Abstract
Intercropping and phosphorus application are effective ways to increase crop yield and improve soil quality. However, the effects of intercropping and phosphorus application on rhizosphere soil properties, root morphology, and microbial characteristics are still unclear. This study focuses on the effects of intercropping and phosphorus fertilizer application (180 kg P2O5 ha−1) on the physicochemical properties, enzyme activity, root morphology, and microbial characteristics of rhizosphere soil in a maize–peanut intercropping field planted for 14 years. The results showed that compared with monoculture, intercropping increased the carbon and nutrient contents. Phosphorus fertilizer application further increased the rhizosphere soil nutrient contents. Compared with monoculture, intercropping increased the urease and saccharase by 14.00 and 7.16% in rhizosphere soil, and phosphorus application increased the urease, alkaline phosphatase, and saccharase in rhizosphere soil by 13.38%, 9.75%, and 24.20% compared with no phosphorus application. Compared with monoculture, intercropping increased the root length, root surface area, root volume, and root tip number by 19.17%, 21.57%, 20.74%, and 28.54%, and phosphorus fertilizer application further increased the root length, root surface area, and root volume by 44.66%, 40.20%, and 41.70%. Compared with monoculture, intercropping increased the Chao index and Shannon index of rhizosphere soil bacteria and fungi by 4.29% and 1.63%, and 27.25% and 7.68%. Intercropping and phosphorus application increased the number of edges and modularity of the network of bacterial and fungal communities. To sum up, the intercropping of maize and peanut improved the nutrient contents and enzyme activity of rhizosphere soil, promoted the growth of the root system, and improved the diversity and connectivity of rhizosphere microbial communities, and the application of phosphate fertilizer further optimized the rhizosphere soil microecological environment. The research results provide a theoretical basis for maintaining the stability and sustainable development of the micro-ecosystem in a maize–peanut intercropping field.
1. Introduction
Intercropping, as a sustainable planting pattern, is of great significance in improving crop productivity, increasing soil fertility, and improving water and fertilizer utilization efficiency through intensive planting based on the differences in resource utilization among different crops [1,2]. Especially in the legume/cereal intercropping system, the nutrient utilization of roots has a significant advantage because of the unique biological nitrogen fixation of legumes and the resulting interspecific nitrogen nutrient feedback [3]. The rhizosphere, as the interface of nutrient exchange between roots and the external environment, is the only gateway for nutrients and water to enter the crop system and an important place for plant–soil-microorganism interaction, which plays a core role in regulating organic matter decomposition and mediating the nutrient cycle [4,5].
At present, rhizosphere research on the intercropping of legumes and cereals has been conducted in intercropping models such as maize (Zea mays)/soybean (Glycine mar), maize (Zea mays)/peanut (Arachis hypogaea), wheat (Triticum aestivum)/fava bean (Vicia faba), etc. Research has found that legume/cereal intercropping can improve soil nutrition, alter root distribution, shape the structure of rhizosphere bacterial communities, and improve the rhizosphere microecological environment and function [6,7,8]. As the most active part of the soil microecological environment, rhizosphere soil microorganisms play a key role in material transformation and nutrient cycling. At the same time, nutrients and related enzymes in the rhizosphere microdomain interact and regulate with microorganisms, forming a dynamic equilibrium complex [9,10]. For example, the intercropping system of legumes/cereals has great potential in activating insoluble phosphorus in rhizosphere soil, improving rhizosphere soil microbial activity, and enhancing the stability of microecological systems [11,12]. In addition, studies on maize and alfalfa, faba bean and wheat, and maize and faba bean or soy found that intercropping significantly increased the total nitrogen, available nutrient content, and soil enzyme activity in the rhizosphere soil [13,14]. Moreover, Fu et al. [15] and Liu et al. [10] found a significant increase in the number and diversity of rhizosphere soil microorganisms in maize/soybean intercropping and millet/mung bean intercropping. Therefore, the rhizosphere soil properties and microbial community structure and characteristics under the intercropping of legume/cereal are of great significance for improving their soil microecological environment [10,16].
Phosphorus is the second major nutrient limiting plant growth and an essential element for microorganisms [17,18]. Phosphorus deficiency can affect the decomposition and utilization of organic carbon by soil microorganisms, thereby affecting their growth [19,20]. Maize and peanut intercropping is one of the typical intercropping patterns between legumes and cereals, which can effectively utilize resources such as light energy, heat, water, nutrients, and land to achieve a synchronous increase in the yield of oil crops and grain crops [21,22]. Applying an appropriate amount of phosphorus fertilizer not only directly increases soil phosphorus content and maize and peanut yields, but also has an impact on underground rhizosphere soil properties and microbial communities [10,23]. At present, the research on maize/peanut intercropping and phosphate fertilizer application mainly focuses on yield advantages, photosynthetic characteristics, nutrient utilization efficiency, etc. [21,24,25], while there are still few studies on the physical and chemical properties of underground rhizosphere soil, root morphology, and microbial characteristics. This study took the intercropping field of maize and peanuts planted for 14 years as the research object, and investigated the effects of the intercropping of maize and peanuts and the application of phosphorus fertilizer on the basic physicochemical properties of rhizosphere soil, root morphology characteristics, and microbial community characteristics in order to provide a certain reference for maintaining the stability of the ecosystem and sustainable development of the intercropping field of maize and peanut.
