allocation of Field Grown Spring Barley (Hordeum Vulgare L.). Front. Plant Sci. 2016, 7, 944. [Google Scholar] [CrossRef]
- Deng, J.; Feng, X.; Wang, D.; Lu, J.; Chong, H.; Shang, C.; Liu, K.; Huang, L.; Tian, X.; Zhang, Y. Root Morphological Traits and Distribution in Direct-Seeded Rice under Dense Planting with Reduced Nitrogen. PLoS ONE 2020, 15, e0238362. [Google Scholar] [CrossRef]
- Zhao, B.; Tong, L.; Liu, H.; Hao, M.; Zhang, R. Optimizing Root Morphology Is a Key to Improving Maize Yield under Nitrogen Reduction and Densification Cultivation. Field Crops Res. 2025, 329, 109958. [Google Scholar] [CrossRef]
- Chaillou, S.; Rideout, J.W.; Raper, C.D.; Morot-Gaudry, J. Responses of Soybean to Ammonium and Nitrate Supplied in Combination to the Whole Root System or Separately in a Split—Root System. Physiol. Plant. 1994, 90, 259–268. [Google Scholar] [CrossRef]
- Santa-María, G.E.; Danna, C.H.; Czibener, C. High-Affinity Potassium Transport in Barley Roots. Ammonium-Sensitive and -Insensitive Pathways. Plant Physiol. 2000, 123, 297–306. [Google Scholar] [CrossRef]
- Paul, M.J.; Foyer, C.H. Sink Regulation of Photosynthesis. J. Exp. Bot. 2001, 52, 1383–1400. [Google Scholar] [CrossRef]
- Shah, A.N.; Wu, Y.; Tanveer, M.; Hafeez, A.; Tung, S.A.; Ali, S.; Khalofah, A.; Alsubeie, M.S.; Al-Qthanin, R.N.; Yang, G. Interactive Effect of Nitrogen Fertilizer and Plant Density on Photosynthetic and Agronomical Traits of Cotton at Different Growth Stages. Saudi J. Biol. Sci. 2021, 28, 3578–3584. [Google Scholar] [CrossRef] [PubMed]
- Lu, Y.; Ma, R.; Gao, W.; You, Y.; Jiang, C.; Zhang, Z.; Kamran, M.; Yang, X. Optimizing the Nitrogen Application Rate and Planting Density to Improve Dry Matter Yield, Water Productivity and N-Use Efficiency of Forage Maize in a Rainfed Region. Agric. Water Manag. 2024, 305, 109125. [Google Scholar] [CrossRef]
- Xiao, Z.; Li, H.; Liu, L.; Zhang, Y.; Bai, Z.; Zhang, K.; Sun, H.; Li, C. Effects of Water and Planting Density on Nitrogen Accumulation, Distribution and Yield of Cotton. Acta Agric. Boreali-Sin. 2021, 36, 132–138, (In Chinese with English Abstract). [Google Scholar] [CrossRef]
- Wang, S.; Mao, L.; Shi, J.; Nie, J.; Song, X.; Sun, X. Effects of Plant Density and Nitrogen Rate on Cotton Yield and Nitrogen Use in Cotton Stubble Retaining Fields. J. Integr. Agric. 2021, 20, 2090–2099. [Google Scholar] [CrossRef]
- An, D.; Yang, Q.; Li, G.; Dong, X.; Shen, Y. Nitrogen Application Improves Yield Threshold and Slows Leaf Nitrogen Loss in Mid-Upper Canopy of Forage Soybean under High Planting Density. Ind. Crops Prod. 2025, 230, 121007. [Google Scholar] [CrossRef]
