Plant Growth Regulators Improve Soybean Yield in Northwest China Through Nutritional and Hormonal Regulation
Abstract
1. Introduction
2. Materials and Methods
2.1. Experimental Site
2.2. Experimental Design and Management
2.3. Data Collection
2.3.1. Yield Determination
2.3.2. Plant Sampling and Nutrient Analysis
2.3.3. Phytohormone Extraction and Quantification
2.3.4. Seed Quality Assessment and Maximum Residue Limit Determination
2.4. Statistical Analysis
3. Results
3.1. Yield Components
3.2. Biomass Allocation and Accumulation
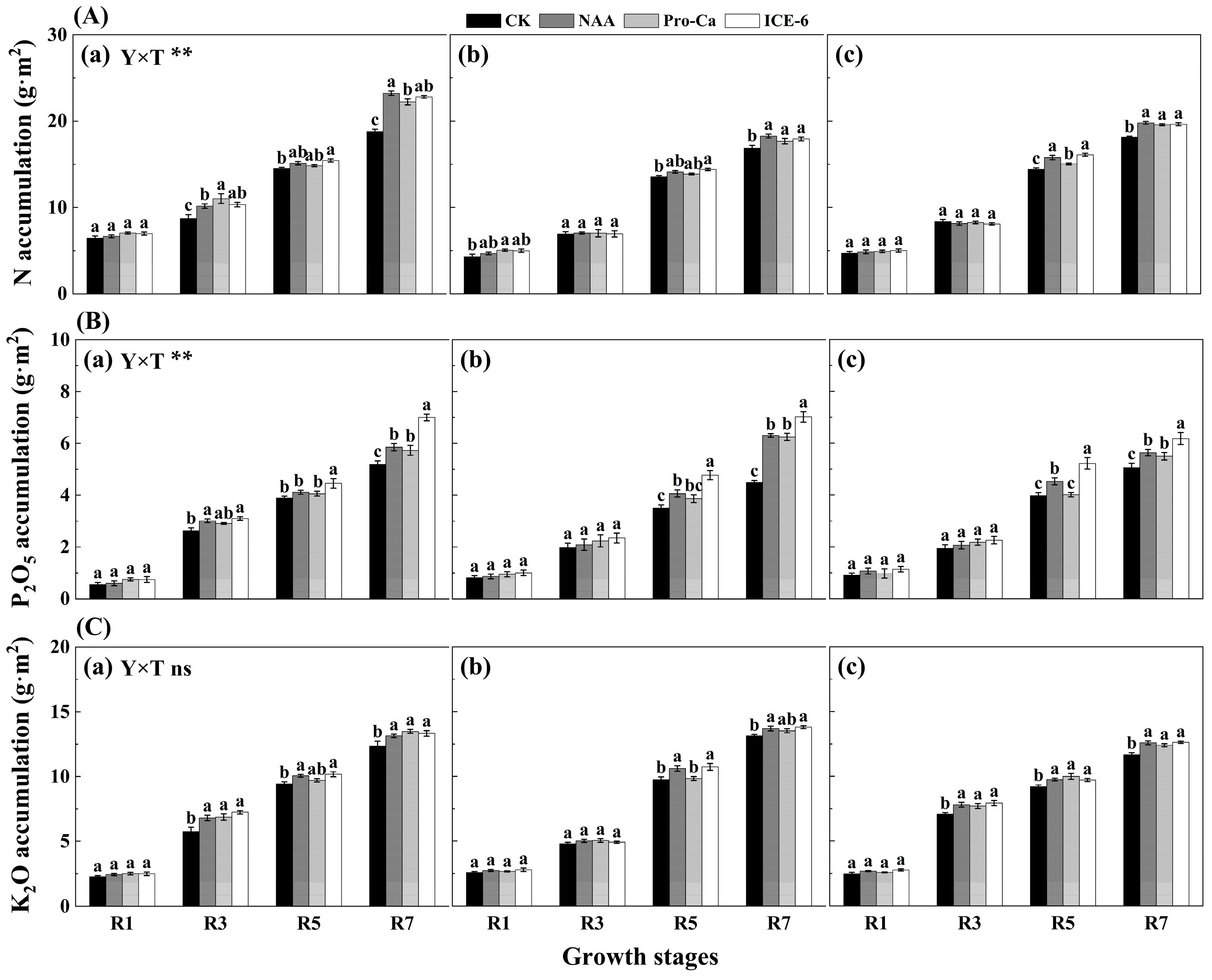
3.3. Nutrient Accumulation in Soybean
3.4. Phytohormone Content
3.5. Seed MRL and Protein, Oil Contents
3.6. Correlation Analysis
4. Discussion
5. Conclusions
Author Contributions
Funding
Data Availability Statement
Acknowledgments
Conflicts of Interest
References
- Waqar, A.; Li, S.; Liu, Y.; Jiang, K.; Wang, S.; Yang, M.; Yuan, S.; Chen, Q.; Hu, L.; Xu, L. Genetic yield improvements and associated physiological and agronomic traits in soybean cultivars released from 1940 to 2021 in Northeast China. Field Crop. Res. 2025, 328, 109956. [Google Scholar] [CrossRef]
- WNBS; PRC. Website of National Bureau of Statistics of the People’s Republic of China. Available online: https://data.stats.gov.cn/english/easyquery.htm?cn=E0103 (accessed on 10 September 2025).