2. Materials and Methods
2.1. Experimental Site
This experiment began in 2010 on the farm of Henan University of Science and Technology (33°35′–35°05′ N, 111°8′–112°59′ E) (Figure 1). The experimental site is located in the temperate zone, belonging to the semi-humid and semi-arid continental monsoon climate. The annual average temperature is 12.1–14.6 °C, the annual average rainfall is about 600 mm, the annual average evaporation is about 2114 mm, the annual sunshine hours are 2300–2600 h, the frost-free period is 215–219 days, and the annual average radiation is about 492 kJ cm−2. The soil is calcareous, with 36% clay, 20% fine sand, and 44% silt. At the beginning of the experiment in 2010, the 0–20 cm topsoil contained 10.72 g kg−1 of organic matter, 79.86 mg kg−1 of alkali hydrolyzed nitrogen, 11.62 mg kg−1 of available phosphorus, 223.8 mg kg−1 of available potassium, and a soil pH of 7.56.
Figure 1.
The location of the study site.
2.2. Experimental Design
Maize “Zhengdan 958” and peanut “Huayu 16” were used as test materials. Three planting patterns of sole-crop maize (SM), sole-crop peanut (SP), and maize intercropped with peanut (M/P, two rows of maize intercropped with four rows of peanut), and two phosphorus levels of phosphorus application (180 kg P2O5 ha−1 (P180)) and no phosphorus application (0 kg P2O5 ha−1 (P0)) were set up, with a total of 6 treatments, each of which was repeated three times, with a total of 18 plots with an area of 48 m2 (6 m × 8 m). The row spacing for SP and SM was 30 cm and 60 cm, respectively, with a plant spacing of 20 cm and 25 cm. The densities for SP and SM were 133,333 holes/hm2 and 66,667 plants/hm2, respectively. Intercropping peanut (IP) had the same row spacing and plant spacing as monoculture. Intercropping maize (IM) had a row spacing of 40 cm, a plant spacing of 20 cm, and a distance of 35 cm between maize and peanut (Figure 2). Phosphorus fertilizer was applied at a one-time base rate of 180 kg ha−1, and nitrogen fertilizer was applied at a base rate of 90 kg ha−1 in each area. In each maize experimental area, nitrogen fertilizer was applied at a topdressing rate of 90 kg ha−1 during the large horn stage. Nitrogen fertilizer was urea, and phosphorus fertilizer was diammonium phosphate. Maize and peanut were sown simultaneously in early June and harvested simultaneously in early October.
Figure 2.
Planting pattern diagram.
2.3. Sample Collection and Determination
Samples were collected at crop maturity in October 2024. Rhizosphere soil and roots were collected with a root drill (diameter of 10 cm and length of 15 cm). For each treatment, 10 plants with middle growth were randomly selected, the aboveground parts of the plants were cut off, and roots with soil around the plants were collected. Large pieces of loose soil at the roots of plants were shaken off, the soil attached to the rhizosphere of maize and peanut was brushed with a sterilized soft brush, and the collected soil was divided into three parts, one of which was stored at −4 °C for the determination of soil enzyme activity (urease, phosphatase, catalase, saccharase), one copy was stored at −80 °C for the study of soil microbial characteristics, and one was used to determine the soil moisture content and basic physical and chemical properties. After collecting the rhizosphere soil, the undamaged root samples were taken back to the laboratory for root morphology determination.
The pH of rhizosphere soil was measured using the potentiometric method (water/soil was 2.5:1). The moisture content was measured by drying the fresh soil at 105 °C for 24 h, and the total carbon, total nitrogen, and total phosphorus contents were measured by the K2Cr2O7-H2SO4 oxidation method, Kjeldahl method, and Mo-Sb colorimetric method, respectively [26]. The available phosphorus content was measured using the molybdenum–antimony anti-spectrophotometric method [27]. The alkali-hydrolyzed nitrogen was determined by the alkaline hydrolysis diffusion method [28]. Available potassium (AK) was determined by flame photometry [29]. Urease activity was measured by the sodium phenolate colorimetric method, phosphatase activity was measured by the phenyl disodium phosphate colorimetric method, catalase activity was measured by the KMnO4 volumetric method, and saccharase activity was measured by the 3,5-dinitrosalicylic acid colorimetric method [28]. EpsonPerfection V700 (Epson Perfection V700, Nagano, Japan) was used for root scanning, and then WinRHIZO 2009 root analysis software (Regent Instruments Inc., Quebec, QC, Canada) was used to obtain the root length (L), root surface area (SA), root volume (V), and root tip number (T).
Soil DNA extraction, PCR amplification, and sequencing were completed by Wuhan Punes Detection Technology Co., Ltd. In Wuhan, China. Soil DNA was extracted from the sample using an M5635-02 Soil DNA Extraction Kit (OMEGA, New York, NY, USA). DNA quality was examined using 1% agarice gel electrophoresis and quantified with an ultraviolet spectrophotometer (Thermo Fisher Scientific, Wilmington, DE, USA). The bacterial 16S rRNA gene was amplified using primer pairs 338F (5′-CTTGGTCATTTAGAGGAAGTAA-3′) and 806R (5′-GCTGCGTTCTTCATCGATGC-3′). The fungal ITS region was amplified using primers ITS1F (5′-CTTGGTCATTTAGAGGAAGTAA-3′) and ITS2R (5′-GCTGCGTTCTTCATCGATGC-3′). The PCR product was purified with Vazyme VAHTSTM DNA Clean Beads (Vazyme, Nanjing, China) and quantified using the Quant-iT PicoGreen dsDNA Assay Kit (Invitrogen, Carlsbad, CA, USA). Amplicons were pooled in equal amounts, and pair-end 2250 bp sequencing was performed using the Illlumina MiSeq platform (Illumina, San Diego, CA, USA). High-throughput sequencing data were deposited with Wuhan Punes Detection Technology Company (Wuhan, China).