- Tian, X.; Li, C.; Zhang, M.; Li, T.; Lu, Y.; Liu, L. Controlled Release Urea Improved Crop Yields and Mitigated Nitrate Leaching under Cotton-Garlic Intercropping System in a 4-Year Field Trial. Soil Tillage Res. 2018, 175, 158–167. [Google Scholar] [CrossRef]
- Aula, L.; Macnack, N.; Omara, P.; Mullock, J.; Raun, W. Effect of Fertilizer Nitrogen (N) on Soil Organic Carbon, Total N, and Soil pH in Long-Term Continuous Winter Wheat (Triticum Aestivum L.). Commun. Soil Sci. Plant Anal. 2016, 47, 863–874. [Google Scholar] [CrossRef]
- Shiwakoti, S.; Zheljazkov, V.D.; Gollany, H.T.; Kleber, M.; Xing, B. Macronutrients in Soil and Wheat as Affected by a Long-Term Tillage and Nitrogen Fertilization in Winter Wheat–Fallow Rotation. Agronomy 2019, 9, 178. [Google Scholar] [CrossRef]
- Dai, X.; Xiao, L.; Jia, D.; Kong, H.; Wang, Y.; Li, C.; Zhang, Y.; He, M. Increased Plant Density of Winter Wheat Can Enhance Nitrogen–Uptake from Deep Soil. Plant Soil 2014, 384, 141–152. [Google Scholar] [CrossRef]
- Tian, G.; Gao, L.; Kong, Y.; Hu, X.; Xie, K.; Zhang, R.; Ling, N.; Shen, Q.; Guo, S. Improving Rice Population Productivity by Reducing Nitrogen Rate and Increasing Plant Density. PLoS ONE 2017, 12, e0182310. [Google Scholar] [CrossRef]
- Li, P.; Dong, H.; Liu, A.; Liu, J.; Sun, M.; Wang, G.; Liu, S.; Zhao, X.; Li, Y. Influence of the Interaction between Planting Density and Nitrogen Fertilizer on Cotton Yield and Nitrogen Use Efficiency. Trans. Chin. Soc. Agric. Eng. 2015, 31, 122–130, (In Chinese with English Abstract). [Google Scholar] [CrossRef]
- Sun, X.-Z.; Wang, S.-H.; Li, H.-T.; Shi, J.-L.; Song, X.-L.; Yang, Z.-X. Effects of Increasing Planting Density and Decreasing Nitrogen Rate on Dry Matter, Nitrogen Accumulation and Distribution, and Yield of Cotton. Acta Agron. Sin. 2020, 46, 395–407, (In Chinese with English Abstract). [Google Scholar] [CrossRef]
- Wu, F.; Tang, Q.; Cui, J.; Tian, L.; Guo, R.; Wang, L.; Lin, T. Deficit Irrigation and High Planting Density Improve Nitrogen Uptake and Use Efficiency of Cotton in Drip Irrigation. Agronomy 2024, 14, 1876. [Google Scholar] [CrossRef]
- Mu, G.R.; Gulnaz, J.; Zhang, L.Z.; Ma, T.; Du, H.; Wang, X.; Sun, S.; Bake, B.; Li, J.; Parhat, M. Effects of different planting densities and varieties on growth stages and dry matter accumulation and distribution in cotton. Cotton Sci. 2025, 37, 194–208, (In Chinese with English Abstract). [Google Scholar] [CrossRef]
- Zhai, X.L.; Yuan, R.L.; Xu, G.D. Analysis on the Cost and Benefit of Cotton Production in China and International Comparison. China Cotton 2017, 44, 1–7+11, (In Chinese with English abstract). [Google Scholar] [CrossRef]