- David, S.; Cesar, A.; Iker, A. Additive effects of heatwave and water stresses on soybean seed yield is caused by impaired carbon assimilation at pod formation but not at flowering. Plant Sci. 2022, 321, 111320. [Google Scholar] [CrossRef] [PubMed]
- Sankarapillai, L.; Adhikari, B.; Bista, M.; Shrestha, A.; Stetina, S.; Reddy, K.; Bheemanahalli, R. High night temperature disrupts the assimilate utilization and yield potential in soybean. Plant Stress 2025, 16, 100826. [Google Scholar] [CrossRef]
- Di Mauro, G.; Rotundo, J. Lodging dynamics and seed yield for two soybean genotypes with contrasting lodging-susceptibility. Eur. J. Agron. 2025, 163, 127445. [Google Scholar] [CrossRef]
- Komaljeet, G.; Pankaj, K.; Shivanti, N.; Rajnish, S.; Ajay, K.; Ivan, I.; Ekaterina, A. Physiological perspective of plant growth regulators in flowering, fruit setting and ripening process in citrus. Sci. Hortic. 2023, 309, 111628. [Google Scholar]
- Cannon, B.; Shear, H.; Johnson, C.; Rice, J.; Lofton, J. Physiological Effects and Economic Impact of Plant Growth Regulator Applications on Soybean. Agronomy 2025, 15, 965. [Google Scholar] [CrossRef]
- Cheng, H.; Xu, Q.; Ding, C.; Meng, Z.; Zhao, F.; Gan, Y.; Song, X.; Zhao, Q. Plant Growth Regulators Reduce Flower and Pod Shedding and Optimize Pod Distribution in Soybean in Northwest China. Agronomy 2025, 15, 924. [Google Scholar] [CrossRef]
- Dubey, A.; Malla, M.; Kumar, A.; Khan, M.; Kumari, S. Seed bio-priming with ACC deaminase-producing bacterial strains alleviates impact of drought stress in Soybean (Glycine max (L.) Merr.). Rhizosphere 2024, 30, 100873. [Google Scholar] [CrossRef]
- Huang, X.; Zheng, D.; Feng, N.; Huang, A.; Zhang, R.; Meng, F.; Zhou, H. Effects of prohexadione calcium spraying during the booting stage on panicle traits, yield, and related physiological characteristics of rice under salt stress. PeerJ 2023, 11, e14673. [Google Scholar] [CrossRef]
- Ishfaq, S.; Ding, Y.; Liang, X.; Guo, W. Advancing lodging resistance in maize: Integrating genetic, hormonal, and agronomic insights for sustainable crop productivity. Plant Stress 2025, 15, 100777. [Google Scholar] [CrossRef]
- Musacchi, S.; Sheick, R.; Mia, M.; Serra, S. Studies on physiological and productive effects of multi-leader training systems and Prohexadione-Ca applications on apple cultivar ‘WA 38’. Sci. Hortic. 2023, 312, 111850. [Google Scholar] [CrossRef]
- Ahmed, I.; Ali, E.; Gad, A.; Bardisi, A.; El-Tahan, A.; Abd Esadek, O.; Gendy, A. Impact of plant growth regulators spray on fruit quantity and quality of pepper (Capsicum annuum L.) cultivars grown under plastic tunnels. Saudi J. Biol. Sci. 2022, 29, 2291–2298. [Google Scholar] [CrossRef]
- Cokuraj, M.; Manokari, M.; Mohammad, F.; Alatar, A.; Shekhawat, M. Synergistic effects of growth regulators and silicon nanoparticles on enhancing morpho-structural stability in Vitex agnus-castus L. plantlets. S. Afr. J. Bot. 2025, 177, 500–509. [Google Scholar]
- ISO 10390:2005; Soil Quality—Determination of pH. International Organization for Standardization: Geneva, Switzerland, 2005.