2.4. Data Analysis
The high-throughput sequencing data were separated and filtered according to the Qiime2 pipeline. The Chao index and Shannon index were used to assess microbial community richness and diversity. Principal coordinate analysis (PcoA) based on a Bray–Curtis distance matrix was conducted to visualize the distribution of microbial community in soils with different treatments. IBM SPSS Statistics 26.0 (SPSS Inc, Chicago, IL, USA) was used for statistical analysis. Univariate analysis of variance (ANOVA) was used to determine the differences between the various treatments (Duncan, α = 0.05). Network analysis was used to explore the interactions among bacterial and fungal populations. Only the relative abundance of ASVs > 0.02% was adopted in the analyses. Links represented statistical significance at p < 0.01. Spearman coefficients were calculated, and the correlations with Spearman’s coefficient of less than 0.80 for bacteria and 0.65 for fungi were removed. Gephi version 0.10 was utilized to visualize and analyze the network graph.
3. Results
3.1. Effects of Intercropping and Phosphorus Application on the Basic Physicochemical Properties of Rhizosphere Soil
Figure 3 shows the physicochemical properties of rhizosphere soil under different treatments. Compared to monoculture, intercropping significantly reduced the soil pH by 3.68%, and increased the soil moisture content and carbon, nitrogen, phosphorus, available phosphorus, and alkali-hydrolyzable nitrogen contents by 19.14, 3.14, 6.97, 9.76, 23.36, and 7.89%. Compared to monoculture, intercropping significantly reduced the soil available potassium content by 11.08%. Compared to not applying phosphorus fertilizer, applying phosphorus fertilizer significantly increased the soil carbon, nitrogen, phosphorus, available phosphorus, and alkaline nitrogen contents by 10.94, 14.93, 86.95, 814.20, and 14.47%, while reducing the soil available potassium content by 9.62%.

Figure 3.
Effects of intercropping and phosphate fertilizer application on physicochemical properties of rhizosphere soil. I: planting pattern; P: phosphorus level; I × P: planting pattern×phosphorus level. Different lowercase letters indicate significant differences between different treatments under the same P level (p < 0.05), and different uppercase letters indicate significant differences between two P levels (p < 0.05).
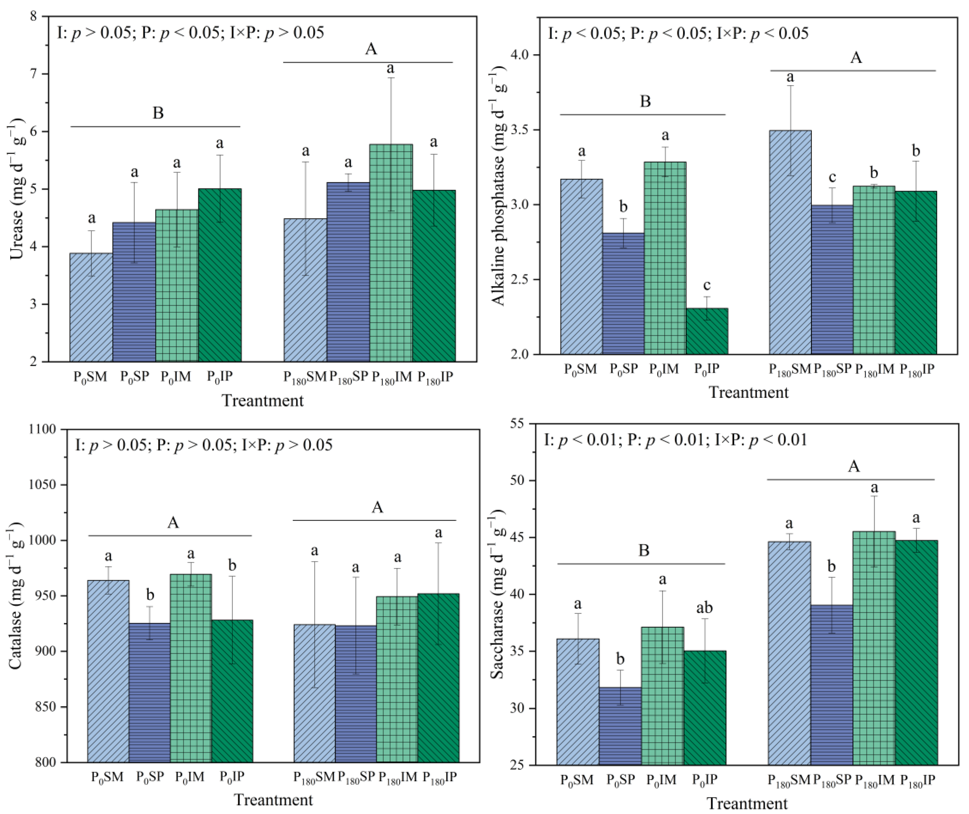
3.2. Effects of Intercropping and Phosphorus Application on the Enzyme Activity of Rhizosphere Soil
Figure 4 shows the enzyme activity of rhizosphere soil under different treatments. Compared to monoculture, maize–peanut intercropping increased soil urease and saccharase by 14.00 and 7.16%. Compared to not applying phosphorus fertilizer, the application of phosphorus fertilizer significantly increased the activities of urease, alkaline phosphatase, and saccharase by 13.38, 9.75, and 24.20%.
Figure 4.
Effects of intercropping and phosphate fertilizer application on enzyme activity of rhizosphere soil. Different lowercase letters indicate significant differences between different treatments under the same P level (p < 0.05), and different uppercase letters indicate significant differences between two P levels (p < 0.05).