- Wang, Y.F.; Ren, N.; Dong, X.Y.; Zhao, Y.N.; Ye, Y.L.; Wang, Y.; Huang, Y.F. Effects of Controlled-Release and Ordinary Urea on Wheat Yield, Nitrogen Absorption and Economic Benefit. Crops 2023, 117–123, (In Chinese with English abstract). [Google Scholar] [CrossRef]

















| Treatment | N (kg N ha−1) | Planting Density (Plants ha−1) |
|---|---|---|
| D6N0 | 0 | 60,000 |
| D6N1 | 75 | 60,000 |
| D6N2 | 150 | 60,000 |
| D6N3 | 225 | 60,000 |
| D6N4 | 300 | 60,000 |
| D6N5 | 375 | 60,000 |
| D10.5N0 | 0 | 105,000 |
| D10.5N1 | 75 | 105,000 |
| D10.5N2 | 150 | 105,000 |
| D10.5N3 | 225 | 105,000 |
| D10.5N4 | 300 | 105,000 |
| D10.5N5 | 375 | 105,000 |
| Treatment | TN | AHN | AP | AK | SOM |
|---|---|---|---|---|---|
| (g/kg) | (mg/kg) | (mg/kg) | (mg/kg) | (g/kg) | |
| N0 | 0.53 | 42.55 | 9.14 | 225.00 | 8.21 |
| N1 | 0.58 | 51.28 | 9.18 | 230.00 | 8.46 |
| N2 | 0.57 | 54.28 | 9.24 | 236.67 | 8.79 |
| N3 | 0.62 | 61.39 | 9.36 | 241.39 | 9.50 |
| N4 | 0.63 | 61.54 | 9.43 | 243.89 | 9.57 |
| N5 | 0.63 | 61.64 | 9.71 | 245.28 | 9.60 |
| Treatment | Year | Growth Stages | Density (D) | Nitrogen (N) | DxN |
|---|---|---|---|---|---|
| PH | 2022 | FBS | ** | ** | ns |
| BOS | ns | ** | * | ||
| 2023 | FBS | ** | ** | ns | |
| BOS | ** | ** | ns | ||
| SD | 2022 | FBS | ** | ** | * |
| BOS | ** | ** | * | ||
| 2023 | FBS | ** | ** | ns | |
| BOS | ** | ** | ns | ||
| PARIn | 2022 | SS | ** | ** | ns |
| EFS | ** | ** | ns | ||
| FBS | ns | ** | ns | ||
| BOS | ** | ** | ns | ||
| RS | 2022 | BOS-ALRA | * | ns | ns |
| BOS-NLR | ** | ** | ns | ||
| PRL | 2022 | BOS | ** | ** | ** |
| 2023 | ** | ** | ** | ||
| PRB | 2022 | ** | ** | ** | |
| 2023 | ** | ** | * | ||
| Biomass | 2022 | BOS-VO | ** | ** | ** |
| BOS-RO | ** | ** | ns | ||
| 2023 | BOS-VO | ** | ** | ** | |
| BOS-RO | ** | ** | ** | ||
| R/S | 2022 | FBS | ** | ** | ** |
| Treatment | Boll Density | Boll Weight | Lint Percentage | Seed Cotton Yield |
|---|---|---|---|---|
| (×104/ ha−1) | (g) | (%) | (kg/ha−1) | |
| D6 × N0 | 80.78 ± 2.04 f | 4.45 ± 0.25 ab | 38.27 ± 1.03 a | 3597.4 ± 90.8 g |
| D6 × N1 | 87.18 ± 1.77 e | 4.67 ± 0.26 a | 38.40 ± 1.00 a | 4068.4 ± 82.5 f |
| D6 × N2 | 88.54 ± 1.82 de | 4.71 ± 0.30 a | 38.37 ± 0.49 a | 4176.1 ± 86.1 ef |
| D6 × N3 | 91.25 ± 0.87 cd | 4.75 ± 0.24 a | 38.20 ± 0.66 a | 4334.4 ± 41.2 bcd |
| D6 × N4 | 89.95 ± 0.50 cde | 4.85 ± 0.33 a | 38.23 ± 0.35 a | 4365.6 ± 24.2 bc |
| D6 × N5 | 90.40 ± 0.87 cde | 4.85 ± 0.35 a | 38.40 ± 0.40 a | 4381.4 ± 10.0 bc |
| D10.5 × N0 | 93.19 ± 3.71 bc | 3.92 ± 0.12 b | 38.07 ± 1.16 a | 3652.8 ± 145.5 g |
| D10.5 × N1 | 96.31 ± 0.92 b | 4.35 ± 0.26 ab | 38.47 ± 0.57 a | 4192.7 ± 40.1 def |