- Olsen, S.; Cole, C.; Watanabe, F. Estimation of Available Phosphorus in Soils by Extraction with Sodium Bicarbonate; US Government Printing Office: Washington, DC, USA, 1954; Volume 934. [Google Scholar]
- Pratt, P. Potassium. In Methods of Soil Analysis. Part 2. Chemical and Microbiological Properties; Black, C.A., Ed.; ASA-SSSA: Madison, WI, USA, 1965; pp. 1022–1030. [Google Scholar]
- Shamim, M.; Chiluwal, A.; Haramoto, E.; Naeve, S.; Poffenbarger, H.; Purcell, L.; Salmeron, M. Evaluating the impact of cover cropping and late-season N applications on soybean growth and biological N fixation. Field Crop. Res. 2025, 330, 109960. [Google Scholar] [CrossRef]
- Fehr, W.; Caviness, C. Stages of Soybean Development. Special Report 80, Iowa Agricultural Experiment Station, Iowa Cooperative External Series, Iowa State University, Ames. 1971. Available online: https://dr.lib.iastate.edu/handle/20.500.12876/90239 (accessed on 1 March 2023).
- Nazir, F.; Khatoon, S.; Mahajan, M.; Kumari, S.; Alajmi, M.; Rehman, M.; Khan, M. Enhanced arsenic stress tolerance in landrace and improved rice cultivars through modulation of gibberellic acid (GA3) synthesis and antioxidant metabolism via phosphorus and silicon supplementation. Plant Stress 2024, 13, 100511. [Google Scholar] [CrossRef]
- Dávila-Lara, A.; Rahman-Soad, A.; Reichelt, M.; Mithöfer, A. Carnivorous Nepenthes x ventrata plants use a naphthoquinone as phytoanticipin against herbivory. PLoS ONE 2021, 16, e0258235. [Google Scholar] [CrossRef]
- Nidhi; Iqbal, N.; Khan, N. Synergistic effects of phytohormones and membrane transporters in plant salt stress mitigation. Plant Physiol. Biochem. 2025, 221, 109685. [Google Scholar]
- Badia, M.; Costa, J.; Zucchetti, J.; Pavlovic, T.; Calace, P.; Saigo, M.; Wheeler, M. Protein characterization of the soybean malic enzyme family to select metabolic targets for seed oil improvement. Plant Sci. 2025, 360, 112707. [Google Scholar] [CrossRef]
- DB37/T 3760-2019; National Public Service Platform for Standards Information. Shandong Provincial Local Standard—Determination of Abscisic Acid, Naphthaleneacetic Acid, Forchlorfenuron and Uniconazole in Fertilizers—High-Performance Liquid Chromatography (HPLC) Method. ShanDong Administration for Market Regulation: Jinan, China, 2019. Available online: https://std.samr.gov.cn/db/search/stdDBDetailed?id=998D3D4C0EE8A099E05397BE0A0AF5E3 (accessed on 10 October 2023).
- GB 2763-2021; National Food Safety Standard—Maximum Residue Limits for Pesticides in Food. Ministry of Agriculture and Rural Affairs of the People’s Republic of China: Beijing, China, 2021. Available online: https://www.moa.gov.cn/ztzl/sqxzjcgs/xzjcbz/202506/t20250626_6475099.htm (accessed on 10 July 2025).