3.3. Effects of Intercropping and Phosphorus Application on the Root Morphological Characteristics of Maize and Peanut
Figure 5 shows the root morphological characteristics of maize and peanut under different treatments. Compared to monoculture, maize–peanut intercropping increased the root length by 17.97, 14.76, and 24.77% in the range of R < 0.5 mm, 2 mm > R > 0.5 mm, and R > 2 mm. Compared to no application of phosphorus fertilizer, the application of phosphorus fertilizer significantly increased the root length by 38.84, 68.20, and 26.95% in the range of R < 0.5 mm, 2 mm > R > 0.5 mm, and R > 2 mm. Compared to monoculture, intercropping increased the surface area and volume of roots by 18.28, 20.12, and 26.31%, and 16.76, 18.26, and 27.20% in the range of R < 0.5 mm, 2 mm > R > 0.5 mm, and R > 2 mm. Compared to no application of phosphorus fertilizer, the application of phosphorus fertilizer significantly increased the surface area and volume of roots by 38.95, 54.91, and 26.74%, and 42.77, 54.69, and 27.65% in the range of R < 0.5 mm, 2 mm > R > 0.5 mm, and R > 2 mm. Compared to monoculture, intercropping increased the number of root tips by 23.18, 25.92, and 36.51% in the range of R < 0.5 mm, 2 mm > R > 0.5 mm, and R > 2 mm. The application of phosphorus fertilizer significantly increased the number of root tips within the range of R < 0.5 mm.
Figure 5.
Effects of intercropping and phosphate fertilizer application on root morphological characteristics. L: root length; SA: root surface area; V: root volume; T: root tip number; R: root diameter. Different lowercase letters indicate significant differences between different treatments under the same P level (p < 0.05), and different uppercase letters indicate significant differences between two P levels (p < 0.05).
3.4. Effects of Intercropping and Phosphorus Application on the Microbial Characteristics of Rhizosphere Soil
3.4.1. Effects of Intercropping and Phosphorus Application on Soil Microbial Diversity and Community Structure
Figure 6 shows the Chao and Shannon indices of bacteria and fungi in rhizosphere soil under different treatments. Compared to monoculture, intercropping increased the soil bacterial Chao index by 4.29% and Shannon index by 1.63%. The application of phosphorus had no significant effect on the Chao and Shannon indices of bacteria. Compared to monoculture, intercropping increased the soil fungal Chao index by 27.25% and Shannon index by 7.68%. Phosphorus application increased the soil fungal Chao and Shannon indices by 23.41% and 4.97%, respectively.
Figure 6.
Effects of intercropping and phosphorus fertilizer application on Chao and Shannon indices of bacteria (a) and fungi (b) in rhizosphere soil. Different lowercase letters indicate significant differences between different treatments under the same P level (p < 0.05), and different uppercase letters indicate significant differences between two P levels (p < 0.05).
Figure 7 shows the principal coordinate analysis (PCoA) of bacteria and fungi in rhizosphere soil. The first and second principal coordinates explained 27.86% and 18.47% of the variance in bacterial community structure, and the first and second principal coordinates explained 21.08% and 12.43% of the variance in fungal community structure. The bacterial community overlapped and aggregated under different treatments, indicating that the bacterial community structure of soil under different treatments had great similarity. Fungal community separation was obvious under different treatments, indicating that the fungal community structure of soil under different treatments was very different.
Figure 7.
PCoA of soil bacterial (a) and fungi (b) community structures under different treatments.
3.4.2. Effects of Intercropping and Phosphorus Fertilizer Application on Rhizosphere Soil Microbial Community Composition
The composition of rhizosphere soil microbial communities under different treatments is shown in Figure 8. The dominant bacterial communities at the phylum level were Pseudomonadota (relative abundance of 23.99%), Acidobacteriota (relative abundance of 22.51%), Actinobacteriota (relative abundance of 17.19%), Chloroflexi (relative abundance of 7.88%), Bacteroidota (relative abundance of 4.86%), Gemmatimonadota (relative abundance of 4.72%), Myxococcota (relative abundance of 3.89%), Verrucomicrobiota (relative abundance of 2.48%), and Firmicutes (relative abundance of 1.72%) (Figure 8a). The fungal community was dominated by Ascomycota, with a relative abundance of 60.55%, followed by Basidiomycota (15.46%), Mortierellomycota (8.69%), Chytridiomycot (4.70%), and Glomeromycota (2.34%) (Figure 8b).
Figure 8.
Effects of intercropping and phosphorus fertilizer application on bacterial (a) and fungi (b) community composition at phylum level among different treatments.
3.4.3. Effects of Intercropping and Phosphorus Fertilizer Application on Rhizosphere Soil Microbial Community Co-Occurrence Networks
Figure 9 and Table 1 show the co-occurrence network and topological characteristics of bacterial communities in rhizosphere soil under different treatments. In the bacterial community, there was no significant difference in the number of nodes between monoculture and intercropping, and the number of edges in intercropping was 19.40% higher than that in monoculture. The positive links in maize/peanut intercropping soil amounted to 59.49%, more than in monoculture soil (50.43%). The modularity in maize/peanut intercropping (3.29) was also greater than those in monoculture (1.83). Compared to no phosphorus application, the number of edges in phosphorus application treatment increased by 30.07%, and the modularity increased by 30.30%.
Figure 9.
The co-occurrence network of rhizosphere bacterial communities in different treatments.
Table 1.
Topological characteristics of bacterial microbial co-occurrence network under different treatments.
Figure 10 and Table 2 show the co-occurrence network and topological characteristics of the fungal community in rhizosphere soil under different treatments. In the fungal community, the number of edges in intercropping was 20.95% higher than that in monoculture. The modularity in maize/peanut intercropping increased by 43.61% compared to monoculture. Compared to no phosphorus application, the number of edges in phosphorus application treatment increased by 87.36%, the positive links increased by 9.58%, and the modularity increased by 27.11%.