| D10.5 × N2 | 95.07 ± 0.75 b | 4.51 ± 0.41 a | 38.27 ± 0.51 a | 4290.8 ± 34.0 cde |
| D10.5 × N3 | 100.77 ± 1.77 a | 4.47 ± 0.36 a | 38.33 ± 0.59 a | 4507.8 ± 79.1 a |
| D10.5 × N4 | 99.81 ± 2.00 a | 4.45 ± 0.21 ab | 38.23 ± 0.45 a | 4438.2 ± 88.5 a |
| D10.5 × N5 | 100.06 ± 3.46 a | 4.46 ± 0.25 ab | 38.37 ± 0.51 a | 4459.0 ± 154.7 a |
| Source of variation | ||||
| Density (D) | ** | * | ns | ** |
| Nitrogen (N) | ** | ns | ns | ** |
| D × N | ns | ns | ns | ns |
| Treatment | Boll Density | Boll Weight | Lint Percentage | Seed Cotton Yield |
|---|---|---|---|---|
| (×104/ ha−1) | (g) | (%) | (kg/ha−1) | |
| D6 × N0 | 76.25 ± 1.83 g | 4.45 ± 0.27 ab | 38.30 ± 0.56 a | 3393.2 ± 99.6 f |
| D6 × N1 | 82.93 ± 1.24 f | 4.65 ± 0.34 ab | 38.30 ± 0.55 a | 3859.6 ± 209.2 e |
| D6 × N2 | 84.44 ± 0.99 ef | 4.73 ± 0.61 ab | 38.57 ± 0.45 a | 3989.6 ± 153.3 de |
| D6 × N3 | 91.95 ± 2.59 cd | 4.85 ± 0.72 ab | 38.53 ± 0.55 a | 4455.7 ± 222.2 bc |
| D6 × N4 | 89.80 ± 3.90 de | 4.87 ± 0.45 a | 38.57 ± 0.49 a | 4370.2 ± 85.1 bc |
| D6 × N5 | 90.03 ± 3.13 de | 4.89 ± 0.68 a | 38.43 ± 0.51 a | 4400.5 ± 76.1 bc |
| D10.5 × N0 | 84.64 ± 6.36 ef | 4.03 ± 0.06 b | 38.37 ± 0.57 a | 3405.7 ± 101.0 f |
| D10.5 × N1 | 94.16 ± 3.22 cd | 4.43 ± 0.21 ab | 38.57 ± 0.59 a | 4170.1 ± 109.5 cd |
| D10.5 × N2 | 97.07 ± 2.07 bc | 4.54 ± 0.28 ab | 38.47 ± 0.55 a | 4407.8 ± 154.0 bc |
| D10.5 × N3 | 104.59 ± 2.90 a | 4.58 ± 0.33 ab | 38.43 ± 0.56 a | 4790.4 ± 166.5 a |
| D10.5 × N4 | 101.20 ± 4.12 ab | 4.61 ± 0.35 ab | 38.47 ± 0.59 a | 4663.9 ± 163.3 a |
| D10.5 × N5 | 96.48 ± 2.50 bc | 4.62 ± 0.29 ab | 38.47 ± 0.50 a | 4450.5 ± 131.6 bc |
| Source of variation | ||||
| Density (D) | ** | ** | ns | ** |
| Nitrogen (N) | ** | ns | ns | ** |
| D × N | ns | ns | ns | ns |
| Treatment | ANUE (2022) | ANUE (2023) | PFPN (2022) | PFPN (2023) |
|---|---|---|---|---|
| (kg/kg) | (kg/kg) | (kg/kg) | (kg/kg) | |
| D6 × N0 | ||||
| D6 × N1 | 6.28 ± 0.31 b | 6.22 ± 0.31 bc | 54.25 ± 1.10 b | 51.46 ± 2.78 b |
| D6 × N2 | 3.86 ± 0.19 d | 3.98 ± 0.20 e | 27.84 ± 0.57 c | 26.60 ± 1.02 d |
| D6 × N3 | 3.28 ± 0.17 e | 4.72 ± 0.24 d | 19.26 ± 0.19 d | 19.80 ± 0.99 e |
| D6 × N4 | 2.56 ± 0.13 f | 3.26 ± 0.17 f | 14.55 ± 0.08 e | 14.57 ± 0.28 f |
| D6 × N5 | 2.09 ± 0.11 g | 2.69 ± 0.14 g | 11.68 ± 0.12 f | 11.73 ± 0.20 g |
| D10.5 × N0 | ||||
| D10.5 × N1 | 7.20 ± 0.36 a | 10.19 ± 0.51 a | 55.90 ± 0.53 a | 55.60 ± 1.46 a |
| D10.5 × N2 | 4.25 ± 0.21 c | 6.68 ± 0.33 b | 28.61 ± 0.23 c | 29.39 ± 1.02 c |
| D10.5 × N3 | 3.80 ± 0.19 d | 6.15 ± 0.31 c | 20.03 ± 0.35 d | 21.29 ± 0.74 e |
| D10.5 × N4 | 2.62 ± 0.13 f | 4.19 ± 0.21 e | 14.79 ± 0.30 e | 15.55 ± 0.55 f |