- Xu, G.; Singh, S.; Reddy, V.; Barnaby, J.; Sicher, R.; Li, T. Soybean grown under elevated CO2 benefits more under low temperature than high temperature stress: Varying response of photosynthetic limitations, leaf metabolites, growth, and seed yield. J. Plant Physiol. 2016, 205, 20–32. [Google Scholar] [CrossRef]
- Hill, C.; Angessa, T.; Westcott, S.; McFawn, L.; Shidelmoghanloo, H.; Han, Y.; Li, C. Evaluation of the impact of heat stress at flowering on spikelet fertility and grain quality in barley. Agri. Commun. 2024, 2, 100066. [Google Scholar] [CrossRef]
- Lu, T.; Li, G.; Ma, J.; Huang, H.; Fu, W.; Chen, T.; Wang, W.; Zeng, Y.; Chen, M.; Fu, G.; et al. ATP utilization efficiency plays a key role in determining rice quality under high-temperature conditions. Plant Physiol. Biochem. 2025, 221, 109582. [Google Scholar] [CrossRef]
- Tidy, A.; Siles, L.; Jacott, C.; Wells, R.; Kurup, S.; Wilson, Z. Large scale phenotyping on the effect of heat and cold stress on Brassica napus during floral development. Plant Stress 2025, 17, 100957. [Google Scholar] [CrossRef]
- Siddique, A.; Shabala, S.; Li, C.; Chen, Z.; Varshney, R.; Zhao, C.; Zhou, M. Reducing heat stress damage in cereal crops through agronomic management and breeding strategies. Plant Stress 2025, 16, 100888. [Google Scholar] [CrossRef]
- Mahajan, M.; Poor, P.; Kaur, H.; Aher, R.; Palakolanu, S.; Khan, M. Salt stress tolerance and abscisic acid in plants: Associating role of plant growth regulators and transcription factors. Plant Physiol. Biochem. 2025, 228, 110303. [Google Scholar] [CrossRef] [PubMed]
- Li, N.; Euring, D.; Cha, J.; Lin, Z.; Lu, M.; Huang, L.; Kim, W. Plant Hormone-Mediated Regulation of Heat Tolerance in Response to Global Climate Change. Front. Plant Sci. 2021, 11, 627969. [Google Scholar] [CrossRef] [PubMed]
- Liu, Y.; Mizuta, K.; Morokuma, M.; Toyota, M. Effects of combined high temperature and water stress on soybean growth and physiological processes in a temperature gradient chamber. Field Crop. Res. 2025, 333, 110063. [Google Scholar] [CrossRef]
- Tang, X.; Wang, Z.; Zong, F.; Xue, X.; Gao, J.; Li, S.; Wang, S.; He, B.; Li, W.; Wu, B.; et al. Impact of naphthalene acetic acid and Piriformospora indica on WOX gene expression and rooting in woody ornamentals. Sci. Hortic. 2025, 350, 114330. [Google Scholar] [CrossRef]
- Butova, V.; Bauer, T.; Polyakov, V.; Minkina, T. Advances in nanoparticle and organic formulations for prolonged controlled release of auxins. Plant Physiol. Biochem. 2023, 201, 107808. [Google Scholar] [CrossRef]
- Mathur, P.; Tripathi, D.; Frantiska, F.; Mukherjee, S. Auxin-mediated molecular mechanisms of heavy metal and metalloid stress regulation in plants. Environ. Exp. Bot. 2022, 196, 104796. [Google Scholar] [CrossRef]
- Zhang, Y.; Fu, Y.; Xian, W.; Li, X.; Feng, Y.; Bu, F.; Shi, Y.; Chen, S.; Velzen, R.; Battenberg, K.; et al. Comparative phylogenomics and phylotranscriptomics provide insights into the genetic complexity of nitrogen-fixing root-nodule symbiosis. Plant Commun. 2024, 5, 100671. [Google Scholar] [CrossRef]
- Castroverde, C.; Dina, D. Temperature regulation of plant hormone signaling during stress and development. J. Exp. Bot. 2021, 72, 7436–7458. [Google Scholar] [CrossRef] [PubMed]
- Fudge, R.; Gardner, P.; Denison, R.; Burghardt, L.; Grossman, J. Temperature and host plant ecotype drive nitrogen fixation, but not nodule rhizobia community composition, in hairy vetch. Rhizosphere 2025, 34, 101077. [Google Scholar] [CrossRef]