Figure 10.
The co-occurrence network of rhizosphere fungal communities in different treatments.
Table 2.
Topological characteristics of fungal microbial co-occurrence network under different treatments.
4. Discussion
Rhizosphere soil nutrients play an important role in plant growth, not only providing essential nutrients for plants, but also participating in the regulation of nutrient cycling in soil [30]. This study found that the pH value of rhizosphere soil in maize–peanut intercropping was lower than that of monoculture maize and monoculture peanut (Figure 3). This might be due to the interaction between the roots in the intercropping system, which induced changes in the secretion of H+ and OH− by the roots. At the same time, the release of H+ during peanut nitrogen fixation or the secretion of organic acids and acid phosphatase in the rhizosphere could also cause a decrease in pH value [31]. The application of phosphate fertilizer further increased soil nutrient content, as it promoted crop root growth and enhanced the activity of rhizosphere microorganisms, resulting in an increase in root exudates and plant residues, leading to an increase in soil nutrient content [32]. Intercropping and the application of phosphorus fertilizer decreased the content of available potassium, which might be due to the fact that intercropping and phosphorus application promoted the absorption of potassium by crops, resulting in the decrease in available potassium in rhizosphere soil.
Soil enzyme activity is an important indicator for evaluating soil quality and ecological function, playing a crucial regulatory role in the interaction between soil nutrients and microorganisms [33]. This study showed that maize/peanut intercropping improved soil urease and saccharase activities compared with monoculture (Figure 4), which was mainly related to planting leguminous plants. Because urease and saccharase activities are affected by soil nitrogen content, peanuts have a nitrogen fixation function, and the nitrogen fixation ability of roots will increase, and then the nitrogen content in soil will be increased to promote urease and saccharase activities [34]. In addition, the application of phosphorus fertilizer significantly increased the activities of urease, alkaline phosphatase, and saccharase, indicating that the application of phosphorus fertilizer has an activating effect on soil urease, alkaline phosphatase, and saccharase. This might be due to the promotion of crop root metabolism by phosphorus fertilizer, which increases root exudates and accelerates microbial reproduction. Rhizosphere microorganisms can form a near-root slow-release supply of nutrients by absorbing nutrients from the soil, thus facilitating the improvement in soil enzyme activity [35].
The root system is the main organ for crops to absorb nutrients and water, and the distribution of root morphology directly affects the absorption and utilization of nutrients and water by crops. Reasonable intercropping can make full use of the difference of root niche, reduce interspecific competition, and promote the efficient absorption and utilization of nutrients [36]. This study showed that the root length, root surface area, root volume, and root tip number of maize and peanut intercropping were all increased compared to monoculture (Figure 5). This indicated that the intercropping between maize and peanuts improved the root system parameters and made the root system distribute more evenly and reasonably in space. Intercropping is beneficial to the growth of the root system because of the difference in the distribution of the root system in the soil space, as well as the temporal displacement of the active period of root function, resulting in the rational utilization of resources [37]. The application of phosphorus fertilizer significantly increased root length, root surface area, root volume, and root tip number. It can be seen that applying an appropriate amount of phosphorus can promote root growth and increase the nutrient absorption space of roots in the soil.
Soil microbial community diversity is crucial for the health and functional stability of soil ecosystems [38,39]. To comprehensively evaluate the diversity of microbial communities, the Chao index was used to characterize richness and the Shannon index was used to characterize diversity. Compared with monoculture, maize–peanut intercropping increased the diversity and richness of soil bacteria and fungi (Figure 6), indicating that intercropping could enhance ecosystem stability and increase crop productivity. Maize and peanut intercropping could increase the richness and diversity of microbial communities because the symbiosis of maize and peanut regulated the physiological activities of roots, promoted the action of root exudates and decomposed products, produced different specific root exudates, and provided a suitable soil environment for microorganisms to grow [12,40]. In addition, the application of phosphorus fertilizer increased fungal diversity and richness, indicating that fungi are more sensitive to phosphorus fertilizer application than bacteria. The long-term application of phosphorus fertilizer leads to an increase in soil fungal diversity, because the application of phosphorus fertilizer can increase the available phosphorus content in the soil. On one hand, it can directly provide microbial phosphorus nutrition, and on the other hand, it can promote plant growth, increase root exudates, and thus increase the abundance and diversity of rhizosphere soil microorganisms [41].
In this study, the community structure of bacteria and fungi showed different responses to intercropping and phosphorus application. Intercropping and phosphorus application significantly affected soil fungal community structure, but did not significantly affect bacterial community structure (Figure 7). This might be because compared to monoculture and no application of phosphorus fertilizer, intercropping and the moderate application of phosphorus fertilizer can form denser roots, continuously increase nutrient release, and thus increase soil fungal activity, making the fungal community structure more complex [42,43]. In the co-occurrence network of soil bacterial and fungal communities, the number of edges in intercropping was higher than that in monoculture (Figure 9 and Figure 10, Table 1 and Table 2), indicating that the interaction between soil microorganisms in intercropping treatment was closer. The modularity in intercropping treatment was higher than that in monoculture treatment, that is, in intercropping treatment, the connection between network nodes was stronger, the internal connection of microbial networks was closer, and the development degree was more perfect [23]. In addition, in the fungal community, the positive correlation of the network was strong, indicating that the synergistic effect of the fungal ecological network was higher, which was consistent with the results of Peng et al. [44]. The application of phosphorus fertilizer increased the number and modularity of bacteria and fungi, indicating that the moderate application of phosphorus fertilizer helps construct a more stable and complex microbial network structure. The reason might be that phosphorus application provides sufficient nutrition for microorganisms, soil microbial communities are more active, and the synergistic effect between microbial communities is higher, promoting the construction of microbial co-occurrence networks [45].