| D10.5 × N5 | 2.15 ± 0.11 g | 2.79 ± 0.14 fg | 11.89 ± 0.42 f | 11.87 ± 0.35 g |
| Source of variation | ||||
| Density (D) | ** | ** | ** | ** |
| Nitrogen (N) | ** | ** | ** | ** |
| D × N | ** | ** | ns | ns |
| Treatment | Regression Equation | R2 | Theoretical Optimal Nitrogen Application Rate (kg/ha−1) | |
|---|---|---|---|---|
| 2022 year | D6 | y = −0.0082 x2 + 4.9671x + 3645.2 | 0.9677 * | 302.8 |
| D10.5 | y = −0.0104 x2 + 5.7869x + 3706.5 | 0.9508 * | 274.0 | |
| 2023 year | D6 | y = −0.0097 x2 + 6.3016x + 3394.6 | 0.9540 * | 324.7 |
| D10.5 | y = −0.0201 x2 + 10.255x + 3430.7 | 0.9792 * | 253.7 | |
Disclaimer/Publisher’s Note: The statements, opinions and data contained in all publications are solely those of the individual author(s) and contributor(s) and not of MDPI and/or the editor(s). MDPI and/or the editor(s) disclaim responsibility for any injury to people or property resulting from any ideas, methods, instructions or products referred to in the content. |
© 2025 by the authors. Licensee MDPI, Basel, Switzerland. This article is an open access article distributed under the terms and conditions of the Creative Commons Attribution (CC BY) license (https://creativecommons.org/licenses/by/4.0/).
Share and Cite
Liu, J.; Ma, Y.; Wang, S.; Wang, S.; Zhu, L.; Zhang, K.; Zhang, Y.; Li, C.; Liu, L.; Sun, H. Synergistic Optimization of Root–Shoot Characteristics, Nitrogen Use Efficiency and Yield by Combining Planting Density with Nitrogen Level in Cotton (Gossypium hirsutum L.). Agronomy 2025, 15, 2383. https://doi.org/10.3390/agronomy15102383
Liu J, Ma Y, Wang S, Wang S, Zhu L, Zhang K, Zhang Y, Li C, Liu L, Sun H. Synergistic Optimization of Root–Shoot Characteristics, Nitrogen Use Efficiency and Yield by Combining Planting Density with Nitrogen Level in Cotton (Gossypium hirsutum L.). Agronomy. 2025; 15(10):2383. https://doi.org/10.3390/agronomy15102383
Chicago/Turabian StyleLiu, Junwu, Yuanqi Ma, Shulin Wang, Shuo Wang, Lingxiao Zhu, Ke Zhang, Yongjiang Zhang, Cundong Li, Liantao Liu, and Hongchun Sun. 2025. "Synergistic Optimization of Root–Shoot Characteristics, Nitrogen Use Efficiency and Yield by Combining Planting Density with Nitrogen Level in Cotton (Gossypium hirsutum L.)" Agronomy 15, no. 10: 2383. https://doi.org/10.3390/agronomy15102383
APA StyleLiu, J., Ma, Y., Wang, S., Wang, S., Zhu, L., Zhang, K., Zhang, Y., Li, C., Liu, L., & Sun, H. (2025). Synergistic Optimization of Root–Shoot Characteristics, Nitrogen Use Efficiency and Yield by Combining Planting Density with Nitrogen Level in Cotton (Gossypium hirsutum L.). Agronomy, 15(10), 2383. https://doi.org/10.3390/agronomy15102383