- Shehzad, M.; Munir, M.; Nazim, M.; Tahir, M.; Maqbool, M.; Nawaz, M.; Javeed, H.; Ghamdi, A. Evaluating the impact of phyto-hormones on the morpho-biochemical traits of soybean through seed treatment and foliar application. J. King Saud Univ. Sci. 2024, 36, 103446. [Google Scholar] [CrossRef]
- Waadt, R.; Seller, C.; Hsu, P.; Takahashi, Y.; Munemasa, S.; Schroeder, J. Plant hormone regulation of abiotic stress responses. Nat. Rev. Mol. Cell Biol. 2022, 23, 680–694. [Google Scholar] [CrossRef]
- Vega, A.; Brien, J.; Gutiérrez, R. Nitrate and hormonal signaling crosstalk for plant growth and development. Curr. Opin. Plant Biol. 2019, 52, 155–163. [Google Scholar] [CrossRef]
- Jia, Z.; Giehl, R.; Wirén, N. Nutrient–hormone relations: Driving root plasticity in plants. Mol. Plant 2022, 15, 86–103. [Google Scholar] [CrossRef]
- Duan, Z.; Li, Q.; Wang, H.; He, X.; Zhang, M. Genetic regulatory networks of soybean seed size, oil and protein contents. Front. Plant Sci. 2023, 14, 1160418. [Google Scholar] [CrossRef]
- Han, F.; Huang, J.; Liu, K.; Fan, H.; Shi, X.; Chen, J.; Jiang, X.; Liu, G.; Liu, S.; Zhang, L.; et al. Soil potassium regulation by changes in potassium balance and iron and aluminum oxides in paddy soils subjected to long-term fertilization regimes. Soil Tillage Res. 2021, 214, 105168. [Google Scholar] [CrossRef]
- Zhang, W.; Li, H.; Zhang, J.; Shen, J.; Brown, H.; Wang, E. Contrasting patterns of accumulation, partitioning, and remobilization of biomass and phosphorus in a maize cultivar. Crop J. 2022, 10, 254–261. [Google Scholar] [CrossRef]
- Sikder, R.; Wang, X.; Zhang, H.; Gui, H.; Dong, Q.; Jin, D.; Song, M. Nitrogen Enhances Salt Tolerance by Modulating the Antioxidant Defense System and Osmoregulation Substance Content in Gossypium hirsutum. Plants 2020, 9, 450. [Google Scholar] [CrossRef]
- Bucio, J.; González, J.; Bucio, J. Review: Adaptation of plants to phosphorus scarcity: From nutritional crosstalk to organellar function. Plant Sci. 2025, 359, 112685. [Google Scholar] [CrossRef]
- Bhardwaj, S.; Kapoor, B.; Kapoor, D.; Thakur, U.; Dolma, Y.; Raza, A. Manifold roles of potassium in mediating drought tolerance in plants and its underlying mechanisms. Plant Sci. 2025, 351, 112337. [Google Scholar] [CrossRef]
- Kaniz, F.; Mannan, M.; Karim, M.; Akter, M.; Akter, M.; Dola, D.; Jarin, A.; Islam, M. Enhancing soybean growth, yield, and seed protein by TiO2 nanoparticles and Brevibacterium sediminis under drought stress. Heliyon 2025, 11, e43499. [Google Scholar] [CrossRef]
- Martins, J.; Wawrzyniak, M.; López, J.; Mendes, M.; Mokhtari, A.; Chmielarz, P. Regulation of the cytokinin metabolic spectrum and morphogenesis in Quercus robur (L.) in vitro by exogenous cytokinins and activated charcoal. Ind. Crops Prod. 2025, 233, 121362. [Google Scholar] [CrossRef]
- Kumari, S.; Nazir, F.; Maheshwari, C.; Kaur, H.; Gupta, R.; Siddique, K.; Khan, M. Plant hormones and secondary metabolites under environmental stresses: Enlightening defense molecules. Plant Physiol. Biochem. 2024, 206, 108238. [Google Scholar] [CrossRef] [PubMed]
- Zheng, Y.; Lou, M.; Jiao, N. Transcriptomic insights into phosphorus-mediated wheat tillering: Auxin-cytokinin crosstalk coordinates phenylpropanoid and glycerophospholipid metabolism. Environ. Exp. Bot. 2025, 237, 106199. [Google Scholar] [CrossRef]