5. Conclusions
Multi-year maize–peanut intercropping increased the nitrogen contents in the rhizosphere soil compared with monoculture. The application of phosphorus fertilizer further increased the nutrient contents. Compared with monoculture, intercropping increased urease and saccharase activities in rhizosphere soil, and phosphate fertilizer increased urease, alkaline phosphatase, and saccharase activities in rhizosphere soil compared with no phosphate fertilizer. Compared with monoculture, intercropping increased the root length, root surface area, root volume, and root tip number, while phosphorus fertilizer application further increased the root length, root surface area, and root volume. Intercropping increased the richness and diversity of bacterial and fungal communities in the rhizosphere soil, while phosphorus application increased the richness and diversity of fungal communities in the rhizosphere soil. Intercropping and phosphorus application increased the number of edges and modularity of the network of bacterial and fungal communities, enhancing the complexity and stability of the rhizosphere soil microbial network. Promoting intercropping and increasing phosphorus fertilizer application will be beneficial for improving the microecological environment of rhizosphere soil, and will play a positive role in improving soil quality and crop yield.
Author Contributions
Conceptualization, N.J. and R.M.; methodology, N.J., T.K. and S.Z.; validation, R.M., C.W. and Z.Z.; formal analysis, S.Z. and T.K.; investigation, Z.Z. and R.M.; resources, N.J.; data curation, R.M. and N.J.; writing—original draft preparation, N.J. and R.M.; writing—review and editing, N.J., R.M., S.Z. and T.K.; visualization, R.M. and C.W.; supervision, N.J. and T.K.; project administration, R.M. All authors have read and agreed to the published version of the manuscript.
Funding
This work was supported by the PhD Startup Foundation of Henan University of Science and Technology (13480107) and the National Natural Science Foundation of China (32401971).
Data Availability Statement
The original contributions presented in this study are included in the article. Further inquiries can be directed at the corresponding authors.
Conflicts of Interest
The authors declare no conflicts of interest.
References
- Li, X.; Wang, Z.; Bao, X.; Sun, J.; Yang, S.; Wang, P.; Wang, C.; Wu, J.; Liu, X.; Tian, X.; et al. Long-term increased grain yield and soil fertility from intercropping. Nat. Sustain. 2021, 4, 943–950. [Google Scholar]
- Yang, S.; Li, H.; Xu, Y.; Wang, T.; Hu, Y.; Zhao, Y.; Qian, X.; Li, Z.; Sui, P.; Gao, W.; et al. The yield performance of maize-soybean intercropping in the North China Plain: From 172 sites empirical investigation. Field Crop Res. 2024, 315, 109467. [Google Scholar]
- Jensen, E.; Carlsson, G.; Hauggaard-Nielsen, H. Intercropping of grain legumes and cereals improves the use of soil N resources and reduces the requirement for synthetic fertilizer N: A global-scale analysis. Agron. Sustain. Dev. 2000, 40, 5. [Google Scholar]
- Ling, N.; Wang, T.; Kuzyakov, Y. Rhizosphere bacteriome structure and functions. Nat. Commun. 2022, 13, 836. [Google Scholar]
- Wang, L.; Liao, D.; Rengel, Z.; Shen, J. Soil-plant-microbe interactions in the rhizosphere: Incremental amplification induced by localized fertilization. Front. Agric. Sci. Eng. 2025, 12, 57–68. [Google Scholar]
- Taschen, E.; Amenc, L.; Tournier, E.; Deleporte, P.; Malagoli, P.; Fustec, J.; Bru, D.; Philippot, L.; Bernard, L. Cereal-legume intercropping modifies the dynamics of the active rhizospheric bacterial community. Rhizosphere 2017, 3, 191–195. [Google Scholar]
- Zhen, B.; Zhou, Y.; Chen, P.; Zhang, X.; Du, Q.; Yang, H.; Wang, X.; Yang, F.; Xiao, T.; Li, L.; et al. Maize-legume intercropping promote N uptake through changing the root spatial distribution, legume nodulation capacity, and soil N availability. J. Integr. Agric. 2022, 21, 1755–1771. [Google Scholar]
- Gao, F.; Lai, H.; Su, H.; Chapman, S.; Li, Y.; Yao, H. Characterization of microbial communities assimilating rhizosphere-deposited carbon in a soybean/maize intercropping system using the DNA-SIP technique. Biol. Fertil. Soils 2024, 60, 927–939. [Google Scholar]
- Wang, Y.; Shi, M.; Zhang, R.; Zhang, W.; Liu, Y.; Sun, D.; Wang, X.; Qin, S.; Kang, Y. Legume-potato rotation affects soil physicochemical properties, enzyme activity, and rhizosphere metabolism in continuous potato cropping. Chem. Biol. Technol. Agric. 2023, 10, 132. [Google Scholar]
- Liu, C.; Wang, X.; Li, X.; Yang, Z.; Dang, K.; Gong, X.; Feng, B. Effects of intercropping on rhizosphere microbial community structure and nutrient limitation in proso millet/mung bean intercropping system. Eur. J. Soil Biol. 2024, 122, 103646. [Google Scholar]
- Tang, X.; Zhang, C.; Yu, Y.; Shen, J.; van der Werf, W.; Zhang, F. Intercropping legumes and cereals increases phosphorus use efficiency; a meta-analysis. Plant Soil 2021, 460, 89–104. [Google Scholar] [CrossRef]
- Zheng, Y.; Zhang, J.; Wang, D.; Yang, S.; Cen, Z.; Dong, Y. Faba bean-wheat intercropping controls the occurrence of faba bean Fusarium wilt by improving the microecological environment of rhizosphere. Soil Eur. J. Soil Biol. 2024, 123, 103685. [Google Scholar] [CrossRef]
- Schwerdtner, U.; Spohn, M. Plant Species Interactions in the Rhizosphere Increase Maize N and P Acquisition and Maize Yields in Intercropping. J. Soil Sci. Plant Nut. 2022, 22, 3868–3884. [Google Scholar] [CrossRef]
- Teshita, A.; Feng, Y.; Qian, R.; Wang, X.; Khan, W.; Gao, Y. Alfalfa and maize intercropping enhances soil nematode structure and food web complexity in low-nitrogen soils. Appl. Soil Ecol. 2023, 186, 104809. [Google Scholar] [CrossRef]
- Fu, Z.; Zhou, L.; Chen, P.; Du, Q.; Pang, T.; Song, C.; Wang, X.; Liu, W.; Yang, W.; Yong, T. Effects of maize-soybean relay intercropping on crop nutrient uptake and soil bacterial community. J. Integr. Agric. 2019, 18, 2006–2018. [Google Scholar] [CrossRef]
- Zhang, G.; Yang, H.; Zhang, W.; Bezemer, T.; Liang, W.; Li, Q.; Li, L. Interspecific interactions between crops influence soil functional groups and networks in a maize/soybean intercropping system. Agric. Ecosyst. Environ. 2023, 355, 108595. [Google Scholar] [CrossRef]
- Malhotra, H.; Vandana, S.; Sharma, S.; Pandey, R. Phosphorus Nutrition: Plant Growth in Response to Deficiency and Excess. In Plant Nutrients and Abiotic Stress Tolerance; Springer: Berlin/Heidelberg, Germany, 2018; pp. 171–190. [Google Scholar]
- Wang, Y.; Wang, F.; Lu, H.; Mao, C. Phosphate uptake and transport in plants: An elaborate regulatory system. Plant Cell Physiol. 2021, 62, 564–572. [Google Scholar] [CrossRef]
- Du, E.; Terrer, C.; Pellegrini, A.; Ahlström, A.; van Lissa, C.; Zhao, X.; Xia, N.; Wu, X.; Jackson, B. Global patterns of terrestrial nitrogen and phosphorus limitation. Nat. Geosci. 2020, 13, 221–226. [Google Scholar] [CrossRef]
- Yan, J.; Lou, L.; Bai, W.; Zhang, S.; Zhang, N. Phosphorus deficiency is the main limiting factor for re-vegetation and soil microorganisms in Mu Us Sandy Land, Northwest China. Sci. Total Environ. 2023, 900, 165770. [Google Scholar] [CrossRef]
- Feng, C.; Sun, Z.; Zhang, L.; Feng, L.; Zheng, J.; Bai, W.; Gu, C.; Wang, Q.; Xu, Z.; van der Werf, W. Maize/peanut intercropping increases land productivity: A meta-analysis. Field Crop. Res. 2021, 270, 108208. [Google Scholar] [CrossRef]
- Zhang, Y.; Sun, Z.; Feng, C.; Du, G.; Feng, L.; Bai, W.; Zhang, Z.; Zhang, D.; Yang, J.; Li, C. Intercropping maize and peanut under semi-arid conditions is a zero-sum game. Field Crop Res. 2025, 326, 109833. [Google Scholar] [CrossRef]
- Guo, X.; Hou, Z.; Wu, X.; Liu, W.; Cai, J.; An, S. Long-term intercropping shaped soil bacterial microbiome composition and structure of maize fields in a semiarid region. Soil Till. Res. 2025, 247, 106383. [Google Scholar] [CrossRef]
- Jiao, N.; Wang, J.; Ma, C.; Zhang, C.; Guo, D.; Zhang, F.; Jensen, E. The importance of aboveground and belowground interspecific interactions in determining crop growth and advantages of peanut/maize intercropping. Crop J. 2021, 9, 1460–1469. [Google Scholar] [CrossRef]
- Zan, Z.; Jiao, N.; Ma, R.; Wang, J.; Wang, Y.; Ning, T.; Zheng, B.; Liu, L.; Zhao, X.; Cong, W. Long-Term maize intercropping with peanut and phosphorus application maintains sustainable farmland productivity by improving soil aggregate stability and P availability. Agronomy 2023, 13, 2846. [Google Scholar] [CrossRef]
- Lu, R. Soil Agrochemical Analysis; China Agricultural Science and Technology: Beijing, China, 2000. [Google Scholar]
- Song, L.; Yang, T.; Xia, S.; Yin, Z.; Liu, X.; Li, S.; Sun, R.; Gao, H.; Chu, H.; Ma, C. Soil depth exerts stronger impact on bacterial community than elevation in subtropical forests of Huangshan Mountain. Sci. Total Environ. 2022, 852, 158438. [Google Scholar] [CrossRef]
- Bao, S. Soil and Agriculture Chemistry Analysis, 3rd ed.; China Agriculture Press: Beijing, China, 2015. [Google Scholar]
- Dagnall, R.; Kirkbright, G.; West, T.; Wood, R. Multichannel atomic fluorescence and flame photometric determination of calcium, copper, magnesium, manganese, potassium, and zinc in soil extracts. Anal. Chem. 1971, 43, 1765–1769. [Google Scholar]