| Year | Treatment | Plant Population (104 Plants ha−1) | Pod Number (per Plant) | Seed Number (per Plant) | 100-Seed Weight (g) | Yield (kg ha−1) | Increase Over CK (%) |
|---|---|---|---|---|---|---|---|
| 2023 | CK | 40.11 a | 41.76 c | 64.82 c | 18.67 b | 4849.78 c | - |
| NAA | 39.67 a | 55.47 a | 73.31 a | 18.70 b | 5433.80 a | 12.0 | |
| Pro-Ca | 40.34 a | 50.07 b | 69.93 b | 18.91 b | 5330.72 ab | 9.9 | |
| ICE-6 | 40.33 a | 47.49 b | 65.21 c | 19.87 a | 5220.95 b | 7.7 | |
| 2024 | CK | 43.67 a | 42.38 b | 60.45 b | 18.25 c | 4802.14 b | - |
| NAA | 43.11 a | 50.42 a | 66.08 a | 18.40 c | 5230.19 a | 8.9 | |
| Pro-Ca | 42.00 a | 50.60 a | 65.22 a | 18.76 b | 5123.64 a | 6.7 | |
| ICE-6 | 42.89 a | 48.00 a | 62.16 b | 19.58 a | 5209.61 a | 8.5 | |
| 2025 | CK | 43.00 a | 43.87 c | 57.03 b | 18.36 b | 4489.31 c | - |
| NAA | 42.11 a | 49.18 a | 64.05 a | 18.41 b | 4952.61 a | 10.3 | |
| Pro-Ca | 43.22 a | 47.51 b | 60.33 ab | 18.43 b | 4783.48 b | 6.6 | |
| ICE-6 | 40.33 a | 47.56 b | 64.37 a | 19.05 a | 4935.82 a | 9.9 | |
| Source of variance | |||||||
| Y | ** | ns | ** | ** | ** | ||
| T | ns | ** | ** | ** | ** | ||
| Y × T | ns | ** | ns | ns | ns | ||
| Year | Treatment | Residual Concentrations (mg kg−1) |
|---|---|---|
| 2023 | CK | 0.000 c |
| NAA | 0.009 ab | |
| Pro-Ca | 0.012 a | |
| ICE-6 | 0.006 b | |
| 2024 | CK | 0.000 c |
| NAA | 0.004 b | |
| Pro-Ca | 0.008 a | |
| ICE-6 | 0.002 bc | |
| 2025 | CK | 0.000 c |
| NAA | 0.013 b | |
| Pro-Ca | 0.020 a | |
| ICE-6 | 0.009 b | |
| Source of variance | ||
| Y | ** | |
| T | ** | |
| Y × T | * | |
Disclaimer/Publisher’s Note: The statements, opinions and data contained in all publications are solely those of the individual author(s) and contributor(s) and not of MDPI and/or the editor(s). MDPI and/or the editor(s) disclaim responsibility for any injury to people or property resulting from any ideas, methods, instructions or products referred to in the content. |
© 2025 by the authors. Licensee MDPI, Basel, Switzerland. This article is an open access article distributed under the terms and conditions of the Creative Commons Attribution (CC BY) license (https://creativecommons.org/licenses/by/4.0/).
Share and Cite
Cheng, H.; Gan, Y.; Zheng, X.; Meng, Z.; Zhao, F.; Feng, W.; Guo, R.; Song, X.; Zhao, Q. Plant Growth Regulators Improve Soybean Yield in Northwest China Through Nutritional and Hormonal Regulation. Agronomy 2025, 15, 2422. https://doi.org/10.3390/agronomy15102422
Cheng H, Gan Y, Zheng X, Meng Z, Zhao F, Feng W, Guo R, Song X, Zhao Q. Plant Growth Regulators Improve Soybean Yield in Northwest China Through Nutritional and Hormonal Regulation. Agronomy. 2025; 15(10):2422. https://doi.org/10.3390/agronomy15102422
Chicago/Turabian StyleCheng, Hao, Yucheng Gan, Xinna Zheng, Ziyi Meng, Feifei Zhao, Wenyue Feng, Renhui Guo, Xinghu Song, and Qiang Zhao. 2025. "Plant Growth Regulators Improve Soybean Yield in Northwest China Through Nutritional and Hormonal Regulation" Agronomy 15, no. 10: 2422. https://doi.org/10.3390/agronomy15102422
APA StyleCheng, H., Gan, Y., Zheng, X., Meng, Z., Zhao, F., Feng, W., Guo, R., Song, X., & Zhao, Q. (2025). Plant Growth Regulators Improve Soybean Yield in Northwest China Through Nutritional and Hormonal Regulation. Agronomy, 15(10), 2422. https://doi.org/10.3390/agronomy15102422