- Zhang, R.; Vivanco, J.; Shen, Q. The unseen rhizosphere root–soil–microbe interactions for crop production. Curr. Opin. Microbiol. 2017, 37, 8–14. [Google Scholar] [CrossRef]
- Gong, X.; Liu, C.; Li, J.; Luo, Y.; Yang, Q.; Zhang, W.; Yang, P.; Feng, B. Responses of rhizosphere soil properties, enzyme activities and microbial diversity to intercropping patterns on the Loess Plateau of China. Soil Till. Res. 2019, 195, 104355. [Google Scholar] [CrossRef]
- Ma, R.; Yu, N.; Zhao, S.; Kou, T.; Jiao, N. Effects of long-term maize-peanut Intercropping and Phosphorus Application on C-N-P Content and Stoichiometry in soil Aggregates. J. Soil Sci. Plant Nut. 2024. [Google Scholar] [CrossRef]
- De Mastro, F.; Brunetti, G.; Traversa, A.; Blagodatskaya, E. Fertilization promotes microbial growth and minimum tillage increases nutrient-acquiring enzyme activities in a semiarid agro-ecosystem. Appl. Soil Ecol. 2022, 177, 104529. [Google Scholar] [CrossRef]
- Li, Y.; Chen, T.; Li, Z.; Muhammad, I.; Chi, Y.; Zhou, X. Straw incorporation and nitrogen fertilization regulate soil quality, enzyme activities and maize crop productivity in dual maize cropping system. BMC Plant Biol. 2024, 24, 729. [Google Scholar]
- Qu, Z.; Chen, Q.; Deng, H.; Wang, Q.; Yao, S.; Chen, Q.; Dong, H.; Liu, Y.; Feng, H.; Li, C. Controlled-release phosphate fertilizer improves soil fertility and soybean productivity by regulating soil microbial diversity and composition and increasing enzyme activities. Field Crop Res. 2025, 325, 109836. [Google Scholar]
- Wei, W.; Liu, T.; Shen, L.; Wang, X.; Zhang, S.; Zhang, W. Effect of Maize (Zeal mays) and soybean (Glycine max) intercropping on yield and Root Development in Xinjiang, China. Agriculture 2022, 12, 996. [Google Scholar] [CrossRef]
- Liu, Y.; Sun, J.; Zhang, F.; Li, L.; Yang, W. The plasticity of root distribution and nitrogen uptake contributes to recovery of maize growth at late growth stages in wheat/maize intercropping. Plant Soil 2020, 447, 1–15. [Google Scholar]
- Delgado-Baquerizo, M.; Reich, P.; Trivedi, C.; Eldridge, D.; Abades, S.; Alfaro, F.; Bastida, F.; Berhe, A.; Cutler, N.; Gallardo, A. Multiple elements of soil biodiversity drive ecosystem functions across biomes. Nat. Ecol. Evol. 2020, 4, 210–220. [Google Scholar]
- Wang, Y.; Zhang, H.; Zhang, Y.; Fei, J.; Rong, X.; Peng, J.; Luo, G. Crop rotation-driven changes in rhizosphere metabolite profiles regulate soil microbial diversity and functional capacity. Agric. Ecosyst. Environ. 2023, 358, 108716. [Google Scholar]
- Jiang, P.; Wang, Y.; Zhang, Y.; Fei, J.; Rong, X.; Peng, J.; Yin, L.; Zhou, X.; Luo, G. Enhanced productivity of maize through intercropping is associated with community composition, core species, and network complexity of abundant microbiota in rhizosphere Soil. Geoderma 2024, 442, 116786. [Google Scholar]
- Li, Q.; Liu, Y.; Su, N.; Tian, C.; Zhang, Y.; Tan, L.; Peng, J.; Rong, X.; Luo, G. Knowledge-based phosphorus input levels control the link between soil microbial diversity and ecosystem functions in paddy fields. Agric. Ecosyst. Environ. 2025, 28, 109352. [Google Scholar]
- Hu, W.; Ran, J.; Dong, L.; Du, Q.; Ji, M.; Yao, S.; Sun, Y.; Gong, C.; Hou, Q.; Gong, H.; et al. Aridity-driven shift in biodiversity-soil multifunctionality relationships. Nat. Commun. 2021, 12, 5350. [Google Scholar]
- Li, W.; Hu, X.; Liu, Q.; Yin, C. Soil fungi are more sensitive than bacteria to short-term plant interactions of Picea asperata and Abies faxoniana. Eur. J. Soil Biol. 2021, 106, 103348. [Google Scholar]
- Peng, Y.; Xu, H.; Shi, J.; Wang, Z.; Lv, J.; Li, L.; Wang, X. Soil microbial composition, diversity, and network stability in intercropping versus monoculture responded differently to drought. Agric. Ecosyst. Environ. 2024, 365, 108915. [Google Scholar]
- Liu, L.; Gao, Z.; Liu, W.; Li, H.; Wang, Z.; Liu, J. Phosphorus fertilizer input threshold shifts bacterial community structure and soil multifunctionality to maintain dryland wheat production. Soil Till. Res. 2024, 243, 106174. [Google Scholar]
Disclaimer/Publisher’s Note: The statements, opinions and data contained in all publications are solely those of the individual author(s) and contributor(s) and not of MDPI and/or the editor(s). MDPI and/or the editor(s) disclaim responsibility for any injury to people or property resulting from any ideas, methods, instructions or products referred to in the content. |
© 2025 by the authors. Licensee MDPI, Basel, Switzerland. This article is an open access article distributed under the terms and conditions of the Creative Commons Attribution (CC BY) license (https://creativecommons.org/licenses/by/4.0/).










